Characterization of Immune Responses to SARS-CoV-2 and Other Human Pathogenic Coronaviruses Using a Multiplex Bead-Based Immunoassay
Abstract
1. Introduction
2. Materials and Methods
2.1. Samples
2.2. Serological Assays
2.2.1. SARS-CoV-2 IgG Antibody Test
2.2.2. Neutralization Assay
2.2.3. Multiplex Bead Based Immunoassay
2.3. Data Analysis
3. Results
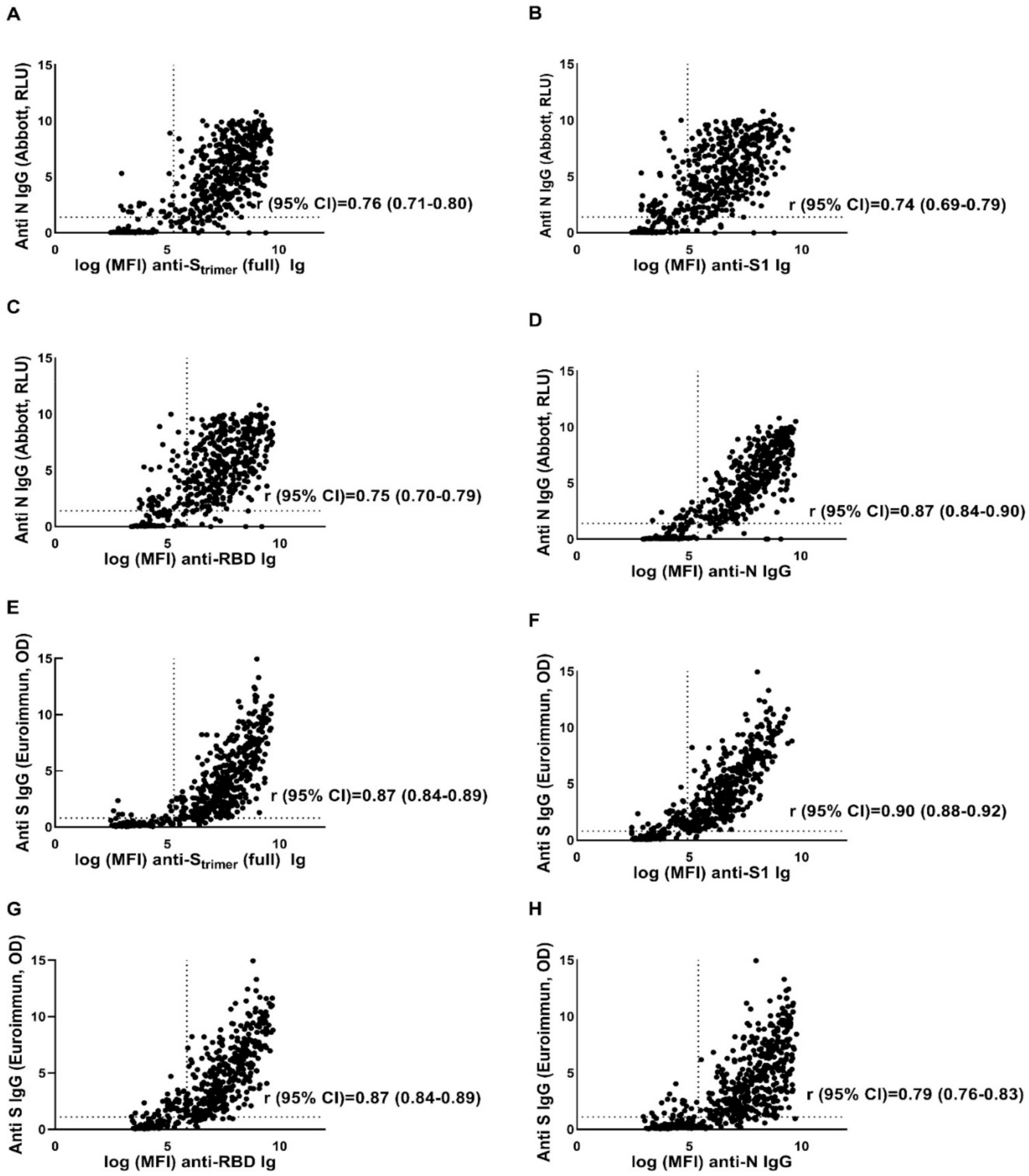
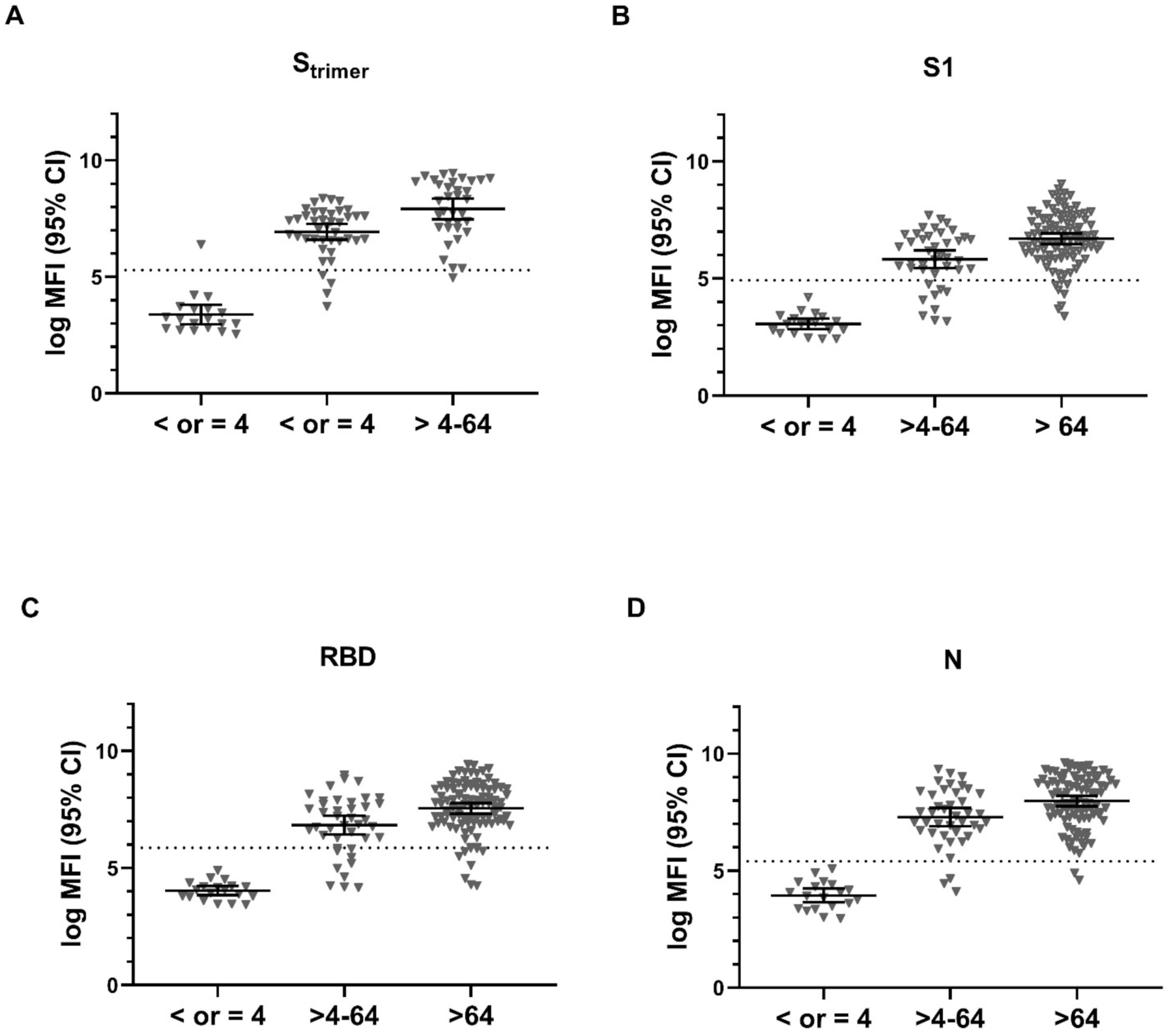
3.1. Performance of the Bead-Based Multiplexing Assay in Detecting Anti-SARS-CoV-2 Antibodies
3.2. Human Common Cold Coronaviruses (HCoV-NL63, HCoV-HKU, HCoV-229E, HCoV-OC43), SARS-CoV, and MERS
4. Discussion
5. Conclusions
Supplementary Materials
Author Contributions
Funding
Institutional Review Board Statement
Informed Consent Statement
Data Availability Statement
Acknowledgments
Conflicts of Interest
References
- Johns Hopkins University. COVID-19 Dashboard by the Center for Systems Science and Engineering (CSSE) at Johns Hopkins University (JHU). 2020. Available online: https://coronavirus.jhu.edu/map.html (accessed on 14 December 2020).
