In silico Designed Ebola Virus T-Cell Multi-Epitope DNA Vaccine Constructions Are Immunogenic in Mice
Abstract
:1. Introduction
2. Materials and Methods
2.1. Software
2.2. Gene Synthesis and Cloning
2.3. Evaluation of Target Gene Transcription
2.4. Immunochemical Staining of Products of Transfected Cells
2.5. Ethics Statement
2.6. Immunization of Experimental Animals Ethics Statement
2.7. Detection of T-Cell Immune Response Using IFNγ ELISpot and Intracellular Cytokine Staining (ICS) Assay
2.8. Statistical Analysis
3. Results and Discussion
3.1. Strategies to Design Polyepitope T-Cell Antigens
- (1)
- (2)
- (3)
- To direct polyepitope immunogen to proteasome and to present CTL-epitopes to CD8+ T-lymphocytes by MHC class I pathway, genetic binding of ubiquitin sequence to its N- or C-terminus is typically used [41].
- (4)
- To degrade polyepitope immunogen and present released Th-epitopes to CD4+ T-lymphocytes by MHC class II pathway, genetic binding of sequence of LAMP-1 (Lysosomal-associated membrane protein 1) tyrosine motif to its C-terminus is typically used to direct polyepitope immunogen from the secretory pathway to the lysosome [42,43,44,45].
3.2. Design of Artificial Poly-CTL-Epitope Antigen of Ebola Virus
3.3. Design of Poly-Th-Epitope Ebola Virus
3.4. Designing Artificial Genes and Producing Recombinant Plasmids—Candidate DNA Vaccines Against Ebola Virus Encoding Polyepitope Immunogens of Ebola Virus
3.5. Analysis of Target Gene Expression
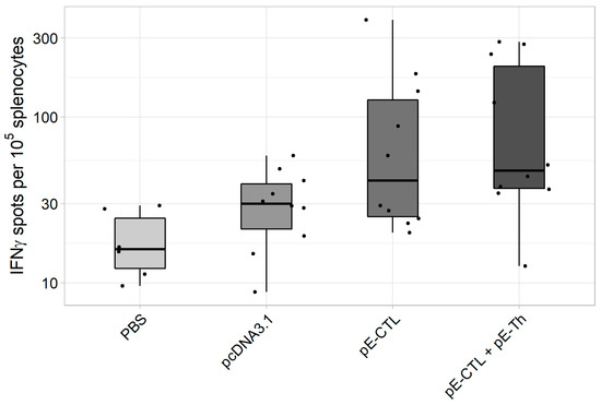
3.6. Immunogenicity Study of DNA-Vaccine Constructs Encoding Multiple T-Cell Epitopes of Ebola Virus
4. Conclusions
Author Contributions
Funding
Conflicts of Interest
References
- WHO Ebola Response Team; Agua-Agum, J.; Ariyarajah, A.; Aylward, B.; Blake, I.M.; Brennan, R.; Cori, A.; Donnelly, C.A.; Dorigatti, I.; Dye, C.; et al. West African Ebola epidemic after one year—Slowing but not yet under control. N. Engl. J. Med. 2015, 372, 584–587. [Google Scholar] [CrossRef] [PubMed]
- Wong, G.; Qiu, X.; Olinger, G.G.; Kobinger, G.P. Post-exposure therapy of filovirus infections. Trends Microbiol. 2014, 22, 456–463. [Google Scholar] [CrossRef] [PubMed]
- Saphire, E.O. An update on the use of antibodies against the filoviruses. Immunotherapy 2013, 5, 1221–1233. [Google Scholar] [CrossRef] [PubMed]
- Lázaro-Frías, A.; Gómez-Medina, S.; Sánchez-Sampedro, L.; Ljungberg, K.; Ustav, M.; Liljeström, P.; Muñoz-Fontela, C.; Esteban, M.; García-Arriaza, J. Distinct Immunogenicity and Efficacy of Poxvirus-Based Vaccine Candidates against Ebola Virus Expressing GP and VP40 Proteins. J. Virol. 2018, 92. [Google Scholar] [CrossRef] [PubMed]
- Rahim, M.N.; Wee, E.G.; He, S.; Audet, J.; Tierney, K.; Moyo, N.; Hannoun, Z.; Crook, A.; Baines, A.; Korber, B.; et al. Complete protection of the BALB/c and C57BL/6J mice against Ebola and Marburg virus lethal challenges by pan-filovirus T-cell epigraph vaccine. PLoS Pathog. 2019, 15, e1007564. [Google Scholar] [CrossRef]
- Marzi, A.; Feldmann, H. Ebola virus vaccines: An overview of current approaches. Expert Rev Vaccines 2014, 13, 521–531. [Google Scholar] [CrossRef] [PubMed]
