Long-Term Immunogenicity and Safety of a Homologous Third Dose Booster Vaccination with TURKOVAC: Phase 2 Clinical Study Findings with 32-Week Post-Booster Follow-Up
Abstract
1. Introduction
2. Materials and Methods
2.1. Study Design and Participants
2.2. Procedures and Outcomes
2.3. Statistical Analysis
3. Results
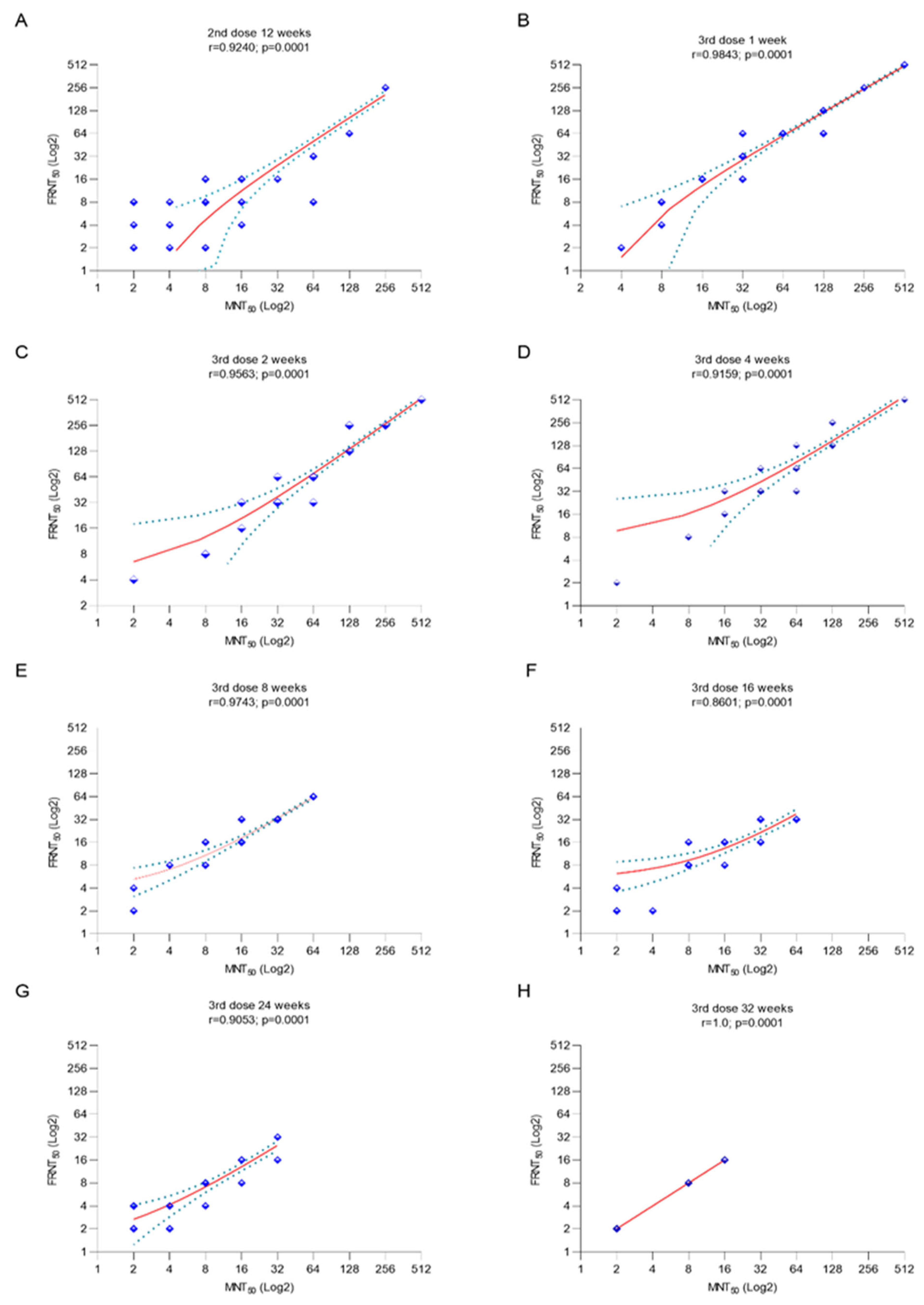
3.1. Immunogenicity
3.2. Safety
4. Discussion
5. Conclusions
6. Patents
Author Contributions
Funding
Institutional Review Board Statement
Informed Consent Statement
Data Availability Statement
Acknowledgments
Conflicts of Interest
References
- WHO Director-General’s Opening Remarks at the Media Briefing on COVID-19—11 March 2020. Available online: https://www.who.int/director-general/speeches/detail/who-director-general-s-opening-remarks-at-the-media-briefing-on-covid-19---11-march-2020 (accessed on 7 September 2023).