- WHO. Transmission of SARS-CoV-2: Implications for Infection Prevention Precautions. 2020. Available online: https://www.who.int/news-room/commentaries/detail/transmission-of-sars-cov-2-implications-for-infection-prevention-precautions (accessed on 14 December 2020).
- Dong, Y.; Dai, T.; Wei, Y.; Zhang, L.; Zheng, M.; Zhou, F. A systematic review of SARS-CoV-2 vaccine candidates. Signal. Transduct. Target Ther. 2020, 5, 237. [Google Scholar] [CrossRef] [PubMed]
- Walsh, E.E.; Frenck, R.W., Jr.; Falsey, A.R.; Kitchin, N.; Absalon, J.; Gurtman, A.; Lockhart, S.; Neuzil, K.; Mulligan, M.J.; Bailey, R.; et al. Safety and Immunogenicity of Two RNA-Based Covid-19 Vaccine Candidates. N. Engl. J. Med. 2020, 14. [Google Scholar] [CrossRef] [PubMed]
- Mulligan, M.J.; Lyke, K.E.; Kitchin, N.; Absalon, J.; Gurtman, A.; Lockhart, S.; Neuzil, K.; Raabe, V.; Bailey, R.; Swanson, K.A.; et al. Phase I/II study of COVID-19 RNA vaccine BNT162b1 in adults. Nature 2020, 586, 589–593. [Google Scholar] [CrossRef] [PubMed]
- U.S. Food and Drug Administration. EUA Authorized Serology Test Performance. Available online: https://www.fda.gov/medical-devices/coronavirus-disease-2019-covid-19-emergency-use-authorizations-medical-devices/eua-authorized-serology-test-performance (accessed on 24 March 2021).
- Huang, A.T.; Garcia-Carreras, B.; Hitchings, M.D.T.; Yang, B.; Katzelnick, L.C.; Rattigan, S.M.; Borgert, B.A.; Moreno, C.A.; Solomon, B.D.; Trimmer-Smith, L.; et al. A systematic review of antibody mediated immunity to coronaviruses: Kinetics, correlates of protection, and association with severity. Nat. Commun. 2020, 11, 4704. [Google Scholar] [CrossRef] [PubMed]
- Emma Burgos-Ramos, Multiplexed Bead Immunoassays: Advantages and Limitations in Pediatrics. Available online: https://cdn.intechopen.com/pdfs/33746/InTechMultiplexed_bead_immunoassays_advantages_and_limitations_in_pediatrics.pdf (accessed on 22 March 2021).