- Henao-Restrepo, A.M.; Camacho, A.; Longini, I.M.; Watson, C.H.; Edmunds, W.J.; Egger, M.; Carroll, M.W.; Dean, N.E.; Diatta, I.; Doumbia, M.; et al. Efficacy and effectiveness of an rVSV-vectored vaccine in preventing Ebola virus disease: Final results from the Guinea ring vaccination, open-label, cluster-randomised trial (Ebola Ça Suffit!). Lancet 2017, 389, 505–518. [Google Scholar] [CrossRef]
- Wu, L.; Zhang, Z.; Gao, H.; Li, Y.; Hou, L.; Yao, H.; Wu, S.; Liu, J.; Wang, L.; Zhai, Y.; et al. Open-label phase I clinical trial of Ad5-EBOV in Africans in China. Hum. Vaccin. Immunother. 2017, 13, 2078–2085. [Google Scholar] [CrossRef]
- Dolzhikova, I.V.; Zubkova, O.V.; Tukhvatulin, A.I.; Dzharullaeva, A.S.; Tukhvatulina, N.M.; Shcheblyakov, D.V.; Shmarov, M.M.; Tokarskaya, E.A.; Simakova, Y.V.; Egorova, D.A.; et al. Safety and immunogenicity of GamEvac-Combi, a heterologous VSV- and Ad5-vectored Ebola vaccine: An open phase I/II trial in healthy adults in Russia. Hum. Vaccin. Immunother. 2017, 13, 613–620. [Google Scholar] [CrossRef] [PubMed]
- Shedlock, D.J.; Aviles, J.; Talbott, K.T.; Wong, G.; Wu, S.J.; Villarreal, D.O.; Myles, D.J.; Croyle, M.A.; Yan, J.; Kobinger, G.P.; et al. Induction of broad cytotoxic T cells by protective DNA vaccination against Marburg and Ebola. Mol. Ther. 2013, 21, 1432–1444. [Google Scholar] [CrossRef]
- Krause, P.R.; Bryant, P.R.; Clark, T.; Dempsey, W.; Henchal, E.; Michael, N.L.; Regules, J.A.; Gruber, M.F. Immunology of protection from Ebola virus infection. Sci. Transl. Med. 2015, 7. [Google Scholar] [CrossRef]
- Takada, A.; Ebihara, H.; Feldmann, H.; Geisbert, T.W.; Kawaoka, Y. Epitopes required for antibody-dependent enhancement of Ebola virus infection. J. Infect. Dis. 2007, 196 (Suppl. 2), S347–S356. [Google Scholar] [CrossRef]
- Khan, K.H. DNA vaccines: Roles against diseases. Germs 2013, 3, 26–35. [Google Scholar] [CrossRef] [PubMed]
- Lu, S.; Wang, S.; Grimes-Serrano, J.M. Current progress of DNA vaccine studies in humans. Expert Rev. Vaccines 2008, 7, 175–191. [Google Scholar] [CrossRef] [PubMed]
- Grant-Klein, R.J.; Van Deusen, N.M.; Badger, C.V.; Hannaman, D.; Dupuy, L.C.; Schmaljohn, C.S. A multiagent filovirus DNA vaccine delivered by intramuscular electroporation completely protects mice from ebola and Marburg virus challenge. Hum. Vaccin. Immunother. 2012, 8, 1703–1706. [Google Scholar] [CrossRef] [PubMed]
- Petkov, S.; Starodubova, E.; Latanova, A.; Kilpeläinen, A.; Latyshev, O.; Svirskis, S.; Wahren, B.; Chiodi, F.; Gordeychuk, I.; Isaguliants, M. DNA immunization site determines the level of gene expression and the magnitude, but not the type of the induced immune response. PLoS ONE 2018, 13, e0197902. [Google Scholar] [CrossRef]
- Lambricht, L.; Lopes, A.; Kos, S.; Sersa, G.; Préat, V.; Vandermeulen, G. Clinical potential of electroporation for gene therapy and DNA vaccine delivery. Expert Opin. Drug Deliv. 2016, 13, 295–310. [Google Scholar] [CrossRef]
- Karpenko, L.I.; Bazhan, S.I.; Eroshkin, A.M.; Antonets, D.V.; Chikaev, A.N.; Ilyichev, A.A. Artificial Epitope-Based Immunogens in HIV-Vaccine Design. Available online: https://www.intechopen.com/books/advances-in-hiv-and-aids-control/artificial-epitope-based-immunogens-in-hiv-vaccine-design (accessed on 5 November 2018).
