Efficacy of LaAg Vaccine Associated with Saponin Against Leishmania amazonensis Infection
Abstract
1. Introduction
2. Materials and Methods
3. Results
3.1. Association of LaAg-Plus-Saponin-Induced Higher Delayed-Hypersensitivity (DTH)
3.2. Immunization with LaAg + SAP Induced A Th1 Profile
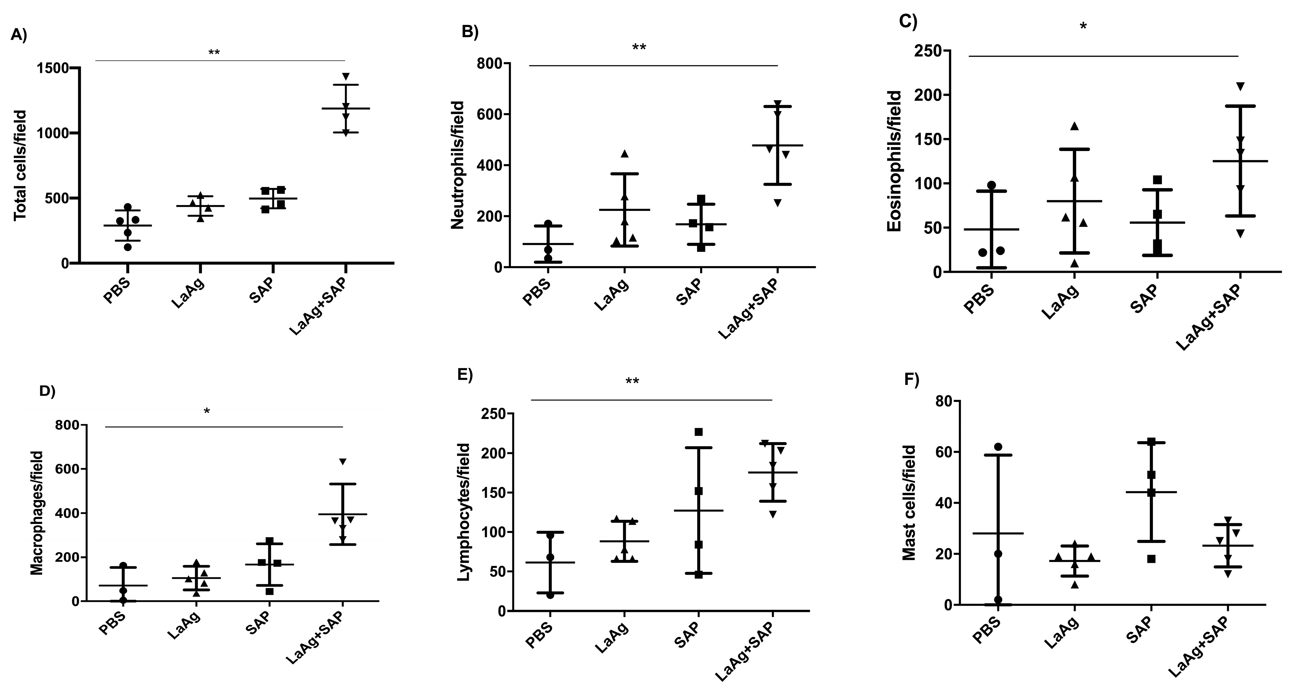
3.3. Mice Immunized with LaAg + SAP Induced Intense Cell Recruitment After Challenge with L.amazonensis
3.4. Mice Immunized with LaAg + SAP Induced Intense Th1 Response After Challenge with L.amazonensis
3.5. Immunization with LaAg + SAP Vaccine Induced A Partial Protection in BALB/c Mice Against L.amazonensis Infection
4. Discussion
5. Conclusions
Supplementary Materials
Author Contributions
Funding
Institutional Review Board Statement
Data Availability Statement
Conflicts of Interest
References
- Burza, S.; Croft, S.L.; Boelaert, M. Leishmaniasis. Lancet 2018, 392, 951–970. [Google Scholar] [CrossRef]
- WHO. Leishmaniasis; WHO: Geneva, Switzerland, 2023. [Google Scholar]
- Uliana, S.R.B.; Trinconi, C.T.; Coelho, A.C. Chemotherapy of leishmaniasis: Present challenges. Parasitology 2018, 145, 464–480. [Google Scholar] [CrossRef]
- Frezard, F.; Aguiar, M.M.G.; Ferreira, L.A.M.; Ramos, G.S.; Santos, T.T.; Borges, G.S.M.; Vallejos, V.M.R.; De Morais, H.L.O. Liposomal Amphotericin B for Treatment of Leishmaniasis: From the Identification of Critical Physicochemical Attributes to the Design of Effective Topical and Oral Formulations. Pharmaceutics 2022, 15, 99. [Google Scholar] [CrossRef] [PubMed]
- Modabber, F. Leishmaniasis vaccines: Past, present and future. Int. J. Antimicrob. Agents 2010, 36 (Suppl. S1), S58–S61. [Google Scholar] [CrossRef]
- Marzochi, K.B.; Marzochi, M.A.; Silva, A.F.; Grativol, N.; Duarte, R.; Confort, E.M.; Modabber, F. Phase 1 study of an inactivated vaccine against American tegumentary leishmaniasis in normal volunteers in Brazil. Mem. Inst. Oswaldo Cruz. 1998, 93, 205–212. [Google Scholar] [CrossRef]
- De Luca, P.M.; Mayrink, W.; Alves, C.R.; Coutinho, S.G.; Oliveira, M.P.; Bertho, A.L.; Toledo, V.P.; Costa, C.A.; Genaro, O.; Mendonca, S.C. Evaluation of the stability and immunogenicity of autoclaved and nonautoclaved preparations of a vaccine against American tegumentary leishmaniasis. Vaccine 1999, 17, 1179–1185. [Google Scholar] [CrossRef] [PubMed]
- Velez, I.D.; Gilchrist, K.; Arbelaez, M.P.; Rojas, C.A.; Puerta, J.A.; Antunes, C.M.; Zicker, F.; Modabber, F. Failure of a killed Leishmania amazonensis vaccine against American cutaneous leishmaniasis in Colombia. Trans. R Soc. Trop. Med. Hyg. 2005, 99, 593–598. [Google Scholar] [CrossRef]
- Pinheiro, R.O.; Pinto, E.F.; Lopes, J.R.; Guedes, H.L.; Fentanes, R.F.; Rossi-Bergmann, B. TGF-beta-associated enhanced susceptibility to leishmaniasis following intramuscular vaccination of mice with Leishmania amazonensis antigens. Microbes Infect. 2005, 7, 1317–1323. [Google Scholar] [CrossRef] [PubMed]
