Changing Perspectives on Pediatric Human Papillomavirus (HPV) Vaccination among Dental Students and Residents Reveals Recent Increase in Vaccine Hesitancy
Abstract
:1. Introduction
2. Materials and Methods
2.1. Human Subjects Approval
2.2. Survey
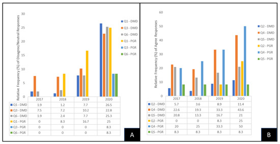
- Vaccines are necessary to protect public health
- There are too many required vaccines
- Vaccines are generally safe
- Vaccination can make you sick
- Some vaccines are dangerous
- Vaccines are generally effective
- I follow the ACIP vaccine guidelines for myself
- I adhere to the vaccine guidelines for my family
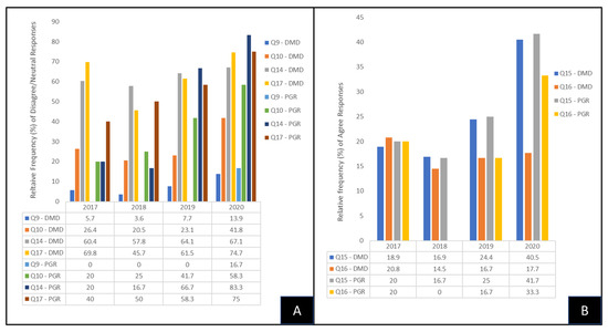
- I am aware of a vaccine for human papillomavirus (HPV)
- HPV vaccination is important for me
- HPV vaccination is important for (my) spouse/partner
- HPV vaccination is important for (my) daughter(s)
- HPV vaccination is important for (my) son(s)
- I have discussed HPV vaccination with a doctor
- I do not have enough information about the HPV vaccine
- I am concerned about possible HPV vaccine side effects
- I have already received the HPV vaccine
2.3. Statistical Analysis
3. Results
4. Discussion
5. Conclusions
Author Contributions
Funding
Institutional Review Board Statement
Informed Consent Statement
Data Availability Statement
Acknowledgments
Conflicts of Interest
References
- Durach, F.; Buturoiu, R.; Craiu, D.; Cazacu, C.; Bargaoanu, A. Crisis of confidence in vaccination and the role of social media. Eur. J. Paediatr. Neurol. 2021, 36, 84–92. [Google Scholar] [CrossRef] [PubMed]
- Al-Regaiey, K.A.; Alshamry, W.S.; Alqarni, R.A.; Albarrak, M.K.; Alghoraiby, R.M.; Alkadi, D.Y.; Alhakeem, L.R.; Bashir, S.; Iqbal, M. Influence of social media on parents’ attitudes towards vaccine administration. Hum. Vaccin. Immunother. 2021, 17, 1–8. [Google Scholar] [CrossRef] [PubMed]
- Garett, R.; Young, S.D. Online misinformation and vaccine hesitancy. Transl. Behav. Med. 2021, 11, 2194–2199. [Google Scholar] [CrossRef] [PubMed]
- Turner, P.J.; Larson, H.; Dubé, È.; Fisher, A. Vaccine Hesitancy: Drivers and How the Allergy Community Can Help. J. Allergy Clin. Immunol. Pract. 2021, 9, 3568–3574. [Google Scholar] [CrossRef] [PubMed]
- Daley, M.F.; Narwaney, K.J.; Shoup, J.A.; Wagner, N.M.; Glanz, J.M. Addressing Parents’ Vaccine Concerns: A Randomized Trial of a Social Media Intervention. Am. J. Prev. Med. 2018, 55, 44–54. [Google Scholar] [CrossRef] [PubMed]
- Kaufman, J.; Ryan, R.; Walsh, L.; Horey, D.; Leask, J.; Robinson, P.; Hill, S. Face-to-face interventions for informing or educating parents about early childhood vaccination. Cochrane Database Syst. Rev. 2018, 5, CD010038. [Google Scholar] [CrossRef] [PubMed]
- Glanz, J.M.; Wagner, N.M.; Narwaney, K.J.; Kraus, C.R.; Shoup, J.A.; Xu, S.; O’Leary, S.T.; Omer, S.B.; Gleason, K.S.; Daley, M.F. Web-based Social Media Intervention to Increase Vaccine Acceptance: A Randomized Controlled Trial. Pediatrics 2017, 140, e20171117. [Google Scholar] [CrossRef] [Green Version]