- Öhlund, P.; García-Arriaza, J.; Zusinaite, E.; Szurgot, I.; Männik, A.; Kraus, A.; Ustav, M.; Merits, A.; Esteban, M.; Liljeström, P.; et al. DNA-launched RNA replicon vaccines induce potent anti-Ebolavirus immune responses that can be further improved by a recombinant MVA boost. Sci. Rep. 2018, 8, 12459. [Google Scholar] [CrossRef]
- Bazhan, S.I.; Karpenko, L.I.; Ilyicheva, T.N.; Belavin, P.A.; Seregin, S.V.; Danilyuk, N.K.; Antonets, D.V.; Ilyichev, A.A. Rational design based synthetic polyepitope DNA vaccine for eliciting HIV-specific CD8+ T cell responses. Mol. Immunol. 2010, 47, 1507–1515. [Google Scholar] [CrossRef]
- Hanke, T.; McMichael, A.J. Design and construction of an experimental HIV-1 vaccine for a year-2000 clinical trial in Kenya. Nat. Med. 2000, 6, 951–955. [Google Scholar] [CrossRef]
- Karpenko, L.I.; Bazhan, S.I.; Antonets, D.V.; Belyakov, I.M. Novel approaches in polyepitope T-cell vaccine development against HIV-1. Expert Rev. Vaccines 2014, 13, 155–173. [Google Scholar] [CrossRef] [PubMed]
- Khan, M.A.; Hossain, M.U.; Rakib-Uz-Zaman, S.M.; Morshed, M.N. Epitope-based peptide vaccine design and target site depiction against Ebola viruses: an immunoinformatics study. Scand. J. Immunol. 2015, 82, 25–34. [Google Scholar] [CrossRef] [PubMed]
- Vita, R.; Overton, J.A.; Greenbaum, J.A.; Ponomarenko, J.; Clark, J.D.; Cantrell, J.R.; Wheeler, D.K.; Gabbard, J.L.; Hix, D.; Sette, A.; et al. The immune epitope database (IEDB) 3.0. Nucleic Acids Res. 2015, 43, D405–D412. [Google Scholar] [CrossRef] [PubMed]
- Antonets, D.V.; Maksiutov, A.Z. TEpredict: software for T-cell epitope prediction. Mol. Biol. (Mosk.) 2010, 44, 130–139. [Google Scholar] [CrossRef] [PubMed]
- Antonets, D.V.; Bazhan, S.I. PolyCTLDesigner: A computational tool for constructing polyepitope T-cell antigens. BMC Res. Notes 2013, 6, 407. [Google Scholar] [CrossRef] [PubMed]
- Villalobos, A.; Welch, M.; Minshull, J. In silico design of functional DNA constructs. Methods Mol. Biol. 2012, 852, 197–213. [Google Scholar] [PubMed]
- R Development Core Team. R: A Language and Environment for Statistical Computing. Vienna, Austria: The R Foundation for Statistical Computing. Available online: https://www.r-project.org/ (accessed on 22 March 2019).
