Incidence of Confirmed Influenza and Pneumococcal Infections and Vaccine Uptake Among Virologically Suppressed People Living with HIV
Abstract
1. Introduction
2. Materials and Methods
2.1. Study Setting
2.2. Statistical Analysis
2.3. Ethics
3. Results
3.1. Study Participants
3.2. Incidence of Infection
3.3. Vaccine Uptake
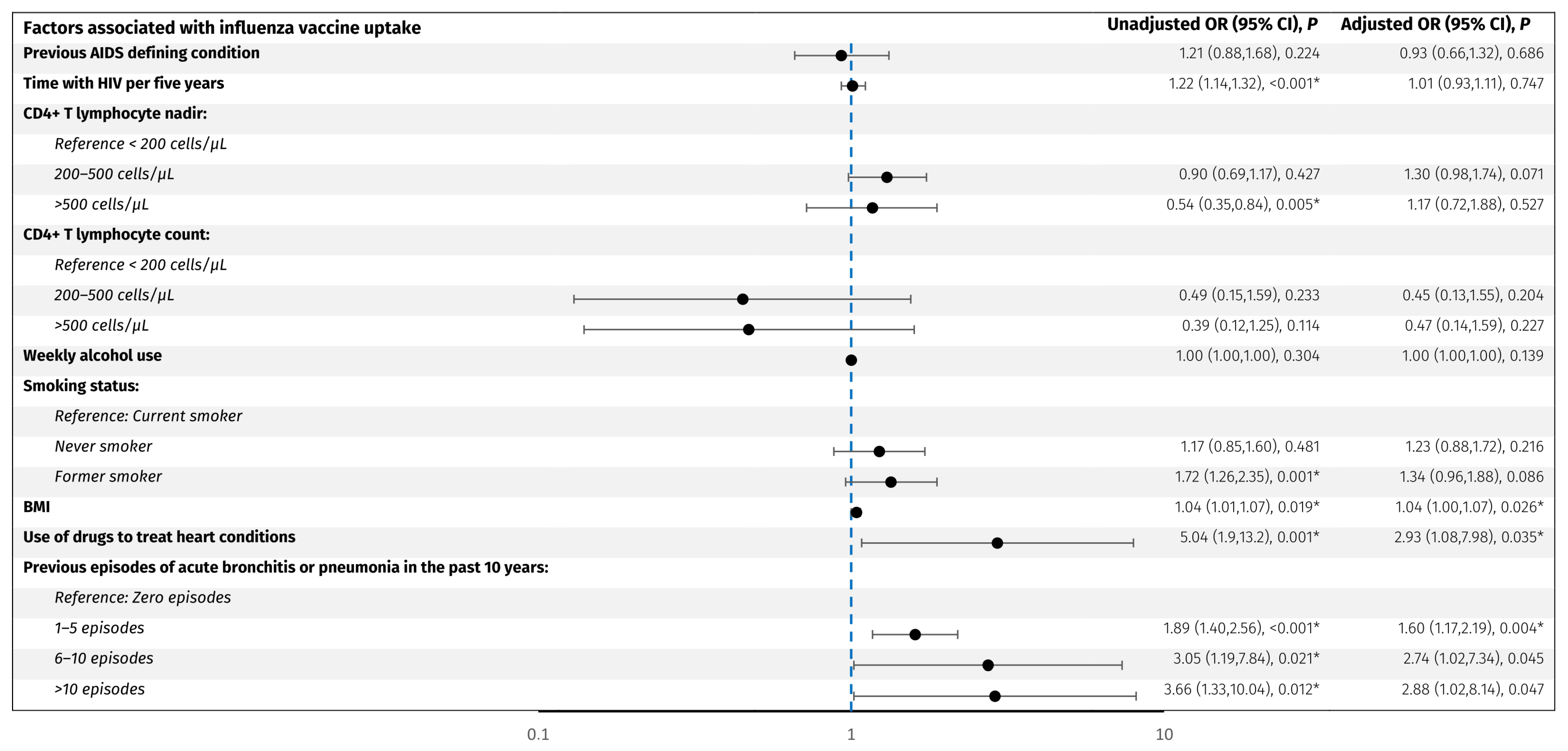
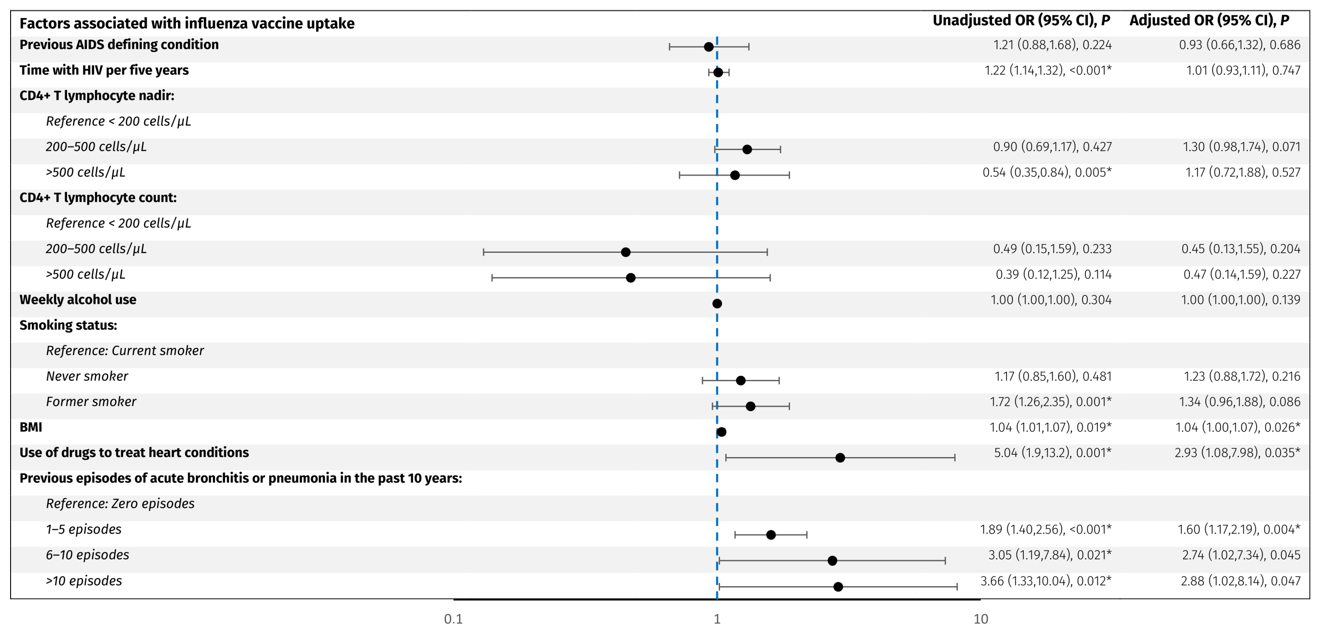
3.4. Factors Associated with Vaccine Uptake
4. Discussion
5. Conclusions
Author Contributions
Funding
Institutional Review Board Statement
Informed Consent Statement
Data Availability Statement
Acknowledgments
Conflicts of Interest
Abbreviations
| BMI | Body mass index |
| cART | Combination antiretroviral therapy |
| CI | Confidence interval |
| IPD | Invasive pneumococcal disease |
| IR | Incidence rate |
| IQR | Interquartile range |
| OR | Odds ratio |
| PLWH | People living with HIV |
| SD | Standard deviation |
Appendix A

References
- Lazarous, D.G.; O’Donnell, A.E. Pulmonary Infections in the HIV-Infected Patient in the Era of Highly Active Antiretroviral Therapy: An Update. Curr. Infect. Dis. Rep. 2007, 9, 228–232. [Google Scholar] [CrossRef] [PubMed]
- Grubb, J.R.; Moorman, A.C.; Baker, R.K.; Masur, H. The Changing Spectrum of Pulmonary Disease in Patients with HIV Infection on Antiretroviral Therapy. AIDS 2006, 20, 1095–1107. [Google Scholar] [CrossRef] [PubMed]
- Sogaard, O.S.; Lohse, N.; Gerstoft, J.; Kronborg, G.; Ostergaard, L.; Pedersen, C.; Pedersen, G.; Sørensen, H.T.; Obel, N. Hospitalization for Pneumonia among Individuals with and without HIV Infection, 1995-2007: A Danish Population-Based, Nationwide Cohort Study. Clin. Infect. Dis. 2008, 47, 1345–1353. [Google Scholar] [CrossRef]
- Wolff, A.J.; O’Donnell, A.E. Pulmonary Manifestations of HIV Infection in the Era of Highly Active Antiretroviral Therapy. Chest 2001, 120, 1888–1893. [Google Scholar] [CrossRef]
