Evaluation of Swine Protection with Three Commercial Foot-and-Mouth Disease Vaccines against Heterologous Challenge with Type A ASIA/G-VII Lineage Viruses
Abstract
1. Introduction
2. Materials and Methods
2.1. Cells, Viruses, and Vaccines
2.2. Vaccine Matching (Determination of r1-Values)
2.3. Animal Experiments for the Vaccine Efficacy Study
2.4. Detection of FMDV by RT–qPCR
2.5. Serological Responses in Efficacy Tests
2.6. Statistical Analysis
3. Results
3.1. Vaccine Matching by 2D-VNT
3.2. Clinical Signs
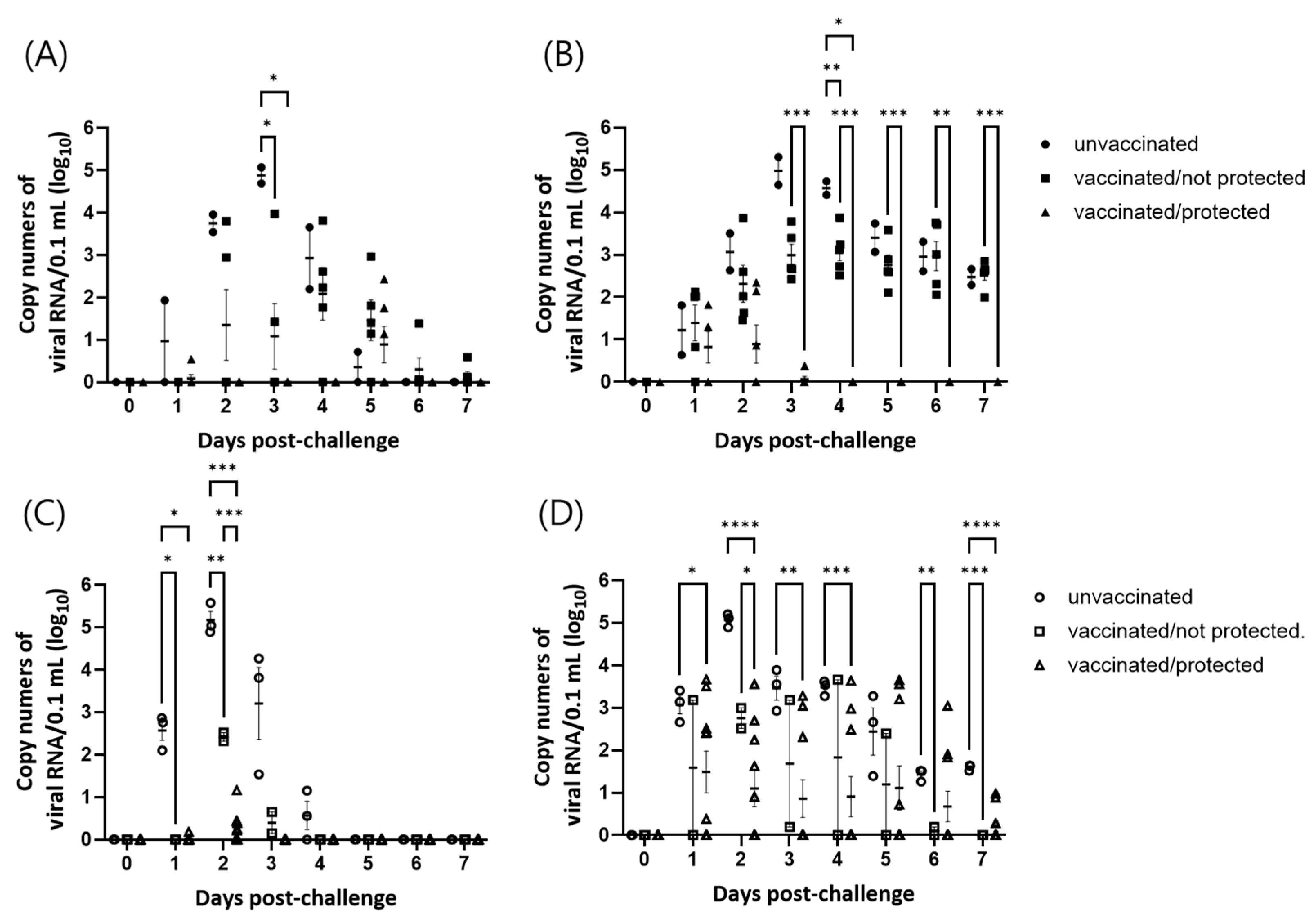
3.3. Detection of FMDV by qRT–PCR
3.4. Serological Responses in Efficacy Tests
3.5. Comparison of Genome Detection in Unprotected and Protected Animals
4. Discussion
5. Conclusions
Supplementary Materials
Author Contributions
Funding
Institutional Review Board Statement
Informed Consent Statement
Data Availability Statement
Acknowledgments
Conflicts of Interest
References
- Mahapatra, M.; Statham, B.; Li, Y.; Hammond, J.; Paton, D.; Parida, S. Emergence of antigenic variants within serotype A FMDV in the Middle East with antigenically critical amino acid substitutions. Vaccine 2016, 34, 3199–3206. [Google Scholar] [CrossRef]
- Brehm, K.E.; Kumar, N.; Thulke, H.H.; Haas, B. High potency vaccines induce protection against heterologous challenge with foot-and-mouth disease virus. Vaccine 2008, 26, 1681–1687. [Google Scholar] [CrossRef]
- Knowles, N.J.; Samuel, A.R. Molecular epidemiology of foot-and-mouth disease virus. Virus Res. 2003, 91, 65–80. [Google Scholar] [CrossRef] [PubMed]
