Next Article in Journal
Interactions between Beta-2-Glycoprotein-1 and Phospholipid Bilayer—A Molecular Dynamic Study
Next Article in Special Issue
A Review on Ionic Liquid Gas Separation Membranes
Previous Article in Journal
Mixed-Matrix Membranes Comprising of Polysulfone and Porous UiO-66, Zeolite 4A, and Their Combination: Preparation, Removal of Humic Acid, and Antifouling Properties
 
 
Font Type:
Arial Georgia Verdana
Font Size:
Aa Aa Aa
Line Spacing:
Column Width:
Background:
Review

Perfluorodioxolane Polymers for Gas Separation Membrane Applications

1
Department of Chemical and Biomolecular Engineering, New York University, 6 MetroTech Center, Brooklyn, NY 11201, USA
2
School of Chemical, Biological and Materials Engineering, University of Oklahoma, Norman, OK 73019, USA
3
Membrane Technology and Research, Inc., 39630 Eureka Drive, Newark, CA 94560, USA
4
Department of Chemical and Biological Engineering, University of Buffalo, The State University of New York, Buffalo, NY 14260, USA
*
Author to whom correspondence should be addressed.
Membranes 2020, 10(12), 394; https://doi.org/10.3390/membranes10120394
Submission received: 24 September 2020 / Revised: 19 November 2020 / Accepted: 23 November 2020 / Published: 4 December 2020

Abstract

Since the discovery of polytetrafluoroethylene (PTFE) in 1938, fluorinated polymers have drawn attention in the chemical and pharmaceutical field, as well as in optical and microelectronics applications. The reasons for this attention are their high thermal and oxidative stability, excellent chemical resistance, superior electrical insulating ability, and optical transmission properties. Despite their unprecedented combination of desirable attributes, PTFE and copolymers of tetrafluoroethylene (TFE) with hexafluoropropylene and perfluoropropylvinylether are crystalline and exhibit poor solubility in solvents, which makes their processability very challenging. Since the 1980s, several classes of solvent-soluble amorphous perfluorinated polymers showing even better optical and gas transport properties were developed and commercialized. Amorphous perfluoropolymers exhibit, however, moderate selectivity in gas and liquid separations. Recently, we have synthesized various new perfluorodioxolane polymers which are amorphous, soluble, chemically and thermally stable, while exhibiting much enhanced selectivity. In this article, we review state-of-the-art and recent progress in these perfluorodioxolane polymers for gas separation membrane applications.

1. Introduction

Fluorinated polymers have been used extensively due to their high thermal and oxidative stability, excellent chemical resistance, superior electrical insulating ability, and unique optical properties [1,2,3]. Polytetrafluoroethylene (PTFE) and its copolymers with hexafluoropropylene and perfluoropropylvinyl compounds are crystalline and have poor optical transparency and solubility. Since 1989, several classes of amorphous perfluorinated polymers with extraordinary optical and gas transport properties were developed and commercialized by Dupont (as TeflonTM AF), Solvay (as Hyflon® AD), and Asahi Glass (as CytopTM) [4,5,6].
Over the past 30 years, gas transport properties of these amorphous perfluoropolymers have also been investigated. These perfluoropolymers usually have high gas permeability, significant gas selectivities for some gas pairs (such as He/CO2 and He/CH4), and resistance to hydrocarbon-induced plasticization [7,8,9,10,11,12,13,14,15,16,17]. They also exhibit better resistance to thin-film physical aging than hydrocarbon polymers [18,19]. Due to these attributes, they have been used in membrane separation applications for some gases.
Various new perfluorodioxolane polymers have been synthesized over the past two decades. These perfluoropolymers are not only amorphous and soluble in fluorinated solvents, but also form thin and continuous films. Recently, we have discovered that these perfluorodioxolane films also show extraordinary gas transport properties and low swelling behavior in the presence of vapors and liquids, which make them appealing as gas separation membrane materials [20,21,22,23,24,25,26,27,28,29].

