Does IPV Boost Intestinal Immunity among Children under Five Years of Age? An Experience from Pakistan
Abstract
1. Introduction
2. Methodology
2.1. Sample Size Estimation for Humoral and Intestinal Immunity
2.2. Laboratory Methodology
2.3. Definitions of Seropositivity and Seroconversion
3. Results
4. Discussion
5. Conclusions
Supplementary Materials
Author Contributions
Funding
Institutional Review Board Statement
Informed Consent Statement
Data Availability Statement
Acknowledgments
Conflicts of Interest
References
- Cases of Wild Poliovirus by Country and Year. Available online: http://polioeradication.org/wp-content/uploads/2020/01/Weekly-GPEI-Polio-Analyses-wpv-20191231.pdf (accessed on 30 March 2020).
- Khan, F.; Datta, S.D.; Quddus, A.; Vertefeuille, J.F.; Burns, C.C.; Jorba, J.; Wassilak, S.G. Progress Toward Polio Eradication—Worldwide, January 2016–March 2018. Morb. Mortal. Wkly. Rep. 2018, 67, 524–528. [Google Scholar] [CrossRef]
- Pakistan Polio Eradication Program, Polio in Pakistan. Available online: https://www.endpolio.com.pk/polioin-pakistan (accessed on 11 August 2023).
- Pakistan Polio Eradication Programme. Partners and Donors. Available online: https://www.endpolio.com.pk/polioin-pakistan/partners-and-donors (accessed on 11 August 2023).
- Government of Islamic Republic of Pakistan. National Emergency Action Plan for Polio Eradication 2013. Available online: https://www.endpolio.com.pk/images/reports/National-Emergency-Action-Plan-2013-(NEAP-2013).pdf (accessed on 11 August 2023).
- National Emergency Operation Centre. Pakistan Polio Eradication Initiative National Emergency Action Plan 2021–2023. Available online: https://polioeradication.org/wp-content/uploads/2022/02/NEAP-2021-2023.pdf (accessed on 11 August 2023).
- Hsu, C.H.; Rehman, M.S.U.; Bullard, K.; Jorba, J.; Kader, M.; Young, H.; Safdar, M.; Jafari, H.S.; Ehrhardt, D. Progress toward poliomyelitis eradication—Pakistan, January 2019−September 2020. Morb. Mortal. Wkly. Rep. 2020, 69, 1748–1752. [Google Scholar] [CrossRef] [PubMed]
- Mbaeyi, C.; Baig, S.; Khan, Z.; Young, H.; Kader, M.; Jorba, J.; Safdar, M.R.; Jafari, H.; Franka, R. Progress toward poliomyelitis eradication—Pakistan, January 2020–July 2021. Morb. Mortal. Wkly. Rep. 2021, 70, 135964. [Google Scholar] [CrossRef] [PubMed]
- Mbaeyi, C.; Baig, S.; Safdar, M.R.; Khan, Z.; Young, H.; Jorba, J.; Wadoo, Z.M.; Jafari, H.; Alam, M.M.; Franka, R. Progress Toward Poliomyelitis Eradication—Pakistan, January 2021–July 2022. Morb. Mortal. Wkly. Rep. 2022, 71, 1313–1318. [Google Scholar] [CrossRef] [PubMed]
- Alexander, J.P., Jr.; Zubair, M.; Khan, M.; Abid, N.; Durry, E. Progress and peril: Poliomyelitis eradication efforts in Pakistan, 1994–2013. J. Infect. Dis. 2014, 210 (Suppl. S1), S152–S161. [Google Scholar] [CrossRef]
- Centre for Disease Control and Prevention (CDC). Progress toward poliomyelitis eradication--Afghanistan and Pakistan, January 2010-September 2011. Morb. Mortal. Wkly. Rep. 2011, 60, 1523–1527. [Google Scholar] [PubMed]
- Pakistan Polio Eradication Program. Polio Cases in Provinces. Available online: https://www.endpolio.com.pk/polioin-pakistan/polio-cases-in-provinces (accessed on 12 August 2023).
