The Development of a Novel Broad-Spectrum Influenza Polypeptide Vaccine Based on Multi-Epitope Tandem Sequences
Abstract
1. Introduction
2. Materials and Methods
2.1. The Selection and Combination of Target Polypeptides for Components of a Potential Influenza Universal Vaccine
2.2. Antigenicity Evaluation of the Candidate Polypeptides
2.3. Immunogenicity Evaluation of the Candidate Polypeptides
2.4. Viral Challenge
2.5. Measurement of Specific Anti-Influenza Virus Hemagglutination Inhibition Antibodies
2.6. Measurement of Specific Neutralizing Antibodies Against Influenza Virus
2.7. Assessment of Lymphocyte Immune Response Levels Induced by Combined Polypeptides in Immunized Mice
2.8. Virus Titration
2.9. Quantification of IFN-γ in Mouse Serum
2.10. Histopathological Evaluation and Immunohistochemical Staining
2.11. Statistical Analysis
3. Results
3.1. Epitopes Analysis and Structural Characteristics of the Candidate Polypeptides
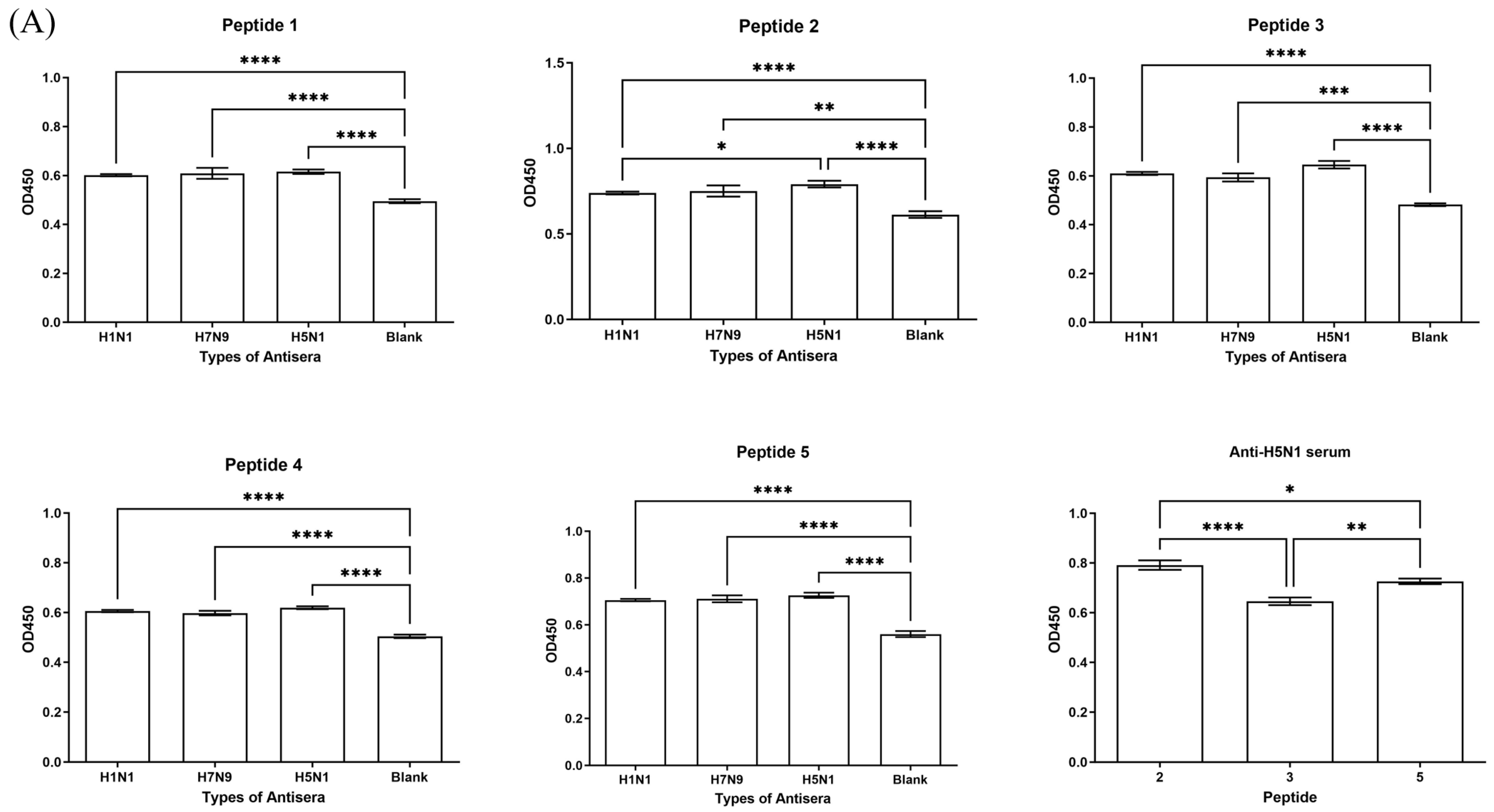
3.2. Antigenicity and Immunogenicity of Candidate Polypeptides and Cellular Immune Responses Induced by the Candidate Polypeptides
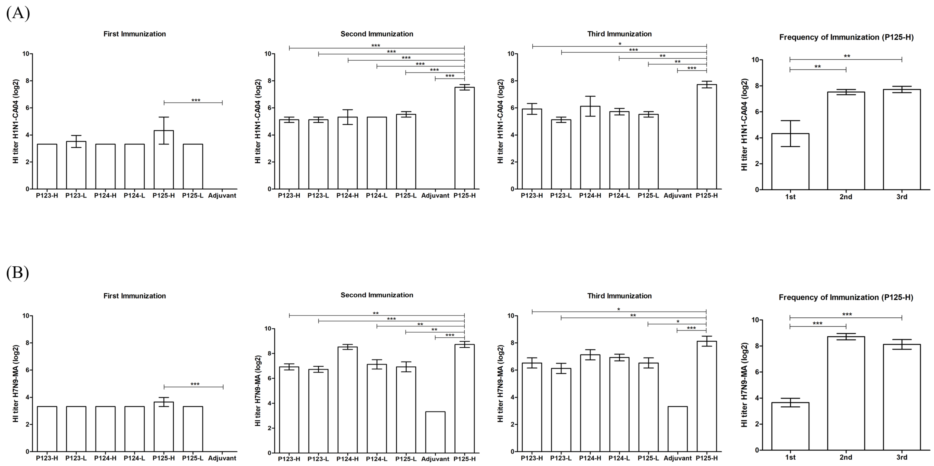