2. Synthesis and Physical-Chemical Properties of Perfluoropolymers

Teflon AF and Hyflon AD are a family of copolymers of tetrafluoroethylene (TFE) with (I) 2,2-bis(trifluoromethyl)-4,5-difluoro-1,3-dioxole and (II) 2,2-bis(trifluoromethyl)-4-fluoro-5-trifluoromethoxy-1,3-dioxole, respectively (Figure 1). The homopolymers of (I) and (II) are difficult to process as evidenced by their high glass transition temperature (Tg). As a result, copolymerization of these monomers with other olefins is used to improve the processability. In the case of copolymers of TFE with (I) and (II), Tg decreases drastically as the molar percentage of TFE increases. For example, Tgs of Teflon AF 1600 containing 65 mol% dioxole (I) and Teflon AF 2400 containing 87 mol% dioxole become 160 °C and 240 °C, respectively. The Tgs of Hyflon AD 60 containing 60 mol% dioxole (II) and Hyflon AD 80 containing 85 mol% dioxole are 100 °C and 135 °C, respectively, while the Tg of homopolymer (II) reaches 170 °C [8].
In addition, Cytop is a homopolymer obtained by cyclopolymerization of a perfluorodiene, perfluoro-(4-vinyloxy-1-butene) specifically. Cytop is formed by penta- and hexa-cyclic structures, and the five-membered ring structure is predominant [8] (Figure 2).
Table 1 summarizes the physical and optical properties of these commercially available perfluoropolymers. These perfluoropolymers are completely amorphous, contain no hydrogen atoms, show excellent chemical and thermal stability, and are soluble in fluorinated solvents, such as hexafluorobenzene and perfluorohexane. The dielectric constants of these fluoropolymers are low, and they are almost unaffected by humidity.
The commercial amorphous perfluoropolymers exhibit excellent properties in many aspects. However, the preparation methods of these fluorinated polymers are usually complex and expensive, and the Tg of Cytop is relatively low. In order to overcome these limitations, we have synthesized various perfluoro-2-methylene-1,3-dioxolanes, the structures and corresponding Tg of their polymers are shown in Figure 3 [22].
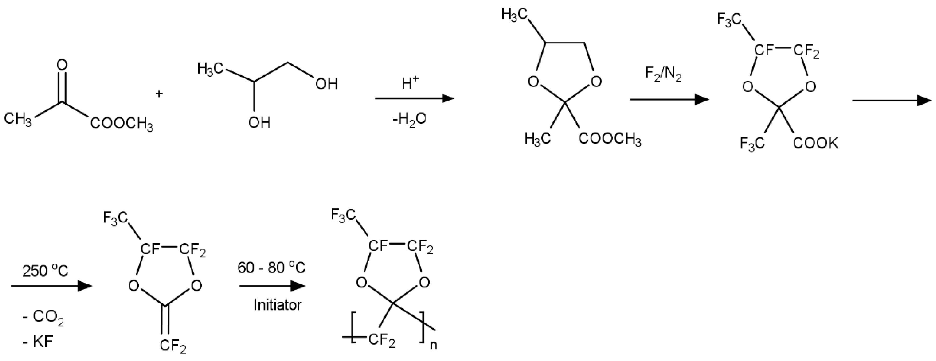
These perfluorodioxolane monomers were prepared by direct fluorination of the corresponding hydrocarbon monomers. Figure 4 illustrates a typical synthetic scheme for a perfluorodixolane monomer and its polymer. The monomer is polymerized using a free radical initiator, such as a perfluorobenzyl peroxide. The peroxide was decomposed at 60–80 °C by a homolysis mechanism resulting in the formation of pentafluorophenyl radicals, which initiate polymerization and end up as structural units at the polymer chain end. This polyperfluoro(2-methylene-4-methyl-1,3-dioxolane), poly(PFMMD), was also synthesized using a perfluorinated precursor (perfluoro-propyleneoxide) as shown in Figure 5 [23].
These perfluorodioxolane monomers can be copolymerized with other existed fluorovinyl monomers, as well as with each other (A-H) to form amorphous copolymers that are soluble in fluorinated solvents. The composition determines the Tg of these copolymers. For example, when monomers D and H in Figure 3 are copolymerized, as the relative amount of monomer D increases from 20 to 75 mol%, the Tg varies from 105 to 155 °C accordingly. The perfluorodioxolane monomers can also be copolymerized with other fluorovinyl monomers such as chlorotrifluoroethylene (CTFE). Figure 6 shows typical examples of the copolymers [24,27].
These copolymers are also amorphous and soluble in only fluorinated solvents, and their physical properties are summarized in Table 2. When PFMMD was copolymerized with pentafluorostyrene (PFSt), the copolymers obtained were soluble in common organic solvents such as acetone and THF (Figure 7).

3. Gas Transport Properties

The performance of non-porous polymers is evaluated in terms of permeability and selectivity. Permeability (P) is defined in Equation (1) with the pressure difference (∆p), thickness ( l ), and normalized flux (n) [28,30,31]:
P = n l P
Permeability has units of Barrer, where 1 Barrer = 10−10 cm3 (STP) cm/(cm2 s cmHg). For asymmetric membranes with an unknown selective layer thickness, the gas permeation property is characterized using the term of permeance (P/l), which is expressed in units of GPU, where 1 GPU = 10−6 cm3(STP)/(cm2 s cmHg).
In the solution-diffusion model, permeability can be expressed as the product of the concentration-averaged diffusion coefficient ( D , cm2/s) and the sorption coefficient (S, cm3(STP) cm−3 atm−1), which represent the kinetic and thermodynamic components of the transport process, respectively [30]:
P = D ¯ × S
The selectivity, α A / B , is defined as the ratio of the permeabilities of two permeating species, A and B:
α A / B = P A P B = D A D B × S A S B
where DA/DB is the diffusivity selectivity, and SA/SB is the solubility selectivity. Modern polymeric membrane materials are designed and engineered by tailoring the sorption and diffusion behavior for selectivity improvement [31,32].

4. Gas Separation Properties of Perfluorodioxolane Polymers

Two perfluorodioxolane polymers, poly(PFMD) and poly(PFMMD) (as shown in Figure 6), were fabricated into 10–50 µm thin films by solvent casting or melt pressing. The films were completely dried by heating at 10 °C below the Tg of the polymers in air before the gas permeation tests. Figure 8 shows the gas permeability of CH4, N2, Ar, CO2, H2, and He in these two perfluorodioxolane films as a function of feed pressure at 35 °C. Gas permeability is independent of the feed pressure, suggesting that the films were defect-free [28].
Table 3 summarizes the gas separation properties of the perfluoropolymers. Poly(PFMD) and Cytop have similar fractional free volume (FFV) and Tg. However, poly(PFMD) is less permeable (except for He) and much more selective than Cytop. Similarly, poly(PFMMD) has lower N2 and CO2 permeability than Hyflon AD 80 and much higher selectivity, while their FFV and Tg are similar. Gas solubility of these perfluorodioxolane polymers is generally low and depends on the applied pressure, as shown in Figure 9 [28].
Poly(PFMMD) was directly compared with its analog hydrocarbon polymer, poly(4-methyl-2-methylene-1,3-dioxolane) (poly(MMD)) [16]. Poly(PFMMD) with an FFV of 0.23 exhibits much higher gas permeability than poly(MMD) with an FFV of 0.095. For example, the CO2 permeabilities of poly(PFMMD) and poly(MMD) at 35 °C are 58 Barrer and 1.3 Barrer, respectively. The bulky –CF3 and –CF2 groups hinder perfluoropolymers chain packing and result in much higher FFV, and therefore increased permeability.
Table 4 compares the solubility and diffusivity of CO2 and CH4 in the perfluorodioxolane polymers, Hyflon AD 80, and Cytop [28]. Gas diffusivity can be calculated using Equation (2), and it is usually influenced by the polymer FFV and chain rigidity. Poly(PFMD) exhibits CO2 diffusivity one order of magnitude lower and CO2/CH4 diffusivity ratio 80% higher than poly(PFMMD) because poly(PFMMD) has a bulky CF3 substituent on the dioxolane ring and thus higher Tg and FFV.
Interestingly, poly(PFMD) shows lower gas diffusivity than its counterpart commercial perfluoropolymer (Cytop) despite their similar Tg and FFV, and poly(PFMMD) exhibits much lower diffusivity than Hyflon AD 80. On the other hand, the perfluorodioxolane polymers show higher diffusivity selectivity (stronger size-sieving ability) than the commercial perfluoropolymers with similar free volume. These results can be ascribed to the narrower pore connections and larger microcavities in perfluorodioxolane polymers compared to their commercial counterparts, as evidenced by the d-spacing values from the WAXD measurements [28].
Poly(PFMD) and poly(PFMMD) also exhibit a solubility selectivity up to 65% larger relative to commercial perfluoropolymers, especially for separations involving CO2. The molecular origin of this behavior, which has been investigated using the lattice fluid theory [29], lies in the more favorable CO2 interaction with poly(PFMD) and poly(PFMMD) than commercial perfluoropolymers. This favorable interaction stems, in turn, from the higher oxygen/carbon ratio exhibited by poly(PFMD) and poly(PFMMD) relative to Teflon AF. Specifically, the oxygen/carbon ratio, which is 2:4 for poly(PFMD), 2:5 for poly(PFMMD), and 2:5.3 for Teflon AF 2400. Polar C–O–C bonds are known to interact favorably with CO2 molecules, which is consistent with the solubility selectivity increasing in the order: poly(PFMD) > poly(PFMMD) > Teflon AF 2400. Based on lattice fluid modeling, the CO2-polymer binary interaction becomes more favorable in the order: poly(PFMD) > poly(PFMMD) > Teflon AF 2400. These results mirror the orders of the oxygen/carbon ratio values, as well as of the Hildebrand solubility parameters. Specifically, the Hildebrand solubility parameter exhibited by poly(PFMD) is larger relative to poly(PFMMD), that is, it is closer to the CO2 value (i.e., 21.8 MPa0.5).
Equally important, the polymer cohesive energy density, which is represented by the characteristic pressure, p*, in the lattice fluid framework, is the key parameter to tailor solubility selectivity, all other factors (i.e., interactional pattern, free volume) being equal. Typically, solubility selectivity increases with increasing polymer cohesive energy density [29]. This conclusion is consistent with the lattice fluid characteristic pressure, p*, increasing in the order: poly(PFMD) > poly(PFMMD) > Teflon AF.

