Immunization with Bovine Serum Albumin (BSA) in Oil-Adjuvant Elicits IgM Antibody Response in Chinese Soft-Shelled Turtle (Pelodiscus Sinensis)
Abstract
1. Introduction
2. Material and Methods
2.1. Animals
2.2. Isolation of Soft-Shelled Turtle IgM
2.3. SDS-PAGE and Mass Spectrometry Analysis
2.4. Production of Rabbit Anti-Turtle IgM Polyclonal Antibodies
2.5. Model Antigen, Vaccine Formulation and Immunization
2.6. Chinese Soft-Shelled Turtle Antibody Analysis by Indirect ELISA
2.7. Statistical Analysis
3. Results
3.1. Characterization of Soft-Shelled Turtle IgM
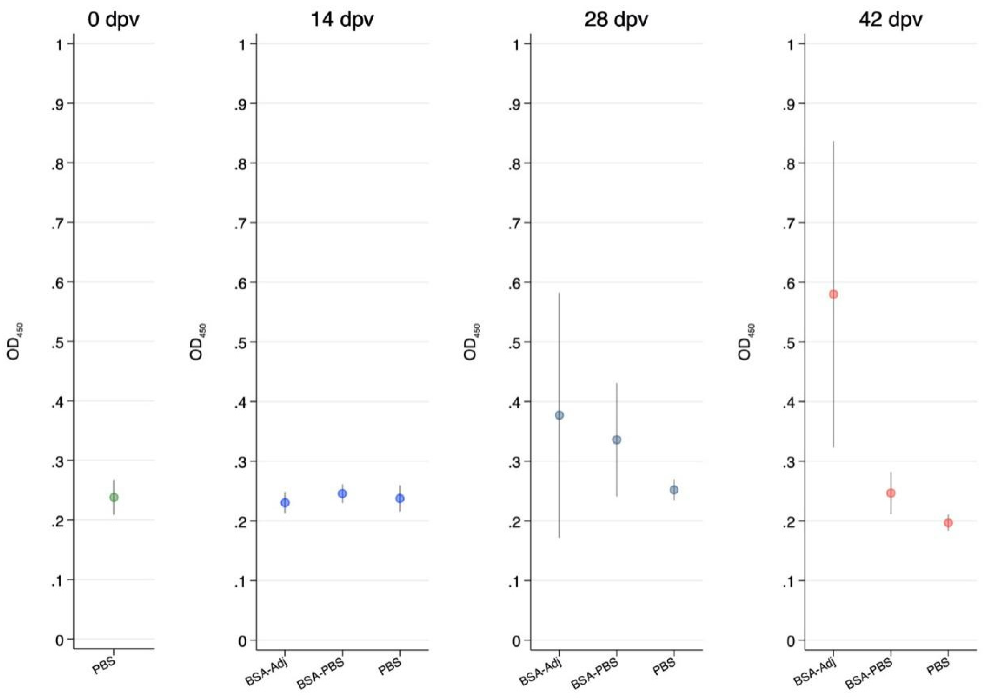
3.2. Detection of Antibodies to BSA Model Antigen by ELISA
4. Discussion
5. Conclusions
Author Contributions
Funding
Conflicts of Interest
References
- Ullah, S.; Yang, P.; Zhang, L.; Zhang, Q.; Liu, Y.; Chen, W.; Waqas, Y.; Le, Y.; Chen, B.; Chen, Q. Identification and characterization of telocytes in the uterus of the oviduct in the Chinese soft-shelled turtle, P elodiscus sinensis: TEM evidence. J. Cell. Mol. Med. 2014, 18, 2385–2392. [Google Scholar] [CrossRef]
- Kraus, F. Alien Reptiles and Amphibians: A Scientific Compendium and Analysis; Springer Science & Business Media: Honolulu, HI, USA, 2008; Volume 4. [Google Scholar]
- Food and Agriculture Organization of the United Nations. Cultured Aquatic Species Information Programme, Fisheries and Aquaculture Department, Trionyx sinensis (Weigmann, 1834). 2018. Available online: http://www.fao.org/fishery/culturedspecies/Trionyx_sinensis/en (accessed on 20 May 2020).