- Immunization Pakistan 2023 Country Profile. Available online: https://www.who.int/publications/m/item/immunization-pakistan-2023-country-profile (accessed on 12 August 2023).
- Bandyopadhyay, A.S.; Garon, J.; Seib, K.; Orenstein, W.A. Polio vaccination: Past, present and future. Future Microbiol. 2015, 10, 791–808. [Google Scholar] [CrossRef]
- World Health Organization. Available online: https://www.who.int/biologicals/areas/vaccines/polio/opv/en/ (accessed on 30 March 2020).
- Grassly, N.C.; Fraser, C.; Wenger, J.; Deshpande, J.M.; Sutter, R.W.; Heymann, D.L.; Aylward, R.B. New strategies for the elimination of polio from India. Science 2006, 314, 1150–1153. [Google Scholar] [CrossRef] [PubMed]
- John, T.J.; Jayabal, P. Oral polio vaccination of children in the tropics: I. The poor seroconversion rates and the absence of viral interference. Am. J. Epidemiol. 1972, 96, 263–269. [Google Scholar] [CrossRef]
- Kew, O.M.; Sutter, R.W.; de Gourville, E.M.; Dowdle, W.R.; Pallansch, M.A. Vaccine derived polioviruses and the endgame strategy for global polio eradication. Annu. Rev. Microbiol. 2005, 59, 587–635. [Google Scholar] [CrossRef] [PubMed]
- Platt, L.R.; Estivariz, C.F.; Sutter, R.W. Vaccine-associated paralytic poliomyelitis: A review of the epidemiology and estimation of the global burden. J. Infect. Dis. 2014, 210 (Suppl. S1), S380–S389. [Google Scholar] [CrossRef] [PubMed]
- Robertson, S.; Drucker, J.; Fabre-Teste, B.; N’Diaye, M.; Traverso, H.; Rovira, E.; Sow, A.; Sy, M.A.; Diouf, F. Clinical efficacy of a new, enhanced-potency, inactivated poliovirus vaccine. Lancet 1988, 1, 897–899. [Google Scholar] [CrossRef] [PubMed]
- Estívariz, C.F.; Pallansch, M.A.; Anand, A.; Wassilak, S.G.; Sutter, R.W.; Wenger, J.D.; Orenstein, W.A. Poliovirus vaccination options for achieving eradication and securing the endgame. Curr. Opin. Virol. 2013, 3, 309–315. [Google Scholar] [CrossRef]
- Shulman, L.M.; Gavrilin, E.; Jorba, J.; Martin, J.; Burns, C.C.; Manor, Y.; Moran-Gilad, J.; Sofer, D.; Hindiyeh, M.Y.; Gamzu, R.; et al. Molecular epidemiology of silent introduction and sustained transmission of wild poliovirus type 1, Israel, 2013. Eurosurveillance 2014, 19, 20709. [Google Scholar] [CrossRef]
- Hird, T.R.; Grassly, N.C. Systematic review of mucosal immunity induced by oral and inactivated poliovirus vaccines against virus shedding following oral poliovirus challenge. PLoS Pathog. 2012, 8, e1002599. [Google Scholar] [CrossRef] [PubMed]