5. Gas Separation Properties of Copolymers of Perfluorodioxolane

The gas permeability of these perfluorodioxolane polymers were investigated and summarized in Table 5. PFMDD (Figure 6) has two trifluoromethyl groups on the 4′ and 5′ position with trans and cis isomers. In this case, the ratio of trans to cis isomer is 73 and 27 mol%, and the polymer obtained was completely amorphous and soluble in fluorinated solvent with a Tg of 165 °C. PFMD was also polymerized by a free radical initiator and the obtained polymer is semicrystalline. The Tg and melting point are 106 and 228 °C, respectively. The copolymers of PFDMM and PFMMD with PFMD were obtained (Figure 6). The monomer reactivity ratios are almost equal and thus the resulting copolymers form an ideal random structure.
Table 5 shows that increasing the PFMD content in the copolymers decreases the gas permeances and increases the gas/CH4 selectivity due to the more efficient polymer chain packing for the less hindered PFMD, which results in stronger sieving ability [24].
Table 6 summarizes the gas permeation properties of perfluorodioxolane copolymers with CTFE [25,27]. The Tgs of the copolymers decreased as the amount of CTFE was increased. The molecular weights of the copolymers are over 200,000, and they are still amorphous and soluble in fluorinated solvents (up to 50 mol% CTFE). The flexibility and fracture due to elongation of the films increases with increasing CTFE content in the copolymers. Increasing the CTFE content in the copolymers also increases the gas selectivity, especially for some gas pairs, such as He/CH4 and H2/CH4. The introduction of small polar monomers, such as CTFE, increases the efficiency of chain packing, leading to enhanced size sieving ability. Additionally, polychlorotrifluoroethylene (PCTFE) exhibits higher solubility parameter and, thus, higher CO2/gas solubility selectivity than PTFE [33], as well as better separation performance for He/H2 and He/CH4.
Gas transport properties of various polystyrene polymers have also been investigated. The permeability of gases such as CO2, CH4, and N2 is much higher in pentafluorostyrene (PFSt) than in other substituted polystyrenes [34]. Pentafluorostyrene is soluble in common organic solvents such as acetone and THF. The Tg is 110 °C and it is thermally stable. The copolymers of PFMMD and PFSt were prepared (Figure 7). When PFSt content is more than 20 mol% in the copolymer, the polymer was soluble in acetone, and the polymer films obtained were clear and transparent. The gas permeability and selectivity of the polymer are measured. The typical physical data for the copolymer PFMMD and PFSt are shown in Table 7 [35].
Figure 10 shows the gas permeability of the PFMMD-co-PFSt film as function of feed pressure and Table 8 summarizes the typical gas permeability of the film. PFMMD-co-PFSt exhibits much higher gas selectivity as compared with the neat PFSt polymer, but it shows lower gas selectivity than other PFMMD copolymers.

6. Mechanical Properties of Polyperfluorodioxolane Polymers

Polyperfluorodioxolane polymers show superior gas separation properties. However, the polymer films show some brittleness and can crack upon bending. Polymer mechanical properties can be improved by the addition of plasticizers. Perfluoropolyether (PFPE) is chemically and thermally stable and used as a lubricant in the aerospace and automotive industries. Poly(PFMMD) is relatively compatible with PFPE, and the blended films of poly(PFMMD) and PFPE are clear and transparent. Table 9 records the mechanical and gas transport properties of the blends of poly(PFMMD) and PFPE, including tensile strength (σ, MPa) and Young’s modulus (E, MPa) [37].
As the PFPE content increases from 0 to 5 wt% and 10 wt%, the breaking elongation of the blends increases from 1.3% to 4.1% and 7.36%, respectively. Young’s modulus decreases with increasing PFPE content, indicating reduced brittleness and increased flexibility. The gas permeance, especially N2 and O2, increases with increasing PFPE content, while gas selectivity decreases (Table 9). This finding is consistent with general transport behavior in plasticized glassy polymers. The plasticizer increases polymer chain motions and thus gas diffusion coefficients, particularly for large molecules. As a result, the size-sieving ability of the plasticized polymeric membrane is reduced, resulting in a decrease in selectivity.
Another way to improve the film flexibility is to copolymerize with a smaller monomer to reduce the steric crowding along the polymer chain while ensuring the amount of the smaller monomer is suitable to retain the amorphous nature. The best co-monomer choice would be TFE. However, TFE is not easy to handle in a common chemical laboratory. On the other hand, chlorotrifluoroethylene (CTFE) can be an attractive alternative because it is commercially available and safer to handle in academic laboratories than TFE. CTFE is the most widely used fluoroalkene after TFE and vinylidene fluoride (VDF) and is readily copolymerized with various vinyl monomers to yield novel copolymers [33]. We have prepared copolymers of PFMMD and CTFE (cf. Figure 6).
Table 10 summarizes the physical properties of PFMMD and its copolymers with CTFE. The copolymers are thermally stable near 300 °C under an air atmosphere. Increasing the CTFE content in the copolymers decreases the Tg and Young’s modulus, and increases both tensile strength and elongation at break of the copolymer. Figure 11 also depicts the stress–strain curves for these copolymers. These results validate that the brittleness of poly(PFMMD) films can be reduced, and film flexibility can be improved when CTFE is introduced in the polymer chains [25].