- Karpenko, L.I.; Ilyichev, A.A.; Eroshkin, A.M.; Lebedev, L.R.; Uzhachenko, R.V.; Nekrasova, N.A.; Plyasunova, O.A.; Belavin, P.A.; Seregin, S.V.; Danilyuk, N.K.; et al. Combined virus-like particle-based polyepitope DNA/protein HIV-1 vaccine design, immunogenicity and toxicity studies. Vaccine 2007, 25, 4312–4323. [Google Scholar] [CrossRef] [PubMed]
- Reguzova, A.; Antonets, D.; Karpenko, L.; Ilyichev, A.; Maksyutov, R.; Bazhan, S. Design and evaluation of optimized artificial HIV-1 poly-T cell-epitope immunogens. PLoS ONE 2015, 10, e0116412. [Google Scholar] [CrossRef] [PubMed]
- Van de Weijer, M.L.; Luteijn, R.D.; Wiertz, E.J.H.J. Viral immune evasion: Lessons in MHC class I antigen presentation. Semin. Immunol. 2015, 27, 125–137. [Google Scholar] [CrossRef]
- Yewdell, J.W. DRiPs solidify: Progress in understanding endogenous MHC class I antigen processing. Trends Immunol. 2011, 32, 548–558. [Google Scholar] [CrossRef]
- Kutzler, M.A.; Weiner, D.B. DNA vaccines: Ready for prime time? Nat. Rev. Genet. 2008, 9, 776–788. [Google Scholar] [CrossRef] [PubMed]
- Livingston, B.D.; Newman, M.; Crimi, C.; McKinney, D.; Chesnut, R.; Sette, A. Optimization of epitope processing enhances immunogenicity of multiepitope DNA vaccines. Vaccine 2001, 19, 4652–4660. [Google Scholar] [CrossRef]
- Depla, E.; Van der Aa, A.; Livingston, B.D.; Crimi, C.; Allosery, K.; De Brabandere, V.; Krakover, J.; Murthy, S.; Huang, M.; Power, S.; et al. Rational design of a multiepitope vaccine encoding T-lymphocyte epitopes for treatment of chronic hepatitis B virus infections. J. Virol. 2008, 82, 435–450. [Google Scholar] [CrossRef] [PubMed]
- Schubert, B.; Kohlbacher, O. Designing string-of-beads vaccines with optimal spacers. Genome Med. 2016, 8, 9. [Google Scholar] [CrossRef] [PubMed]
- Uebel, S.; Wiesmüller, K.H.; Jung, G.; Tampé, R. Peptide libraries in cellular immune recognition. Curr. Top. Microbiol. Immunol. 1999, 243, 1–21. [Google Scholar]
- Cardinaud, S.; Bouziat, R.; Rohrlich, P.-S.; Tourdot, S.; Weiss, L.; Langlade-Demoyen, P.; Burgevin, A.; Fiorentino, S.; van Endert, P.; Lemonnier, F.A. Design of a HIV-1-derived HLA-B07.02-restricted polyepitope construct. AIDS 2009, 23, 1945–1954. [Google Scholar] [CrossRef]
- Schneider, S.C.; Ohmen, J.; Fosdick, L.; Gladstone, B.; Guo, J.; Ametani, A.; Sercarz, E.E.; Deng, H. Cutting edge: Introduction of an endopeptidase cleavage motif into a determinant flanking region of hen egg lysozyme results in enhanced T cell determinant display. J. Immunol. 2000, 165, 20–23. [Google Scholar] [CrossRef]
- Zhu, H.; Liu, K.; Cerny, J.; Imoto, T.; Moudgil, K.D. Insertion of the dibasic motif in the flanking region of a cryptic self-determinant leads to activation of the epitope-specific T cells. J. Immunol. 2005, 175, 2252–2260. [Google Scholar] [CrossRef]
- Varshavsky, A.; Turner, G.; Du, F.; Xie, Y. Felix Hoppe-Seyler Lecture 2000. The ubiquitin system and the N-end rule pathway. Biol. Chem. 2000, 381, 779–789. [Google Scholar] [CrossRef]