3.3. The Levels of Antibodies Against Influenza Viruses Induced by the Candidate Polypeptides
3.4. Protective Efficacy of P125-H Immunization Against Different Influenza Virus Subtypes
3.5. Effects of P125-H Immunization on Viral Load in Lung Tissue and Serum IFN-γ Levels in Infected Mice
3.6. Effects of P125-H Immunization on Pulmonary Lesions in Infected Mice
4. Discussion
5. Conclusions
Author Contributions
Funding
Institutional Review Board Statement
Informed Consent Statement
Data Availability Statement
Acknowledgments
Conflicts of Interest
References
- Dzau, V.; Yadav, P. The influenza imperative: We must prepare now for seasonal and pandemic influenza. Lancet. Microbe 2023, 4, e203–e205. [Google Scholar] [CrossRef] [PubMed]
- Nguyen, J.L.; Yang, W.; Ito, K.; Matte, T.D.; Shaman, J.; Kinney, P.L. Seasonal Influenza Infections and Cardiovascular Disease Mortality. JAMA Cardiol. 2016, 1, 274–281. [Google Scholar] [CrossRef] [PubMed]
- Word Health Organization. Influenza (Seasonal). 2023. Available online: https://www.who.int/en/news-room/fact-sheets/detail/influenza-(seasonal) (accessed on 3 October 2023).