- John, J.; Giri, S.; Karthikeyan, A.S.; Iturriza-Gomara, M.; Muliyil, J.; Abraham, A.; Grassly, N.C.; Kang, G. Effect of a single inactivated poliovirus vaccine dose on intestinal immunity against poliovirus in children previously given oral vaccine: An open-label, randomised controlled trial. Lancet 2014, 384, 1505–1512. [Google Scholar] [CrossRef] [PubMed]
- Jafari, H.; Deshpande, J.M.; Sutter, R.W.; Bahl, S.; Verma, H.; Ahmad, M.; Kunwar, A.; Vishwakarma, R.; Agarwal, A.; Jain, S.; et al. Polio eradication. Efficacy of inactivated poliovirus vaccine in India. Science 2014, 345, 922–925. [Google Scholar] [CrossRef]
- Habib, M.A.; Soofi, S.; Cousens, S.; Anwar, S.; ul Haque, N.; Ahmed, I.; Ali, N.; Tahir, R.; Bhutta, Z.A. Community engagement and integrated health and polio immunisation campaigns in conflict-affected areas of Pakistan: A cluster randomised controlled trial. Lancet Glob. Health 2017, 5, e593–e603. [Google Scholar] [CrossRef] [PubMed]
- Sutter, R.W.; John, T.J.; Jain, H.; Agarkhedkar, S.; Ramanan, P.V.; Verma, H.; Deshpande, J.; Singh, A.P.; Sreevatsava, M.; Malankar, P.; et al. Immunogenicity of bivalent types 1 and 3 oral poliovirus vaccine: A randomised, double-blind, controlled trial. Lancet 2010, 376, 1682–1688. [Google Scholar] [CrossRef]
- Saleem, A.F.; Mach, O.; Quadri, F.; Khan, A.; Bhatti, Z.; ur Rehman, N.; Zaidi, S.; Weldon, W.C.; Oberste, S.M.; Salama, M.; et al. Immunogenicity of poliovirus vaccines in chronically malnourished infants: A randomized controlled trial in Pakistan. Vaccine 2015, 33, 2757–2763. [Google Scholar] [CrossRef] [PubMed]
- WHO Department of Immunization, Vaccines and Biologicals. Polio Laboratory Manual; World Health Organization: Geneva, Switzerland, 2004. [Google Scholar]
- Asturias, E.J.; Bandyopadhyay, A.S.; Self, S.; Rivera, L.; Saez-Llorens, X.; Lopez, E.; Melgar, M.; Gaensbauer, J.T.; Weldon, W.C.; Oberste, M.S.; et al. Humoral and intestinal immunity induced by new schedules of bivalent oral poliovirus vaccine and one or two doses of inactivated poliovirus vaccine in Latin American infants: An open-label randomised controlled trial. Lancet 2016, 388, 158–169. [Google Scholar] [CrossRef] [PubMed]
- O’Ryan, M.; Bandyopadhyay, A.S.; Villena, R.; Espinoza, M.; Novoa, J.; Weldon, W.C.; Oberste, M.S.; Self, S.; Borate, B.R.; Asturias, E.J.; et al. Inactivated poliovirus vaccine given alone or in a sequential schedule with bivalent oral poliovirus vaccine in Chilean infants: A randomised, controlled, open-label, phase 4, non-inferiority study. Lancet Infect. Dis. 2015, 15, 1273–1282. [Google Scholar] [CrossRef] [PubMed]