- Wubshet, A.K.; Dai, J.; Li, Q.; Zhang, J. Review on Outbreak Dynamics, the Endemic Serotypes, and Diversified Topotypic Profiles of Foot and Mouth Disease Virus Isolates in Ethiopia from 2008 to 2018. Viruses 2019, 11, 1076. [Google Scholar] [CrossRef] [PubMed]
- Bachanek-Bankowska, K.; Di Nardo, A.; Wadsworth, J.; Henry, E.K.M.; Parlak, U.; Timina, A.; Mischenko, A.; Qasim, I.A.; Abdollahi, D.; Sultana, M.; et al. Foot-and-Mouth Disease in the Middle East Caused by an A/ASIA/G-VII Virus Lineage, 2015-2016. Emerg. Infect. Dis. 2018, 24, 1073–1078. [Google Scholar] [CrossRef] [PubMed]
- Nandi, S.P.; Rahman, M.Z.; Momtaz, S.; Sultana, M.; Hossain, M.A. Emergence and Distribution of Foot-and-Mouth Disease Virus Serotype A and O in Bangladesh. Transbound. Emerg. Dis. 2015, 62, 328–331. [Google Scholar] [CrossRef] [PubMed]
- Jangra, R.K.; Tosh, C.; Sanyal, A.; Hemadri, D.; Bandyopadhyay, S.K. Antigenic and genetic analyses of foot-and-mouth disease virus type A isolates for selection of candidate vaccine strain reveals emergence of a variant virus that is responsible for most recent outbreaks in India. Virus Res. 2005, 112, 52–59. [Google Scholar] [CrossRef] [PubMed]
- Paton, D.J.; Reeve, R.; Capozzo, A.V.; Ludi, A. Estimating the protection afforded by foot-and-mouth disease vaccines in the laboratory. Vaccine 2019, 37, 5515–5524. [Google Scholar] [CrossRef] [PubMed]
- WOAH. WOAH Terrestrial Manual 2022. Foot and Mouth Disease (Infection with Foot and Mouth Disease Virus). Available online: https://www.woah.org/fileadmin/Home/eng/Health_standards/tahm/3.01.08_FMD.pdf (accessed on 10 March 2024).
