Assessment of the Reversion to Virulence and Protective Efficacy in Pigs Receiving the Live Attenuated Classical Swine Fever Recombinant Vaccine Candidate FlagT4G
Abstract
1. Introduction
2. Materials and Methods
2.1. Virus and Cell Cultures
2.2. Virus Sequencing
2.3. Reversion to Virulence Protocol
2.4. Minimal Protective Dose Protocol
3. Results
3.1. Reversion to Virulence Experiment
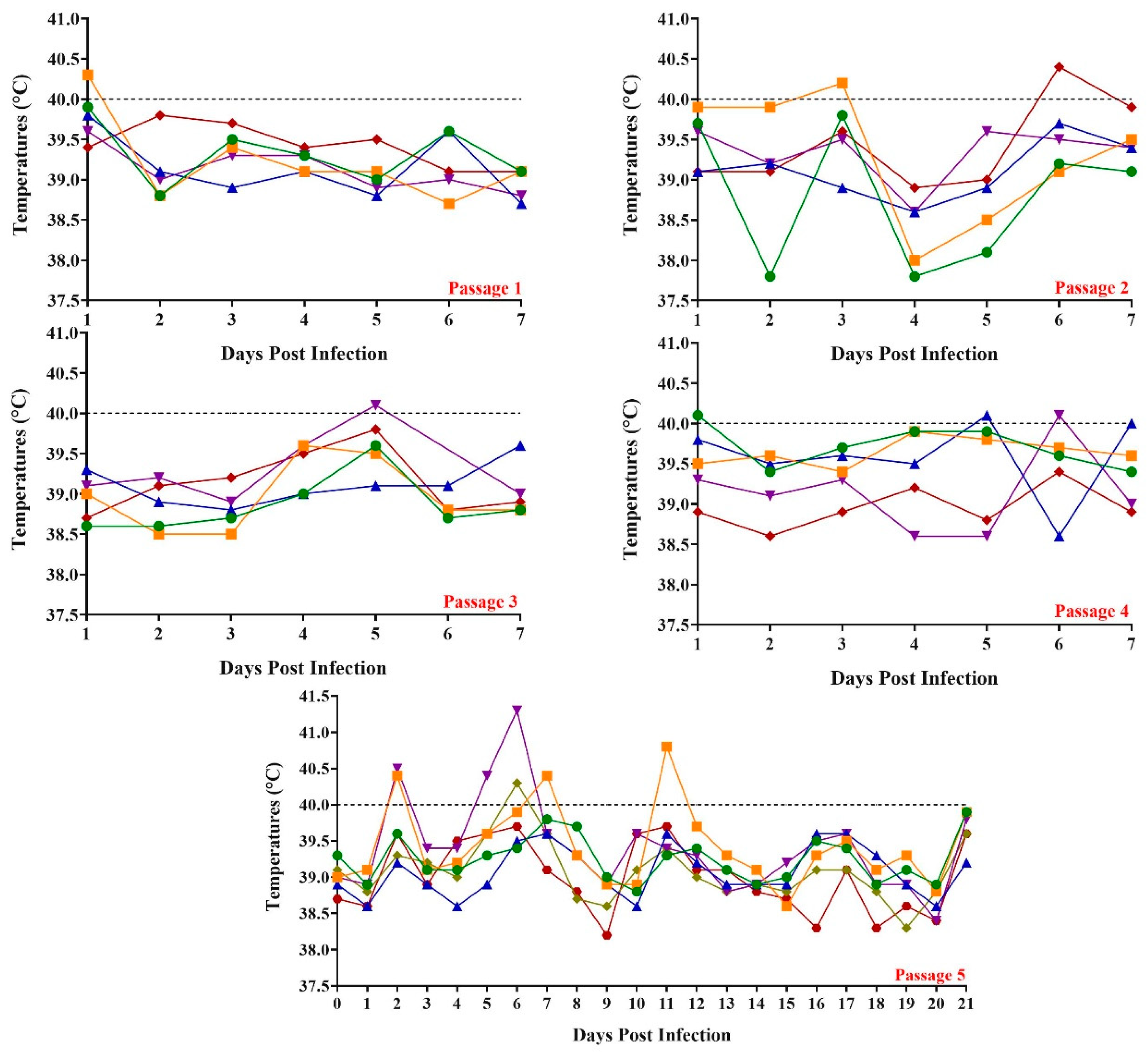
3.1.1. Clinical Signs
3.1.2. Antigenic Profile of FlagT4G
3.1.3. Genetic Stability of FlagT4G
3.1.4. Determination of Minimal Protective Dose
4. Discussion
Author Contributions
Funding
Institutional Review Board Statement
Informed Consent Statement
Data Availability Statement
Acknowledgments
Conflicts of Interest
References
- Brown, V.R.; Miller, R.S.; McKee, S.C.; Ernst, K.H.; Didero, N.M.; Maison, R.M.; Grady, M.J.; Shwiff, S.A. Risks of introduction and economic consequences associated with African swine fever, classical swine fever and foot-and-mouth disease: A review of the literature. Transbound. Emerg. Dis. 2021, 68, 1910–1965. [Google Scholar] [CrossRef] [PubMed]
- Blome, S.; Staubach, C.; Henke, J.; Carlson, J.; Beer, M. Classical Swine Fever-An Updated Review. Viruses 2017, 9, 86. [Google Scholar] [CrossRef] [PubMed]
- Ganges, L.; Crooke, H.R.; Bohorquez, J.A.; Postel, A.; Sakoda, Y.; Becher, P.; Ruggli, N. Classical swine fever virus: The past, present and future. Virus 2020, 289, 198151. [Google Scholar] [CrossRef] [PubMed]
- Blome, S.; Wernike, K.; Reimann, I.; Konig, P.; Moss, C.; Beer, M. A decade of research into classical swine fever marker vaccine CP7_E2alf (Suvaxyn® CSF Marker): A review of vaccine properties. Vet. Res. 2017, 48, 51. [Google Scholar] [CrossRef] [PubMed]
- Choe, S.; Kim, J.H.; Kim, K.S.; Song, S.; Kang, W.C.; Kim, H.J.; Park, G.N.; Cha, R.M.; Cho, I.S.; Hyun, B.H.; et al. Impact of a Live Attenuated Classical Swine Fever Virus Introduced to Jeju Island, a CSF-Free Area. Pathogens 2019, 8, 251. [Google Scholar] [CrossRef] [PubMed]
- Holinka, L.G.; Fernandez-Sainz, I.; Sanford, B.; O’Donnell, V.; Gladue, D.P.; Carlson, J.; Lu, Z.; Risatti, G.R.; Borca, M.V. Development of an improved live attenuated antigenic marker CSF vaccine strain candidate with an increased genetic stability. Virology 2014, 471–473, 13–18. [Google Scholar] [CrossRef] [PubMed]
- Lim, S.I.; Choe, S.; Kim, K.S.; Jeoung, H.Y.; Cha, R.M.; Park, G.S.; Shin, J.; Park, G.N.; Cho, I.S.; Song, J.Y.; et al. Assessment of the efficacy of an attenuated live marker classical swine fever vaccine (Flc-LOM-BErns) in pregnant sows. Vaccine 2019, 37, 3598–3604. [Google Scholar] [CrossRef] [PubMed]