7. Relationships between Gas Permeability and Selectivity and Robeson Tradeoff Plots

For polymers used as membrane materials for gas separation, it is desirable that they have high gas permeability combined with high selectivity for one gas over another. High permeability is important to reduce the amount of membrane area required to perform a gas separation process economically (reducing the capital costs), while high selectivity improves the efficiency of the separation (decreasing operation costs). However, in practice, there exists a trade-off relationship between selectivity and permeability. For example, high selectivity polymers tend to possess low permeability and vice versa. The trade-off relationship between permeability and selectivity was firstly outlined empirically by Robeson in 1991 [38,39], and it was further theoretically explained by Freeman in 1999 [40]. Since then, research on gas separation membranes has focused on the discovery of polymer materials that exhibit separation properties near or above the upper bound line. Perfluoropolymers, whose properties were elucidated starting from the late 1990, helped re-define an updated upper bound in 2008. More importantly, the performance of perfluorodioxolane polymers exceeds that of commercial perfluoropolymers for the separation of light gases, such as He, N2, and CO2 (Figure 12, Figure 13 and Figure 14).

8. A relevant Application of Perfluoropolymers: Recovery of Helium from Natural Gas

Helium (He) is extensively used in many industrial, medical, and scientific fields. Helium’s main source is from natural gas. The content of He in natural gas can vary from 0.01 to 4.0 mol% [41]. Presently, the main industrial method of He production is cryogenic distillation, which is very energy consumable. Another more efficient method for recovering He is proposed by using gas separation membranes, which has attracted research in these fields for many years [36,42,43,44,45,46]. Perfluorodioxolane polymers exhibit much higher He/CH4 selectivity compared to commercial perfluoropolymers and seem promising. The obtained data points are shown to be above the Robeson upper bounds (Figure 12, Figure 13 and Figure 14).
Fluoropolymers and fluorinated liquids exhibit higher He/gas solubility selectivity than their hydrocarbon analogs [17,38], which is consistent with perfluoropolymers having unfavorable interaction with hydrocarbons including CH4. As a result, perfluoropolymers are very promising materials for He/CH4 separation.

9. Conclusions

Perfluorodioxolane polymers are highly stable both chemically and thermally. These polymers have the features of being amorphous and soluble in fluorinated solvents. They have also shown relatively high permeability and selectivity for gas pairs such as N2, CO2, H2, He, with CH4 compared with commercial perfluoropolymers, including Teflon AF, Hyflon AD, and Cytop. The gas separation properties of these polymers tend to be near or above the upper bound for a number of important gas pairs. In addition, the preparation of the perfluorodioxolane polymers is rather simple and practical, and it is affordable at large scale. For these reasons, perfluorodioxolane polymer-based membranes are currently being developed for a number of membrane gas separations including helium recovery and CO2 removal from natural gas resource.

Funding

This research was funded by the USA National Science Foundation (NSF) through the STIR award No. 11P-1632229 and NSF career award No. 1554236.

Conflicts of Interest

The authors declare no conflict of interest. The funders had no role in the design of the study; in the collection, analyses, or interpretation of data; in the writing of the manuscript, or in the decision to publish the results.