- Fernández-Basanta, S.; Lagoa-Millarengo, M.; Movilla-Fernández, M.J. Encountering Parents Who Are Hesitant or Reluctant to Vaccinate Their Children: A Meta-Ethnography. Int. J. Environ. Res. Public Health 2021, 18, 7584. [Google Scholar] [CrossRef]
- Majid, U.; Ahmad, M. The Factors That Promote Vaccine Hesitancy, Rejection, or Delay in Parents. Qual. Health Res. 2020, 30, 1762–1776. [Google Scholar] [CrossRef]
- Haroune, V.; King, L. Factors contributing to parental ‘vaccine hesitancy’ for childhood immunisations. Nurs. Child Young People 2020, 32, 20–25. [Google Scholar] [CrossRef]
- Alamoodi, A.H.; Zaidan, B.B.; Al-Masawa, M.; Taresh, S.M.; Noman, S.; Ahmaro, I.Y.Y.; Garfan, S.; Chen, J.; Ahmed, M.A.; Zaidan, A.A.; et al. Multi-perspectives systematic review on the applications of sentiment analysis for vaccine hesitancy. Comput. Biol. Med. 2021, 139, 104957. [Google Scholar] [CrossRef] [PubMed]
- Cooper, S.; Schmidt, B.M.; Sambala, E.Z.; Swartz, A.; Colvin, C.J.; Leon, N.; Wiysonge, C.S. Factors that influence parents’ and informal caregivers’ views and practices regarding routine childhood vaccination: A qualitative evidence synthesis. Cochrane Database Syst. Rev. 2021, 10, CD013265. [Google Scholar] [CrossRef] [PubMed]
- Ames, H.M.; Glenton, C.; Lewin, S. Parents’ and informal caregivers’ views and experiences of communication about routine childhood vaccination: A synthesis of qualitative evidence. Cochrane Database Syst. Rev. 2017, 2, CD011787. [Google Scholar] [CrossRef] [PubMed] [Green Version]
- Lin, C.; Mullen, J.; Smith, D.; Kotarba, M.; Kaplan, S.J.; Tu, P. Healthcare Providers’ Vaccine Perceptions, Hesitancy, and Recommendation to Patients: A Systematic Review. Vaccines 2021, 9, 713. [Google Scholar] [CrossRef]
- Stull, C.; Freese, R.; Sarvas, E. Parent perceptions of dental care providers’ role in human papillomavirus prevention and vaccine advocacy. J. Am. Dent. Assoc. 2020, 151, 560–567. [Google Scholar] [CrossRef]
- Villa, A.; Chmieliauskaite, M.; Patton, L.L. Including vaccinations in the scope of dental practice: The time has come. J. Am. Dent. Assoc. 2021, 152, 184–186. [Google Scholar] [CrossRef]
- Kornides, M.L.; McRee, A.L.; Gilkey, M.B. Parents Who Decline HPV Vaccination: Who Later Accepts and Why? Acad. Pediatr. 2018, 18, S37–S43. [Google Scholar] [CrossRef] [Green Version]
- Guadiana, D.; Kavanagh, N.M.; Squarize, C.H. Oral health care professionals recommending and administering the HPV vaccine: Understanding the strengths and assessing the barriers. PLoS ONE 2021, 16, e0248047. [Google Scholar] [CrossRef]
- Daley, E.; Dodd, V.; De Bate, R.; Vamos, C.; Wheldon, C.; Kline, N.; Smith, S.; Chandler, R.; Dyer, K.; Helmy, H.; et al. Prevention of HPV-related oral cancer: Assessing dentists’ readiness. Public Health 2014, 128, 231–238. [Google Scholar] [CrossRef] [Green Version]
- Vázquez-Otero, C.; Vamos, C.A.; Thompson, E.L.; Merrell, L.K.; Griner, S.B.; Kline, N.S.; Catalanotto, F.A.; Giuliano, A.R.; Daley, E.M. Assessing dentists’ human papillomavirus-related health literacy for oropharyngeal cancer prevention. J. Am. Dent. Assoc. 2018, 149, 9–17. [Google Scholar] [CrossRef]