- WHO Coronavirus (COVID-19) Dashboard. Available online: https://covid19.who.int/ (accessed on 7 September 2023).
- Krammer, F. SARS-CoV-2 vaccines in development. Nature 2020, 586, 516–527. [Google Scholar] [CrossRef]
- Forni, G.; Mantovani, A. COVID-19 Commission of Accademia Nazionale dei Lincei, Rome. COVID-19 vaccines: Where we stand and challenges ahead. Cell Death Differ. 2021, 28, 626–639. [Google Scholar] [CrossRef] [PubMed]
- Huang, Y.-Z.; Kuan, C.-C. Vaccination to reduce severe COVID-19 and mortality in COVID-19 patients: A systematic review and meta-analysis. Eur. Rev. Med. Pharmacol. Sci. 2022, 26, 1770–1776. [Google Scholar] [CrossRef]
- Graña, C.; Ghosn, L.; Evrenoglou, T.; Jarde, A.; Minozzi, S.; Bergman, H.; Buckley, B.S.; Probyn, K.; Villanueva, G.; Henschke, N.; et al. Efficacy and safety of COVID-19 vaccines. Emergencias 2022, 12, CD015477. [Google Scholar] [CrossRef]
- Druedahl, L.C.; Minssen, T.; Price, W.N. Collaboration in times of crisis: A study on COVID-19 vaccine R&D partnerships. Vaccine 2021, 39, 6291–6295. [Google Scholar] [CrossRef] [PubMed]
- COVID-19 Vaccines with WHO Emergency Use Listing. Available online: https://extranet.who.int/pqweb/vaccines/vaccinescovid-19-vaccine-eul-issued (accessed on 7 September 2023).
- Mandal, H. Achievements of the COVID-19 Turkey Platform in vaccine and drug development with an approach of “co-creation and succeeding together”. Turk. J. Med. Sci. 2021, 51, 3139–3149. [Google Scholar] [CrossRef] [PubMed]
- Pavel, S.T.I.; Yetiskin, H.; Uygut, M.A.; Aslan, A.F.; Aydın, G.; İnan, Ö.; Kaplan, B.; Ozdarendeli, A. Development of an Inactivated Vaccine against SARS CoV-2. Vaccines 2021, 9, 1266. [Google Scholar] [CrossRef] [PubMed]
- Ozdarendeli, A.; Sezer, Z.; Pavel, S.T.I.; Inal, A.; Yetiskin, H.; Kaplan, B.; Uygut, M.A.; Bayram, A.; Mazicioglu, M.; Unuvar, G.K.; et al. Safety and immunogenicity of an inactivated whole virion SARS-CoV-2 vaccine, TURKOVAC, in healthy adults: Interim results from randomised, double-blind, placebo-controlled phase 1 and 2 trials. Vaccine 2023, 41, 380–390. [Google Scholar] [CrossRef]
- Turkey’s Domestic COVID-19 Vaccine Turkovac Approved for Emergency Use. Available online: https://www.aa.com.tr/en/latest-on-coronavirus-outbreak/turkeys-domestic-covid-19-vaccine-turkovac-approved-for-emergency-use/2454638 (accessed on 7 September 2023).