- Chen, J.; Zhu, N.; Kong, L.; Bei, Y.; Zheng, T.; Ding, X.; He, Z. First case of soft shell disease in Chinese soft-shelled turtle (Trionyx sinens) associated with Aeromonas sobria–A. veronii complex. Aquaculture 2013, 406, 62–67. [Google Scholar] [CrossRef]
- Chung, T.; Yi, S.; Kim, B.; Kim, W.; Shin, G. Identification and antibiotic resistance profiling of bacterial isolates from septicaemic soft-shelled turtles (Pelodiscus sinensis). Veterinární Med. 2017, 62, 169–177. [Google Scholar] [CrossRef]
- Keyu, X.; Xiaoqing, W.; Daorong, Z.; Shuqiu, L.; Wucheng, J. Isolation and identifcation of the soft-shelled turtle furonculosis pathogen. J. Hunan Agric. Coll. 1991, 3, 500–505. [Google Scholar]
- Lakshminarayanan, R.; Vivekanandan, S.; Samy, R.P.; Banerjee, Y.; Chi-Jin, E.O.; Teo, K.W.; Jois, S.D.; Kini, R.M.; Valiyaveettil, S. Structure, self-assembly, and dual role of a β-defensin-like peptide from the Chinese soft-shelled turtle eggshell matrix. J. Am. Chem. Soc. 2008, 130, 4660–4668. [Google Scholar]
- Li, X.L.; Zhang, C.L.; Fang, W.H.; Lin, F.C. White-spot disease of Chinese soft-shelled turtles (Trionyx sinens) caused by Paecilomyces lilacinus. J. Zhejiang Univ. Sci. 2008, 9, 578–581. [Google Scholar]
- Takuma, D.; Wada, S.; Kurata, O.; Hatai, K.; Sano, A. Aphanomyces sinensis sp. nov., isolated from juvenile soft-shelled turtle, Pelodiscus sinensis, in Japan. Mycoscience 2011, 52, 119–131. [Google Scholar] [CrossRef]
- Huang, Y.; Huang, X.; Liu, H.; Gong, J.; Ouyang, Z.; Cui, H.; Cao, J.; Zhao, Y.; Wang, X.; Jiang, Y. Complete sequence determination of a novel reptile iridovirus isolated from soft-shelled turtle and evolutionary analysis of Iridoviridae. BMC Genom. 2009, 10, 224. [Google Scholar] [CrossRef]
- Liu, L.; Cao, Z.; Lin, F.; Ye, X.; Lu, S.; Lyv, S. The histopathological characteristics caused by Trionyx sinensis hemorrhagic syndrome virus (TSHSV) and comparative proteomic analysis of liver tissue in TSHSV-Infected Chinese soft-shelled turtles (Pelodiscus sinensis). Intervirology 2017, 60, 19–27. [Google Scholar]
- Chen, M.; Li, D.; Fang, J.; Zhang, L.; Gu, Y.; Liu, L.; Zhang, G. Apolipoprotein mediates soft-shelled turtle systemic septicemia spherical virus (STSSSV) infection. Aquaculture 2017, 473, 501–507. [Google Scholar]
- Magadán-Mompó, S.; Sánchez-Espinel, C.; Gambón-Deza, F. Immunoglobulin genes of the turtles. Immunogenetics 2013, 65, 227–237. [Google Scholar] [CrossRef]
- Xu, Z.; Chang, M.; Qi, Z.; Huang, B.; Nie, P. Immunoglobulin joining (J) chain and its expression in the Chinese soft-shelled turtle (Pelodiscus sinensis). Vet. Immunol. Immunopathol. 2009, 131, 268–272. [Google Scholar] [CrossRef]
- Xu, Z.; Wang, G. IgM, IgD and IgY and their expression pattern in the Chinese soft-shelled turtle Pelodiscus sinensis. Mol. Immunol. 2009, 46, 2124–2132. [Google Scholar]
- Plotkin, S.A. Correlates of protection induced by vaccination. Clin. Vaccine Immunol. 2010, 17, 1055–1065. [Google Scholar] [CrossRef]
- Munang’andu, H.M.; Evensen, Ø. Correlates of protective immunity for fish vaccines. Fish Shellfish. Immunol. 2019, 85, 132–140. [Google Scholar]
- Snoeijs, T.; Van Den Steen, E.; Eens, M.; Pinxten, R. Kinetics of primary antibody responses to sheep red blood cells in birds: A literature review and new data from great tits and European starlings. Anim. Biol. 2007, 57, 79–95. [Google Scholar] [CrossRef]
- Coico, R.; Sunshine, G. Immunology: A Short Course; John Wiley & Sons: Hoboken, NJ, USA, 2015. [Google Scholar]
- Zimmerman, L.; Vogel, L.; Bowden, R.J. Understanding the vertebrate immune system: Insights from the reptilian perspective. J. Exp. Biol. 2010, 213, 661–671. [Google Scholar] [CrossRef]
- Zimmerman, L.M. Advances in Comparative Immunology; Springer: Berlin/Heidelberg, Germany, 2018; pp. 751–772. [Google Scholar]
- Grey, H.M. Phylogeny of the immune response: Studies on some physical chemical and serologic characteristics of antibody produced in the turtle. J. Immunol. 1963, 91, 819–825. [Google Scholar]