- Bouvier, N.M.; Palese, P. The biology of influenza viruses. Vaccine 2008, 26 (Suppl. S4), D49–D53. [Google Scholar] [CrossRef] [PubMed]
- Eisenstein, M. Towards a universal flu vaccine. Nature 2019, 573, S50–S52. [Google Scholar] [CrossRef] [PubMed]
- Feranmi, F. Universal flu vaccine protects against influenza A and B. Lancet. Microbe 2022, 3, e902. [Google Scholar] [CrossRef] [PubMed]
- Zhu, W.; Wang, C.; Wang, B.Z. From Variation of Influenza Viral Proteins to Vaccine Development. Int. J. Mol. Sci. 2017, 18, 1554. [Google Scholar] [CrossRef] [PubMed]
- Vemula, S.V.; Sayedahmed, E.E.; Sambhara, S.; Mittal, S.K. Vaccine approaches conferring cross-protection against influenza viruses. Expert Rev. Vaccines 2017, 16, 1141–1154. [Google Scholar] [CrossRef] [PubMed]
- Rcheulishvili, N.; Mao, J.; Papukashvili, D.; Liu, C.; Wang, Z.; Zhao, J.; Xie, F.; Pan, X.; Ji, Y.; He, Y.; et al. Designing multi-epitope mRNA construct as a universal influenza vaccine candidate for future epidemic/pandemic preparedness. Int. J. Biol. Macromol. 2023, 226, 885–899. [Google Scholar] [CrossRef] [PubMed]
- Liu, Y.; Shen, T.; Zhou, J.; Chen, L.; Shi, S.; Wang, X.; Zhang, M.; Wang, C.; Liao, C. Bursal peptide BP-IV as a novel immunoadjuvant enhances the protective efficacy of an epitope peptide vaccine containing T and B cell epitopes of the H9N2 avian influenza virus. Microb. Pathog. 2021, 158, 105095. [Google Scholar] [CrossRef]
- Sanchez, P.L.; Staats, H.F.; Abraham, S.N.; Ross, T.M. Mastoparan-7 adjuvanted COBRA H1 and H3 hemagglutinin influenza vaccines. Sci. Rep. 2024, 14, 13800. [Google Scholar] [CrossRef]
- Li, W.; Joshi, M.D.; Singhania, S.; Ramsey, K.H.; Murthy, A.K. Peptide Vaccine: Progress and Challenges. Vaccines 2014, 2, 515–536. [Google Scholar] [CrossRef]
- Bullard, B.L.; Weaver, E.A. Strategies Targeting Hemagglutinin as a Universal Influenza Vaccine. Vaccines 2021, 9, 257. [Google Scholar] [CrossRef] [PubMed]
- Ekiert, D.C.; Friesen, R.H.; Bhabha, G.; Kwaks, T.; Jongeneelen, M.; Yu, W.; Ophorst, C.; Cox, F.; Korse, H.J.; Brandenburg, B.; et al. A highly conserved neutralizing epitope on group 2 influenza A viruses. Science 2011, 333, 843–850. [Google Scholar] [CrossRef] [PubMed]
- Liang, Z.; Lin, X.; Sun, L.; Edwards, K.M.; Song, W.; Sun, H.; Xie, Y.; Lin, F.; Ling, S.; Liang, T.; et al. A(H2N2) and A(H3N2) influenza pandemics elicited durable cross-reactive and protective antibodies against avian N2 neuraminidases. Nat. Commun. 2024, 15, 5593. [Google Scholar] [CrossRef] [PubMed]
- Stadlbauer, D.; Zhu, X.; McMahon, M.; Turner, J.S.; Wohlbold, T.J.; Schmitz, A.J.; Strohmeier, S.; Yu, W.; Nachbagauer, R.; Mudd, P.A.; et al. Broadly protective human antibodies that target the active site of influenza virus neuraminidase. Science 2019, 366, 499–504. [Google Scholar] [CrossRef] [PubMed]
- Saelens, X. The Role of Matrix Protein 2 Ectodomain in the Development of Universal Influenza Vaccines. J. Infect. Dis. 2019, 219 (Suppl. S1), S68–S74. [Google Scholar] [CrossRef]