- Statement on the Fifteenth Meeting of the IFR (2005) Emergency Committee on the COVID-19 Pandemic. Available online: https://www.who.int/news/item/05-05-2023-statement-on-the-fifteenth-meeting-of-the-international-health-regulations-(2005)-emergency-committee-regarding-the-coronavirus-disease-(covid-19)-pandemic (accessed on 7 September 2023).
- COVID-19 Advice for the Public: Getting Vaccinated. Available online: https://www.who.int/emergencies/diseases/novel-coronavirus-2019/covid-19-vaccines/advice (accessed on 7 September 2023).
- Omma, A.; Batirel, A.; Aydin, M.; Karadag, F.Y.; Erden, A.; Kucuksahin, O.; Armagan, B.; Güven, S.C.; Karakas, O.; Gokdemir, S.; et al. Safety and immunogenicity of inactive vaccines as booster doses for COVID-19 in Türkiye: A randomized trial. Hum. Vaccin. Immunother. 2022, 18, 2122503. [Google Scholar] [CrossRef]
- Pavel, S.T.I.; Yetiskin, H.; Aydin, G.; Holyavkin, C.; Uygut, M.A.; Dursun, Z.B.; Celik, İ.; Cevik, C.; Ozdarendeli, A. Isolation and characterization of severe acute respiratory syndrome coronavirus 2 in Turkiye. PLoS ONE 2020, 15, e0238614. [Google Scholar] [CrossRef]
- Canakoglu, N.; Berber, E.; Ertek, M.; Yoruk, M.D.; Tonbak, S.; Bolat, Y.; Aktas, M.; Kalkan, A.; Ozdarendeli, A. Pseudo-plaque reduction neutralization test (PPRNT) for the measurement of neutralizing antibodies to Crimean-Congo hemorrhagic fever virus. Virol. J. 2013, 10, 6. [Google Scholar] [CrossRef] [PubMed]
- Ates, I.; Batirel, A.; Aydin, M.; Karadag, F.Y.; Erden, A.; Kucuksahin, O.; Armagan, B.; Guven, S.C.; Karakas, O.; Gokdemir, S.; et al. Long-Term Results of Immunogenicity of Booster Vaccination against SARS-CoV-2 (Hybrid COV-RAPEL TR Study) in Turkiye: A Double-Blind, Randomized, Controlled, Multicenter Phase 2 Clinical Study. Vaccines 2023, 11, 1234. [Google Scholar] [CrossRef] [PubMed]
- Yue, L.; Xie, T.; Yang, T.; Zhou, J.; Chen, H.; Zhu, H.; Li, H.; Xiang, H.; Wang, J.; Yang, H.; et al. A third booster dose may be necessary to mitigate neutralizing antibody fading after inoculation with two doses of an inactivated SARS-CoV-2 vaccine. J Med. Virol. 2022, 94, 35–38. [Google Scholar] [CrossRef] [PubMed]
- Clemens, S.A.C.; Weckx, L.; Clemens, R.; Mendes, A.V.A.; Souza, A.R.; Silveira, M.B.V.; Guarda, S.N.F.d.; Nobrega, M.M.d.; Pinto, M.I.d.M.; Gonzalez, I.G.S.; et al. Heterologous versus homologous COVID-19 booster vaccination in previous recipients of two doses of CoronaVac COVID-19 vaccine in Brazil (RHH-001): A phase 4, non-inferiority, single blind, randomised study. Lancet 2022, 399, 521–529. [Google Scholar] [CrossRef] [PubMed]