- Risatti, G.R.; Holinka, L.G.; Lu, Z.; Kutish, G.F.; Tulman, E.R.; French, R.A.; Sur, J.H.; Rock, D.L.; Borca, M.V. Mutation of E1 glycoprotein of classical swine fever virus affects viral virulence in swine. Virology 2005, 343, 116–127. [Google Scholar] [CrossRef] [PubMed]
- Risatti, G.R.; Holinka, L.G.; Carrillo, C.; Kutish, G.F.; Lu, Z.; Tulman, E.R.; Fernandez Sainz, I.; Borca, M.V. Identification of a novel virulence determinant within E2 structural glycoprotein of classical swine fever virus. Virology 2006, 355, 94–101. [Google Scholar] [CrossRef] [PubMed]
- Holinka, L.G.; Fernandez-Sainz, I.; O’Donnell, V.; Prarat, M.V.; Gladue, D.P.; Lu, Z.; Risatti, G.R.; Borca, M.V. Development of a live attenuated antigenic marker classical swine fever vaccine. Virology 2009, 384, 106–113. [Google Scholar] [CrossRef] [PubMed]
- Lin, M.; Lin, F.; Mallory, M.; Clavijo, A. Deletions of Structural Glycoprotein E2 of Classical Swine Fever Virus Strain Alfort/187 Resolve a Linear Epitope of Monoclonal Antibody WH303 and the Minimal N-Terminal Domain Essential for Binding Immunoglobulin G Antibodies of a Pig Hyperimmune Serum. J. Virol. 2000, 74, 11619–11625. [Google Scholar] [CrossRef] [PubMed]
- Bohórquez, J.A.; Defaus, S.; Rosell, R.; Perez-Simó, M.; Alberch, M.; Gladue, D.P.; Borca, M.V.; Andreu, D.; Ganges, L. Development of a dendrimeric peptide-based approach for the differentiation of animals vaccinated with FlagT4G against classical swine fever from infected pigs. Viruses 2021, 13, 1980. [Google Scholar] [CrossRef] [PubMed]
- Holinka, L.G.; O’Donnell, V.; Risatti, G.R.; Azzinaro, P.; Arzt, J.; Stenfeldt, C.; Velazquez-Salinas, L.; Carlson, J.; Gladue, D.P.; Borca, M.V. Early protection events in swine immunized with an experimental live attenuated classical swine fever marker vaccine, FlagT4G. PLoS ONE 2017, 12, e0177433. [Google Scholar] [CrossRef] [PubMed]
- Bohórquez, J.A.; Wang, M.; Díaz, I.; Alberch, M.; Pérez-Simó, M.; Rosell, R.; Gladue, D.P.; Borca, M.V.; Ganges, L. The FlagT4G vaccine confers a strong and regulated innate immunity that correlates with early virological protection against Classical swine fever. Viruses 2022, 14, 1954. [Google Scholar] [CrossRef] [PubMed]
- Jalili, V.; Afgan, E.; Gu, Q.; Clements, D.; Blankenberg, D.; Goecks, J.; Taylor, J.; Nekrutenko, A. The Galaxy platform for accessible, reproducible and collaborative biomedical analyses: 2020 update. Nucleic Acids Res. 2020, 48, W395–W402, Erratum in Nucleic Acids Res. 2020, 48, 8205–8207. https://doi.org/10.1093/nar/gkaa554. [Google Scholar] [CrossRef] [PubMed] [PubMed Central]
- Bolger, A.M.; Lohse, M.; Usadel, B. Trimmomatic: A flexible trimmer for Illumina sequence data. Bioinformatics 2014, 30, 2114–2120. [Google Scholar] [CrossRef] [PubMed]