- Pinto, E.F.; de Mello Cortezia, M.; Rossi-Bergmann, B. Interferon-gamma-inducing oral vaccination with Leishmania amazonensis antigens protects BALB/c and C57BL/6 mice against cutaneous leishmaniasis. Vaccine 2003, 21, 3534–3541. [Google Scholar] [CrossRef] [PubMed]
- Ratnapriya, S.; Keerti; Sahasrabuddhe, A.A.; Dube, A. Visceral leishmaniasis: An overview of vaccine adjuvants and their applications. Vaccine 2019, 37, 3505–3519. [Google Scholar] [CrossRef]
- Oliveira-Maciel, D.; Dos-Santos, J.S.; Oliveira-Silva, G.; Mello, M.F.; da Fonseca-Martins, A.M.; Carneiro, M.P.D.; Ramos, T.D.; Firmino-Cruz, L.; Gomes, D.C.O.; Rossi-Bergmann, B.; et al. MPLA and AddaVax((R)) Adjuvants Fail to Promote Intramuscular LaAg Vaccine Protectiveness against Experimental Cutaneous Leishmaniasis. Microorganisms 2021, 9, 1272. [Google Scholar] [CrossRef] [PubMed]
- Tetsutani, K.; Ishii, K.J. Adjuvants in influenza vaccines. Vaccine 2012, 30, 7658–7661. [Google Scholar] [CrossRef] [PubMed]
- Vogel, F.R. The role of adjuvants in retroviral vaccines. Int. J. Immunopharmacol. 1995, 17, 85–90. [Google Scholar] [CrossRef] [PubMed]
- Rossi-Bergmann, B.L.A.; Bezerra-Santos, C.R.; Costa-Pinto, D.; Traub-Czeko, Y.M. Use of fluorescent Leishmania for faster quantitation of parasite growth in vitro and in vivo. Mem. I Oswaldo Cru. 1999, 94, 74. [Google Scholar]
- de Arruda, M.V.; Matsudaira, P. Cloning and sequencing of the Leishmania major actin-encoding gene. Gene 1994, 139, 123–125. [Google Scholar] [CrossRef]
- Livak, K.J.; Schmittgen, T.D. Analysis of relative gene expression data using real-time quantitative PCR and the 2(-Delta Delta C(T)) Method. Methods 2001, 25, 402–408. [Google Scholar] [CrossRef]
- Singh, R.; Kashif, M.; Srivastava, P.; Manna, P.P. Recent Advances in Chemotherapeutics for Leishmaniasis: Importance of the Cellular Biochemistry of the Parasite and Its Molecular Interaction with the Host. Pathogens 2023, 12, 706. [Google Scholar] [CrossRef]
- Pollard, A.J.; Bijker, E.M. A guide to vaccinology: From basic principles to new developments. Nat. Rev. Immunol. 2021, 21, 83–100. [Google Scholar] [CrossRef]
- Pinheiro, R.O.; Pinto, E.F.; Benedito, A.B.; Lopes, U.G.; Rossi-Bergmann, B. The T-cell anergy induced by Leishmania amazonensis antigens is related with defective antigen presentation and apoptosis. An Acad. Bras. Cienc. 2004, 76, 519–527. [Google Scholar] [CrossRef]
- Firdaus, F.Z.; Skwarczynski, M.; Toth, I. Developments in Vaccine Adjuvants. Methods Mol. Biol. 2022, 2412, 145–178. [Google Scholar] [CrossRef] [PubMed]
- Reed, S.G.; Orr, M.T.; Fox, C.B. Key roles of adjuvants in modern vaccines. Nat. Med. 2013, 19, 1597–1608. [Google Scholar] [CrossRef] [PubMed]
- Giunchetti, R.C.; Correa-Oliveira, R.; Martins-Filho, O.A.; Teixeira-Carvalho, A.; Roatt, B.M.; de Oliveira Aguiar-Soares, R.D.; de Souza, J.V.; das Dores Moreira, N.; Malaquias, L.C.; Mota e Castro, L.L.; et al. Immunogenicity of a killed Leishmania vaccine with saponin adjuvant in dogs. Vaccine 2007, 25, 7674–7686. [Google Scholar] [CrossRef]