- Schultz, B.M.; Melo-González, F.; Duarte, L.F.; Gálvez, N.M.S.; Pacheco, G.A.; Soto, J.A.; Berríos-Rojas, R.V.; González, L.A.; Moreno-Tapia, D.; Rivera-Pérez, D.; et al. A Booster Dose of CoronaVac Increases Neutralizing Antibodies and T Cells that Recognize Delta and Omicron Variants of Concern. mBio 2022, 13, e0142322. [Google Scholar] [CrossRef] [PubMed]
- Xiao, C.; Su, J.; Zhang, C.; Huang, B.; Mao, L.; Ren, Z.; Bai, W.; Li, H.; Lei, G.; Zheng, J.; et al. Effectiveness of Booster Doses of the SARS-CoV-2 Inactivated Vaccine KCONVAC against the Mutant Strains. Viruses 2022, 14, 2016. [Google Scholar] [CrossRef] [PubMed]
- Taucher, C.; Lazarus, R.; Dellago, H.; Maurer, G.; Weisova, P.; Corbic-Ramljak, I.; Dubischar, K.; Lilja, A.; Eder-Lingelbach, S.; Hochreiter, R.; et al. Safety and immunogenicity against ancestral, Delta and Omicron virus variants following a booster dose of an inactivated whole-virus COVID-19 vaccine (VLA2001): Interim analysis of an open-label extension of the randomized, controlled, phase 3 COV-COMPARE trial. J. Infect. 2023, 87, 242–254. [Google Scholar] [PubMed]
- Ju, B.; Zhou, B.; Song, S.; Fan, Q.; Ge, X.; Wang, H.; Cheng, L.; Guo, H.; Shu, D.; Liu, L.; et al. Potent antibody immunity to SARS-CoV-2 variants elicited by a third dose of inactivated vaccine. Clin. Transl. Med. 2022, 12, e732. [Google Scholar] [CrossRef]
- Liao, Y.; Zhang, Y.; Zhao, H.; Pu, J.; Zhao, Z.; Li, D.; Fan, S.; Yu, L.; Xu, X.; Wang, L.; et al. Intensified antibody response elicited by boost suggests immune memory in individuals administered two doses of SARS-CoV-2 inactivated vaccine. Emerg. Microbes Infect. 2021, 10, 1112–1115. [Google Scholar] [CrossRef]
- Hua, Q.; Zhang, H.; Yao, P.; Xu, N.; Sun, Y.; Lu, H.; Xu, F.; Liao, Y.; Yang, J.; Mao, H.; et al. Immunogenicity and immune-persistence of the CoronaVac or Covilo inactivated COVID-19 Vaccine: A 6-month population-based cohort study. Front. Immunol. 2022, 13, 939311. [Google Scholar] [CrossRef]
- Zeng, G.; Wu, Q.; Pan, H.; Li, M.; Yang, J.; Wang, L.; Wu, Z.; Jiang, D.; Deng, X.; Chu, K.; et al. Immunogenicity and safety of a third dose of CoronaVac, and immune persistence of a two-dose schedule, in healthy adults: Interim results from two single-centre, double-blind, randomised, placebo-controlled phase 2 clinical trials. Lancet Infect. Dis. 2021, 22, 483–495. [Google Scholar] [CrossRef] [PubMed]
- Ai, J.; Zhang, Y.; Zhang, H.; Zhang, Q.; Fu, Z.; Lin, K.; Song, J.; Zhao, Y.; Fan, M.; Wang, H.; et al. Safety and immunogenicity of a third-dose homologous BBIBP-CorV boosting vaccination: Interim results from a prospective open-label study. Emerg. Microbes Infect. 2022, 11, 639–647. [Google Scholar] [CrossRef] [PubMed]
- Falsey, A.R.; Frenck, R.W., Jr.; Walsh, E.E.; Kitchin, N.; Absalon, J.; Gurtman, A.; Lockhart, S.; Bailey, R.; Swanson, K.A.; Xu, X.; et al. SARS-CoV-2 Neutralization with BNT162b2 Vaccine Dose 3. N. Engl. J. Med. 2021, 385, 1627–1629. [Google Scholar] [CrossRef] [PubMed]