- Konstantinidis, I.; Crothers, K.; Kunisaki, K.M.; Drummond, M.B.; Benfield, T.; Zar, H.J.; Huang, L.; Morris, A. HIV-Associated Lung Disease. Nat. Rev. Dis. Primers 2023, 9, 39. [Google Scholar] [CrossRef]
- Søgaard, O.S.; Reekie, J.; Ristola, M.; Jevtovic, D.; Karpov, I.; Beniowski, M.; Servitskiy, S.; Domingo, P.; Reiss, P.; Mocroft, A.; et al. Severe Bacterial Non-Aids Infections in HIV-Positive Persons: Incidence Rates and Risk Factors. J. Infect. 2013, 66, 439–446. [Google Scholar] [CrossRef] [PubMed]
- Konstantinidis, I.; Zou, R.H.; Papageorgiou, S.N.; Ronit, A.; Drummond, M.B.; Kunisaki, K.M.; Crothers, K.; Nouraie, S.M.; Morris, A. Effect of HIV on Lung Function and Structure: A Systematic Review and Meta-Analysis. Ann. Am. Thorac. Soc. 2025, 22, 274–284. [Google Scholar] [CrossRef]
- Ronit, A.; Lundgren, J.; Afzal, S.; Benfield, T.; Roen, A.; Mocroft, A.; Gerstoft, J.; Nordestgaard, B.G.; Vestbo, J.; Nielsen, S.D. Airflow Limitation in People Living with HIV and Matched Uninfected Controls. Thorax 2018, 73, 431–438. [Google Scholar] [CrossRef]
- Ronit, A.; Benfield, T.; Lundgren, J.; Vestbo, J.; Afzal, S.; Nordestgaard, B.G.; Kühl, J.T.; Kofoed, K.F.; Nielsen, S.D.; Kristensen, T. Interstitial Lung Abnormalities in People With HIV Infection and Uninfected Controls. J. Infect. Dis. 2020, 221, 1973–1977. [Google Scholar] [CrossRef]
- Thudium, R.F.; Ronit, A.; Afzal, S.; Çolak, Y.; Forman, J.L.; Mendo, F.; Chen, F.; Estrada, V.; Kumarasamy, N.; Nordestgaard, B.G.; et al. Faster Lung Function Decline in People Living with HIV despite Adequate Treatment: A Longitudinal Matched Cohort Study. Thorax 2023, 78, 535–542. [Google Scholar] [CrossRef]
- Heidari, S.-L.; Hove-Skovsgaard, M.; Arentoft, N.S.; Svartstein, A.-S.W.; Møller, D.L.; Jensen, C.S.; Benfield, T.; Jensen, J.-U.S.; Thudium, R.F.; Nielsen, S.D. Incidence of Bacterial Respiratory Infection and Pneumonia in People with HIV with and without Airflow Limitation. Int. J. Infect. Dis. 2024, 139, 183–191. [Google Scholar] [CrossRef] [PubMed]