- Sutter, R.W.; Suleiman, A.J.; Malankar, P.; Al-Khusaiby, S.; Mehta, F.; Clements, G.B.; Pallansch, M.A.; Robertson, S.E. Trial of a supplemental dose of four poliovirus vaccines. New Engl. J. Med. 2000, 343, 767–773. [Google Scholar] [CrossRef] [PubMed]
- Patriarca, P.A.; Wright, P.F.; John, T.J. Factors aff ecting the immunogenicity of oral poliovirus vaccine in developing countries: Review. Rev. Infect. Dis. 1991, 13, 926–939. [Google Scholar] [CrossRef] [PubMed]
- Sutter, R.W.; Bahl, S.; Deshpande, J.M.; Verma, H.; Ahmad, M.; Venugopal, P.; Rao, J.V.; Agarkhedkar, S.; Lalwani, S.K.; Kunwar, A.; et al. Immunogenicity of a new routine vaccination schedule for global poliomyelitis prevention: An open-label, randomised controlled trial. Lancet 2015, 386, 2413–2421. [Google Scholar] [CrossRef] [PubMed]
- Estívariz, C.F.; Anand, A.; Gary, H.E.; Rahman, M.; Islam, J.; Bari, T.I.; Wassilak, S.G.; Chu, S.Y.; Weldon, W.C.; Pallansch, M.A.; et al. Immunogenicity of three doses of bivalent, trivalent, or type 1 monovalent oral poliovirus vaccines with a 2 week interval between doses in Bangladesh: An open-label, non-inferiority, randomised, controlled trial. Lancet Infect. Dis. 2015, 15, 898–904. [Google Scholar] [CrossRef]
- Gamage, D.; Mach, O.; Palihawadana, P.; Zhang, Y.; Weldon, W.C.; Oberste, M.S.; Gunasena, S.; Sutter, R.W. Boosting of mucosal immunity after fractional-dose inactivated poliovirus vaccine. J. Infect. Dis. 2018, 218, 1876–1882. [Google Scholar] [CrossRef] [PubMed]
- Habib, M.A.; Soofi, S.; Mach, O.; Samejo, T.; Alam, D.; Bhatti, Z.; Weldon, W.C.; Oberste, S.M.; Sutter, R.; Bhutta, Z.A. Effect of booster doses of poliovirus vaccine in previously vaccinated children, clinical trial results 2013. Vaccine 2016, 34, 3803–3809. [Google Scholar] [CrossRef] [PubMed]
- Parker, E.P.; Grassly, N.C. Unravelling mucosal immunity to poliovirus. Lancet Infect. Dis. 2016, 16, 1310–1311. [Google Scholar] [CrossRef]
- Onorato, I.M.; Modlin, J.F.; McBean, A.M.; Thoms, M.L.; Losonsky, G.A.; Bernier, R. Mucosal immunity induced by enhanced potency IPV and OPV. J. Infect. Dis. 1991, 163, 1–6. [Google Scholar] [CrossRef]