- Flaxman, A.; Marchevsky, N.G.; Jenkin, D.; Aboagye, J.; Aley, P.K.; Angus, B.; Belij-Rammerstorfer, S.; Bibi, S.; Bittaye, M.; Cappuccini, F.; et al. Reactogenicity and immunogenicity after a late second dose or a third dose of ChAdOx1 nCoV-19 in the UK: A substudy of two randomised controlled trials (COV001 and COV002). Lancet 2021, 398, 981–990. [Google Scholar] [CrossRef] [PubMed]
- Balkan, İ.İ.; Dinc, H.O.; Can, G.; Karaali, R.; Ozbey, D.; Caglar, B.; Beytur, N.; Keskin, E.; Budak, B.; Aydogan, O.; et al. Waning immunity to inactive SARS-CoV-2 vaccine in healthcare workers: Booster required. Ir. J. Med. Sci. 2023, 192, 19–25. [Google Scholar] [CrossRef]
- Tanriover, M.D.; Aydin, O.A.; Guner, R.; Yildiz, O.; Celik, I.; Doganay, H.L.; Kose, S.; Akhan, S.; Akalin, E.H.; Sezer, Z.; et al. Efficacy, Immunogenicity, and Safety of the Two-Dose Schedules of TURKOVAC versus CoronaVac in Healthy Subjects: A Randomized, Observer-Blinded, Non-Inferiority Phase III Trial. Vaccines 2022, 10, 1865. [Google Scholar] [CrossRef] [PubMed]
- Vikkurthi, R.; Ansari, A.; Pai, A.R.; Jha, S.N.; Sachan, S.; Pandit, S.; Nikam, B.; Kalia, A.; Jit, B.P.; Parray, H.A.; et al. Inactivated whole-virion vaccine BBV152/Covaxin elicits robust cellular immune memory to SARS-CoV-2 and variants of concern. Nat. Microbiol. 2022, 7, 974–985. [Google Scholar] [CrossRef]
- Earle, K.A.; Ambrosino, D.M.; Fiore-Gartland, A.; Goldblatt, D.; Gilbert, P.B.; Siber, G.R.; Dull, P.; Plotkin, S.A. Evidence for antibody as a protective correlate for COVID-19 vaccines. Vaccine 2021, 39, 4423–4428. [Google Scholar] [CrossRef]
- Khoury, D.S.; Cromer, D.; Reynaldi, A.; Schlub, T.E.; Wheatley, A.K.; Juno, J.A.; Subbarao, K.; Kent, S.J.; Triccas, J.A.; Davenport, M.P.; et al. Neutralizing antibody levels are highly predictive of immune protection from symptomatic SARS-CoV-2 infection. Nat. Med. 2021, 27, 1205–1211. [Google Scholar] [CrossRef]
- Perry, J.; Osman, S.; Wright, J.; Richard-Greenblatt, M.; Buchan, S.A.; Sadarangani, M.; Bolotin, S. Does a humoral correlate of protection exist for SARS-CoV-2? A systematic review. PLoS ONE 2022, 17, e0266852. [Google Scholar] [CrossRef]
- Gilbert, P.B.; Donis, R.O.; Koup, R.A.; Fong, Y.; Plotkin, S.A.; Follmann, D. A Covid-19 Milestone Attained—A Correlate of Protection for Vaccines. N. Engl. J. Med. 2022, 387, 2203–2206. [Google Scholar] [CrossRef] [PubMed]
- COVID-19 Correlates of Protection—What We Know So Far. Available online: https://www.publichealthontario.ca/-/media/Documents/nCoV/COVID-WWKSF/2023/05/covid-19-correlates-protection.pdf?sc_lang=en (accessed on 7 September 2023).