- Knabl, L.; Mitra, T.; Kimpel, J.; Roessler, A.; Volland, A.; AWalser, A.; Ulmer, H.; Pipperger, L.; Binder, S.; Riepler, L.; et al. High SARS-CoV-2 Seroprevalence in Children and Adults in the Austrian Ski Resort Ischgl. medRxiv 2020. [Google Scholar] [CrossRef]
- Borena, W.; Hofer, T.; Stiasny, K.; Aberle, S.W.; Gaber, M.; von Laer, D.; Schennach, H. No molecular or serological evidence of Zikavirus infection among healthy blood donors living in or travelling to regions where Aedes albopictus circulates. PLoS ONE 2017, 12, e0178175. [Google Scholar] [CrossRef] [PubMed]
- Hoffmann, M.; Kleine-Weber, H.; Schroeder, S.; Kruger, N.; Herrler, T.; Erichsen, S.; Pöhlmann, S. SARS-coV-2 cell entry depends on ACE2 and TMPRSS2 and is blocked by a clinically proven protease inhibitor. Cell 2020, 181, 271–280.e8. [Google Scholar] [CrossRef] [PubMed]
- Riepler, L.; Rössler, A.; Falch, A.; Volland, A.; Borena, W.; von Laer, D.; Kimpel, J. Comparison of Four SARS-CoV-2 Neutralization Assays. Vaccines 2020, 9, 13. [Google Scholar] [CrossRef] [PubMed]
- MedCalc’s Diagnostic test evaluation calculator. Available online: https://www.medcalc.org/calc/diagnostic_test.php (accessed on 24 March 2021).
- 4,7% der österreichischen Bevölkerung hatten Mitte/Ende Oktober 2020 Antikörper gegen SARS-CoV-2. Hochrechnung der bundesweiten COVID 19 Prävalenzstudie. Available online: https://www.meduniwien.ac.at/web/en/ueber-uns/news/detailseite/2020/news-im-dezember-2020/47-der-oesterreichischen-bevoelkerung-hatten-mitte/ende-oktober-2020-antikoerper-gegen-sars-cov-2/ (accessed on 31 March 2021).
- Akobeng, A.K. Understanding diagnostic tests 1: Sensitivity, specificity and predictive values. Acta Paediatr. 2007, 96, 338–341. [Google Scholar] [CrossRef]
- Ju, B.; Zhang, Q.; Ge, J.; Wang, R.; Sun, J.; Ge, X.; Yu, J.; Shan, S.; Zhou, B.; Song, S.; et al. Human neutralizing antibodies elicited by SARS-CoV-2 infection. Nature 2020, 584, 115–119. [Google Scholar] [CrossRef] [PubMed]
- Zost, S.J.; Gilchuk, P.; Case, J.B.; Binshtein, E.; Chen, R.E.; Nkolola, J.P.; Schäfer, A.; Reidy, J.X.; Trivette, A.; Nargi, R.S.; et al. Potently neutralizing and protective human antibodies against SARS-CoV-2. Nature 2020, 584, 443–449. [Google Scholar] [CrossRef]
- Hasony, H.J.; Macnaughton, M.R. Prevalence of human coronavirus antibody in the population of southern Iraq. J. Med. Virol. 1982, 9, 209–216. [Google Scholar] [CrossRef] [PubMed]
- Gorse, G.J.; Patel, G.B.; Vitale, J.N.; O’Connor, T.Z. Prevalence of antibodies to four human coronaviruses is lower in nasal secretions than in serum. Clin. Vaccine Immunol. 2010, 17, 1875–1880. [Google Scholar] [CrossRef] [PubMed]
- Tso, F.Y.; Lidenge, S.J.; Peña, P.B.; Clegg, A.A.; Ngowi, J.R.; Mwaiselage, J.; Ngalamika, O.; Julius, P.; West, J.T.; Wood, C. High prevalence of pre-existing serological cross-reactivity against severe acute respiratory syndrome coronavirus-2 (SARS-CoV-2) in sub-Saharan Africa. Int. J. Infect. Dis. 2021, 102, 577–583. [Google Scholar] [CrossRef] [PubMed]
- Lipsitch, M.; Grad, Y.H.; Sette, A.; Crotty, S. Cross-reactive memory T cells and herd immunity to SARS-CoV-2. Nat. Rev. Immunol. 2020, 20, 709–713. [Google Scholar] [CrossRef] [PubMed]
- Ma, Z.; Li, P.; Ji, Y.; Ikram, A.; Pan, Q. Cross-reactivity towards SARS-CoV-2: The potential role of low-pathogenic human coronaviruses. Lancet Microbe 2020, 1, e151. [Google Scholar] [CrossRef]
- SARS (10 Years After). Available online: https://www.cdc.gov/dotw/sars/index.html (accessed on 3 May 2021).