- Nishio, O.; Ishihara, Y.; Sakae, K.; Nonomura, Y.; Kuno, A.; Yasukawa, S.; Inoue, H.; Miyamura, K.; Kono, R. The trend of acquired immunity with live poliovirus vaccine and the effect of revaccination: Follow-up of vaccinees for ten years. J. Biol. Stand. 1984, 12, 1–10. [Google Scholar] [CrossRef] [PubMed]
- Grassly, N.C.; Jafari, H.; Bahl, S.; Sethi, R.; Deshpande, J.M.; Wolff, C.; Sutter, R.W.; Aylward, R.B. Waning intestinal immunity after vaccination with oral poliovirus vaccines in India. J. Infect. Dis. 2012, 205, 1554–1561. [Google Scholar] [CrossRef]
- John, J.; Giri, S.; Karthikeyan, A.S.; Lata, D.; Jeyapaul, S.; Rajan, A.K.; Kumar, N.; Dhanapal, P.; Venkatesan, J.; Mani, M.; et al. The duration of intestinal immunity after an inactivated poliovirus vaccine booster dose in children immunized with oral vaccine: A randomized controlled trial. J. Infect. Dis. 2017, 215, 529–536. [Google Scholar] [CrossRef]
- Bandyopadhyay, A.S.; Asturias, E.J.; O’Ryan, M.; Oberste, M.S.; Weldon, W.; Clemens, R.; Rüttimann, R.; Modlin, J.F.; Gast, C. Exploring the relationship between polio type 2 serum neutralizing antibodies and intestinal immunity using data from two randomized controlled trials of new bOPV-IPV immunization schedules. Vaccine 2017, 35, 7283–7291. [Google Scholar] [CrossRef]
- Herremans, T.M.; Reimerink, J.H.; Buisman, A.M.; Kimman, T.G.; Koopmans, M.P. Induction of mucosal immunity by inactivated poliovirus vaccine is dependent on previous mucosal contact with live virus. J. Immunol. 1999, 162, 5011–5018. [Google Scholar] [CrossRef]
- Wright, P.F.; Connor, R.I.; Wieland-Alter, W.F.; Hoen, A.G.; Boesch, A.W.; Ackerman, M.E.; Oberste, M.S.; Gast, C.; Brickley, E.B.; Asturias, E.J.; et al. Vaccineinduced mucosal immunity to poliovirus: Analysis of cohorts from an open-label, randomised controlled trial in Latin American infants. Lancet Infect. Dis. 2016, 16, 1377–1384. [Google Scholar] [CrossRef]
- Sáez-Llorens, X.; Clemens, R.; Leroux-Roels, G.; Jimeno, J.; Clemens, S.A.C.; Weldon, W.C.; Oberste, M.S.; Molina, N.; Bandyopadhyay, A.S. Immunogenicity and safety of a novel monovalent highdose inactivated poliovirus type 2 vaccine in infants: A comparative, observer-blind, randomised, controlled trial. Lancet Infect. Dis. 2016, 16, 321–330. [Google Scholar] [CrossRef] [PubMed]
- Ogra, P.L.; Karzon, D.T.; Righthand, F.; MacGillivray, M. Immunoglobulin response in serum and secretions after immunization with live and inactivated poliovaccine and natural infection. N. Engl. J. Med. 1968, 279, 893–900. [Google Scholar] [CrossRef]
