Preparation and Immunogenicity Evaluation of a Ferritin-Based GnRH Nanoparticle Vaccine
Abstract
1. Introduction
2. Materials and Methods
2.1. Plasmids, Strains, Polypeptides, and Experimental Animals
2.2. Construction and Expression of the Recombinant Plasmid pET-30a-SF
2.3. Purification and Identification of Recombinant SF Proteins
2.4. Construction of the Polypeptide STG1, STG2
2.5. Preparation and Characterization of SF-STG1 and SF-STG2 Nanoparticles
2.6. Preparation of Immunogenic Agents and the Immunization of Mice
2.7. Sample Collection
2.8. ELISA Determination of the Specific GnRH Antibody
2.9. Determination of Serum Concentrations of Testosterone (T), Follicle-Stimulating Hormone (FSH), and Luteinizing Hormone (LH)
2.10. Hematoxylin- and Eosin-Stained Section of a Testicular Tissue
2.11. Sperm Collection and Quality Analysis
2.12. Statistical Analysis
3. Results
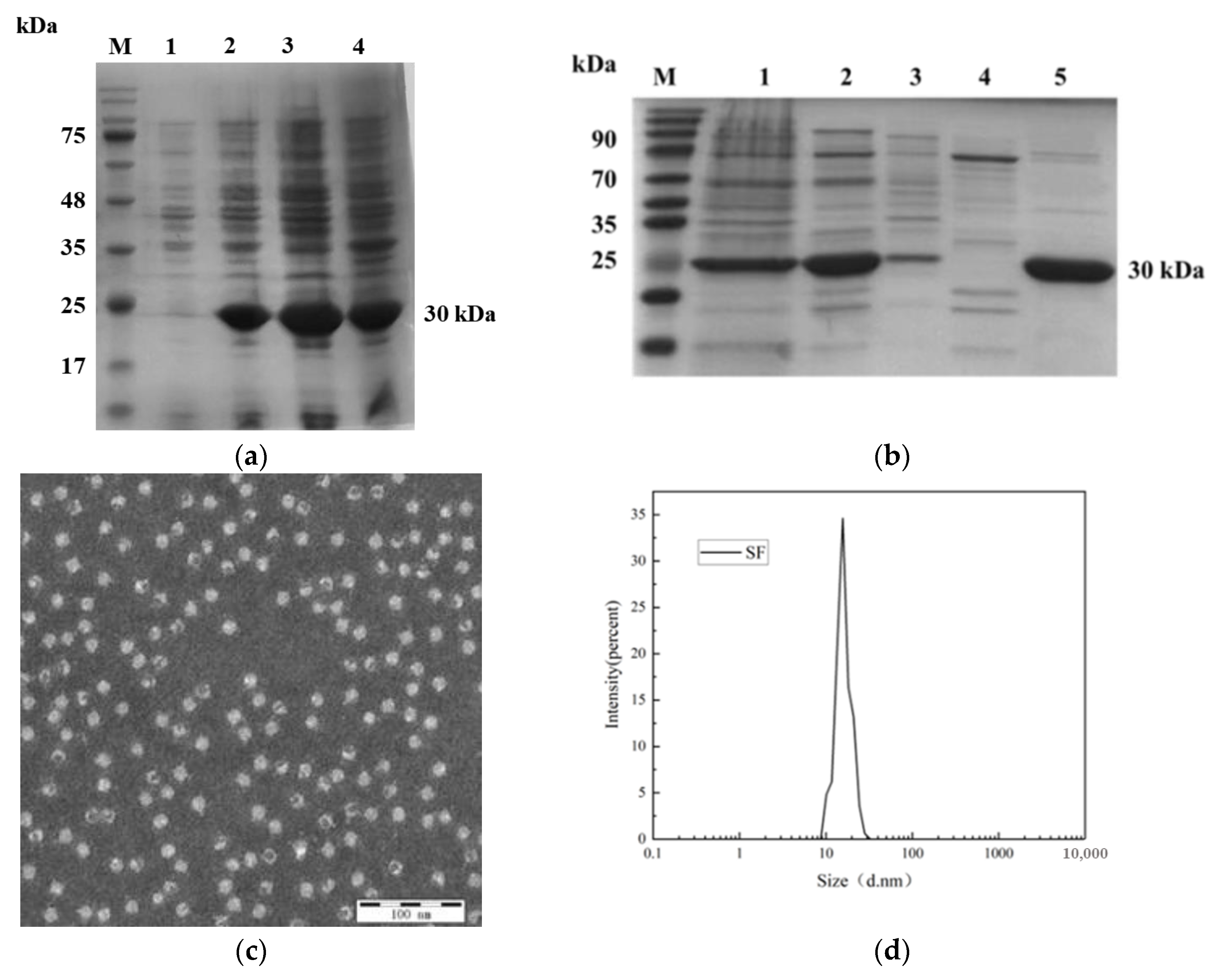
3.1. Recombinant Plasmid Identification
3.2. Recombinant Protein Identification, Purification, and Characterization
3.3. Preparation and Characterization of SF-STG1 and SF-STG2 Nanoparticles
3.4. Measurement of GnRH-Specific Antibody Levels in Serum
3.5. Measurement of Serum Testosterone (T), Follicle-Stimulating Hormone (FSH), and Luteinizing Hormone (LH) Concentrations
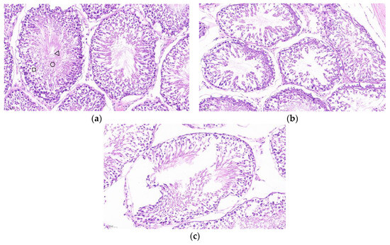
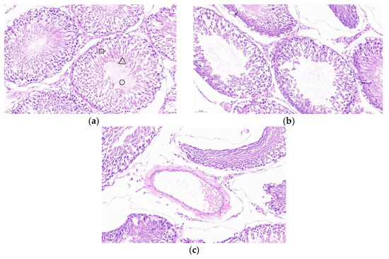
3.6. Testicular Weight and Histomorphological Determination
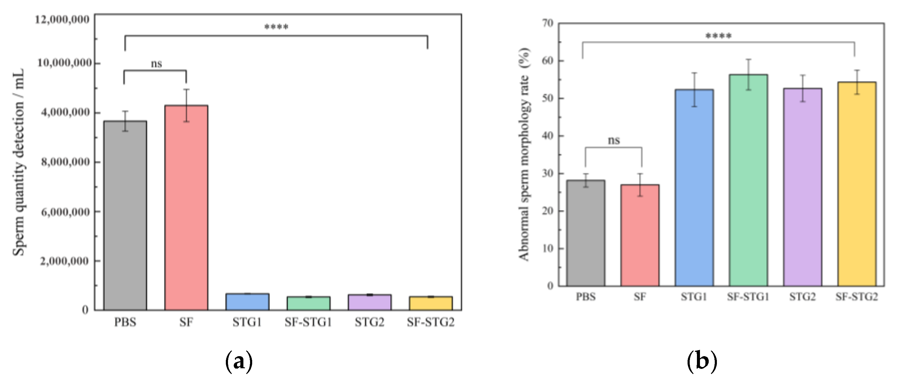
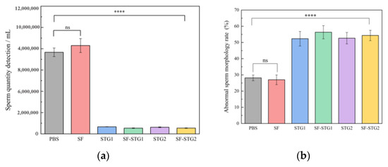
3.7. Semen Quality Analysis
3.8. Determination of GnRH-Specific Antibody Levels in Serum After Coupling with ISA206 Adjuvant
3.9. Determination of Serum Concentrations of T, FSH, and LH After Coupling with ISA206 Adjuvant
3.10. Determination of Testicular Weight and Histomorphology After Coupling with ISA206 Adjuvant Terminal Necropsy
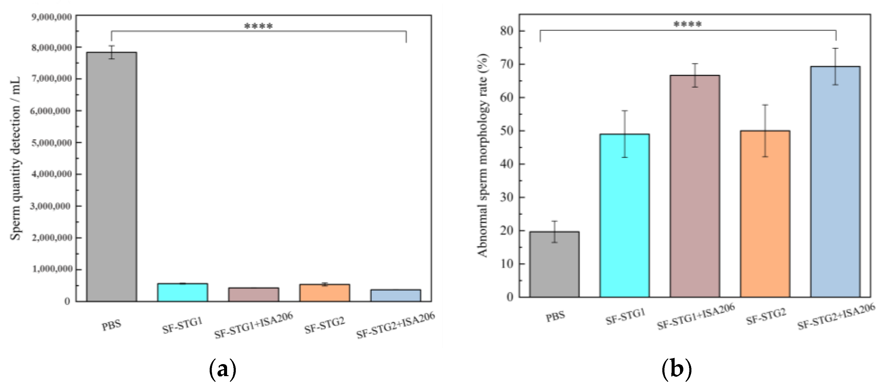
3.11. Analysis of Sperm Quality After Coupling with the ISA206 Adjuvant
4. Discussion
5. Conclusions
Author Contributions
Funding
Institutional Review Board Statement
Informed Consent Statement
Data Availability Statement
Acknowledgments
Conflicts of Interest
References
- Miller, L.A.; Johns, B.E.; Killian, G.J. Immunocontraception of white-tailed deer with GnRH vaccine. Am. J. Reprod. Immunol. 2000, 44, 266–274. [Google Scholar] [CrossRef] [PubMed]