References

  1. Olah, G.A.; Chambers, R.D.; Prakash, G.K.S. Synthetic Fluorine Chemistry; Wiley: New York, NY, USA, 1992. [Google Scholar]
  2. Chambers, R.D. Fluorine in Organic Chemistry; Wiley: Boca Raton, FL, USA, 2004. [Google Scholar]
  3. Smith, D.W.; Iacono, S.T.; Iyer, S.S. Handbook of Fluoropolymer Science and Technology; Wiley: Hoboken, NJ, USA, 2014. [Google Scholar]
  4. Scheirs, J. Modern Fluoropolymers: High Performance Polymers for Diverse Applications; Wiley: New York, NY, USA, 1997. [Google Scholar]
  5. Resnick, R.P.; Buck, W.H. Teflon® AF: A family of amorphous fluoropolymers with extraordinary properties. In Floropolymers 2. Topics in Applied Chemistry; Hougham, G., Cassidy, P.E., Johns, K., Davidson, T., Eds.; Springer: Boston, MA, USA, 2002; pp. 25–33. [Google Scholar]
  6. Salamone, J.C. Polymeric Materials Encyclopedia; CRC Press: Boca Raton, FL, USA, 1996. [Google Scholar]
  7. Cui, Z.; Drioli, E.; Lee, Y.M. Recent progress in fluoropolymers for membranes. Prog. Polym. Sci. 2014, 39, 164–198. [Google Scholar] [CrossRef]
  8. Hung, M.H.; Resnick, P.R.; Smart, B.E.; Buck, W.H. Fluorinated plastics, amorphous. In Concise Polymeric Materials Encyclopedia; Salamone, J.C., Ed.; CRC Press: Boca Raton, FL, USA, 1998; pp. 499–501. [Google Scholar]
  9. Merkel, T.C.; Pinnau, I.; Prabhakar, R.S.; Freeman, B.D. Gas and vapor transport properties of perfluoropolymers. In Materials Science of Membranes for Gas and Vapor Separation; Freeman, B.D., Yampolskii, Y.P., Pinnau, I., Eds.; Wiley: New York, NY, USA, 2006; pp. 251–270. [Google Scholar]
  10. Belov, N.; Nikiforov, R.; Polunin, E.; Pogodina, Y.; Zavarzin, I.; Shantarovich, V.; Yampolskii, Y. Gas permeation, diffusion, sorption and free volume of poly(2-trifluoromethyl-2-pentafluoroethyl-1,3-perfluorodioxole). J. Membr. Sci. 2018, 565, 112–118. [Google Scholar] [CrossRef]
  11. Nikiforov, R.; Belov, N.; Zharov, A.; Konovalova, I.; Shklyaruk, B.; Yampolskii, Y. Gas permeation and diffusion in copolymers of tetrafluoroethylene and hexafluoropropylene: Effect of annealing. J. Membr. Sci. 2017, 540, 129–135. [Google Scholar] [CrossRef]
  12. Yavari, M.; Le, T.; Lin, H. Physical aging of glassy perfluoropolymers in thin film composite membranes. Part I. Gas transport properties. J. Membr. Sci. 2017, 525, 387–398. [Google Scholar] [CrossRef]
  13. Tiwari, R.R.; Smith, Z.P.; Lin, H.; Freeman, B.D.; Paul, D.R. Gas permeation in thin films of “high free-volume” glassy perfluoropolymers: Part II. CO2 plasticization and sorption. Polymer 2015, 61, 1–14. [Google Scholar] [CrossRef]
  14. Omidvar, M.; Nguyen, H.; Liu, J.; Lin, H. Sorption-enhanced membrane materials for gas separation: A road less traveled. Curr. Opin. Chem. Eng. 2018, 20, 50–59. [Google Scholar] [CrossRef]
  15. Wu, A.X.; Drayton, J.A.; Smith, Z.P. The perfluoropolymer upper bound. AIChE J. 2019, 65, 16700. [Google Scholar] [CrossRef]
  16. Yavari, M.; Omidvar, M.; Lin, H. Effect of Pendant Dioxolane Rings in Polymers on Gas Transport Characteristics. ACS Appl. Polym. Mater. 2019, 1, 1641–1647. [Google Scholar] [CrossRef]
  17. Smith, Z.P.; Tiwari, R.R.; Dose, M.E.; Gleason, K.L.; Murphy, T.M.; Sanders, D.F.; Gunawan, G.; Robeson, L.M.; Paul, D.R.; Freeman, B.D. Influence of Diffusivity and Sorption on Helium and Hydrogen Separations in Hydrocarbon, Silicon, and Fluorocarbon-Based Polymers. Macromolecules 2014, 47, 3170–3184. [Google Scholar] [CrossRef]
  18. Tiwari, R.R.; Smith, Z.P.; Lin, H.; Freeman, B.D.; Paul, D.R. Gas permeation in thin films of “high free-volume” glassy perfluoropolymers: Part I. Physical aging. Polymer 2014, 55, 5788–5800. [Google Scholar] [CrossRef]
  19. Yavari, M.; Maruf, S.; Ding, Y.; Lin, H. Physical aging of glassy perfluoropolymers in thin film composite membranes. Part II. Glass transition temperature and the free volume model. J. Membr. Sci. 2017, 525, 399–408. [Google Scholar] [CrossRef]
  20. Liu, W.; Koike, Y.; Okamoto, Y. Synthesis and Radical Polymerization of Perfluoro-2-methylene-1,3-dioxolanes. Macromolecules 2005, 38, 9466–9473. [Google Scholar] [CrossRef]
  21. Okamoto, Y.; Du, Q.; Koike, K.; Mikeš, F.; Merkel, T.C.; He, Z.; Zhang, H.; Koike, Y. New amorphous perfluoro polymers: Perfluorodioxolane polymers for use as plastic optical fibers and gas separation membranes. Polym. Adv. Technol. 2015, 27, 33–41. [Google Scholar] [CrossRef]
  22. Mikeš, F.; Yang, Y.; Teraoka, I.; Ishigure, T.; Koike, Y.; Okamoto, Y. Synthesis and Characterization of an Amorphous Perfluoropolymer: Poly(perfluoro-2-methylene-4-methyl-1,3-dioxolane). Macromolecules 2005, 38, 4237–4245. [Google Scholar] [CrossRef]
  23. Stanley, S.; Noonan, S.E. Perfluoro(2-methylene-4-methyl-1, 3-dioxolane) and Polymers Thereof. U.S. Patent 3,308,107, 7 March 1967. [Google Scholar]
  24. Okamoto, Y.; Zhang, H.; Mikeš, F.; Koike, Y.; He, Z.; Merkel, T.C. New perfluoro-dioxolane-based membranes for gas separations. J. Membr. Sci. 2014, 471, 412–419. [Google Scholar] [CrossRef]
  25. Fang, M.; Okamoto, Y.; Koike, Y.; He, Z.; Merkel, T.C. Gas separation membranes prepared with copolymers of perfluoro(2-methylene-4,5-dimethyl-1,3-dioxlane) and chlorotrifluoroethylene. J. Fluor. Chem. 2016, 188, 18–22. [Google Scholar] [CrossRef]
  26. Fang, M.; Chiang, H.-C.; Okamoto, Y. Mechanical and optical properties of the copolymers of perfluoro(2-methylene-4-methyl-1,3-dioxolane) and chlorotrifluoroethylene. J. Fluor. Chem. 2018, 214, 63–67. [Google Scholar] [CrossRef]
  27. Fang, M.; He, Z.; Merkel, T.C.; Okamoto, Y. High-performance perfluorodioxolane copolymer membranes for gas separation with tailored selectivity enhancement. J. Mater. Chem. A 2018, 6, 652–658. [Google Scholar] [CrossRef]
  28. Yavari, M.; Fang, M.; Nguyen, H.; Merkel, T.C.; Lin, H.; Okamoto, Y. Dioxolane-Based Perfluoropolymers with Superior Membrane Gas Separation Properties. Macromolecules 2018, 51, 2489–2497. [Google Scholar] [CrossRef]
  29. Li, Y.; Yavari, M.; Baldanza, A.; Di Maio, E.; Okamoto, Y.; Lin, H.; Galizia, M. Volumetric Properties and Sorption Behavior of Perfluoropolymers with Dioxolane Pendant Rings. Ind. Eng. Chem. Res. 2019, 59, 5276–5286. [Google Scholar] [CrossRef]
  30. Wijmans, J.G.; Baker, R.W. The solution-diffusion model: A review. J. Membr. Sci. 1995, 107, 1–21. [Google Scholar] [CrossRef]