- Schoenherr, R.M.; Saul, R.G.; Whiteaker, J.R.; Yan, P.; Whiteley, G.R.; Paulovich, A.G. Anti-peptide monoclonal antibodies generated for immuno-multiple reaction monitoring-mass spectrometry assays have a high probability of supporting Western blot and ELISA. Mol. Cell. Proteom. 2015, 14, 382–398. [Google Scholar]
- Ladwig, P.M.; Barnidge, D.R.; Willrich, M.A. Mass spectrometry approaches for identification and quantitation of therapeutic monoclonal antibodies in the clinical laboratory. Clin. Vaccine Immunol. 2017, 24, e00545–e00616. [Google Scholar]
- Jia, Y.d.; Wang, C.-z.; Chen, C.-f. Immune Response of Crude Lipopolysaccharide of Aeromonas hydrophila to Soft-shelled Turtle, Pelodiscus sinensis. J. Huazhong Agric. Univ. 2007, 2, 228–232. [Google Scholar]
- Zhang, D.; Xu, D.-H.; Beck, B. Analysis of agglutinants elicited by antiserum of channel catfish immunized with extracellular proteins of virulent Aeromonas hydrophila. Fish Shellfish. Immunol. 2019, 86, 223–229. [Google Scholar] [CrossRef]
- Berends, E.T.; Kuipers, A.; Ravesloot, M.M.; Urbanus, R.T.; Rooijakkers, S.H. Bacteria under stress by complement and coagulation. FEMS Microbiol. Rev. 2014, 38, 1146–1171. [Google Scholar] [CrossRef]
- Elkhatib, W.F.; Hair, P.S.; Nyalwidhe, J.O.; Cunnion, K.M. New potential role of serum apolipoprotein E mediated by its binding to clumping factor A during Staphylococcus aureus invasive infections to humans. J. Med. Microbiol. 2015, 64, 335. [Google Scholar] [CrossRef]


| Hits | Protein Name | Abbr | GeneBank Acc. no. | Molecular Weight (kDa) | Number of Unique Peptides | Relative Abundance | Probability |
|---|---|---|---|---|---|---|---|
| 1 | Serotransferrin | TF | XP_014429958 | 81.5 | 164 | 71.6% | 99.0% |
| 2 | Inter-alpha-trypsin inhibitor heavy chain H3 | ITIH3 | XP_006127649 | 100.7 | 62 | 4.1% | 99.0% |
| 3 | Alpha-2-macroglobulin-like | α2M | XP_014425635 | 151.8 | 36 | 1.8% | 99.0% |
| 4 | Immunoglobulin M heavy chain constant region | IgM | ACU45376 | 56.9 | 35 | 7.8% | 99.0% |
| 5 | Serum albumin | sAlb | XP_006125464 | 71.0 | 28 | 3.4% | 99.0% |
| 6 | Transferrin receptor protein 1 | TFRC | XP_006112414 | 84.3 | 20 | 1.3% | 99.0% |
| 7 | Complement C5 | C5 | XP_006120838 | 189.1 | 11 | 0.2% | 99.0% |
| 8 | Alpha-fetoprotein | AFP | XP_006125463 | 69.5 | 9 | 0.8% | 99.0% |
| 9 | Complement C3 | C3 | XP_006124830 | 186.3 | 5 | 0.1% | 99.0% |
| 10 | Kininogen-2-like | KNG2 | XP_006138593 | 87.3 | 4 | 0.3% | 99.0% |
© 2020 by the authors. Licensee MDPI, Basel, Switzerland. This article is an open access article distributed under the terms and conditions of the Creative Commons Attribution (CC BY) license (http://creativecommons.org/licenses/by/4.0/).
Share and Cite
Xu, C.; Xu, J.; Chen, Y.; Evensen, Ø.; Munang’andu, H.M.; Qian, G. Immunization with Bovine Serum Albumin (BSA) in Oil-Adjuvant Elicits IgM Antibody Response in Chinese Soft-Shelled Turtle (Pelodiscus Sinensis). Vaccines 2020, 8, 257. https://doi.org/10.3390/vaccines8020257
Xu C, Xu J, Chen Y, Evensen Ø, Munang’andu HM, Qian G. Immunization with Bovine Serum Albumin (BSA) in Oil-Adjuvant Elicits IgM Antibody Response in Chinese Soft-Shelled Turtle (Pelodiscus Sinensis). Vaccines. 2020; 8(2):257. https://doi.org/10.3390/vaccines8020257
Chicago/Turabian StyleXu, Cheng, Jiehao Xu, Yu Chen, Øystein Evensen, Hetron Mweemba Munang’andu, and Guoying Qian. 2020. "Immunization with Bovine Serum Albumin (BSA) in Oil-Adjuvant Elicits IgM Antibody Response in Chinese Soft-Shelled Turtle (Pelodiscus Sinensis)" Vaccines 8, no. 2: 257. https://doi.org/10.3390/vaccines8020257
APA StyleXu, C., Xu, J., Chen, Y., Evensen, Ø., Munang’andu, H. M., & Qian, G. (2020). Immunization with Bovine Serum Albumin (BSA) in Oil-Adjuvant Elicits IgM Antibody Response in Chinese Soft-Shelled Turtle (Pelodiscus Sinensis). Vaccines, 8(2), 257. https://doi.org/10.3390/vaccines8020257