- Nagendrakumar, S.B.; Srinivasan, V.A.; Madhanmohan, M.; Yuvaraj, S.; Parida, S.; Di Nardo, A.; Horsington, J.; Paton, D.J. Evaluation of cross-protection between O1 Manisa and O1 Campos in cattle vaccinated with foot-and-mouth disease virus vaccine incorporating different payloads of inactivated O1 Manisa antigen. Vaccine 2011, 29, 1906–1912. [Google Scholar] [CrossRef] [PubMed]
- WOAH-WAHIS. World Organization for Animal Health Information System Interface (WAHIS). Available online: http://wahis.woah.org/#/home (accessed on 11 February 2024).
- Choi, J.; Jo, H.J.; Jung, S.S.; Choi, J.; Lee, S.H.; Kim, H.H.; Kim, Y.J.; Kim, B.; Park, J.H.; Kim, J. Evaluation of swine protection with foot-and-mouth disease O(1)/Campos and O/Primorsky/2014 vaccines against the O Mya-98 lineage virus from East Asia. Vaccine 2021, 39, 1701–1707. [Google Scholar] [CrossRef] [PubMed]
- WRLFMD. FAO World Reference Laboratory for FMD Genotyping Report. Available online: https://www.wrlfmd.org/sites/world/files/quick_media/WRLFMD-2019-00023-TUR-GTR-O-A_001.pdf (accessed on 8 February 2024).
- Rweyemamu, M.M. Antigenic variation in foot-and-mouth disease: Studies based on the virus neutralization reaction. J. Biol. Stand. 1984, 12, 323–337. [Google Scholar] [CrossRef] [PubMed]
- Mattion, N.; Goris, N.; Willems, T.; Robiolo, B.; Maradei, E.; Beascoechea, C.P.; Perez, A.; Smitsaart, E.; Fondevila, N.; Palma, E.; et al. Some guidelines for determining foot-and-mouth disease vaccine strain matching by serology. Vaccine 2009, 27, 741–747. [Google Scholar] [CrossRef] [PubMed]
- Kim, J.; Lee, S.H.; Kim, H.H.; Shin, S.H.; Park, S.H.; Park, J.H.; Park, C.K. An Alternative Serological Measure for Assessing Foot-and-Mouth Disease Vaccine Efficacy against Homologous and Heterologous Viral Challenges in Pigs. Vaccines 2023, 12, 10. [Google Scholar] [CrossRef] [PubMed]
- Waters, R.; Ludi, A.B.; Fowler, V.L.; Wilsden, G.; Browning, C.; Gubbins, S.; Statham, B.; Bin-Tarif, A.; Mioulet, V.; King, D.J.; et al. Efficacy of a high-potency multivalent foot-and-mouth disease virus vaccine in cattle against heterologous challenge with a field virus from the emerging A/ASIA/G-VII lineage. Vaccine 2018, 36, 1901–1907. [Google Scholar] [CrossRef] [PubMed]
- Dekker, A.; Sanz-Bernardo, B.; Singanallur, N.B.; Ludi, A.B.; Horsington, J.; Eble, P.L.; King, D.P.; Vosloo, W. Cross-Protection Induced by a A/MAY/97 Emergency Vaccine Against Intra-Serotype Heterologous Challenge with a Foot-and-Mouth Disease Virus from the A/ASIA/G-VII Lineage. Vaccines 2020, 8, 24. [Google Scholar] [CrossRef] [PubMed]
- Lyons, N.A.; Ludi, A.B.; Wilsden, G.; Hamblin, P.; Qasim, I.A.; Gubbins, S.; King, D.P. Evaluation of a polyvalent foot-and-mouth disease virus vaccine containing A Saudi-95 against field challenge on large-scale dairy farms in Saudi Arabia with the emerging A/ASIA/G-VII viral lineage. Vaccine 2017, 35, 6850–6857. [Google Scholar] [CrossRef] [PubMed]