- Shukla, A.; Nyambose, J.; Vanucci, R.; Johnson, L.B.; Welch, K.; Lind, E.; Villa, A. Evaluating the Effectiveness of Human Papillomavirus Educational Intervention among Oral Health Professionals. J. Cancer Educ. 2019, 34, 890–896. [Google Scholar] [CrossRef] [PubMed]
- Pampena, E.; Vanucci, R.; Johnson, L.B.; Bind, M.A.; Tamayo, I.; Welch, K.; Lind, E.; Wagner, R.; Villa, A. Educational Interventions on Human Papillomavirus for Oral Health Providers. J. Cancer Educ. 2020, 35, 689–695. [Google Scholar] [CrossRef] [PubMed]
- Nelson, J.D.; Lubker, I.; Bowers, L.; Neville, B. Elevating dental training to prioritize prevention efforts for reducing HPV-related oropharyngeal cancer incidence. J. Dent. Educ. 2021, 85, 835–846. [Google Scholar] [CrossRef]
- Arora, S.; Ramachandra, S.S.; Squier, C. Knowledge about human papillomavirus (HPV) related oral cancers among oral health professionals in university setting-A cross sectional study. J. Oral Biol. Craniofac. Res. 2018, 8, 35–39. [Google Scholar] [CrossRef] [PubMed] [Green Version]
- Rakhra, D.; Walker, T.W.M.; Hall, S.; Fleming, C.A.; Thomas, S.J.; Kerai, A.; Horwood, J.P.; Waylen, A.E. Human papillomavirus (HPV) and its vaccine: Awareness and opinions of clinical dental students in a UK dental school. Br. Dent. J. 2018, 225, 976–981. [Google Scholar] [CrossRef] [PubMed]
- Mann, S.K.; Kingsley, K. Human Papillomavirus (HPV) Vaccine Knowledge, Awareness and Acceptance among Dental Students and Post-Graduate Dental Residents. Dent. J. 2020, 8, 45. [Google Scholar] [CrossRef]
- Zhang, E.J.; Chughtai, A.A.; Heywood, A.; MacIntyre, C.R. Influence of political and medical leaders on parental perception of vaccination: A cross-sectional survey in Australia. BMJ Open 2019, 9, e025866. [Google Scholar] [CrossRef] [PubMed] [Green Version]
- Recio-Román, A.; Recio-Menéndez, M.; Román-González, M.V. Vaccine Hesitancy and Political Populism. An Invariant Cross-European Perspective. Int. J. Environ. Res. Public Health 2021, 18, 12953. [Google Scholar] [CrossRef]
- Cataldi, J.R.; O’Leary, S.T. Parental vaccine hesitancy: Scope, causes, and potential responses. Curr. Opin. Infect. Dis. 2021, 34, 519–526. [Google Scholar] [CrossRef]
- Gerend, M.A.; Magloire, Z.F. Awareness, knowledge, and beliefs about human papillomavirus in a racially diverse sample of young adults. J. Adolesc. Health 2008, 42, 237–242. [Google Scholar] [CrossRef]
- Zeller, B.; Kulik, E.M.; Zitzmann, N.U.; Waltimo, T. Awareness of vaccine-preventable diseases and self-reported immune status of Swiss dental healthcare workers. Swiss Med. Wkly 2021, 151, w30036. [Google Scholar] [CrossRef]
- La Fauci, V.; Squeri, R.; Genovese, C.; Anzalone, C.; Fedele, F.; Squeri, A.; Alessi, V. An observational study of university students of healthcare area: Knowledge, attitudes and behaviour towards vaccinations. Clin. Ter. 2019, 170, e448–e453. [Google Scholar] [CrossRef] [PubMed]
- Moretti, F.; Visentin, D.; Bovolenta, E.; Rimondini, M.; Majori, S.; Mazzi, M.; Poli, A.; Tardivo, S.; Torri, E. Attitudes of Nursing Home Staff Towards Influenza Vaccination: Opinions and Factors Influencing Hesitancy. Int. J. Environ. Res. Public Health 2020, 17, 1851. [Google Scholar] [CrossRef] [PubMed] [Green Version]