  31. Galizia, M.; Chi, W.S.; Smith, Z.P.; Merkel, T.C.; Baker, R.W.; Freeman, B.D. 50th Anniversary Perspective: Polymers and Mixed Matrix Membranes for Gas and Vapor Separation: A Review and Prospective Opportunities. Macromolecules 2017, 50, 7809–7843. [Google Scholar] [CrossRef]
  32. Petropoulos, J.H. Mechanisms and theories for sorption and diffusion of gases in polymers. In Polymeric Gas Separation Membranes; Paul, D.R., Yampolskii, P.Y., Eds.; CRC Press: Boca Raton, FL, USA, 1994; pp. 17–81. [Google Scholar]
  33. Boschet, F.; Ameduri, B. (Co)polymers of Chlorotrifluoroethylene: Synthesis, Properties, and Applications. Chem. Rev. 2013, 114, 927–980. [Google Scholar] [CrossRef] [PubMed]
  34. Belov, N.; Nikiforov, R.Y.; Bermeshev, M.V.; Yampolskii, Y.P.; Finkelshtein, E.S. Synthesis and gas transport properties of polypentafluorostyrene. Pet. Chem. 2017, 57, 923–928. [Google Scholar] [CrossRef]
  35. Nguyen, H. Gas Separation Membranes for Pre-Combustion H2/CO2 Separation and CO2/CH4 Separation. Ph.D Thesis, University of Buffalo, New York, NY, USA, 2020. [Google Scholar]
  36. Alentiev, A.Y.; Shantarovich, V.P.; Merkel, T.C.; Bondar, V.I.; Freeman, B.D.; Yampolskii, Y.P. Gas and Vapor Sorption, Permeation, and Diffusion in Glassy Amorphous Teflon AF1600. Macromolecules 2002, 35, 9513–9522. [Google Scholar] [CrossRef]
  37. Chiang, H.-C.; Fang, M.; Okamoto, Y. Mechanical, optical and gas transport properties of poly(perfluoro-2-methylene-4-methyl-1,3-dioxolane) membrane containing perfluoropolyether as a plasticizer. J. Fluor. Chem. 2020, 236, 109572. [Google Scholar] [CrossRef]
  38. Robeson, L.M. Correlation of separation factor versus permeability for polymeric membranes. J. Membr. Sci. 1991, 62, 165–185. [Google Scholar] [CrossRef]
  39. Robeson, L.M. The upper bound revisited. J. Membr. Sci. 2008, 320, 390–400. [Google Scholar] [CrossRef]
  40. Freeman, B.D. Basis of Permeability/Selectivity Tradeoff Relations in Polymeric Gas Separation Membranes. Macromolecules 1999, 32, 375–380. [Google Scholar] [CrossRef]
  41. Haussinger, P.; Glatthaar, R.; Rhode, W.; Kick, H.; Benkmann, C.; Weber, J.; Wunschel, H.; Stenke, V.; Leicht, E.; Stenger, H. Noble gases. In Ullmann’s Encyclopedia of Industrial Chemistry, 7th ed.; Elvers, B., Ed.; Wiley: New York, NY, USA, 2016; pp. 392–443. [Google Scholar]
  42. Scholes, C.A.; Ghosh, U. Review of Membranes for Helium Separation and Purification. Membranes 2017, 7, 9. [Google Scholar] [CrossRef]
  43. Rufford, T.E.; Chan, K.I.; Huang, S.H.; May, E.F. A Review of Conventional and Emerging Process Technologies for the Recovery of Helium from Natural Gas. Adsorpt. Sci. Technol. 2014, 32, 49–72. [Google Scholar] [CrossRef]
  44. Alders, M.; Winterhalder, D.; Wessling, M. Helium recovery using membrane processes. Sep. Purif. Technol. 2017, 189, 433–440. [Google Scholar] [CrossRef]
  45. Scholes, C.A.; Gosh, U.K.; Ghosh, U. The Economics of Helium Separation and Purification by Gas Separation Membranes. Ind. Eng. Chem. Res. 2017, 56, 5014–5020. [Google Scholar] [CrossRef]
  46. Sunarso, J.; Hashim, S.; Lin, Y.; Liu, S. Membranes for helium recovery: An overview on the context, materials and future directions. Sep. Purif. Technol. 2017, 176, 335–383. [Google Scholar] [CrossRef]
Figure 1. Chemical structures of monomers (I) and (II) and their copolymers with tetrafluoroethylene (TFE): Teflon AF and Hyflon AD.
Figure 1. Chemical structures of monomers (I) and (II) and their copolymers with tetrafluoroethylene (TFE): Teflon AF and Hyflon AD.
Membranes 10 00394 g001
Figure 2. Chemical structure of the cyclic perfluoropolymer, CytopTM.
Figure 2. Chemical structure of the cyclic perfluoropolymer, CytopTM.
Membranes 10 00394 g002
Figure 3. Chemical structures of perfluorodioxolane monomers and Tg of their polymer.
Figure 3. Chemical structures of perfluorodioxolane monomers and Tg of their polymer.
Membranes 10 00394 g003
Figure 4. A typical synthetic route for a perfluorodioxolane monomer and the polymer. The case of poly(PFMMD) is shown.
Figure 4. A typical synthetic route for a perfluorodioxolane monomer and the polymer. The case of poly(PFMMD) is shown.
Membranes 10 00394 g004
Figure 5. Synthesis of perfluoro-2-methylene 4-methyl 1,3-dioxolane and poly(PFMMD).
Figure 5. Synthesis of perfluoro-2-methylene 4-methyl 1,3-dioxolane and poly(PFMMD).
Membranes 10 00394 g005
Figure 6. Chemical structures of the monomers for PFMDD, PFMMD, and CTFE, and the copolymers of poly(PFMDD-co-PFMD), poly(PFMDD-co-CTFE), and poly(PFMMD-co-CTFE) [24,27].
Figure 6. Chemical structures of the monomers for PFMDD, PFMMD, and CTFE, and the copolymers of poly(PFMDD-co-PFMD), poly(PFMDD-co-CTFE), and poly(PFMMD-co-CTFE) [24,27].
Membranes 10 00394 g006
Figure 7. Chemical structures of polyPFSt and poly(PFMMD-co-PFSt).
Figure 7. Chemical structures of polyPFSt and poly(PFMMD-co-PFSt).
Membranes 10 00394 g007
Figure 8. Effect of feed pressure on the pure-gas permeability of the freestanding films at 35 °C for (a) Poly(PFMD) and (b) Poly(PFMMD).
Figure 8. Effect of feed pressure on the pure-gas permeability of the freestanding films at 35 °C for (a) Poly(PFMD) and (b) Poly(PFMMD).
Membranes 10 00394 g008
Figure 9. Pure-gas sorption isotherms for various gases in (a) poly(PFMD) and (b) poly(PFMMD) films at 35 °C [28].
Figure 9. Pure-gas sorption isotherms for various gases in (a) poly(PFMD) and (b) poly(PFMMD) films at 35 °C [28].
Membranes 10 00394 g009
Figure 10. Effect of feed pressure on the pure gas permeability of the film (50 mol% PFSt).
Figure 10. Effect of feed pressure on the pure gas permeability of the film (50 mol% PFSt).
Membranes 10 00394 g010
Figure 11. The stress–strain curves of polymer films obtained at room temperature for samples (1) poly(PFMMD), (2) poly(PFMMD-co-CTFE) (23 mol% CTFE), (3) poly(PFMMD-co-CTFE) (30 mol% CTFE), and (4) poly(PFMMD-co-CTFE) (50 mol% CTFE) [26].
Figure 11. The stress–strain curves of polymer films obtained at room temperature for samples (1) poly(PFMMD), (2) poly(PFMMD-co-CTFE) (23 mol% CTFE), (3) poly(PFMMD-co-CTFE) (30 mol% CTFE), and (4) poly(PFMMD-co-CTFE) (50 mol% CTFE) [26].
Membranes 10 00394 g011
Figure 12. Pure-gas CO2/CH4 selectivity as a function of CO2 permeance for various perfluorinated polymer membranes. All data were measured at 22 °C, 50 psig feed pressure, and 0 psig permeate pressure. PD-1: PFMDD-co-PFMD 58:42 mol%; PD-2: PFMMD-co-PFMD 60:40 mol%; PD-3: poly(PFMMD); PD-4: poly(PFMD); and PD-5: poly(PFMMD-co-CTFE) 50:50 mol%.