- Braz Gomes, K.; Zhang, Y.N.; Lee, Y.Z.; Eldad, M.; Lim, A.; Ward, G.; Auclair, S.; He, L.; Zhu, J. Single-Component Multilayered Self-Assembling Protein Nanoparticles Displaying Extracellular Domains of Matrix Protein 2 as a Pan-influenza A Vaccine. ACS Nano 2023, 17, 23545–23567. [Google Scholar] [CrossRef] [PubMed]
- Yao, Y.; Wang, H.; Chen, J.; Shao, Z.; He, B.; Chen, J.; Lan, J.; Chen, Q.; Chen, Z. Protection against homo and hetero-subtypic influenza A virus by optimized M2e DNA vaccine. Emerg. Microbes Infect. 2019, 8, 45–54. [Google Scholar] [CrossRef] [PubMed]
- Kallinteris, N.L.; Lu, X.; Blackwell, C.E.; von Hofe, E.; Humphreys, R.E.; Xu, M. Ii-Key/MHC class II epitope hybrids: A strategy that enhances MHC class II epitope loading to create more potent peptide vaccines. Expert Opin. Biol. Ther. 2006, 6, 1311–1321. [Google Scholar] [CrossRef] [PubMed]
- Xu, M.; Kallinteris, N.L.; von Hofe, E. CD4+ T-cell activation for immunotherapy of malignancies using Ii-Key/MHC class II epitope hybrid vaccines. Vaccine 2012, 30, 2805–2810. [Google Scholar] [CrossRef]
- Ainslie, K.E.C.; Haber, M.; Orenstein, W.A. Challenges in estimating influenza vaccine effectiveness. Expert Rev. Vaccines 2019, 18, 615–628. [Google Scholar] [CrossRef] [PubMed]
- Frutos, A.M.; Price, A.M.; Harker, E.; Reeves, E.L.; Ahmad, H.M.; Murugan, V.; Martin, E.T.; House, S.; Saade, E.A.; Zimmerman, R.K.; et al. Interim Estimates of 2023-24 Seasonal Influenza Vaccine Effectiveness—United States. MMWR. Morb. Mortal. Wkly. Rep. 2024, 73, 168–174. [Google Scholar] [CrossRef] [PubMed]
- De Groot, A.S.; Moise, L.; Terry, F.; Gutierrez, A.H.; Hindocha, P.; Richard, G.; Hoft, D.F.; Ross, T.M.; Noe, A.R.; Takahashi, Y.; et al. Better Epitope Discovery, Precision Immune Engineering, and Accelerated Vaccine Design Using Immunoinformatics Tools. Front. Immunol. 2020, 11, 442. [Google Scholar] [CrossRef] [PubMed]
- Allen, J.D.; Ross, T.M. mRNA vaccines encoding computationally optimized hemagglutinin elicit protective antibodies against future antigenically drifted H1N1 and H3N2 influenza viruses isolated between 2018–2020. Front. Immunol. 2024, 15, 1334670. [Google Scholar] [CrossRef] [PubMed]
- Allen, J.D.; Ross, T.M. Next generation methodology for updating HA vaccines against emerging human seasonal influenza A(H3N2) viruses. Sci. Rep. 2021, 11, 4554. [Google Scholar] [CrossRef] [PubMed]
- Mohanty, E.; Mohanty, A. Role of artificial intelligence in peptide vaccine design against RNA viruses. Inform. Med. Unlocked 2021, 26, 100768. [Google Scholar] [CrossRef] [PubMed]
- Atmar, R.L.; Bernstein, D.I.; Winokur, P.; Frey, S.E.; Angelo, L.S.; Bryant, C.; Ben-Yedidia, T.; Roberts, P.C.; El Sahly, H.M.; Keitel, W.A. Safety and immunogenicity of Multimeric-001 (M-001) followed by seasonal quadrivalent inactivated influenza vaccine in young adults—A randomized clinical trial. Vaccine 2023, 41, 2716–2722. [Google Scholar] [CrossRef] [PubMed]
- Pleguezuelos, O.; James, E.; Fernandez, A.; Lopes, V.; Rosas, L.A.; Cervantes-Medina, A.; Cleath, J.; Edwards, K.; Neitzey, D.; Gu, W.; et al. Efficacy of FLU-v, a broad-spectrum influenza vaccine, in a randomized phase IIb human influenza challenge study. NPJ Vaccines 2020, 5, 22. [Google Scholar] [CrossRef] [PubMed]