- Marti, M.; de Cola, M.; MacDonald, N.E.; Dumolard, L.; Duclos, P. Assessments of global drivers of vaccine hesitancy in 2014-Looking beyond safety concerns. PLoS ONE 2017, 12, e0172310. [Google Scholar] [CrossRef] [Green Version]
- Lane, S.; MacDonald, N.E.; Marti, M.; Dumolard, L. Vaccine hesitancy around the globe: Analysis of three years of WHO/UNICEF Joint Reporting Form Data 2015–2017. Vaccine 2018, 36, 3861–3867. [Google Scholar] [CrossRef]
- Kulkarni, S.; Harvey, B.; Prybylski, D.; Jalloh, M.F. Trends in classifying vaccine hesitancy reasons reported in the WHO/UNICEF Joint Reporting Form, 2014–2017: Use and comparability of the Vaccine Hesitancy Matrix. Hum. Vaccin. Immunother. 2021, 17, 2001–2007. [Google Scholar] [CrossRef]
- Lindsay, A.C.; Delgado, D.; Valdez, M.J.; Restrepo, E.; Granberry, P. “Everyone in our community should be informed about the HPV vaccine”: Latinx mothers’ suggested strategies to promote the human papillomavirus vaccine. Am. J. Health Promot. 2022, 27, 8901171211073960. [Google Scholar] [CrossRef]
- Zhang, J.; Xue, H.; Calabrese, C.; Chen, H.; Dang, J.H.T. Understanding Human Papillomavirus Vaccine Promotions and Hesitancy in Northern California Through Examining Public Facebook Pages and Groups. Front. Digit. Health 2021, 3, 683090. [Google Scholar] [CrossRef] [PubMed]
- Polonijo, A.N.; Lee, S.S.; Nagpal, N.; Barros, R.; Hopfer, S.; Brown, B.; Pellman, H.; Singh, J. How do patient-provider relationship continuity, gender, and language affect pediatric HPV vaccine acceptance? Hum. Vaccin. Immunother. 2021, 17, 4467–4469. [Google Scholar] [CrossRef]
- Krupenkin, M.; Yom-Tov, E.; Rothschild, D. Vaccine advertising: Preach to the converted or to the unaware? NPJ Digit. Med. 2021, 4, 23. [Google Scholar] [CrossRef]
- Lama, Y.; Quinn, S.C.; Nan, X.; Cruz-Cano, R. Social media use and human papillomavirus awareness and knowledge among adults with children in the household: Examining the role of race, ethnicity, and gender. Hum. Vaccin. Immunother. 2021, 17, 1014–1024. [Google Scholar] [CrossRef] [PubMed]
- Shapiro, G.K.; Tatar, O.; Dube, E.; Amsel, R.; Knauper, B.; Naz, A.; Perez, S.; Rosberger, Z. The vaccine hesitancy scale: Psychometric properties and validation. Vaccine 2018, 36, 660–667. [Google Scholar] [CrossRef] [PubMed]
- Martinez, L.; Fofana, F.; Raineri, F.; Arnould, P.; Benmedjahed, K.; Coindard, G.; Denis, F.; Duhot, D.; Gallais, J.L.; Seyler, D.; et al. Scoring and psychometric validation of the ‘Determinants of Intentions to Vaccinate’ (DIVA©) questionnaire. BMC Fam. Pract. 2016, 17, 143, Erratum in BMC Fam Pract. 2016, 17, 171. [Google Scholar] [CrossRef] [Green Version]


| Demographic | Study Sample | Cohorts | Statistical Analysis |
|---|---|---|---|
| Sex Male Female | DMD study sample 54.9% (n = 161/293) 45.1% (n = 132/293) | DMD cohorts 57.8% (n = 189/327) 42.2% (n = 138/327) | χ2 = 0.510, d.f. = 1 p = 0.4750 |