- Aguiar-Soares, R.D.O.; Roatt, B.M.; Mathias, F.A.S.; Reis, L.E.S.; Cardoso, J.M.O.; Brito, R.C.F.; Ker, H.G.; Correa-Oliveira, R.; Giunchetti, R.C.; Reis, A.B. Phase I and II Clinical Trial Comparing the LBSap, Leishmune((R)), and Leish-Tec((R)) Vaccines against Canine Visceral Leishmaniasis. Vaccines 2020, 8, 690. [Google Scholar] [CrossRef] [PubMed]
- Oliveira, F.; Traore, B.; Gomes, R.; Faye, O.; Gilmore, D.C.; Keita, S.; Traore, P.; Teixeira, C.; Coulibaly, C.A.; Samake, S.; et al. Delayed-type hypersensitivity to sand fly saliva in humans from a leishmaniasis-endemic area of Mali is Th1-mediated and persists to midlife. J. Invest. Dermatol. 2013, 133, 452–459. [Google Scholar] [CrossRef] [PubMed]
- Gomes, R.B.; Brodskyn, C.; de Oliveira, C.I.; Costa, J.; Miranda, J.C.; Caldas, A.; Valenzuela, J.G.; Barral-Netto, M.; Barral, A. Seroconversion against Lutzomyia longipalpis saliva concurrent with the development of anti-Leishmania chagasi delayed-type hypersensitivity. J. Infect. Dis. 2002, 186, 1530–1534. [Google Scholar] [CrossRef] [PubMed]
- Scott, P.; Novais, F.O. Cutaneous leishmaniasis: Immune responses in protection and pathogenesis. Nat. Rev. Immunol. 2016, 16, 581–592. [Google Scholar] [CrossRef] [PubMed]
- Gollob, K.J.; Viana, A.G.; Dutra, W.O. Immunoregulation in human American leishmaniasis: Balancing pathology and protection. Parasite Immunol. 2014, 36, 367–376. [Google Scholar] [CrossRef] [PubMed]
- Gomes, R.; Teixeira, C.; Teixeira, M.J.; Oliveira, F.; Menezes, M.J.; Silva, C.; de Oliveira, C.I.; Miranda, J.C.; Elnaiem, D.E.; Kamhawi, S.; et al. Immunity to a salivary protein of a sand fly vector protects against the fatal outcome of visceral leishmaniasis in a hamster model. Proc. Natl. Acad. Sci. USA 2008, 105, 7845–7850. [Google Scholar] [CrossRef] [PubMed]
- Collin, N.; Gomes, R.; Teixeira, C.; Cheng, L.; Laughinghouse, A.; Ward, J.M.; Elnaiem, D.E.; Fischer, L.; Valenzuela, J.G.; Kamhawi, S. Sand fly salivary proteins induce strong cellular immunity in a natural reservoir of visceral leishmaniasis with adverse consequences for Leishmania. PLoS Pathog. 2009, 5, e1000441. [Google Scholar] [CrossRef]
- Resende, L.A.; Aguiar-Soares, R.D.; Gama-Ker, H.; Roatt, B.M.; Mendonca, L.Z.; Alves, M.L.; Silveira-Lemos, D.; Correa-Oliveira, R.; Martins-Filho, O.A.; Araujo, M.S.; et al. Impact of LbSapSal Vaccine in Canine Immunological and Parasitological Features before and after Leishmania chagasi-Challenge. PLoS ONE 2016, 11, e0161169. [Google Scholar] [CrossRef] [PubMed]
- Mazumdar, T.; Anam, K.; Ali, N. A mixed Th1/Th2 response elicited by a liposomal formulation of Leishmania vaccine instructs Th1 responses and resistance to Leishmania donovani in susceptible BALB/c mice. Vaccine 2004, 22, 1162–1171. [Google Scholar] [CrossRef] [PubMed]