- Mahapatra, M.; Parida, S. Foot and mouth disease vaccine strain selection: Current approaches and future perspectives. Expert. Rev. Vaccines 2018, 17, 577–591. [Google Scholar] [CrossRef] [PubMed]
- Belsham, G.J. Towards improvements in foot-and-mouth disease vaccine performance. Acta Vet. Scand. 2020, 62, 20. [Google Scholar] [CrossRef] [PubMed]
- Kenubih, A. Foot and Mouth Disease Vaccine Development and Challenges in Inducing Long-Lasting Immunity: Trends and Current Perspectives. Vet. Med. 2021, 12, 205–215. [Google Scholar] [CrossRef]
- Salt, J.S.; Barnett, P.V.; Dani, P.; Williams, L. Emergency vaccination of pigs against foot-and-mouth disease: Protection against disease and reduction in contact transmission. Vaccine 1998, 16, 746–754. [Google Scholar] [CrossRef] [PubMed]





| Trial | Group | Vaccine Strain | No. of Animals | Challenge Strain | Day of Challenge (dpv 1) | Blood Collection Day (dpc 2) | Oral Swab Sampling Day (dpc) |
|---|---|---|---|---|---|---|---|
| 1 | A | O/Manisa + O/3630 + A/Iraq | 4 | A/TUR/13/2017 | 28 | −28, −7, 0–7 | 0–7 |
| B | O/Campos + A/Cruzeiro + A/2001 | 4 | |||||
| C | O/Primorksy + A/Zaikalsky | 4 | |||||
| D | Unvaccinated | 3 | |||||
| 2 | E | O/Manisa + O/3630 + A/Iraq | 4 | A/BHU/3/2017 | 28 | −28, −7, 0–7 | 0–7 |
| F | O/Campos + A/Cruzeiro + A/2001 | 4 | |||||
| G | O/Primorksy + A/Zaikalsky | 4 | |||||
| H | Unvaccinated | 3 |
| Vaccine Virus | Field Virus | |||||||
|---|---|---|---|---|---|---|---|---|
| A/TUR/13/2017 | A/BHU/3/2017 | |||||||
| VN Titer (log10) | r1 | Matching | VN Titer (log10) | r1 | Matching | |||
| HM 1 | HT 2 | HM | HT | |||||
| A/Iraq | 2.21 2.46 2.48 | 1.38 1.35 1.81 | 0.14 3 | Nonmatched | 2.06 2.51 2.62 | 1.21 1.41 1.31 | 0.08 | Nonmatched |
| A/Cruzeiro | 2.59 2.73 2.97 | 2.20 2.35 2.57 | 0.41 | Matched | 2.62 2.92 2.89 | 1.90 2.37 2.05 | 0.20 | Nonmatched |
| A/Zabaikalsky | 2.57 2.61 2.90 | 1.27 1.20 1.58 | 0.05 | Nonmatched | 2.66 2.96 2.71 | 1.15 1.18 1.11 | 0.03 | Nonmatched |
| Group | Vaccine Strain | Pig No. | Lesion Development | Vesical Development | Protection | |||||
|---|---|---|---|---|---|---|---|---|---|---|
| Tongue | Lip or Gum | Snout | Forelimb | Hindlimb | ||||||
| Right | Left | Right | Left | |||||||
| A | O/Manisa + O/3630 + A/Iraq | # 7 | 2 | - | - | 6 | 5 | - | 5 | No |
| # 9 | 1 | - | - | - | - | - | - | Yes | ||
| # 18 | 1 | - | - | 5 | - | 6 | 6 | No | ||
| # 61 | 1 | - | - | - | 5 | 6 | 5 | No | ||
| B | O/Campos + A/Cruzeiro + A/2001 | # 10 | 1 | - | - | - | - | - | - | Yes |
| # 13 | 2 | - | - | - | - | - | - | Yes | ||
| # 14 | 1 | - | - | - | - | - | - | Yes | ||
| # 25 | 2 | - | - | - | - | - | - | Yes | ||
| C | O/Primorksy + A/Zaikalsky | # 27 | 1 | - | - | - | - | - | - | Yes |
| # 28 | 1 | 5 | - | 5 | 5 | 5 | 4 | No | ||
| # 39 1 | - | - | - | - | - | - | - | - | ||
| # 49 | 2 | - | - | 6 | - | 7 | - | No | ||
| D | Unvaccinated | # 21 | 1 | 3 | 3 | 3 | 3 | 3 | 3 | No |
| # 26 | 1 | 5 | 3 | 3 | 3 | 3 | 3 | No | ||
| # 43 1 | - | - | - | - | - | - | - | - | ||