- Al Kaabi, N.; Yang, Y.; Hussein, S.E.; Yang, T.; Abdalla, J.; Wang, H.; Lou, Z.; Chinese Center For Disease Control And Prevention; Bakkour, A.; Arafat, A.; et al. Efficacy and Safety of a Booster Vaccination with Two Inactivated SARS-CoV-2 Vaccines on Symptomatic COVID-19 Infection in Adults: Results of a Double-Blind, Randomized, Placebo-Controlled, Phase 3 Trial in Abu Dhabi. Vaccines 2023, 11, 299. [Google Scholar] [CrossRef]
- Tang, L.; Wang, F.-Z.; Rodewald, L.E.; Wang, X.-Y.; Liu, S.-Y.; Liu, Q.-Q.; Wang, X.-Q.; Wu, D.; Li, M.-S.; Zhang, Q.; et al. Real-World Effectiveness of Primary Series and Booster Doses of Inactivated Coronavirus Disease 2019 Vaccine against Omicron BA.2 Variant Infection in China: A Retrospective Cohort Study. J. Infect Dis. 2023, 228, 261–269. [Google Scholar] [CrossRef] [PubMed]
- Jara, A.; Undurraga, E.A.; Zubizarreta, J.R.; González, C.; Pizarro, A.; Acevedo, J.; Leo, K.; Paredes, F.; Bralic, T.; Vergara, V.; et al. Effectiveness of homologous and heterologous booster doses for an inactivated SARS-CoV-2 vaccine: A large-scale prospective cohort study. Lancet Glob. Health 2022, 10, e798–e806. [Google Scholar] [CrossRef] [PubMed]
- McMenamin, M.E.; Nealon, J.; Lin, Y.; Wong, J.Y.; Cheung, J.K.; Lau, E.H.Y.; Wu, P.; Leung, G.M.; Cowling, B.J. Vaccine effectiveness of one, two, and three doses of BNT162b2 and CoronaVac against COVID-19 in Hong Kong: A population-based observational study. Lancet Infect. Dis. 2022, 22, 1435–1443. [Google Scholar] [CrossRef] [PubMed]
- Huang, Z.; Xu, S.; Liu, J.; Wu, L.; Qiu, J.; Wang, N.; Ren, J.; Li, Z.; Guo, X.; Tao, F.; et al. Effectiveness of inactivated COVID-19 vaccines among older adults in Shanghai: Retrospective cohort study. Nat. Commun. 2023, 14, 2009. [Google Scholar] [CrossRef] [PubMed]
- Huang, Z.; Xu, S.; Liu, J.; Wu, L.; Qiu, J.; Wang, N.; Ren, J.; Li, Z.; Guo, X.; Tao, F.; et al. Effectiveness of inactivated and Ad5-nCoV COVID-19 vaccines against SARS-CoV-2 Omicron BA. 2 variant infection, severe illness, and death. BMC Med. 2022, 20, 400. [Google Scholar] [CrossRef]
- Lai, F.T.T.; Yan, V.K.C.; Ye, X.; Ma, T.; Qin, X.; Chui, C.S.L.; Li, X.; Wan, E.Y.F.; Wong, C.K.H.; Cheung, C.L.; et al. Booster vaccination with inactivated whole-virus or mRNA vaccines and COVID-19-related deaths among people with multimorbidity: A cohort study. CMAJ 2023, 195, E143–E152. [Google Scholar] [CrossRef]
- Wan, E.Y.F.; Mok, A.H.Y.; Yan, V.K.C.; Wang, B.; Zhang, R.; Hong, S.N.; Chui, C.S.L.; Li, X.; Wong, C.K.H.; Lai, F.T.T.; et al. Vaccine effectiveness of BNT162b2 and CoronaVac against SARS-CoV-2 Omicron BA.2 infection, hospitalisation, severe complications, cardiovascular disease and mortality in patients with diabetes mellitus: A case control study. J. Infect. 2022, 85, e140–e144. [Google Scholar] [CrossRef]