- Tews, B.A.; Schürmann, E.-M.; Meyers, G. Mutation of cysteine 171 of pestivirus Erns RNase prevents homodimer formation and leads to attenuation of classical swine fever virus. J. Virol. 2009, 83, 4823–4834. [Google Scholar] [CrossRef] [PubMed]
- Huynh, L.T.; Otsuka, M.; Kobayashi, M.; Ngo, H.D.; Hew, L.Y.; Hiono, T.; Isoda, N.; Sakoda, Y. Assessment of the Safety Profile of Chimeric Marker Vaccine against Classical Swine Fever: Reversion to Virulence Study. Viruses 2024, 16, 1120. [Google Scholar] [CrossRef] [PubMed]




Disclaimer/Publisher’s Note: The statements, opinions and data contained in all publications are solely those of the individual author(s) and contributor(s) and not of MDPI and/or the editor(s). MDPI and/or the editor(s) disclaim responsibility for any injury to people or property resulting from any ideas, methods, instructions or products referred to in the content. |
© 2025 by the authors. Licensee MDPI, Basel, Switzerland. This article is an open access article distributed under the terms and conditions of the Creative Commons Attribution (CC BY) license (https://creativecommons.org/licenses/by/4.0/).
Share and Cite
Ramirez-Medina, E.; Velazquez-Salinas, L.; Valladares, A.; Rai, A.; Burton, L.; Sastre, L.; Silva, E.; Risatti, G.R.; Ganges, L.; Borca, M.V. Assessment of the Reversion to Virulence and Protective Efficacy in Pigs Receiving the Live Attenuated Classical Swine Fever Recombinant Vaccine Candidate FlagT4G. Vaccines 2025, 13, 544. https://doi.org/10.3390/vaccines13050544
Ramirez-Medina E, Velazquez-Salinas L, Valladares A, Rai A, Burton L, Sastre L, Silva E, Risatti GR, Ganges L, Borca MV. Assessment of the Reversion to Virulence and Protective Efficacy in Pigs Receiving the Live Attenuated Classical Swine Fever Recombinant Vaccine Candidate FlagT4G. Vaccines. 2025; 13(5):544. https://doi.org/10.3390/vaccines13050544
Chicago/Turabian StyleRamirez-Medina, Elizabeth, Lauro Velazquez-Salinas, Alyssa Valladares, Ayushi Rai, Leeanna Burton, Leandro Sastre, Ediane Silva, Guillermo R. Risatti, Llilianne Ganges, and Manuel V. Borca. 2025. "Assessment of the Reversion to Virulence and Protective Efficacy in Pigs Receiving the Live Attenuated Classical Swine Fever Recombinant Vaccine Candidate FlagT4G" Vaccines 13, no. 5: 544. https://doi.org/10.3390/vaccines13050544
APA StyleRamirez-Medina, E., Velazquez-Salinas, L., Valladares, A., Rai, A., Burton, L., Sastre, L., Silva, E., Risatti, G. R., Ganges, L., & Borca, M. V. (2025). Assessment of the Reversion to Virulence and Protective Efficacy in Pigs Receiving the Live Attenuated Classical Swine Fever Recombinant Vaccine Candidate FlagT4G. Vaccines, 13(5), 544. https://doi.org/10.3390/vaccines13050544