- Sabeur, K.; Ball, B.A.; Nett, T.M.; Ball, H.; Liu, I. Effect of GnRH conjugated to pokeweed antiviral protein on reproductive function in adult male dogs. Reproduction 2003, 125, 801–806. [Google Scholar] [CrossRef] [PubMed][Green Version]
- Millar, R.P. GnRHs and GnRH receptors. Anim. Reprod. Sci. 2005, 88, 5–28. [Google Scholar] [CrossRef] [PubMed]
- Maggi, R.; Cariboni, A.M.; Marelli, M.M.; Moretti, R.M.; Andrè, V.; Marzagalli, M.; Limonta, P. GnRH and GnRH receptors in the pathophysiology of the human female reproductive system. Hum. Reprod. Update 2016, 22, 358–381. [Google Scholar] [CrossRef] [PubMed]
- Ferro, V.A.; Costa, R.; Carter, K.C.; Harvey, M.J.; Waterston, M.M.; Mullen, A.B.; Matschke, C.; Mann, J.F.; Colston, A.; Stimson, W.H. Immune responses to a GnRH-based anti-fertility immunogen, induced by different adjuvants and subsequent effect on vaccine efficacy. Vaccine 2004, 22, 1024–1031. [Google Scholar] [CrossRef] [PubMed]
- Pan, F.; Du, H.; Tian, W.; Xie, H.; Zhang, B.; Fu, W.; Li, Y.; Ling, Y.; Zhang, Y.; Fang, F.; et al. Effect of GnRH immunocastration on immune function in male rats. Front. Immunol. 2023, 13, 1023104. [Google Scholar] [CrossRef] [PubMed]
- Wickramasuriya, N.; Hawkins, R.; Atwood, C.; Butler, T. The roles of GnRH in the human central nervous system. Horm. Behav. 2022, 145, 105230. [Google Scholar] [CrossRef] [PubMed]
- Pujol-Navarro, N.; Kubiak-Ossowska, K.; Ferro, V.; Mulheran, P. Simulating Peptide Monolayer Formation: GnRH-I on Silica. Int. J. Mol. Sci. 2021, 22, 5523. [Google Scholar] [CrossRef] [PubMed]
- Faruck, M.O.; Koirala, P.; Yang, J.; D’Occhio, M.J.; Skwarczynski, M.; Toth, I. Polyacrylate-GnRH Peptide Conjugate as an Oral Contraceptive Vaccine Candidate. Pharmaceutics 2021, 13, 1081. [Google Scholar] [CrossRef] [PubMed]
- Ahmadivand, S.; Fux, R.; Palić, D. Ferritin vaccine platform for animal and zoonotic viruses. Vaccines 2024, 12, 1112. [Google Scholar] [CrossRef] [PubMed]
- Lu, B.; Ru, Y.; Hao, R.; Yang, Y.; Liu, H.; Li, Y.; Zhang, Y.; Mao, Y.; Yang, R.; Pan, Y.; et al. A ferritin-based nanoparticle displaying a neutralizing epitope for foot-and-mouth disease virus (FMDV) confers partial protection in guinea pigs. BMC Vet. Res. 2024, 20, 301. [Google Scholar] [CrossRef] [PubMed]
- Wang, B.; Li, S.; Qiao, Y.; Fu, Y.; Nie, J.; Jiang, S.; Yao, X.; Pan, Y.; Zhao, L.; Wu, C.; et al. Self-assembling ferritin nanoparticles coupled with linear sequences from canine distemper virus haemagglutinin protein elicit robust immune responses. J. Nanobiotechnol. 2022, 20, 32. [Google Scholar] [CrossRef] [PubMed]