- Benito, N.; Moreno, A.; Miro, J.M.; Torres, A. Pulmonary Infections in HIV-Infected Patients: An Update in the 21st Century. Eur. Respir. J. 2012, 39, 730–745. [Google Scholar] [CrossRef] [PubMed]
- Feikin, D.R.; Feldman, C.; Schuchat, A.; Janoff, E.N. Global Strategies to Prevent Bacterial Pneumonia in Adults with HIV Disease. Lancet Infect. Dis. 2004, 4, 445–455. [Google Scholar] [CrossRef] [PubMed]
- Caldera, F.; Mercer, M.; Samson, S.I.; Pitt, J.M.; Hayney, M.S. Influenza Vaccination in Immunocompromised Populations: Strategies to Improve Immunogenicity. Vaccine 2021, 39 (Suppl. S1), A15–A23. [Google Scholar] [CrossRef]
- González Álvarez, D.A.; López Cortés, L.F.; Cordero, E. Impact of HIV on the Severity of Influenza. Expert Rev. Respir. Med. 2016, 10, 463–472. [Google Scholar] [CrossRef]
- Tempia, S.; Walaza, S.; Moyes, J.; Cohen, A.L.; von Mollendorf, C.; Treurnicht, F.K.; Venter, M.; Pretorius, M.; Hellferscee, O.; Mtshali, S.; et al. Risk Factors for Influenza-Associated Severe Acute Respiratory Illness Hospitalization in South Africa, 2012–2015. Open Forum Infect. Dis. 2017, 4, ofw262. [Google Scholar] [CrossRef]
- Cohen, C.; Moyes, J.; Tempia, S.; Groom, M.; Walaza, S.; Pretorius, M.; Dawood, H.; Chhagan, M.; Haffejee, S.; Variava, E.; et al. Severe Influenza-Associated Respiratory Infection in High HIV Prevalence Setting, South Africa, 2009–2011. Emerg. Infect. Dis. 2013, 19, 1766. [Google Scholar] [CrossRef]
- Cole, M.E.; Saeed, Z.; Shaw, A.T.; Guo, Y.; Höschler, K.; Winston, A.; Cooke, G.S.; Fidler, S.; Taylor, G.P.; Pollock, K.M. Responses to Quadrivalent Influenza Vaccine Reveal Distinct Circulating CD4+CXCR5+ T Cell Subsets in Men Living with HIV. Sci. Rep. 2019, 9, 15650. [Google Scholar] [CrossRef]