- Gonzalez, M.A.C.; Goncalves, A.A.M.; Ottino, J.; Leite, J.C.; Resende, L.A.; Melo-Junior, O.A.; Silveira, P.; Cardoso, M.S.; Fujiwara, R.T.; Bueno, L.L.; et al. Vaccination with Formulation of Nanoparticles Loaded with Leishmania amazonensis Antigens Confers Protection against Experimental Visceral Leishmaniasis in Hamster. Vaccines 2023, 11, 111. [Google Scholar] [CrossRef] [PubMed]
- de Mendonca, L.Z.; Resende, L.A.; Lanna, M.F.; Aguiar-Soares, R.D.; Roatt, B.M.; Castro, R.A.; Batista, M.A.; Silveira-Lemos, D.; Gomes Jde, A.; Fujiwara, R.T.; et al. Multicomponent LBSap vaccine displays immunological and parasitological profiles similar to those of Leish-Tec(R) and Leishmune(R) vaccines against visceral leishmaniasis. Parasites Vectors 2016, 9, 472. [Google Scholar] [CrossRef] [PubMed]
- Trinchieri, G. Interleukin-10 production by effector T cells: Th1 cells show self control. J. Exp. Med. 2007, 204, 239–243. [Google Scholar] [CrossRef] [PubMed]
- Edwards, C.L.; Engel, J.A.; de Labastida Rivera, F.; Ng, S.S.; Corvino, D.; Montes de Oca, M.; Frame, T.C.; Chauhan, S.B.; Singh, S.S.; Kumar, A.; et al. A molecular signature for IL-10-producing Th1 cells in protozoan parasitic diseases. JCI Insight 2023, 8, e169362. [Google Scholar] [CrossRef]
- Grenfell, R.F.; Marques-da-Silva, E.A.; Souza-Testasicca, M.C.; Coelho, E.A.; Fernandes, A.P.; Afonso, L.C.; Rezende, S.A. Antigenic extracts of Leishmania braziliensis and Leishmania amazonensis associated with saponin partially protects BALB/c mice against Leishmania chagasi infection by suppressing IL-10 and IL-4 production. Mem. Inst. Oswaldo Cruz. 2010, 105, 818–822. [Google Scholar] [CrossRef]
- Taraghian, M.; Hanif, H.; Mousavi, P.; Cheshmeh, Z.B.; Samei, A.; Abdollahi, A.; Vazini, H. The Comparison of the IFN-ɤ, TNF-alpha and IL-10 Cytokines in Healing and Non-healing Cutaneous Leishmaniasis. Iran. J. Parasitol. 2021, 16, 490–498. [Google Scholar] [CrossRef] [PubMed]
- Belkaid, Y.; Hoffmann, K.F.; Mendez, S.; Kamhawi, S.; Udey, M.C.; Wynn, T.A.; Sacks, D.L. The role of interleukin (IL)-10 in the persistence of Leishmania major in the skin after healing and the therapeutic potential of anti-IL-10 receptor antibody for sterile cure. J. Exp. Med. 2001, 194, 1497–1506. [Google Scholar] [CrossRef]
- Firmino-Cruz, L.; Ramos, T.D.; da Fonseca-Martins, A.M.; Maciel-Oliveira, D.; Oliveira-Silva, G.; Pratti, J.E.S.; Cavazzoni, C.; Chaves, S.P.; Oliveira Gomes, D.C.; Morrot, A.; et al. Immunomodulating role of IL-10-producing B cells in Leishmania amazonensis infection. Cell. Immunol. 2018, 334, 20–30. [Google Scholar] [CrossRef]
- Giunchetti, R.C.; Correa-Oliveira, R.; Martins-Filho, O.A.; Teixeira-Carvalho, A.; Roatt, B.M.; de Oliveira Aguiar-Soares, R.D.; Coura-Vital, W.; de Abreu, R.T.; Malaquias, L.C.; Gontijo, N.F.; et al. A killed Leishmania vaccine with sand fly saliva extract and saponin adjuvant displays immunogenicity in dogs. Vaccine 2008, 26, 623–638. [Google Scholar] [CrossRef]