- Chen, Y.; Xu, C.; Sun, M.; Zhao, G.; Wang, Z.; Lv, C. Vertasile ferritin nanocages: Applications in detection and bioimaging. Biosens. Bioelectron. 2024, 262, 116567. [Google Scholar] [CrossRef] [PubMed]
- Rodrigues, M.Q.; Alves, P.M.; Roldão, A. Functionalizing Ferritin Nanoparticles for Vaccine Development. Pharmaceutics 2021, 13, 1621. [Google Scholar] [CrossRef] [PubMed]
- Zhu, Y.; Zhu, Y.; Cao, T.; Liu, X.; Liu, X.; Yan, Y.; Shi, Y.; Wang, J.C. Ferritin-based nanomedicine for disease treatment. Med. Rev. 2023, 3, 49–74. [Google Scholar] [CrossRef] [PubMed]
- Wang, Z.; Xu, L.; Yu, H.; Lv, P.; Lei, Z.; Zeng, Y.; Liu, G.; Cheng, T. Ferritin nanocage-based antigen delivery nanoplatforms: Epitope engineering for peptide vaccine design. Biomater. Sci. 2019, 7, 1794–1800. [Google Scholar] [CrossRef] [PubMed]
- Li, Y.; Zhao, X.; Tang, J.; Yi, M.; Zai, X.; Zhang, J.; Cheng, G.; Yang, Y.; Xu, J. Endogenous capsid-forming protein ARC for self-assembling nanoparticle vaccines. J. Nanobiotechnol. 2024, 22, 513. [Google Scholar] [CrossRef] [PubMed]
- Tai, W.; Chai, B.; Feng, S.; Zhuang, X.; Ma, J.; Pang, M.; Pan, L.; Yang, Z.; Tian, M.; Cheng, G. Development of a ferritin-based nanoparticle vaccine against the SARS-CoV-2 Omicron variant. Signal Transduct. Target. Ther. 2022, 7, 173. [Google Scholar] [CrossRef] [PubMed]
- Fang, Q.; Lu, X.; Zhu, Y.; Lv, X.; Yu, F.; Ma, X.; Liu, B.; Zhang, H. Development of a PCSK9-targeted nanoparticle vaccine to effectively decrease the hypercholesterolemia. Cell Rep. Med. 2024, 5, 101614. [Google Scholar] [CrossRef] [PubMed]
- Wei, J.; Li, Z.; Yang, Y.; Ma, G.; Su, Z.; Zhang, S. An Apoferritin-Hemagglutinin Conjugate Vaccine with Encapsulated Nucleoprotein Antigen Peptide from Influenza Virus Confers Enhanced Cross Protection. Bioconjug. Chem. 2020, 31, 1948–1959. [Google Scholar] [CrossRef] [PubMed]
- Hatlem, D.; Trunk, T.; Linke, D.; Leo, J.C. Catching a SPY: Using the Spy Catcher-Spy Tag and Related Systems for Labeling and Localizing Bacterial Proteins. Int. J. Mol. Sci. 2019, 20, 2129. [Google Scholar] [CrossRef] [PubMed]
- Zheng, P.; Yang, Y.; Fu, Y.; He, J.; Hu, Y.; Zheng, X.; Duan, B.; Wang, M.; Liu, Q.; Li, W.; et al. Engineered Norovirus-Derived Nanoparticles as a Plug-and-Play Cancer Vaccine Platform. ACS Nano 2023, 17, 3412–3429. [Google Scholar] [CrossRef] [PubMed]