| Race/Ethnicity White Asian/Pacific Islander Hispanic Black/Other | DMD study sample 41.6% (n = 122/293) 47.4% (n = 139/293) 9.6% (n = 28/293) 1.4% (n = 4/293) | DMD cohorts 42.8% (n = 140/327) 46.8% (n = 153/327) 8.6% (n = 28/327) 1.8% (n = 6/327) | χ2 = 0.087, d.f. = 1 p = 0.7674 |
| Age Average age | 25.46 years | 25.62 years | Students t-test p = 0.7134 |
| Total number of responses per cohort | 2017: 67.9% (n = 53/78) 2018: 97.6% (n = 83/85) 2019: 95.1% (n = 78/82) 2020: 96.3% (n = 79/82) | ||
| Sex Male Female | PG study sample 46.3% (n = 19/41) 53.7% (n = 22/41) | PG cohorts 45.8% (n = 22/48) 54.2% (n = 26/48) | χ2 = 0.002, d.f. = 1 p = 0.9618 |
| Race/Ethnicity White Asian/Pacific Islander Hispanic Black/Other | PG study sample 51.2% (n = 21/41) 46.3% (n = 19/41) 0.0% (n = 0/41) 2.4% (n = 1/41) | PG cohorts 50.0% (n = 24/48) 47.9% (n = 23/48) 0.0% (n = 0/48) 2.1% (n = 1/48) | χ2 = 0.013, d.f. = 1 p = 0.9087 |
| Age Average age | 27.1 years | 26.7 years | Students t-test p = 0.7749 |
| Total number of responses per cohort | 2017: 41.6% (n = 5/12) 2018: 100% (n = 12/12) 2019: 100% (n = 12/12) 2020: 100% (n = 12/12) |
| Question | Agree | Neutral | Disagree | Not Applicable |
|---|---|---|---|---|
| 1. Vaccines are necessary to protect public health | DMD 90.1% PGR 85.4% (DMD = 264/293) (PGR = 35/41) | DMD 2.7% PGR 0% (DMD = 8/293) (PGR = 0/41) | DMD 7.2% PGR 14.6% (n = 21/293) (n = 6/41) | n.r. |
| 2. There are too many required vaccines | DMD 7.5% PGR 9.8% (DMD = 22/293) (PGR = 4/41) | DMD 27.3% PGR 29.3% (DMD = 80/293) (PGR = 12/41) | DMD 65.2% PGR 60.9% (n = 191/293) (n = 25/41) | n.r. |
| 3. Vaccines are generally safe | DMD 87.7% PGR 97.6% (DMD = 257/293) (PGR = 40/41) | DMD 11.9% PGR 2.4% (DMD = 35/293) (PGR = 1/41) | DMD 0.3% PGR 0% (n = 1/293) (n = 0/41) | n.r. |
| 4. Vaccination can make you sick | DMD 30.0% PGR 34.1% (DMD = 88/293) (PGR = 14/41) | DMD 41.3% PGR 34.1% (DMD = 121/293) (PGR = 14/41) | DMD 28.7% PGR 31.7% (n = 84/293) (n = 13/41) | n.r. |
| 5. Some vaccines are dangerous | DMD 19.1% PGR 9.8% (DMD = 56/293) (PGR = 4/41) | DMD 37.2% PGR 31.7% (DMD = 109/293) (PGR = 13/41) | DMD 43.7% PGR 58.5% (n = 128/293) (n = 24/41) | n.r. |
| 6. Vaccines are generally effective | DMD 90.1% PGR 97.6% (DMD = 264/293) (PGR = 40/41) | DMD 2.4% PGR 2.4% (DMD = 7/293) (PGR = 1/41) | DMD 7.5% PGR 0% (n = 22/293) (n = 0/41) | n.r. |
| 7. I follow the ACIP vaccine guidelines for myself | DMD 80.9% PGR 80.5% (DMD = 237/293) (PGR = 33/41) | DMD 19.9% PGR 0% (DMD = 29/293) (PGR = 0/41) | DMD 9.2% PGR 19.5% (n = 27/293) (n = 8/41) | n.r. |
| 8. I adhere to the vaccine guidelines for my family | DMD 63.5% PGR 73.2% (DMD = 186/293) (PGR = 30/41) | DMD 8.2% PGR 0% (DMD = 24/293) (PGR = 0/41) | DMD 2.7% PGR 0% (n = 8/293) (n = 0/41) | DMD 25.6% PGR 26.8% (n = 75/293) (n = 11/41) |
| Question | Agree | Neutral | Disagree | Not Applicable |
|---|---|---|---|---|
| 9. I am aware of a vaccine for human papillomavirus (HPV) | DMD 92.1% PGR 95.1% (DMD = 270/293) (PGR = 39/41) | DMD 5.5% PGR 2.4% (DMD = 16/293) (PGR = 1/41) | DMD 2.4% PGR 2.4% (n = 7/293) (n = 1/41) | n.r. |
| 10. HPV vaccination is important for me | DMD 72.0% PGR 70.0% (DMD = 211/293) (PGR = 25/41) | DMD 23.2% PGR 34.1% (DMD = 68/293) (PGR = 14/41) | DMD 4.8% PGR 4.9% (n = 14/293) (n = 2/41) | n.r. |