- Vitoriano-Souza, J.; Moreira, N.; Menezes-Souza, D.; Roatt, B.M.; de Oliveira Aguiar-Soares, R.D.; Siqueira-Mathias, F.A.; de Oliveira Cardoso, J.M.; Giunchetti, R.C.; de Sa, R.G.; Correa-Oliveira, R.; et al. Dogs immunized with LBSap vaccine displayed high levels of IL-12 and IL-10 cytokines and CCL4, CCL5 and CXCL8 chemokines in the dermis. Mol. Immunol. 2013, 56, 540–548. [Google Scholar] [CrossRef] [PubMed]
- Mayrink, W.; Genaro, O.; Silva, J.C.; da Costa, R.T.; Tafuri, W.L.; Toledo, V.P.; da Silva, A.R.; Reis, A.B.; Williams, P.; da Costa, P.W. Phase I and II open clinical trials of a vaccine against Leishmania chagasi infections in dogs. Mem. Inst. Oswaldo Cruz. 1996, 91, 695–697. [Google Scholar] [CrossRef] [PubMed]







Disclaimer/Publisher’s Note: The statements, opinions and data contained in all publications are solely those of the individual author(s) and contributor(s) and not of MDPI and/or the editor(s). MDPI and/or the editor(s) disclaim responsibility for any injury to people or property resulting from any ideas, methods, instructions or products referred to in the content. |
© 2025 by the authors. Licensee MDPI, Basel, Switzerland. This article is an open access article distributed under the terms and conditions of the Creative Commons Attribution (CC BY) license (https://creativecommons.org/licenses/by/4.0/).
Share and Cite
de Mello, M.F.; Machado, P.d.A.; Gomes, P.S.; Oliveira-Silva, G.; Carneiro, M.P.D.; Ramos, T.D.; Silveira Pratti, J.E.; Peralva, R.; Firmino-Cruz, L.; Da-Cruz, A.M.; et al. Efficacy of LaAg Vaccine Associated with Saponin Against Leishmania amazonensis Infection. Vaccines 2025, 13, 129. https://doi.org/10.3390/vaccines13020129
de Mello MF, Machado PdA, Gomes PS, Oliveira-Silva G, Carneiro MPD, Ramos TD, Silveira Pratti JE, Peralva R, Firmino-Cruz L, Da-Cruz AM, et al. Efficacy of LaAg Vaccine Associated with Saponin Against Leishmania amazonensis Infection. Vaccines. 2025; 13(2):129. https://doi.org/10.3390/vaccines13020129
Chicago/Turabian Stylede Mello, Mirian França, Patrícia de Almeida Machado, Pollyanna Stephanie Gomes, Gabriel Oliveira-Silva, Monique Pacheco Duarte Carneiro, Tadeu Diniz Ramos, Juliana Elena Silveira Pratti, Raquel Peralva, Luan Firmino-Cruz, Alda Maria Da-Cruz, and et al. 2025. "Efficacy of LaAg Vaccine Associated with Saponin Against Leishmania amazonensis Infection" Vaccines 13, no. 2: 129. https://doi.org/10.3390/vaccines13020129
APA Stylede Mello, M. F., Machado, P. d. A., Gomes, P. S., Oliveira-Silva, G., Carneiro, M. P. D., Ramos, T. D., Silveira Pratti, J. E., Peralva, R., Firmino-Cruz, L., Da-Cruz, A. M., Covre, L., Gomes, D. C. O., Rossi-Bergmann, B., Pinto, E. F., da Fonseca-Martins, A. M., & de Matos Guedes, H. L. (2025). Efficacy of LaAg Vaccine Associated with Saponin Against Leishmania amazonensis Infection. Vaccines, 13(2), 129. https://doi.org/10.3390/vaccines13020129