- Chen, Y.; Ding, P.; Li, M.; Liu, S.; Chang, Z.; Ren, D.; Li, R.; Zhang, N.; Sun, X.; Zhang, G. Spy&IAC enables specific capture of SpyTagged proteins for rapid assembly of plug-and-display nanoparticle vaccines. Int. J. Biol. Macromol. 2023, 226, 240–253. [Google Scholar] [PubMed]
- Chang, X. Research on Ferritin-Based Nanovaccine Against Porcine Reproductive and Respiratory Syndrome. Ph.D. Thesis, Huazhong Agricultural University, Wuhan, China, 2024. p. 000210. [Google Scholar]
- Rovan, E.; Fiebiger, E.; Kalla, N.R.; Talwar, G.P.; Aulitzky, W.; Frick, J. Effect of active immunization to luteinizing-hormone-releasing hormone on the fertility and histoarchitecture of the reproductive organs of male rat. Urol. Res. 1992, 20, 323–334. [Google Scholar] [CrossRef] [PubMed]
- Liu, Y.; Tian, Y.; Zhao, X.; Jiang, S.; Li, F.; Zhang, Y.; Zhang, X.; Li, Y.; Zhou, J.; Fang, F. Immunization of dogs with recombinant GnRH-1 suppresses the development of reproductive function. Theriogenology 2015, 83, 314–319. [Google Scholar] [CrossRef] [PubMed]
- Fang, F.; Li, H.; Liu, Y.; Zhang, Y.; Tao, Y.; Li, Y.; Cao, H.; Wang, S.; Wang, L.; Zhang, X. Active immunization with recombinant GnRH fusion protein in boars reduces both testicular development and mRNA expression levels of GnRH receptor in pituitary. Anim. Reprod. Sci. 2010, 119, 275–281. [Google Scholar] [CrossRef] [PubMed]
- Duan, Y.; Tang, X.; Liu, S.; Cui, W.; Li, M.; Tang, S.; Yao, W.; Li, W.; Weng, J.; Zhao, J.; et al. Structure-guided design and evaluation of CRM197-scaffolded vaccine targeting GnRH for animal immunocastration. Appl. Microbiol. Biotechnol. 2024, 108, 507. [Google Scholar] [CrossRef] [PubMed]
- Kim, Y.H.; Park, B.J.; Ahn, H.S.; Han, S.-H.; Go, H.-J.; Lee, J.-B.; Park, S.-Y.; Song, C.-S.; Lee, S.-W.; Choi, I.-S. Immunocontraceptive effects in male rats vaccinated with gonadotropin-releasing hormone-i and -ii protein complex. J. Microbiol. Biotechnol. 2019, 29, 658–664. [Google Scholar] [CrossRef] [PubMed]
- Gupta, S.K.; Toor, S.; Minhas, V.; Chaudhary, P.; Raman, M.; Anoop, S.; Panda, A.K. Contraceptive efficacy of recombinant porcine zona proteins and fusion protein encompassing canine ZP3 fragment and GnRH in female beagle dogs. Am. J. Reprod. Immunol. 2022, 87, e13536. [Google Scholar] [CrossRef] [PubMed]