- Sayan, M.; Arikan, A.; Isbilen, M. Circulating Dynamics of SARS-CoV-2 Variants between April 2021 and February 2022 in Turkey. Can. J. Infect. Dis. Med. Microbiol. 2022, 2022, 4677720. [Google Scholar] [CrossRef]


| Antibody Responses | Pre-Immune | 2nd Dose + 12 Weeks | 3rd Dose + 1 Week | 3rd Dose + 2 Weeks | 3rd Dose + 4 Weeks | 3rd Dose + 8 Weeks | 3rd Dose + 16 Weeks | 3rd Dose + 24 Weeks | 3rd Dose + 32 Weeks |
|---|---|---|---|---|---|---|---|---|---|
| SARS-CoV 2-neutralizing antibodies (MNT50) (GMT-95%CI) | 2.0 (2.0–2.0) | 10.5 (3.5–23.7) | 33.6 (6.7–60.4) | 47.9 (21.2–74.5) | 44.2 (18.9–69.4) | 18.9 (12.7–25.0) | 12.0 (5.6–18.3) | 5.5 (2.1–8.8) | 3.4 (0.1–6.6) |
| Seroconversion (%) * Seroconverted/tested (n) 95%-CI | 0.0% 0/43 0.0–0.0 | 78.5% 33/42 63.1–89.7 | 97.6% 41/42 87.4–99.9 | 97.6% 41/42 87.4–99.9 | 97.6% 41/42 87.4–99.9 | 91.8% 34/37 78.0–98.3 | 85.7% 24/28 67.3–95.9 | 48.1% 13/27 28.6–68.0 | 30.7% 4/13 9.0–61.4 |
| SARS-CoV 2-neutralizing antibodies (FRNT50) (GMT-95%CI) | 2.0 (2.0–2.0) | 9.1 (3.11–21.3) | 30.0 (3.4–56.5) | 51.9 (22.8–80.9) | 49.5 (20.2–78.7) | 21.4 (15.5–27.2) | 10.8 (7.4–14.4) | 5.3 (2.6–7.9) | 3.4 (0.1–6.6) |
| Seroconversion (%) * Seroconverted/tested (n) 95%-CI | 0.0% 0/43 0.0–0.0 | 80.9% 34/42 65.8–91.4 | 95.2% 40/42 83.8–99.4 | 97.6% 41/42 87.4–99.9 | 97.6% 41/42 87.4–99.9 | 94.5% 35/37 81.8–99.3 | 85.7% 24/28 67.3–95.9 | 44.4% 12/27 25.4–64.6 | 30.7% 4/13 9.0–61.4 |
| Antibody responses to S1-RBD (GMT-95%CI) | 45.2 (44.0–47.0) | 915.1 (635.5–1194.3) | 2893.4 (2347.5–3439.2) | 3434.9 (2912.3–3957.4) | 3290.6 (2781.8–3799.3) | 1801.9 (1245.9–2357.8) | 816.5 (336.6–1266.3) | 532.9 (243.9–821.7) | 359.5 (76.9–887.2) |
| Seroconversion (%) * Seroconverted/tested (n) 95%-CI | 0.0% 0/43 0.0–0.0 | 100% 42/42 91.5–100.0 | 100% 42/42 91.5–100.0 | 100% 42/42 91.5–100.0 | 100% 42/42 91.5–100.0 | 97.2% 36/37 85.8–99.9 | 92.8% 26/28 76.5–99.1 | 85.1% 23/27 66.2–96.1 | 76.9% 10/13 46.1–94.9 |
| Antibody responses to whole SARS-CoV-2 antigen (GMT-95%CI) | 42.6 (41.2–43.9) | 486.4 (326.8–645.8) | 2067.6 (1754.8–2380.3) | 2371.5 (1986.1–2756.9) | 2265.0 (1889.0–2641.0) | 1230.9 (674.2–1787.5) | 1007.9 (406.1–1609.6) | 484.3 (272.1–696.4) | 400.0 (32.0–946.1) |
| Seroconversion (%) * Seroconverted/tested (n) 95%-CI | 0.0% 0/43 0.0–0.0 | 92.8% 39/42 80.5–98.5 | 100% 42/42 91.5–100.0 | 100% 42/42 91.5–100.0 | 97.6% 41/42 87.4–99.9 | 97.2% 36/37 85.8–99.9 | 96.4% 27/28 81.6–99.9 | 74.0% 20/27 53.7–88.8 | 61.5% 8/13 31.5–86.1 |
| Type of Event | Time from the Booster Dose | Overall n (%) | |
|---|---|---|---|
| 0–8 Weeks n (%) | 9–32 Weeks n (%) | ||
| Positive SARS-CoV-2 RT PCR test | - | 9 (30) | 9 (19.6) |
| Headache | 7 (43.8) | 2 (6.7) | 9 (19.6) |
| Weakness | 1 (6.3) | 4 (13.3) | 5 (10.9) |