- Liu, Z.; Pang, C.; Deng, Y.; Guo, C.; Li, J.; Li, Y.; Xin, R.; Li, X.; Xu, C.; Huang, C.; et al. Humoral Immune Response Following the Inactivated Quadrivalent Influenza Vaccination among HIV-Infected and HIV-Uninfected Adults. Vaccine 2023, 41, 4978–4985. [Google Scholar] [CrossRef]
- Grau, I.; Pallares, R.; Tubau, F.; Schulze, M.H.; Llopis, F.; Podzamczer, D.; Liñares, J.; Gudiol, F.; Spanish Pneumococcal Infection Study Network (G03/103). Epidemiologic Changes in Bacteremic Pneumococcal Disease in Patients with Human Immunodeficiency Virus in the Era of Highly Active Antiretroviral Therapy. Arch. Intern. Med. 2005, 165, 1533–1540. [Google Scholar] [CrossRef][Green Version]
- Xia, Y.; Mi, F.; Du, G.; Qin, S. Analysis of Protective Immune Responses to Seasonal Influenza Vaccination in HIV-Infected Individuals. Hum. Vaccin Immunother. 2021, 17, 124–132. [Google Scholar] [CrossRef] [PubMed]
- Tortellini, E.; Fosso Ngangue, Y.C.; Dominelli, F.; Guardiani, M.; Falvino, C.; Mengoni, F.; Carraro, A.; Marocco, R.; Pasculli, P.; Mastroianni, C.M.; et al. Immunogenicity and Efficacy of Vaccination in People Living with Human Immunodeficiency Virus. Viruses 2023, 15, 1844. [Google Scholar] [CrossRef] [PubMed]
- European AIDS Clinical Society EACS. Guidelines; Version 12.0 October 2023; European AIDS Clinical Society: Brussels, Belgium, 2023; pp. 1–162. [Google Scholar]
- Dunlevy, H.A.; Johnson, S.C. Routine and Special Vaccinations in People With HIV. Top. Antivir. Med. 2024, 32, 411–419. [Google Scholar] [PubMed]
- Rubin, L.G.; Levin, M.J.; Ljungman, P.; Davies, E.G.; Avery, R.; Tomblyn, M.; Bousvaros, A.; Dhanireddy, S.; Sung, L.; Keyserling, H.; et al. 2013 IDSA Clinical Practice Guideline for Vaccination of the Immunocompromised Host. Clin. Infect. Dis. 2014, 58, e44–e100. [Google Scholar] [CrossRef]
- Risikogrupper Og Vaccinationsmuligheder. Statens Serum Institut. Available online: https://www.ssi.dk/vaccinationer/risikogrupper/invasiv-pneumokoksygdom/vacciations-og-revaccinationsvejledninger (accessed on 12 December 2024).