- Rowell, J.F.; Ruff, A.L.; Guarnieri, F.G.; Staveley-O’Carroll, K.; Lin, X.; Tang, J.; August, J.T.; Siliciano, R.F. Lysosome-associated membrane protein-1-mediated targeting of the HIV-1 envelope protein to an endosomal/lysosomal compartment enhances its presentation to MHC class II-restricted T cells. J. Immunol. 1995, 155, 1818–1828. [Google Scholar]
- Ruff, A.L.; Guarnieri, F.G.; Staveley-O’Carroll, K.; Siliciano, R.F.; August, J.T. The enhanced immune response to the HIV gp160/LAMP chimeric gene product targeted to the lysosome membrane protein trafficking pathway. J. Biol. Chem. 1997, 272, 8671–8678. [Google Scholar] [CrossRef] [PubMed]
- Wu, T.C.; Guarnieri, F.G.; Staveley-O’Carroll, K.F.; Viscidi, R.P.; Levitsky, H.I.; Hedrick, L.; Cho, K.R.; August, J.T.; Pardoll, D.M. Engineering an intracellular pathway for major histocompatibility complex class II presentation of antigens. Proc. Natl. Acad. Sci. USA 1995, 92, 11671–11675. [Google Scholar] [CrossRef]
- Guarnieri, F.G.; Arterburn, L.M.; Penno, M.B.; Cha, Y.; August, J.T. The motif Tyr-X-X-hydrophobic residue mediates lysosomal membrane targeting of lysosome-associated membrane protein 1. J. Biol. Chem. 1993, 268, 1941–1946. [Google Scholar] [PubMed]
- Sette, A.; Sidney, J. HLA supertypes and supermotifs: a functional perspective on HLA polymorphism. Curr. Opin. Immunol. 1998, 10, 478–482. [Google Scholar] [CrossRef]
- Sidney, J.; Grey, H.M.; Kubo, R.T.; Sette, A. Practical, biochemical and evolutionary implications of the discovery of HLA class I supermotifs. Immunol. Today 1996, 17, 261–266. [Google Scholar] [CrossRef]
- Peters, B.; Bulik, S.; Tampe, R.; Van Endert, P.M.; Holzhütter, H.-G. Identifying MHC class I epitopes by predicting the TAP transport efficiency of epitope precursors. J. Immunol. 2003, 171, 1741–1749. [Google Scholar] [CrossRef] [PubMed]
- Toes, R.E.; Nussbaum, A.K.; Degermann, S.; Schirle, M.; Emmerich, N.P.; Kraft, M.; Laplace, C.; Zwinderman, A.; Dick, T.P.; Müller, J.; et al. Discrete cleavage motifs of constitutive and immunoproteasomes revealed by quantitative analysis of cleavage products. J. Exp. Med. 2001, 194, 1–12. [Google Scholar] [CrossRef] [PubMed]
- Bonehill, A.; Heirman, C.; Tuyaerts, S.; Michiels, A.; Breckpot, K.; Brasseur, F.; Zhang, Y.; Van Der Bruggen, P.; Thielemans, K. Messenger RNA-electroporated dendritic cells presenting MAGE-A3 simultaneously in HLA class I and class II molecules. J. Immunol. 2004, 172, 6649–6657. [Google Scholar] [CrossRef]
- Bonini, C.; Lee, S.P.; Riddell, S.R.; Greenberg, P.D. Targeting antigen in mature dendritic cells for simultaneous stimulation of CD4+ and CD8+ T cells. J. Immunol. 2001, 166, 5250–5257. [Google Scholar] [CrossRef]
- Kim, T.W.; Hung, C.-F.; Boyd, D.; Juang, J.; He, L.; Kim, J.W.; Hardwick, J.M.; Wu, T.-C. Enhancing DNA vaccine potency by combining a strategy to prolong dendritic cell life with intracellular targeting strategies. J. Immunol. 2003, 171, 2970–2976. [Google Scholar] [CrossRef]