| Group | Vaccine Strain | Pig No. | Lesion Development | Vesical Development | Protection | |||||
|---|---|---|---|---|---|---|---|---|---|---|
| Tongue | Lip or Gum | Snout | Forelimb | Hindlimb | ||||||
| Right | Left | Right | Left | |||||||
| E | O/Manisa + O/3630 + A/Iraq | # 5 | 1 | - | - | - | - | - | - | Yes |
| # 11 | 1 | - | - | - | - | - | - | Yes | ||
| # 17 | 1 | - | - | - | - | - | - | Yes | ||
| # 49 | - | - | - | - | - | - | - | Yes | ||
| F | O/Campos + A/Cruzeiro + A/2001 | # 26 | 1 | - | - | - | - | - | - | Yes |
| # 35 | 2 | - | - | - | - | - | - | Yes | ||
| # 38 | 1 | - | - | - | - | - | - | Yes | ||
| # 43 | 2 | - | - | - | - | - | - | Yes | ||
| G | O/Primorksy + A/Zaikalsky | # 19 | 1 | - | 5 | - | - | - | - | No |
| # 21 | 1 | - | - | 6 | - | - | - | No | ||
| # 24 | 1 | - | - | - | - | - | - | Yes | ||
| # 60 | 1 | - | - | - | - | - | - | Yes | ||
| H | Unvaccinated | # 63 | 1 | 2 | 1 | 2 | 2 | 2 | 2 | No |
| # 65 | 1 | 2 | 2 | 2 | 2 | 2 | 2 | No | ||
| # 67 | 1 | 2 | 3 | 2 | 2 | 2 | 2 | No | ||
Disclaimer/Publisher’s Note: The statements, opinions and data contained in all publications are solely those of the individual author(s) and contributor(s) and not of MDPI and/or the editor(s). MDPI and/or the editor(s) disclaim responsibility for any injury to people or property resulting from any ideas, methods, instructions or products referred to in the content. |
© 2024 by the authors. Licensee MDPI, Basel, Switzerland. This article is an open access article distributed under the terms and conditions of the Creative Commons Attribution (CC BY) license (https://creativecommons.org/licenses/by/4.0/).
Share and Cite
Kim, S.W.; Lee, S.H.; Kim, H.-H.; Shin, S.-H.; Park, S.-H.; Park, J.-H.; Kim, J.; Park, C.-K. Evaluation of Swine Protection with Three Commercial Foot-and-Mouth Disease Vaccines against Heterologous Challenge with Type A ASIA/G-VII Lineage Viruses. Vaccines 2024, 12, 476. https://doi.org/10.3390/vaccines12050476
Kim SW, Lee SH, Kim H-H, Shin S-H, Park S-H, Park J-H, Kim J, Park C-K. Evaluation of Swine Protection with Three Commercial Foot-and-Mouth Disease Vaccines against Heterologous Challenge with Type A ASIA/G-VII Lineage Viruses. Vaccines. 2024; 12(5):476. https://doi.org/10.3390/vaccines12050476
Chicago/Turabian StyleKim, Seon Woo, Seung Heon Lee, Ha-Hyun Kim, Sung-Ho Shin, Sang-Hyun Park, Jong-Hyeon Park, Jaejo Kim, and Choi-Kyu Park. 2024. "Evaluation of Swine Protection with Three Commercial Foot-and-Mouth Disease Vaccines against Heterologous Challenge with Type A ASIA/G-VII Lineage Viruses" Vaccines 12, no. 5: 476. https://doi.org/10.3390/vaccines12050476
APA StyleKim, S. W., Lee, S. H., Kim, H.-H., Shin, S.-H., Park, S.-H., Park, J.-H., Kim, J., & Park, C.-K. (2024). Evaluation of Swine Protection with Three Commercial Foot-and-Mouth Disease Vaccines against Heterologous Challenge with Type A ASIA/G-VII Lineage Viruses. Vaccines, 12(5), 476. https://doi.org/10.3390/vaccines12050476