| 11. HPV vaccination is important for (my) spouse/partner | DMD 58.0% PGR 65.6% (DMD = 170/293) (PGR = 27/41) | DMD 17.4% PGR 0% (DMD = 51/293) (PGR = 0/41) | DMD 3.1% PGR 24.4% (n = 9/293) (n = 10/41) | DMD 21.5% PGR 9.8% (n = 63/293) (n = 4/41) |
| 12. HPV vaccination is important for (my) daughter(s) | DMD 47.8% PGR 58.5% (DMD = 140/293) (PGR = 24/41) | DMD 7.2% PGR 0% (DMD = 21/293) (PGR = 0/41) | DMD 1.0% PGR 12.2% (n = 3/293) (n = 5/41) | DMD 44% PGR 29.3% (n = 129/293) (n = 12/41) |
| 13. HPV vaccination is important for (my) son(s) | DMD 43.7% PGR 48.8% (DMD = 128/293) (PGR = 20/41) | DMD 12.6% PGR 0% (DMD = 37/293) (PGR = 0/41) | DMD 3.8% PGR 21.0% (n = 11/293) (n = 9/41) | DMD 40% PGR 29.3% (n = 117/293) (n = 12/41) |
| 14. I have discussed HPV vaccination with a doctor | DMD 37.5% PGR 48.8% (DMD = 110/293) (PGR = 20/41) | DMD 6.8% PGR 12.2% (DMD = 20/293) (PGR = 5/41) | DMD 55.6% PGR 39.0% (n = 163/293) (n = 16/41) | n.r. |
| 15. I do not have enough information about the HPV vaccine | DMD 25.6% PGR 26.8% (DMD = 75/293) (PGR = 11/41) | DMD 29.0% PGR 29.3% (DMD = 85/293) (PGR = 12/41) | DMD 45.4% PGR 43.9% (n = 133/293) (n = 18/41) | n.r. |
| 16. I am concerned about possible HPV vaccine side effects | DMD 17.1% PGR 17.1% (DMD = 50/293) (PGR = 7/41) | DMD 31.1% PGR 34.1% (DMD = 91/293) (PGR = 14/41) | DMD 51.9% PGR 48.8% (n = 152/293) (n = 20/41) | n.r. |
| 17. I have already received the HPV vaccine | DMD 37.9% PGR 41.5% (DMD = 111/293) (PGR = 17/41) | n.r. | DMD 62.1% PGR 58.5% (n = 182/293) (n = 24/41) | n.r. |
Publisher’s Note: MDPI stays neutral with regard to jurisdictional claims in published maps and institutional affiliations. |
© 2022 by the authors. Licensee MDPI, Basel, Switzerland. This article is an open access article distributed under the terms and conditions of the Creative Commons Attribution (CC BY) license (https://creativecommons.org/licenses/by/4.0/).
Share and Cite
Maginot, R.; Esteves, C.; Kingsley, K. Changing Perspectives on Pediatric Human Papillomavirus (HPV) Vaccination among Dental Students and Residents Reveals Recent Increase in Vaccine Hesitancy. Vaccines 2022, 10, 570. https://doi.org/10.3390/vaccines10040570
Maginot R, Esteves C, Kingsley K. Changing Perspectives on Pediatric Human Papillomavirus (HPV) Vaccination among Dental Students and Residents Reveals Recent Increase in Vaccine Hesitancy. Vaccines. 2022; 10(4):570. https://doi.org/10.3390/vaccines10040570
Chicago/Turabian StyleMaginot, Rebecca, Carolina Esteves, and Karl Kingsley. 2022. "Changing Perspectives on Pediatric Human Papillomavirus (HPV) Vaccination among Dental Students and Residents Reveals Recent Increase in Vaccine Hesitancy" Vaccines 10, no. 4: 570. https://doi.org/10.3390/vaccines10040570
APA StyleMaginot, R., Esteves, C., & Kingsley, K. (2022). Changing Perspectives on Pediatric Human Papillomavirus (HPV) Vaccination among Dental Students and Residents Reveals Recent Increase in Vaccine Hesitancy. Vaccines, 10(4), 570. https://doi.org/10.3390/vaccines10040570