- Fassnacht, M.; Lee, J.; Milazzo, C.; Boczkowski, D.; Su, Z.; Nair, S.; Gilboa, E. Induction of CD4(+) and CD8(+) T-cell responses to the human stromal antigen, fibroblast activation protein: implication for cancer immunotherapy. Clin. Cancer Res. 2005, 11, 5566–5571. [Google Scholar] [CrossRef]
- Petersen, T.N.; Brunak, S.; von Heijne, G.; Nielsen, H. SignalP 4.0: Discriminating signal peptides from transmembrane regions. Nat. Methods 2011, 8, 785–786. [Google Scholar] [CrossRef]
- Deml, L.; Bojak, A.; Steck, S.; Graf, M.; Wild, J.; Schirmbeck, R.; Wolf, H.; Wagner, R. Multiple effects of codon usage optimization on expression and immunogenicity of DNA candidate vaccines encoding the human immunodeficiency virus type 1 Gag protein. J. Virol. 2001, 75, 10991–11001. [Google Scholar] [CrossRef]





| No. | Epitope | Antigen | Epitope Frequency | HLA Class I Alleles |
|---|---|---|---|---|
| 1 | ARLSSPIVL | L | 1741 | B*27:05; B*39:01; C*07:02 |
| 2 | EYAPFARLL | NP | 1764 | A*24:03; A*24:02 |
| 3 | FAEGVVAFL | GP | 3881 | B*39:01; A*02:01 |
| 4 | FIYFGKKQY | L | 1737 | B*15:01; A*01:01; B*15:17 |
| 5 | FLLQLNETI | GP | 3862 | A*02:01; A*24:02 |
| 6 | FLSFASLFL | NP | 1755 | A*02:01; A*24:02; C*03:03 |
| 7 | FPRCRYVHK | GP | 3956 | B*07:02; B*08:01 |
| 8 | FRLMRTNFL | NP | 1767 | B*39:01; B*08:01; C*06:02 |
| 9 | FRYEFTAPF | L | 1744 | B*39:01; C*14:02 |
| 10 | FTPQFLLQL | GP | 3868 | A*02:01; A*24:02 |
| 11 | FVHSGFIYF | L | 1739 | A*24:03;A*23:01;B*35:01;A*26:02;B*15:01; A*02:06; C*03:03 |
| 12 | GHMMVIFRL | NP | 1768 | B*39:01; A*02:01; A*24:02 |
| 13 | GQFLSFASL | NP | 1753 | B*15:01; B*27:05 |
| 14 | GYLEGTRTL | L | 1748 | A*24:03; A*23:01 |
| 15 | HMMVIFRLM | NP | 1768 | A*02:01; A*24:02 |
| 16 | HPLARTAKV | NP | 1766 | B*07:02; B*51:01 |
| 17 | IISDLSIFI | L | 1713 | A*02:01; A*69:01 |
| 18 | ILMNFHQKK | NP | 1711 | A*03:01; A*11:01 |
| 19 | IMYDHLPGF | VP35 | 1737 | B*58:01; C*12:03 |
| 20 | KQIPIWLPL | VP40 | 1766 | B*40:01; B*27:05 |
| 21 | KVYWAGIEF | VP24 | 1702 | B*15:01; B*35:01; C*14:02 |
| 22 | LANETTQAL | GP | 1242 | B*07:02; B*35:01; C*03:03 |
| 23 | LANPTADDF | VP30 | 1686 | B*35:01; B*58:01 |
| 24 | LPQYFTFDL | VP40 | 1763 | B*07:02; B*35:01 |
| 25 | LSDLCNFLV | VP24 | 1725 | A*01:01; C*05:01 |
| 26 | MMVIFRLMR | NP | 1768 | A*03:01; A*11:01 |
| 27 | NFFHASLAY | L | 1750 | B*15:01; B*35:01 |
| 28 | QFLSFASLF | NP | 1755 | A*24:03; A*24:02 |
| 29 | RLASTVIYR | GP | 3947 | A*03:01; A*31:01 |
| 30 | RLMRTNFLI | NP | 1766 | A*02:01; A*24:02 |
| 31 | RTFSILNRK | GP | 1207 | A*03:01; A*11:01; A*31:01 |
| 32 | RTSFFLWVI | GP | 3802 | A*02:01; A*24:02 |
| 33 | RVPTVFHKK | VP30 | 1684 | A*03:01; A*31:01 |
| 34 | SFASLFLPK | NP | 1756 | A*03:01; A*11:01 |
| 35 | TLASIGTAF | L | 1743 | B*15:01; B*35:01 |
| 36 | TPVMSRFAA | L | 1738 | B*07:02; B*35:01 |
| 37 | TRSFTTHFL | L | 1747 | B*39:01; C*06:02 |