| Runny nose | 1 (6.3) | 3 (10) | 4 (8.7) |
| Joint pain | 1 (6.3) | 3 (10) | 4 (8.7) |
| Sore throat | 1 (6.3) | 2 (6.7) | 3 (6.5) |
| Toothache | 2 (12.5) | - | 2 (4.3) |
| Backpain | - | 2 (6.7) | 2 (4.3) |
| Chills | 1 (6.3) | 1 (3.3) | 2 (4.3) |
| Nosebleed | 1 (6.3) | - | 1 (2.2) |
| Cough | - | 1 (3.3) | 1 (2.2) |
| Anosmia | - | 1 (3.3) | 1 (2.2) |
| Shoulder pain | - | 1 (3.3) | 1 (2.2) |
| Tibia fracture | - | 1 (3.3) | 1 (2.2) |
| Cat scratching | 1 (6.3) | - | 1 (2.2) |
| Total | 16 (100) | 30 (100) | 46 (100) |
Disclaimer/Publisher’s Note: The statements, opinions and data contained in all publications are solely those of the individual author(s) and contributor(s) and not of MDPI and/or the editor(s). MDPI and/or the editor(s) disclaim responsibility for any injury to people or property resulting from any ideas, methods, instructions or products referred to in the content. |
© 2024 by the authors. Licensee MDPI, Basel, Switzerland. This article is an open access article distributed under the terms and conditions of the Creative Commons Attribution (CC BY) license (https://creativecommons.org/licenses/by/4.0/).
Share and Cite
Sezer, Z.; Pavel, S.T.I.; Inal, A.; Yetiskin, H.; Kaplan, B.; Uygut, M.A.; Aslan, A.F.; Bayram, A.; Mazicioglu, M.; Kalin Unuvar, G.; et al. Long-Term Immunogenicity and Safety of a Homologous Third Dose Booster Vaccination with TURKOVAC: Phase 2 Clinical Study Findings with 32-Week Post-Booster Follow-Up. Vaccines 2024, 12, 140. https://doi.org/10.3390/vaccines12020140
Sezer Z, Pavel STI, Inal A, Yetiskin H, Kaplan B, Uygut MA, Aslan AF, Bayram A, Mazicioglu M, Kalin Unuvar G, et al. Long-Term Immunogenicity and Safety of a Homologous Third Dose Booster Vaccination with TURKOVAC: Phase 2 Clinical Study Findings with 32-Week Post-Booster Follow-Up. Vaccines. 2024; 12(2):140. https://doi.org/10.3390/vaccines12020140
Chicago/Turabian StyleSezer, Zafer, Shaikh Terkis Islam Pavel, Ahmet Inal, Hazel Yetiskin, Busra Kaplan, Muhammet Ali Uygut, Ahmet Furkan Aslan, Adnan Bayram, Mumtaz Mazicioglu, Gamze Kalin Unuvar, and et al. 2024. "Long-Term Immunogenicity and Safety of a Homologous Third Dose Booster Vaccination with TURKOVAC: Phase 2 Clinical Study Findings with 32-Week Post-Booster Follow-Up" Vaccines 12, no. 2: 140. https://doi.org/10.3390/vaccines12020140
APA StyleSezer, Z., Pavel, S. T. I., Inal, A., Yetiskin, H., Kaplan, B., Uygut, M. A., Aslan, A. F., Bayram, A., Mazicioglu, M., Kalin Unuvar, G., Yuce, Z. T., Aydin, G., Kaya, R. K., Ates, I., Kara, A., & Ozdarendeli, A. (2024). Long-Term Immunogenicity and Safety of a Homologous Third Dose Booster Vaccination with TURKOVAC: Phase 2 Clinical Study Findings with 32-Week Post-Booster Follow-Up. Vaccines, 12(2), 140. https://doi.org/10.3390/vaccines12020140