- Influenzavaccination. Statens Serum Institut. Available online: https://www.ssi.dk/vaccinationer/influenzavaccination (accessed on 18 February 2025).
- Larsen, L.; Nguyen, M.T.T.; Johansen, I.S. The Coverage of Influenza and Pneumococcal Vaccinations among People Living with HIV in Denmark: A Single-Center Cross-Sectional Survey. Hum. Vaccin Immunother. 2021, 17, 2700–2705. [Google Scholar] [CrossRef]
- Svartstein, A.-S.W.; Knudsen, A.D.; Heidari, S.-L.; Heftdal, L.D.; Gelpi, M.; Benfield, T.; Nielsen, S.D. Mpox Incidence and Vaccine Uptake in Men Who Have Sex with Men and Are Living with HIV in Denmark. Vaccines 2023, 11, 1167. [Google Scholar] [CrossRef]
- Ronit, A.; Haissman, J.; Kirkegaard-Klitbo, D.M.; Kristensen, T.S.; Lebech, A.-M.; Benfield, T.; Gerstoft, J.; Ullum, H.; Køber, L.; Kjær, A.; et al. Copenhagen Comorbidity in HIV Infection (COCOMO) Study: A Study Protocol for a Longitudinal, Non-Interventional Assessment of Non-AIDS Comorbidity in HIV Infection in Denmark. BMC Infect. Dis. 2016, 16, 713. [Google Scholar] [CrossRef]
- Voldstedlund, M.; Haarh, M.; Mølbak, K.; The MiBa Board of Representatives. The Danish Microbiology Database (MiBa) 2010 to 2013. Eurosurveillance 2014, 19, 20667. [Google Scholar] [CrossRef]
- Grove Krause, T.; Jakobsen, S.; Haarh, M.; Mølbak, K. The Danish Vaccination Register. Eurosurveillance 2012, 17, 20155. [Google Scholar] [CrossRef]
- Gray, B. Cmprsk: Subdistribution Analysis of Competing Risks. R Package Version 2.2-12. 2024. Available online: https://CRAN.R-project.org/package=cmprsk (accessed on 5 February 2025).
- Sundhedssstyrelsen. Tilskud Til Vacciner Til Visse Persongrupper. Available online: https://www.sst.dk/da/Fagperson/Forebyggelse-og-tvaergaaende-indsatser/Vaccination/Vaccination-af-voksne/Tilskud-til-vacciner (accessed on 18 February 2025).
- Zheng, L.; Lin, Y.; Yang, J.; Fang, K.; Wu, J.; Zheng, M. Global Variability of Influenza Activity and Virus Subtype Circulation from 2011 to 2023. BMJ Open Respir. Res. 2023, 10, e001638. [Google Scholar] [CrossRef]
- Statens Serum Institut. Influenza—Årlige Opgørelser Og Risikovurderinger. Available online: https://www.ssi.dk/sygdomme-beredskab-og-forskning/sygdomsovervaagning/i/influenza-aarlige-opgoerelser-og-risikovurderinger (accessed on 4 February 2025).
- Statens Serum Institut. Influenzasæsonen—Opgørelse over Sygdomsforekomst 2020/21. Available online: https://www.ssi.dk/sygdomme-beredskab-og-forskning/sygdomsovervaagning/i/influenzasaesonen---opgoerelse-over-sygdomsforekomst-2020-21 (accessed on 12 December 2024).
- Befolkningstal. Danmarks Statistik. Available online: https://www.dst.dk/da/Statistik/emner/borgere/befolkning/befolkningstal (accessed on 13 January 2025).