Figure 12. Pure-gas CO2/CH4 selectivity as a function of CO2 permeance for various perfluorinated polymer membranes. All data were measured at 22 °C, 50 psig feed pressure, and 0 psig permeate pressure. PD-1: PFMDD-co-PFMD 58:42 mol%; PD-2: PFMMD-co-PFMD 60:40 mol%; PD-3: poly(PFMMD); PD-4: poly(PFMD); and PD-5: poly(PFMMD-co-CTFE) 50:50 mol%.
Membranes 10 00394 g012
Figure 13. Pure-gas N2/CH4 selectivity as a function of N2 permeance for various perfluorinated polymer membranes. All data measured at 22 °C, 50 psig feed pressure and 0 psig permeate pressure. PD-1: PFMMD-co-PFMD 40:60 mol%; PD-2: PFMMD-co-PFMD 50:50 mol%; PD-3: PFMMD-co-PFMD 75:25 mol%; PD-4: poly(PFMMD-co-CTFE) 63:37 mol%; and PD-5: poly(PFMMD-co-CTFE) 50:50 mol%.
Figure 13. Pure-gas N2/CH4 selectivity as a function of N2 permeance for various perfluorinated polymer membranes. All data measured at 22 °C, 50 psig feed pressure and 0 psig permeate pressure. PD-1: PFMMD-co-PFMD 40:60 mol%; PD-2: PFMMD-co-PFMD 50:50 mol%; PD-3: PFMMD-co-PFMD 75:25 mol%; PD-4: poly(PFMMD-co-CTFE) 63:37 mol%; and PD-5: poly(PFMMD-co-CTFE) 50:50 mol%.
Membranes 10 00394 g013
Figure 14. Pure-gas He/CH4 selectivity as a function of He permeance for various perfluorinated polymer membranes. All data were measured at 22 °C, 50 psig feed pressure, and 0 psig permeate pressure. PD-1: PFMDD-co-PFMD 58:42 mol%; PD-2: PFMMD-co-PFMD 60:40 mol%; PD-3: poly(PFMMD-co-PFMD) 40:60 mol%; PD-4:poly(PFMDD-co-CTFE): 43:47 mol%; and PD-5: poly(PFMMD-co-CTFE) 50:50 mol%.
Figure 14. Pure-gas He/CH4 selectivity as a function of He permeance for various perfluorinated polymer membranes. All data were measured at 22 °C, 50 psig feed pressure, and 0 psig permeate pressure. PD-1: PFMDD-co-PFMD 58:42 mol%; PD-2: PFMMD-co-PFMD 60:40 mol%; PD-3: poly(PFMMD-co-PFMD) 40:60 mol%; PD-4:poly(PFMDD-co-CTFE): 43:47 mol%; and PD-5: poly(PFMMD-co-CTFE) 50:50 mol%.
Membranes 10 00394 g014
Table 1. Physical Properties of Teflon AF, Hyflon AD, and Cytop.
Table 1. Physical Properties of Teflon AF, Hyflon AD, and Cytop.
PropertiesTeflon AFHyflon ADCytop
160024006080
Tg (°C)160240100135108
Refractive index1.311.291.331.321.34
Density (g/cm3)1.781.671.931.801.84
Dielectric constant (ε)1.931.901.872.002.1–2.2
Table 2. Physical Properties of Various Perfluorodioxolane Copolymers.
Table 2. Physical Properties of Various Perfluorodioxolane Copolymers.
SamplesCopolymersTg (°C)
NameComposition (mol:mol)
1PFMDD-co-PFMDPFMDD:PFMD =74:26155
258:42145
343:57125
4PFMDD-co-CTFEPFMDD:CTFE =80:20152
565:35132
6PFMMD-co-CTFEPFMMD:CTFE =63:37113
751:4999
843:5789
9PFMMD-co-PFStPFMMD:PFSt =0:100110
1018:8294
1135:6590
Table 3. Comparison of Physical Properties and Gas Separation Properties (35 °C) of Poly(PFMD), Poly(PFMMD), and Commercial Glassy Perfluoropolymers [9,28].
Table 3. Comparison of Physical Properties and Gas Separation Properties (35 °C) of Poly(PFMD), Poly(PFMMD), and Commercial Glassy Perfluoropolymers [9,28].
PolymersTg (°C)FFVPermeability (Barrer)Selectivity
HeH2N2CO2He/CH4H2/CO2CO2/CH4
Poly(PFMD)1110.21210500.715.916508.446
Poly(PFMMD)1350.235602407.7582804.129
Teflon AF 16001620.31-550110520-1.16.5
Hyflon AD 801340.2343021024150361.413
Cytop1080.21170595.035841.718
Table 4. Comparison of Solubility Parameter (δP), Gas Solubility, and Diffusivity in Poly(PFMD), Poly(PFMMD), Cytop, and Hyflon AD80 at 10 atm and 35 °C [28].
Table 4. Comparison of Solubility Parameter (δP), Gas Solubility, and Diffusivity in Poly(PFMD), Poly(PFMMD), Cytop, and Hyflon AD80 at 10 atm and 35 °C [28].
PolymersδP (MPa0.5)SA (cm3(STP)/(cm3 atm)) S C O 2 S C H 4 DA (10−7 cm2/s) D C O 2 D C H 4
CO2CH4CO2CH4
Poly(PFMD)10.31.30.393.30.360.02614
Cytop 1.30.304.32.00.484.2
Poly(PFMMD)10.31.40.482.93.20.159.9
Hyflon AD8010.81.50.752.08.21.17.7
Table 5. Gas Separation Properties of Thin-Film Composite Membranes Based on PFMMD-co-PFMD and PFMDD-co-PFMD at 22 °C [24,27].
Table 5. Gas Separation Properties of Thin-Film Composite Membranes Based on PFMMD-co-PFMD and PFMDD-co-PFMD at 22 °C [24,27].
CopolymersTg (°C)Permeance (GPU)Gas/CH4 Selectivity
NamePFMD (mol%)CH4HeN2H2HeCO2
PFMMD-co-PFMD01352021603.45710826
2513218.722704.38012234
40126723205.815733249
601237.3429706.016240555
PFMDD-co-PFMD2615517140032488223
4214511.51250427213034
801258.314005313020047
Table 6. Physical Properties of PFMMD-co-CTFE and PFMMD-co-CTFE and Gas Transport Properties of Their Thin Film Composite Membranes at 22 °C [24,27].
Table 6. Physical Properties of PFMMD-co-CTFE and PFMMD-co-CTFE and Gas Transport Properties of Their Thin Film Composite Membranes at 22 °C [24,27].
CopolymersTg (°C)Permeance (GPU)Gas/CH4 Selectivity
NameCTFE (mol%)N2H2HeCO2N2H2HeCO2
PFMDD-co-CTFE201524258010103202.5346019
351329.84506103456.121048048
601208.1340770783.18220128
PFMMD-co-CTFE371132063313601814.514430941
4999124571120108519447346
5789525480444.35.528490049
Table 7. Physical data of PFMMD and PFSt.
Table 7. Physical data of PFMMD and PFSt.
PFSt mol %Tg (°C)Solubility in Acetone
100110Soluble
8094Soluble
5090Soluble
20110Soluble
0135Insoluble
Table 8. Gas transport properties of PFMMD-co-PFSt (50mol%) at 50 psig and 35 °C [34,36].
Table 8. Gas transport properties of PFMMD-co-PFSt (50mol%) at 50 psig and 35 °C [34,36].
Permeance (GFU)Gas Pair Selectivity (Gas/CH4)
N2H2HeCO2CH4N2H2HeCO2
PFMMD-co-PFSt (50 mol%)2.34879291.42.0355721
PFSt5.96588505.11.1121610
Table 9. Physical and Gas Transport Properties of the Blends of PFMMD and PFPE [34].
Table 9. Physical and Gas Transport Properties of the Blends of PFMMD and PFPE [34].
PFPE Content (wt%)Tg (°C)σ (MPa)E (MPa)Permeance (GPU)Selectivity
CH4N2CO2N2/CH4H2/O2H2/CH4CO2/CH4
013512.18.520685205.75.05726
5131186.126866213.33.94624
1012517.44.229916573.23.94223
PFPE (CF2-CF2O)n Fomblin® Z60 molecular weight 13,000, m.p. = −75 °C and and b.p. > 270 °C. The Mw of PFMMD used was 1.0 × 106 g/mol.
Table 10. Physical Properties of PFMMD and PFMMD-co-CTFE Copolymers.
Table 10. Physical Properties of PFMMD and PFMMD-co-CTFE Copolymers.
SamplesCTFE mol%Tg (°C)Intrinsic Viscosity (dL/g)Mv a (106)σ (MPa)Elongation at Break (%)E (MPa)
101350.175191.76.6
2231250.1671102.14.7
3301200.160.9910.23.13.3
450990.1531138.71.5
a Average molecular weight was estimated using the Mark-Houwink equation.
Publisher’s Note: MDPI stays neutral with regard to jurisdictional claims in published maps and institutional affiliations.