- Cuba IPV Study Collaborative Group. Randomized, placebo- controlled trial of inactivated poliovirus vaccine in Cuba. N. Engl. J. Med. 2007, 356, 1536–1544. [Google Scholar] [CrossRef] [PubMed]
- Brickley, E.B.; Strauch, C.B.; Wieland-Alter, W.F.; Connor, R.I.; Lin, S.; Weiner, J.A.; Ackerman, M.E.; Arita, M.; Oberste, M.S.; Weldon, W.C.; et al. Intestinal immune responses to type 2 oral polio vaccine (OPV) challenge in infants previously immunized with bivalent OPV and either high-dose or standard inactivated polio vaccine. J. Infect. Dis. 2018, 217, 371–380. [Google Scholar] [CrossRef]
- Parker, E.P.; Molodecky, N.A.; Pons-Salort, M.; ‘O’Reilly, K.M.; Grassly, N.C. Impact of inactivated poliovirus vaccine on mucosal immunity: Implications for the polio eradication endgame. Expert. Rev. Vaccines 2015, 14, 1113–1123. [Google Scholar] [CrossRef] [PubMed]
- Sutter, R.W. Unraveling the mucosal immunity of inactivated poliovirus vaccine. J. Infect. Dis. 2018, 217, 344–346. [Google Scholar] [CrossRef] [PubMed]
- Macklin, G.R.; Grassly, N.C.; Sutter, R.W.; Mach, O.; Bandyopadhyay, A.S.; Edmunds, W.J.; O’Reilly, K.M. Vaccine schedules and the effect on humoral and intestinal immunity against poliovirus: A systematic review and network meta-analysis. Lancet Infect. Dis. 2019, 19, 1121–1128. [Google Scholar] [CrossRef] [PubMed]
- Behrend, M.R.; Hu, H.; Nigmatulina, K.R.; Eckhoff, P. A quantitative survey of the literature on poliovirus infection and immunity. Int. J. Infect. Dis. 2014, 18, 4–13. [Google Scholar] [CrossRef][Green Version]
- Anand, A.; Zaman, K.; Estívariz, C.F.; Yunus, M.; Gary, H.E.; Weldon, W.C.; Bari, T.I.; Oberste, M.S.; Wassilak, S.G.; Luby, S.P.; et al. Early priming with inactivated poliovirus vaccine (IPV) and intradermal fractional dose IPV administered by a microneedle device: A randomized controlled trial. Vaccine 2015, 33, 6816–6822. [Google Scholar] [CrossRef] [PubMed]
- Anis, E.; Kopel, E.; Singer, S.R.; Kaliner, E.; Moerman, L.; Moran-Gilad, J.; Sofer, D.; Manor, Y.; Shulman, L.M.; Mendelson, E.; et al. Insidious reintroduction of wild poliovirus into Israel, 2013. Eurosurveillance 2013, 18, pii: 20586. [Google Scholar] [CrossRef]
- Crothers, J.W.; Colgate, E.R.; Cowan, K.J.; Dickson, D.M.; Walsh, M.; Carmolli, M.; Wright, P.F.; Norton, E.B.; Kirkpatrick, B.D. Intradermal fractional-dose inactivated polio vaccine (fIPV) adjuvanted with double mutant Enterotoxigenic Escherichia coli heat labile toxin (dmLT) is well-tolerated and augments a systemic immune response to all three poliovirus serotypes in a randomized placebo-controlled trial. Vaccine 2022, 40, 2705–2713. [Google Scholar]