- Ho, A.; Aston, S.J.; Jary, H.; Mitchell, T.; Alaerts, M.; Menyere, M.; Mallewa, J.; Nyirenda, M.; Everett, D.; Heyderman, R.S.; et al. Impact of Human Immunodeficiency Virus on the Burden and Severity of Influenza Illness in Malawian Adults: A Prospective Cohort and Parallel Case-Control Study. Clin. Infect. Dis. 2018, 66, 865–876. [Google Scholar] [CrossRef] [PubMed]
- Sheth, A.N.; Althoff, K.N.; Brooks, J.T. Influenza Susceptibility, Severity, and Shedding in HIV-Infected Adults: A Review of the Literature. Clin. Infect. Dis. 2011, 52, 219–227. [Google Scholar] [CrossRef] [PubMed]
- Balachandran, N.; Ntiri, M.; Duque, J.; Addo, C.; Edu-Quansah, E.; Badji, E.; Brightson, K.; Houphouet, E.E.; Ndahwouh, T.N.; Koram, K.; et al. Incidence of Laboratory-Confirmed Influenza among HIV-Infected versus HIV-Uninfected Individuals in Two Districts of Ghana, 2014 to 2016. Am. J. Trop. Med. Hyg. 2021, 105, 783–787. [Google Scholar] [CrossRef]
- Fitzpatrick, M.E.; Kunisaki, K.M.; Morris, A. Pulmonary Disease in HIV-Infected Adults in the Era of Antiretroviral Therapy. Aids 2018, 32, 277–292. [Google Scholar] [CrossRef]
- Statens Serum Institut. Invasiv Pneumokoksygdom—Opgørelse over Sygdomsforekomst 2017. Available online: https://www.ssi.dk/sygdomme-beredskab-og-forskning/sygdomsovervaagning/i/invasiv-pneumokoksygdom---opgoerelse-over-sygdomsforekomst-2017 (accessed on 13 January 2025).
- Harboe, Z.B.; Larsen, M.V.; Ladelund, S.; Kronborg, G.; Konradsen, H.B.; Gerstoft, J.; Larsen, C.S.; Pedersen, C.; Pedersen, G.; Obel, N.; et al. Incidence and Risk Factors for Invasive Pneumococcal Disease in HIV-Infected and Non-HIV-Infected Individuals Before and After the Introduction of Combination Antiretroviral Therapy: Persistent High Risk Among HIV-Infected Injecting Drug Users. Clin. Infect. Dis. 2014, 59, 1168–1176. [Google Scholar] [CrossRef]
- Sadlier, C.; O’Connell, S.; Kelleher, M.; Bergin, C. Incidence and Risk Factors for Invasive Pneumococcal Disease in HIV-Positive Individuals in the Era of Highly Active Antiretroviral Therapy. Int. J. STD AIDS 2019, 30, 472–478. [Google Scholar] [CrossRef]
- Vivancos-Gallego, M.J.; Muriel, A.; Serrano-Villar, S.; Moreno-Zamora, A.; Pérez-Elías, M.J.; Quereda, C.; Casado, J.L.; Sánchez-Conde, M.; Del Campo, S.; Dronda, F.; et al. Pneumococcal Vaccination in Adult People Living with HIV on Suppressive Antiretroviral Therapy: A Case–Control Study. Int. J. STD AIDS 2020, 31, 174–182. [Google Scholar] [CrossRef]
- Marcus, J.L.; Baxter, R.; Leyden, W.A.; Muthulingam, D.; Yee, A.; Horberg, M.A.; Klein, D.B.; Towner, W.J.; Chao, C.R.; Quesenberry, C.P.; et al. Invasive Pneumococcal Disease Among HIV-Infected and HIV-Uninfected Adults in a Large Integrated Healthcare System. AIDS Patient Care STDS 2016, 30, 463–470. [Google Scholar] [CrossRef]
- Garcia Garrido, H.M.; Mak, A.M.R.; Wit, F.W.N.M.; Wong, G.W.M.; Knol, M.J.; Vollaard, A.; Tanck, M.W.T.; Van Der Ende, A.; Grobusch, M.P.; Goorhuis, A. Incidence and Risk Factors for Invasive Pneumococcal Disease and Community-Acquired Pneumonia in Human Immunodeficiency Virus–Infected Individuals in a High-Income Setting. Clin. Infect. Dis. 2020, 71, 41–50. [Google Scholar] [CrossRef]
- European Centre for Disease Prevention and Control. Survey Report on National Seasonal Influenza Vaccination Recommendations and Coverage Rates in EU/EEA Countries; ECDC: Stockholm, Sweden, 2024; Available online: https://www.ecdc.europa.eu/sites/default/files/documents/Seasonalflu%20vacc%20coverage%20and%20recommendations%20-%2026%20Nov.pdf (accessed on 18 February 2025).