- Gupta, R.K. Will SARS-CoV-2 variants of concern affect the promise of vaccines? Nat. Rev. Immunol. 2021, 29, 1–2. [Google Scholar] [CrossRef]



| Measures of performance % (95% CI) | Strimer (Full Length) | S1 | RBD | N |
|---|---|---|---|---|
| Seropositivity (n= 568) | ||||
| Sensitivity | 93.7 (91.0–95.7) | 84.1 (80.4–87.3) | 83.4 (76.7–86.7) | 91.1 (88.1–93.5) |
| Specificity | 98.2 (93.6–99.8) | 100 (96.7–100) | 100 (96.7–100) | 98.2 (93.6–99.8) |
| Positive predictive value * | 73.1 (40.7–91.5) | 100 | 100 | 73.4 (40.0–91.2) |
| Negative predictive value * | 99.7 (99.5–99.8) | 99.2 (98.9–99.3) | 99.2 (98.9–99.3) | 99.5 (94.4–99.6) |
| Neutralization status (n = 248) ** | ||||
| Sensitivity | 96.4 (91.7–98.8) | 87.7 (81.0–92.7) | 86.2 (79.3–91.5) | 96.4 (91.7–98.8) |
| Specificity | 98.2 (93.6–99.8) | 100 (96.7–100) | 100 (96.7–100) | 98.2 (93.6–99.8) |
| Positive predictive value * | 73.6 (41.4–91.7) | 100 | 100 | 73.6 (41.4–91.7) |
| Negative predictive value * | 99.8 (95.4–99.9) | 98.3 (98.9–99.5) | 99.2 (98.9–99.3) | 99.8 (95.4–99.9) |
Publisher’s Note: MDPI stays neutral with regard to jurisdictional claims in published maps and institutional affiliations. |
© 2021 by the authors. Licensee MDPI, Basel, Switzerland. This article is an open access article distributed under the terms and conditions of the Creative Commons Attribution (CC BY) license (https://creativecommons.org/licenses/by/4.0/).
Share and Cite
Borena, W.; Kimpel, J.; Gierer, M.; Rössler, A.; Riepler, L.; Oehler, S.; von Laer, D.; Miholits, M. Characterization of Immune Responses to SARS-CoV-2 and Other Human Pathogenic Coronaviruses Using a Multiplex Bead-Based Immunoassay. Vaccines 2021, 9, 611. https://doi.org/10.3390/vaccines9060611
Borena W, Kimpel J, Gierer M, Rössler A, Riepler L, Oehler S, von Laer D, Miholits M. Characterization of Immune Responses to SARS-CoV-2 and Other Human Pathogenic Coronaviruses Using a Multiplex Bead-Based Immunoassay. Vaccines. 2021; 9(6):611. https://doi.org/10.3390/vaccines9060611
Chicago/Turabian StyleBorena, Wegene, Janine Kimpel, Melanie Gierer, Annika Rössler, Lydia Riepler, Susanne Oehler, Dorothee von Laer, and Markus Miholits. 2021. "Characterization of Immune Responses to SARS-CoV-2 and Other Human Pathogenic Coronaviruses Using a Multiplex Bead-Based Immunoassay" Vaccines 9, no. 6: 611. https://doi.org/10.3390/vaccines9060611
APA StyleBorena, W., Kimpel, J., Gierer, M., Rössler, A., Riepler, L., Oehler, S., von Laer, D., & Miholits, M. (2021). Characterization of Immune Responses to SARS-CoV-2 and Other Human Pathogenic Coronaviruses Using a Multiplex Bead-Based Immunoassay. Vaccines, 9(6), 611. https://doi.org/10.3390/vaccines9060611