- Skwarczynski, M.; Toth, I. Peptide-based synthetic vaccines. Chem. Sci. 2016, 7, 842–854. [Google Scholar] [CrossRef]
- Wu, N.C.; Ellebedy, A.H. Targeting neuraminidase: The next frontier for broadly protective influenza vaccines. Trends Immunol. 2024, 45, 11–19. [Google Scholar] [CrossRef]
- Sui, J.; Hwang, W.C.; Perez, S.; Wei, G.; Aird, D.; Chen, L.M.; Santelli, E.; Stec, B.; Cadwell, G.; Ali, M.; et al. Structural and functional bases for broad-spectrum neutralization of avian and human influenza A viruses. Nat. Struct. Mol. Biol. 2009, 16, 265–273. [Google Scholar] [CrossRef] [PubMed]
- Kallinteris, N.L.; Lu, X.; Wu, S.; Hu, H.; Li, Y.; Gulfo, J.V.; Humphreys, R.E.; Xu, M. Ii-Key/MHC class II epitope hybrid peptide vaccines for HIV. Vaccine 2003, 21, 4128–4132. [Google Scholar] [CrossRef]
- Del Giudice, G.; Rappuoli, R.; Didierlaurent, A.M. Correlates of adjuvanticity: A review on adjuvants in licensed vaccines. Semin. Immunol. 2018, 39, 14–21. [Google Scholar] [CrossRef] [PubMed]
- Akhtar, N.; Kaushik, V.; Grewal, R.K.; Wani, A.K.; Suwattanasophon, C.; Choowongkomon, K.; Oliva, R.; Shaikh, A.R.; Cavallo, L.; Chawla, M. Immunoinformatics-Aided Design of a Peptide Based Multiepitope Vaccine Targeting Glycoproteins and Membrane Proteins against Monkeypox Virus. Viruses 2022, 14, 2374. [Google Scholar] [CrossRef] [PubMed]
- Sharif, N.; Alzahrani, K.J.; Ahmed, S.N.; Dey, S.K. Efficacy, Immunogenicity and Safety of COVID-19 Vaccines: A Systematic Review and Meta-Analysis. Front. Immunol. 2021, 12, 714170. [Google Scholar] [CrossRef] [PubMed]
- McCall, M.B.B.; Kremsner, P.G.; Mordmüller, B. Correlating efficacy and immunogenicity in malaria vaccine trials. Semin. Immunol. 2018, 39, 52–64. [Google Scholar] [CrossRef] [PubMed]
- Arevalo, C.P.; Bolton, M.J.; Le Sage, V.; Ye, N.; Furey, C.; Muramatsu, H.; Alameh, M.G.; Pardi, N.; Drapeau, E.M.; Parkhouse, K.; et al. A multivalent nucleoside-modified mRNA vaccine against all known influenza virus subtypes. Science 2022, 378, 899–904. [Google Scholar] [CrossRef] [PubMed]
- Ray, R.; Nait Mohamed, F.A.; Maurer, D.P.; Huang, J.; Alpay, B.A.; Ronsard, L.; Xie, Z.; Han, J.; Fernandez-Quintero, M.; Phan, Q.A.; et al. Eliciting a single amino acid change by vaccination generates antibody protection against group 1 and group 2 influenza A viruses. Immunity 2024, 57, 1141–1159.e11. [Google Scholar] [CrossRef] [PubMed]
- Grant, E.J.; Chen, L.; Quiñones-Parra, S.; Pang, K.; Kedzierska, K.; Chen, W. T-cell immunity to influenza A viruses. Crit. Rev. Immunol. 2014, 34, 15–39. [Google Scholar] [CrossRef]
- Wang, K.S.; Frank, D.A.; Ritz, J. Interleukin-2 enhances the response of natural killer cells to interleukin-12 through up-regulation of the interleukin-12 receptor and STAT4. Blood 2000, 95, 3183–3190. [Google Scholar] [CrossRef]
- Kim, M.C.; Song, J.M.; Eunju, O.; Kwon, Y.M.; Lee, Y.J.; Compans, R.W.; Kang, S.M. Virus-like particles containing multiple M2 extracellular domains confer improved cross-protection against various subtypes of influenza virus. Mol. Ther. J. Am. Soc. Gene Ther. 2013, 21, 485–492. [Google Scholar] [CrossRef] [PubMed]