- Kolakowska, A.; Marshall, E.; Krastinova, E.; Cros, A.; Duvivier, C.; Leroy, P.; Caby, F.; Zucman, D.; Maka, A.; Salmon, D.; et al. Insufficient Vaccine Coverage and Vaccine Hesitancy in People Living with HIV: A Prospective Study in Outpatient Clinics in the Paris Region. Vaccine 2024, 42, 3655–3663. [Google Scholar] [CrossRef]
- Boey, L.; Bosmans, E.; Ferreira, L.B.; Heyvaert, N.; Nelen, M.; Smans, L.; Tuerlinckx, H.; Roelants, M.; Claes, K.; Derdelinckx, I.; et al. Vaccination Coverage of Recommended Vaccines and Determinants of Vaccination in At-Risk Groups. Hum. Vaccin Immunother. 2020, 16, 2136–2143. [Google Scholar] [CrossRef] [PubMed]
- Statens Serum Institut. Overvågning i Tal, Grafer Og Kort. 2024. Available online: https://statistik.ssi.dk//sygdomsdata#!/?vaccination=13&sex=3&riskgroup=10&landsdel=100&xaxis=Season&show=Graph&season=2015%7C2018&datatype=Vaccination (accessed on 12 December 2024).
- Shaham, A.; Chodick, G.; Shalev, V.; Yamin, D. Personal and Social Patterns Predict Influenza Vaccination Decision. BMC Public Health 2020, 20, 222. [Google Scholar] [CrossRef] [PubMed]
- Althoff, K.N.; Anastos, K.; Nelson, K.E.; Celentano, D.D.; Sharp, G.B.; Greenblatt, R.M.; French, A.L.; Diamond, D.J.; Holman, S.; Young, M.; et al. Predictors of Reported Influenza Vaccination in HIV-Infected Women in the United States, 2006–2007 and 2007–2008 Seasons. Prev. Med. 2010, 50, 223–229. [Google Scholar] [CrossRef] [PubMed]



| General characteristics | ||
| Age, years, median (IQR) | 50.7 (15.2) | |
| Male, n (%) | 878 (84.7%) | |
| Smoking status, n (%) | Current smoker Former smoker Never smoker | 291 (28.2%) 357 (34.6%) 347 (33.7%) |
| Pack years in current and previous smokers, mean (SD) | 23.0 (22.3) | |
| Weekly alcohol consumption in units, mean (SD) | 10.3 (12.4) | |
| BMI (kg/m2), mean (SD) | 25.0 (4.1) | |
| Use of drugs to treat heart conditions, yes, n (%) | 32 (3.1%) | |
| Acute bronchitis or pneumonia in the past 10 years, n (%) | 1–5 episodes 6–10 episodes >10 episodes | 256 (24.8%) 24 (2.3%) 22 (2.1%) |
| HIV characteristics | ||
| CD4+ T cell count, cells/µL, mean (SD) | 724.2 (282) | |
| CD4+ T cell count, cells/µL, category, n (%) | <200 200–500 >500 | 15 (1.5%) 194 (18.8%) 816 (79.2%) |
| CD4+ T cell nadir, cells/µL, mean (SD) | 252.1 (181) | |
| CD4+ T cell nadir, category, n (%) | <200 200–500 >500 | 416 (40.5%) 485 (47.0%) 107 (10.4%) |
| Previous AIDS-defining conditions, n (%) | 182 (17.7%) | |
| Use of cART, n (%) | 1020 (98.9%) | |
| Time with HIV, years, mean (SD) | 14.5 (9.0) | |
| Influenza vaccination | ||
| Influenza-vaccinated in any season, n (%) | 548 (53.2%) | |
| Influenza-vaccinated in all seasons, n (%) | 124 (22.6%) | |
| Influenza-vaccinated in one season, n (%) | 150 (27.4%) | |
| Influenza-vaccinated in two seasons, n (%) | 73 (13.3%) | |
| Influenza-vaccinated in three seasons, n (%) | 74 (13.5%) | |
| Influenza-vaccinated in four seasons, n (%) | 46 (8.4%) | |