- Kawakita, T.; Yasui, T.; Yoshida, K.; Matsui, S.; Iwasa, T. Associations of LH and FSH with reproductive hormones depending on each stage of the menopausal transition. BMC Womens Health 2023, 23, 286. [Google Scholar] [CrossRef] [PubMed]
- Misrahi, M.; Beau, I.; Ghinea, N.; Vannier, B.; Loosfelt, H.; Meduri, G.; Vu Hai, M.T.; Milgrom, E. The LH/CG and FSH receptors: Different molecular forms and intracellular traffic. Mol. Cell Endocrinol. 1996, 125, 161–167. [Google Scholar] [CrossRef] [PubMed]
- Wells, R.; Kenny, A.L.; Duckett, R.; Wreford, N.G.; Johnston, S.D.; D’Occhio, M.J. Elucidation of the role of LH and FSH during neonatal testicular development and growth in the boar. Anim. Reprod. Sci. 2013, 137, 74–81. [Google Scholar] [CrossRef] [PubMed]
- Goldman, A.L.; Bhasin, S.; Wu, F.C.W.; Krishna, M.; Matsumoto, A.M.; Jasuja, R. A Reappraisal of Testosterone’s Binding in Circulation: Physiological and Clinical Implications. Endocr. Rev. 2017, 38, 302–324. [Google Scholar] [CrossRef] [PubMed]
- Pencina, K.M.; Travison, T.G.; Cunningham, G.R.; Lincoff, A.M.; Nissen, S.E.; Khera, M.; Miller, M.G.; Flevaris, P.; Li, X.; Wannemuehler, K.; et al. Effect of Testosterone Replacement Therapy on Sexual Function and Hypogonadal Symptoms in Men with Hypogonadism. J. Clin. Endocrinol. Metab. 2024, 109, 569–580. [Google Scholar] [CrossRef] [PubMed]
- Chrysavgis, L.; Adamantou, M.; Angelousi, A.; Cholongitas, E. The association of testosterone with sarcopenia and frailty in chronic liver disease. Eur. J. Clin. Investig. 2024, 54, e14108. [Google Scholar] [CrossRef] [PubMed]
- Chen, S.; Pounraj, S.; Sivakumaran, N.; Kakkanat, A.; Sam, G.; Kabir, T.; Rehm, B.H.A. Precision-engineering of subunit vaccine particles for prevention of infectious diseases. Front. Immunol. 2023, 14, 1131057. [Google Scholar] [CrossRef] [PubMed]
- Yan, W.; Yu, W.; Shen, L.; Xiao, L.; Qi, J.; Hu, T. A SARS-CoV-2 nanoparticle vaccine based on chemical conjugation of loxoribine and SpyCatcher-SpyTag. Int. J. Biol. Macromol. 2023, 253 Pt 5, 127159. [Google Scholar] [CrossRef] [PubMed]
- Liu, Z.H.; Deng, Z.F.; Lu, Y.; Fang, W.-H.; He, F. A modular and self-adjuvanted multivalent vaccine platform based on porcine circovirus virus-like nanoparticles. J. Nanobiotechnol. 2022, 20, 493. [Google Scholar] [CrossRef] [PubMed]