| 38 | TTIGEWAFW | GP | 3824 | A*24:02; B*58:01; A*68:23; A*32:15; A*32:07 |
| 39 | TVAPPAPVY | NP | 1684 | A*11:01; B*35:01 |
| 40 | VLYHRYNLV | L | 1746 | A*02:01; A*03:19 |
| 41 | VQLPQYFTF | VP40 | 1763 | B*15:01; A*24:03 |
| 42 | YLEGHGFRF | NP | 1739 | A*02:01; A*24:02 |
| 43 | YQGDYKLFL | NP | 1705 | A*02:01; A*24:02 |
| 44 | YSGNIVHRY | L | 1750 | A*01:01; B*58:01 |
| Peptide | Protein | Fragment | Number of HLA-DR Allomorphs | Number of Epitopes |
|---|---|---|---|---|
| FKRTSFFLWVIILFQRTFSIPLGVIHNSTLQVSDVDKL | GP | 14–51 | 48 | 11 |
| TNTNHFNMRTQRVKEQLSLKMLSLIRSNILKFINKLDA | VP24 | 129–166 | 49 | 8 |
| LTLDNFLYYLTTQIHNLPHRSLRILKPTFKHASVMSRL | L | 1486–1523 | 50 | 5 |
| TQTYHFIRTAKGRITKLVNDYLKFFLIVQALKHNGTWQAE | L | 2111–2150 | 48 | 10 |
| WDRQSLIMFITAFLNIALQLPCESSAVVVSGLRTLVPQSD | VP30 | 230–269 | 47 | 8 |
| SSAFILEAMVNVISGPKVLMKQIPIWLPLGVADQKTYSF | VP40 | 70–108 | 42 | 8 |
| QYPTAWQSVGHMMVIFRLMRTNFLIKFLLIHQGMHMVAGH | NP | 186–225 | 50 | 13 |
| ESADSFLLMLCLHHAYQGDYKLFLESGAVKYLE | NP | 68–100 | 47 | 5 |
| Animal Groups | Phosphate Buffer Solution (PBS) | pcDNA3.1 | pE-CTL |
|---|---|---|---|
| pcDNA3.1 | 0.070 | – | – |
| pE-CTL | 0.029 | 0.148 | – |
| pE-CTL + pE-Th | 0.009 | 0.0296 | 0.264 |
| Animal Groups | CD8+IFNγ+ | CD4+IFNγ+ | ||
|---|---|---|---|---|
| PBS | pE-CTL | PBS | pE-CTL | |
| pE-CTL | 0.024 | – | 0.278 | – |
| pE-CTL+pE-Th | 0.024 | 0.635 | 0.012 | 0.024 |
© 2019 by the authors. Licensee MDPI, Basel, Switzerland. This article is an open access article distributed under the terms and conditions of the Creative Commons Attribution (CC BY) license (http://creativecommons.org/licenses/by/4.0/).
Share and Cite
Bazhan, S.I.; Antonets, D.V.; Karpenko, L.I.; Oreshkova, S.F.; Kaplina, O.N.; Starostina, E.V.; Dudko, S.G.; Fedotova, S.A.; Ilyichev, A.A. In silico Designed Ebola Virus T-Cell Multi-Epitope DNA Vaccine Constructions Are Immunogenic in Mice. Vaccines 2019, 7, 34. https://doi.org/10.3390/vaccines7020034
Bazhan SI, Antonets DV, Karpenko LI, Oreshkova SF, Kaplina ON, Starostina EV, Dudko SG, Fedotova SA, Ilyichev AA. In silico Designed Ebola Virus T-Cell Multi-Epitope DNA Vaccine Constructions Are Immunogenic in Mice. Vaccines. 2019; 7(2):34. https://doi.org/10.3390/vaccines7020034
Chicago/Turabian StyleBazhan, Sergei I., Denis V. Antonets, Larisa I. Karpenko, Svetlana F. Oreshkova, Olga N. Kaplina, Ekaterina V. Starostina, Sergei G. Dudko, Sofia A. Fedotova, and Alexander A. Ilyichev. 2019. "In silico Designed Ebola Virus T-Cell Multi-Epitope DNA Vaccine Constructions Are Immunogenic in Mice" Vaccines 7, no. 2: 34. https://doi.org/10.3390/vaccines7020034
APA StyleBazhan, S. I., Antonets, D. V., Karpenko, L. I., Oreshkova, S. F., Kaplina, O. N., Starostina, E. V., Dudko, S. G., Fedotova, S. A., & Ilyichev, A. A. (2019). In silico Designed Ebola Virus T-Cell Multi-Epitope DNA Vaccine Constructions Are Immunogenic in Mice. Vaccines, 7(2), 34. https://doi.org/10.3390/vaccines7020034