| Influenza-vaccinated in five seasons, n (%) | 81 (14.8%) | |
| No influenza vaccination, n (%) | 483 (49.9%) | |
| Pneumococcal vaccination | ||
| Pneumococcal-vaccinated in 2015, n (%) | 4 (1.2%) | |
| Pneumococcal-vaccinated in 2016, n (%) | 9 (2.8%) | |
| Pneumococcal-vaccinated in 2017, n (%) | 10 (3.1%) | |
| Pneumococcal-vaccinated in 2018, n (%) | 10 (3.1%) | |
| Pneumococcal-vaccinated in 2019, n (%) | 13 (4.1%) | |
| Pneumococcal-vaccinated in 2020, n (%) | 235 (73.4%) | |
| Pneumococcal-vaccinated in 2021, n (%) | 39 (12.2%) | |
| No pneumococcal vaccination, n (%) | 711 (69.0%) | |
| Seasons | Influenza IR per 1000 Person-Years at Risk | 95% CI |
|---|---|---|
| 2015 | 5.9 | 1.2, 17.1 |
| 2016 | 4.0 | 0.5, 14.3 |
| 2017 | 18.0 | 8.2, 34.1 |
| 2018 | 15.6 | 6.8, 30.8 |
| 2019 | 6.1 | 1.3, 17.8 |
| 2020 | 0.0 | 0.0, 7.6 |
| 2015–2020 | 8.4 | 4.4, 12.3 |
Disclaimer/Publisher’s Note: The statements, opinions and data contained in all publications are solely those of the individual author(s) and contributor(s) and not of MDPI and/or the editor(s). MDPI and/or the editor(s) disclaim responsibility for any injury to people or property resulting from any ideas, methods, instructions or products referred to in the content. |
© 2025 by the authors. Licensee MDPI, Basel, Switzerland. This article is an open access article distributed under the terms and conditions of the Creative Commons Attribution (CC BY) license (https://creativecommons.org/licenses/by/4.0/).
Share and Cite
Wolder Ejlersen, E.; Loft, J.A.; Gelpi, M.; Heidari, S.-L.; Rezahosseini, O.; Poulsen, J.R.; Møller, D.L.; Harboe, Z.B.; Benfield, T.; Nielsen, S.D.; et al. Incidence of Confirmed Influenza and Pneumococcal Infections and Vaccine Uptake Among Virologically Suppressed People Living with HIV. Vaccines 2025, 13, 358. https://doi.org/10.3390/vaccines13040358
Wolder Ejlersen E, Loft JA, Gelpi M, Heidari S-L, Rezahosseini O, Poulsen JR, Møller DL, Harboe ZB, Benfield T, Nielsen SD, et al. Incidence of Confirmed Influenza and Pneumococcal Infections and Vaccine Uptake Among Virologically Suppressed People Living with HIV. Vaccines. 2025; 13(4):358. https://doi.org/10.3390/vaccines13040358
Chicago/Turabian StyleWolder Ejlersen, Edith, Josefine Amalie Loft, Marco Gelpi, Safura-Luise Heidari, Omid Rezahosseini, Johan Runge Poulsen, Dina Leth Møller, Zitta Barrella Harboe, Thomas Benfield, Susanne Dam Nielsen, and et al. 2025. "Incidence of Confirmed Influenza and Pneumococcal Infections and Vaccine Uptake Among Virologically Suppressed People Living with HIV" Vaccines 13, no. 4: 358. https://doi.org/10.3390/vaccines13040358
APA StyleWolder Ejlersen, E., Loft, J. A., Gelpi, M., Heidari, S.-L., Rezahosseini, O., Poulsen, J. R., Møller, D. L., Harboe, Z. B., Benfield, T., Nielsen, S. D., & Knudsen, A. D. (2025). Incidence of Confirmed Influenza and Pneumococcal Infections and Vaccine Uptake Among Virologically Suppressed People Living with HIV. Vaccines, 13(4), 358. https://doi.org/10.3390/vaccines13040358