Share and Cite

MDPI and ACS Style

Okamoto, Y.; Chiang, H.-C.; Fang, M.; Galizia, M.; Merkel, T.; Yavari, M.; Nguyen, H.; Lin, H. Perfluorodioxolane Polymers for Gas Separation Membrane Applications. Membranes 2020, 10, 394. https://doi.org/10.3390/membranes10120394

AMA Style

Okamoto Y, Chiang H-C, Fang M, Galizia M, Merkel T, Yavari M, Nguyen H, Lin H. Perfluorodioxolane Polymers for Gas Separation Membrane Applications. Membranes. 2020; 10(12):394. https://doi.org/10.3390/membranes10120394

Chicago/Turabian Style

Okamoto, Yoshiyuki, Hao-Chun Chiang, Minfeng Fang, Michele Galizia, Tim Merkel, Milad Yavari, Hien Nguyen, and Haiqing Lin. 2020. "Perfluorodioxolane Polymers for Gas Separation Membrane Applications" Membranes 10, no. 12: 394. https://doi.org/10.3390/membranes10120394

APA Style

Okamoto, Y., Chiang, H.-C., Fang, M., Galizia, M., Merkel, T., Yavari, M., Nguyen, H., & Lin, H. (2020). Perfluorodioxolane Polymers for Gas Separation Membrane Applications. Membranes, 10(12), 394. https://doi.org/10.3390/membranes10120394

Note that from the first issue of 2016, this journal uses article numbers instead of page numbers. See further details here.

Article Metrics

Back to TopTop