- Bliss, C.M.; Nachbagauer, R.; Mariottini, C.; Cuevas, F.; Feser, J.; Naficy, A.; Bernstein, D.I.; Guptill, J.; Walter, E.B.; Berlanda-Scorza, F.; et al. A chimeric haemagglutinin-based universal influenza virus vaccine boosts human cellular immune responses directed towards the conserved haemagglutinin stalk domain and the viral nucleoprotein. EBioMedicine 2024, 104, 105153. [Google Scholar] [CrossRef] [PubMed]
- Carascal, M.B.; Pavon, R.D.N.; Rivera, W.L. Recent Progress in Recombinant Influenza Vaccine Development Toward Heterosubtypic Immune Response. Front. Immunol. 2022, 13, 878943. [Google Scholar] [CrossRef] [PubMed]









| Predicted Structure | Tool/Algorithm | Website | Setting * |
|---|---|---|---|
| MHC-II binding | NetMHCIIpan4.1 EL | http://tools.iedb.org/mhcii/ (accessed on 18 August 2023) | Percentile Rank < 10 |
| CD4+ T-cell immunogenicity | IEDB recommended (combined) | http://tools.iedb.org/CD4episcore/ (accessed on 24 August 2023) | Score Threshold > 90 |
| Protective antigens | VaxiJen v2.0 | https://www.ddg-pharmfac.net/vaxijen/VaxiJen/VaxiJen.html (accessed on 3 September 2023) | Threshold = 0.4 |
| Linear B-cell epitopes | Bepipred Linear Epitope Prediction 2.0 | http://tools.iedb.org/bcell/ (accessed on 12 September 2023) | Threshold = 0.5 |
Disclaimer/Publisher’s Note: The statements, opinions and data contained in all publications are solely those of the individual author(s) and contributor(s) and not of MDPI and/or the editor(s). MDPI and/or the editor(s) disclaim responsibility for any injury to people or property resulting from any ideas, methods, instructions or products referred to in the content. |
© 2025 by the authors. Licensee MDPI, Basel, Switzerland. This article is an open access article distributed under the terms and conditions of the Creative Commons Attribution (CC BY) license (https://creativecommons.org/licenses/by/4.0/).
Share and Cite
Zhao, S.; Luo, J.; Guo, W.; Li, L.; Pu, S.; Dong, L.; Zhu, W.; Gao, R. The Development of a Novel Broad-Spectrum Influenza Polypeptide Vaccine Based on Multi-Epitope Tandem Sequences. Vaccines 2025, 13, 81. https://doi.org/10.3390/vaccines13010081
Zhao S, Luo J, Guo W, Li L, Pu S, Dong L, Zhu W, Gao R. The Development of a Novel Broad-Spectrum Influenza Polypeptide Vaccine Based on Multi-Epitope Tandem Sequences. Vaccines. 2025; 13(1):81. https://doi.org/10.3390/vaccines13010081
Chicago/Turabian StyleZhao, Song, Junhao Luo, Wenhui Guo, Li Li, Siyu Pu, Libo Dong, Wenfei Zhu, and Rongbao Gao. 2025. "The Development of a Novel Broad-Spectrum Influenza Polypeptide Vaccine Based on Multi-Epitope Tandem Sequences" Vaccines 13, no. 1: 81. https://doi.org/10.3390/vaccines13010081
APA StyleZhao, S., Luo, J., Guo, W., Li, L., Pu, S., Dong, L., Zhu, W., & Gao, R. (2025). The Development of a Novel Broad-Spectrum Influenza Polypeptide Vaccine Based on Multi-Epitope Tandem Sequences. Vaccines, 13(1), 81. https://doi.org/10.3390/vaccines13010081