- Ma, X.; Zou, F.; Yu, F.; Li, R.; Yuan, Y.; Zhang, Y.; Zhang, X.; Deng, J.; Chen, T.; Song, Z.; et al. Nanoparticle vaccines based on the receptor binding domain (RBD) and heptad repeat (HR) of SARS-CoV-2 elicit robust protective immune responses. Immunity 2020, 53, 1315–1330.e1319. [Google Scholar] [CrossRef] [PubMed]
- Vargas-Pino, F.; Gutiérrez-Cedillo, V.; Canales-Vargas, E.J.; Gress-Ortega, L.R.; Miller, L.A.; Rupprecht, C.E.; Bender, S.C.; García-Reyna, P.; Ocampo-López, J.; Slate, D. Concomitant administration of gonacon™ and rabies vaccine in female dogs (canis familiaris) in mexico. Vaccine 2013, 31, 4442–4447. [Google Scholar] [CrossRef] [PubMed]
- Chang, A.M.; Chen, C.C.; Hou, D.L.; Ke, G.-M.; Lee, J.-W. Effects of a recombinant gonadotropin-releasing hormone vaccine on reproductive function in adult male ICR mice. Vaccines 2021, 9, 808. [Google Scholar] [CrossRef] [PubMed]
- Novak, S.; Yakobson, B.; Sorek, S.; Morgan, L.; Tal, S.; Nivy, R.; King, R.; Jaebker, L.; Eckery, D.C.; Raz, T. Short term safety, immunogenicity, and reproductive effects of combined vaccination with anti-GnRH (Gonacon) and rabies vaccines in female feral cats. Front. Vet. Sci. 2021, 8, 650291. [Google Scholar] [CrossRef] [PubMed]
- Kumar, N.; Savage, T.; Dejesus, W.; Tsong, Y.Y.; Didolkar, A.; Sundaram, K. Chronic toxicity and reversibility of antifertility effect of immunization against gonadotropin—Releasing hormone in male rats and rabbits. Toxicol. Sci. 2000, 53, 92–99. [Google Scholar] [CrossRef] [PubMed]
- Imboden, I.; Janett, F.; Burger, D.; Crowe, M.; Hässig, M.; Thun, R. Influence of immunization against GnRH on reproductive cyclicity and estrous behavior in the mare. Theriogenology 2006, 66, 1866–1875. [Google Scholar] [CrossRef] [PubMed]
- Clarke, I.J.; Brown, B.W.; Tran, V.V.; Scott, C.J.; Fry, R.; Millar, R.P.; Rao, A. Neonatal immunization against gonadotropin—Releasing hormone (GnRH) results in diminished GnRH secretion in adulthood. Endocrinology 1998, 139, 2007–2014. [Google Scholar] [CrossRef] [PubMed]
- Lawson, M.A.; Tsutsumi, R.; Zhang, H.; Talukdar, I.; Butler, B.K.; Santos, S.J.; Mellon, P.L.; Webster, N.J.G. Pulse sensitivity of the luteinizing hormone beta promoter is determined by a negative feedback loop Involving early growth response—1 and Ngfi—A binding protein 1 and 2. Mol. Endocrinol. 2007, 21, 1175–1191. [Google Scholar] [CrossRef] [PubMed]











| N = 7 | Testis Weight (g ± SD) | Testis Length (cm ± SD) | Testis Width (cm ± SD) |