| Overall | A | B | C | |
|---|---|---|---|---|
| N = 6429 | N = 2080 | N = 2171 | N = 2178 | |
| Gender | ||||
| Male | 3583 (55.7) | 1164 (56.0) | 1202 (55.4) | 1217 (55.9) |
| Female | 2846 (44.3) | 916 (44.0) | 969 (44.6) | 961 (44.1) |
| Age group | ||||
| 0–23 months | 1514 (23.5) | 496 (23.8) | 503 (23.2) | 515 (23.6) |
| 24–59 months | 4915 (76.5) | 1584 (76.2) | 1668 (76.8) | 1663 (76.4) |
| Age in months, mean ± SD | 33.3 ± 14.7 | 32.9 ± 14.7 | 33.7 ± 14.6 | 33.3 ± 14.8 |
| P1 Titer (95% CI) | P2 Titer (95% CI) | P3 Titer (95% CI) | |||||||
|---|---|---|---|---|---|---|---|---|---|
| Group | A | B | C | A | B | C | A | B | C |
| Visit | |||||||||
| Baseline N = 5982 | 8.48 †₸ | 8.55 *₸ | 8.68 †*‖£ | 6.74 †₸ | 6.71 *₸ | 6.89 †*₸ | 6.90 †₸ | 6.97 *₸ | 7.9 †*₸ |
| (8.41, 8.55) | (8.48, 8.61) | (8.61, 8.74) | (6.65, 6.83) | (6.62, 6.80) | (6.80, 6.97) | (6.81, 6.99) | (6.88, 7.06) | (7.01, 7.18) | |
| Visit 1 N = 4905 | 8.56 †₸ | 8.66 *₸ | 9.91 †*‖ | 7.07 ‡₸ | 7.21 ‡₸ | 9.25 ‡₸ | 7.08 †₸ | 7.18 *₸ | 9.55 †*₸ |
| (8.49, 8.64) | (8.59, 8.73) | (9.83, 9.98) | (6.98, 7.17) | (7.12, 7.31) | (9.15, 9.35) | (6.98, 7.18) | (7.08, 7.27) | (9.46, 9.65) | |
| Visit 2 N = 4564 | 8.78 ‡₸ | 8.89 ‡₸ | 9.93 ‡£ | 7.25 †₸ | 7.32 *₸ | 9.38 †*₸ | 7.6 †₸ | 7.70 *₸ | 9.72 †*₸ |
| (8.70, 8.85) | (8.82, 8.96) | (9.86, 10.01) | (7.15, 7.36) | (7.23, 7.42) | (9.28, 9.48) | (7.50, 7.70) | (7.60, 7.79) | (9.62, 9.82) | |
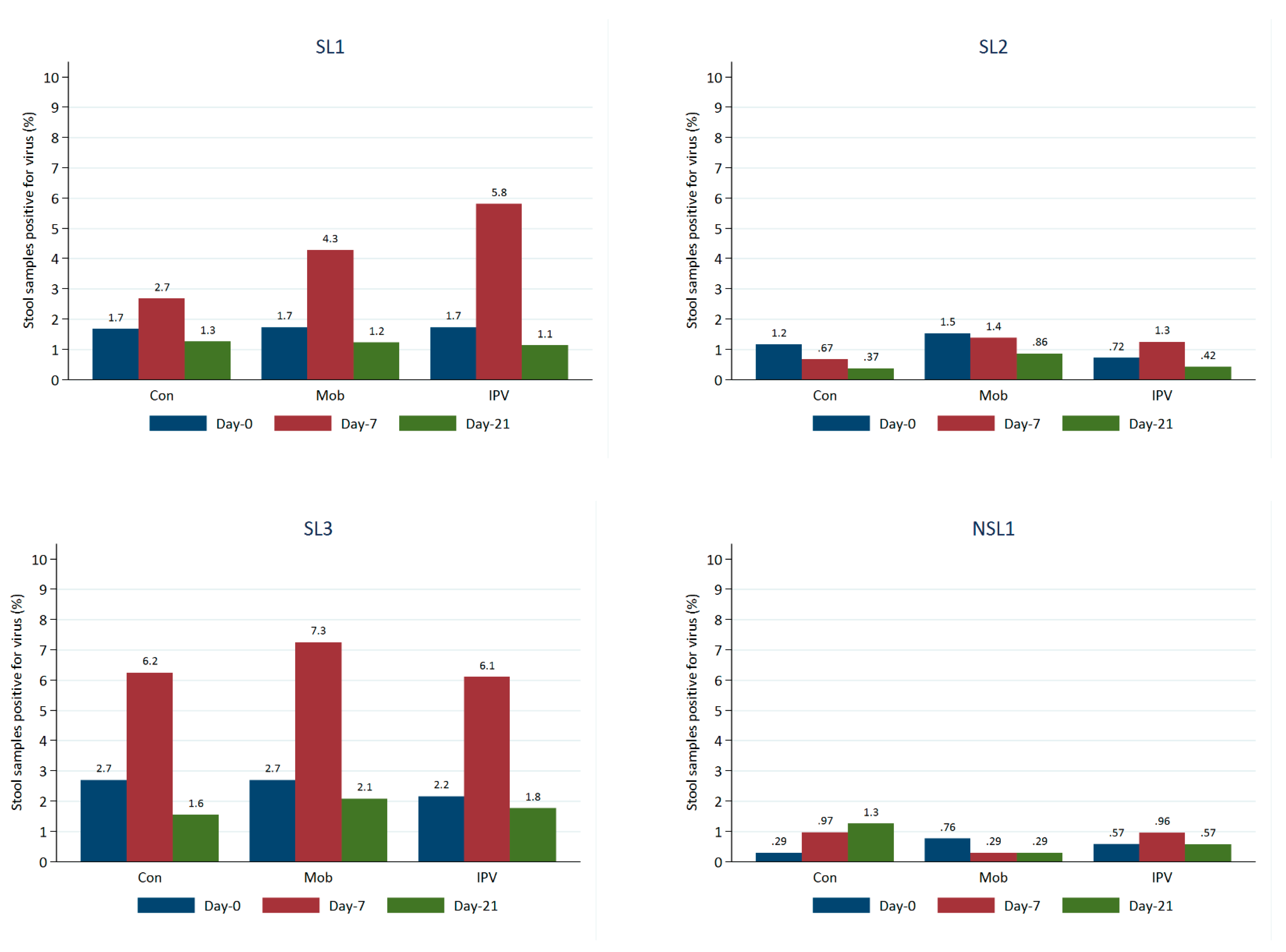
| Group A | Group B | Group C | |||||
|---|---|---|---|---|---|---|---|
| Virus | Visit | N | n (%) | N | n (%) | N | n (%) |
| SL1 (Sabin-like virus 1) | Day-0 | 1373 | 23 (1.7) | 1445 | 25 (1.7) | 1392 | 24 (1.7) |
| Day-7 | 1345 | 36 (2.7) †** | 1379 | 59 (4.3) ** | 1360 | 79 (5.8) † | |
| Day-21 | 1353 | 17 (1.3) | 1391 | 17 (1.2) | 1414 | 16 (1.1) | |
| SL2 (Sabin-like virus 2) | Day-0 | 1373 | 16 (1.2) | 1445 | 22 (1.5) | 1392 | 10 (0.7) |
| Day-7 | 1345 | 9 (0.7) | 1379 | 19 (1.4) | 1360 | 17 (1.3) | |
| Day-21 | 1353 | 5 (0.4) | 1391 | 12 (0.9) | 1414 | 6 (0.4) | |
| SL3 (Sabin-like virus 3) | Day-0 | 1373 | 37 (2.7) | 1445 | 39 (2.7) | 1392 | 30 (2.2) |
| Day-7 | 1345 | 84 (6.2) | 1379 | 100 (7.3) | 1360 | 83 (6.1) | |
| Day-21 | 1353 | 21 (1.6) | 1391 | 29 (2.1) | 1414 | 25 (1.8) | |
| NSL1 (non-Sabin-like virus) | Day-0 | 1373 | 4 (0.3) | 1445 | 11 (0.8) | 1392 | 8 (0.6) |
| Day-7 | 1345 | 13 (1.0) | 1379 | 4 (0.3) | 1360 | 13 (1.0) | |
| Day-21 | 1353 | 17 (1.3) †** | 1391 | 4 (0.3) ** | 1414 | 8 (0.6) † | |
| NPEVs (non-polio enteroviruses) | Day-0 | 1373 | 0 | 1445 | 0 | 1392 | 1 (0.1) |
| Day-7 | 1345 | 0 | 1379 | 0 | 1360 | 0 | |
| Day-21 | 1353 | 0 | 1391 | 1 (0.1) | 1414 | 0 | |
| VDPV2 (vaccine-derived poliovirus 2) | Day-0 | 1373 | 0 | 1445 | 1 (0.1) | 1392 | 0 |
| Day-7 | 1345 | 0 | 1379 | 0 | 1360 | 0 | |
| Day-21 | 1353 | 0 | 1391 | 0 | 1414 | 0 | |
Disclaimer/Publisher’s Note: The statements, opinions and data contained in all publications are solely those of the individual author(s) and contributor(s) and not of MDPI and/or the editor(s). MDPI and/or the editor(s) disclaim responsibility for any injury to people or property resulting from any ideas, methods, instructions or products referred to in the content. |
© 2023 by the authors. Licensee MDPI, Basel, Switzerland. This article is an open access article distributed under the terms and conditions of the Creative Commons Attribution (CC BY) license (https://creativecommons.org/licenses/by/4.0/).
Share and Cite
Habib, M.A.; Soofi, S.B.; Hussain, I.; Ahmed, I.; Hussain, Z.; Tahir, R.; Anwar, S.; Cousens, S.; Bhutta, Z.A. Does IPV Boost Intestinal Immunity among Children under Five Years of Age? An Experience from Pakistan. Vaccines 2023, 11, 1444. https://doi.org/10.3390/vaccines11091444
Habib MA, Soofi SB, Hussain I, Ahmed I, Hussain Z, Tahir R, Anwar S, Cousens S, Bhutta ZA. Does IPV Boost Intestinal Immunity among Children under Five Years of Age? An Experience from Pakistan. Vaccines. 2023; 11(9):1444. https://doi.org/10.3390/vaccines11091444
Chicago/Turabian StyleHabib, Muhammad Atif, Sajid Bashir Soofi, Imtiaz Hussain, Imran Ahmed, Zamir Hussain, Rehman Tahir, Saeed Anwar, Simon Cousens, and Zulfiqar A. Bhutta. 2023. "Does IPV Boost Intestinal Immunity among Children under Five Years of Age? An Experience from Pakistan" Vaccines 11, no. 9: 1444. https://doi.org/10.3390/vaccines11091444
APA StyleHabib, M. A., Soofi, S. B., Hussain, I., Ahmed, I., Hussain, Z., Tahir, R., Anwar, S., Cousens, S., & Bhutta, Z. A. (2023). Does IPV Boost Intestinal Immunity among Children under Five Years of Age? An Experience from Pakistan. Vaccines, 11(9), 1444. https://doi.org/10.3390/vaccines11091444