|---|---|---|---|
| PBS | 0.112 ± (0.01) | 0.76 ± (0.05) | 0.54 ± (0.02) |
| SF | 0.117 ± (0.01) | 0.75 ± (0.01) | 0.54 ± (0.01) |
| STG1 | 0.087 ± (0.01) | 0.59 ± (0.05) | 0.46 ± (0.05) |
| SF-STG1 | 0.074 ± (0.01) | 0.58 ± (0.02) | 0.41 ± (0.03) |
| STG2 | 0.084 ± (0.01) | 0.59 ± (0.02) | 0.45 ± (0.02) |
| SF-STG2 | 0.077 ± (0.01) | 0.59 ± (0.02) | 0.41 ± (0.03) |
| p-value | p < 0.05 | p < 0.001 | p < 0.001 |
| N = 7 | Testis Weight (g ± SD) | Testis Length (cm ± SD) | Testis Width (cm ± SD) |
|---|---|---|---|
| PBS | 0.109 ± (0.01) | 00.74 ± (0.03) | 0.52 ± (0.02) |
| SF-STG1 | 0.091 ± (0.01) | 0.75 ± (0.01) | 0.42 ± (0.01) |
| SF-STG1+ISA206 | 0.059 ± (0.02) | 0.62 ± (0.05) | 0.41 ± (0.05) |
| SF-STG2 | 0.074 ± (0.01) | 0.58 ± (0.02) | 0.39 ± (0.03) |
| SF-STG2+ISA206 | 0.043 ± (0.01) | 0.53 ± (0.02) | 0.37 ± (0.02) |
| p-value | p < 0.05 | p < 0.001 | p < 0.001 |
Disclaimer/Publisher’s Note: The statements, opinions and data contained in all publications are solely those of the individual author(s) and contributor(s) and not of MDPI and/or the editor(s). MDPI and/or the editor(s) disclaim responsibility for any injury to people or property resulting from any ideas, methods, instructions or products referred to in the content. |
© 2025 by the authors. Licensee MDPI, Basel, Switzerland. This article is an open access article distributed under the terms and conditions of the Creative Commons Attribution (CC BY) license (https://creativecommons.org/licenses/by/4.0/).
Share and Cite
Xu, Y.; Zhao, W.; Zhu, Y.; Sun, B.; Wu, C.; Yin, Y. Preparation and Immunogenicity Evaluation of a Ferritin-Based GnRH Nanoparticle Vaccine. Vaccines 2025, 13, 781. https://doi.org/10.3390/vaccines13080781
Xu Y, Zhao W, Zhu Y, Sun B, Wu C, Yin Y. Preparation and Immunogenicity Evaluation of a Ferritin-Based GnRH Nanoparticle Vaccine. Vaccines. 2025; 13(8):781. https://doi.org/10.3390/vaccines13080781
Chicago/Turabian StyleXu, Ying, Weihao Zhao, Yuhan Zhu, Bo Sun, Congmei Wu, and Yuhe Yin. 2025. "Preparation and Immunogenicity Evaluation of a Ferritin-Based GnRH Nanoparticle Vaccine" Vaccines 13, no. 8: 781. https://doi.org/10.3390/vaccines13080781
APA StyleXu, Y., Zhao, W., Zhu, Y., Sun, B., Wu, C., & Yin, Y. (2025). Preparation and Immunogenicity Evaluation of a Ferritin-Based GnRH Nanoparticle Vaccine. Vaccines, 13(8), 781. https://doi.org/10.3390/vaccines13080781

