Competing Heterogeneities in Vaccine Effectiveness Estimation
Abstract
1. Introduction
2. Methods
3. Results
3.1. Underlying Susceptibility to Infection (Frailty) Distribution
3.2. Vaccine Efficacy Distribution
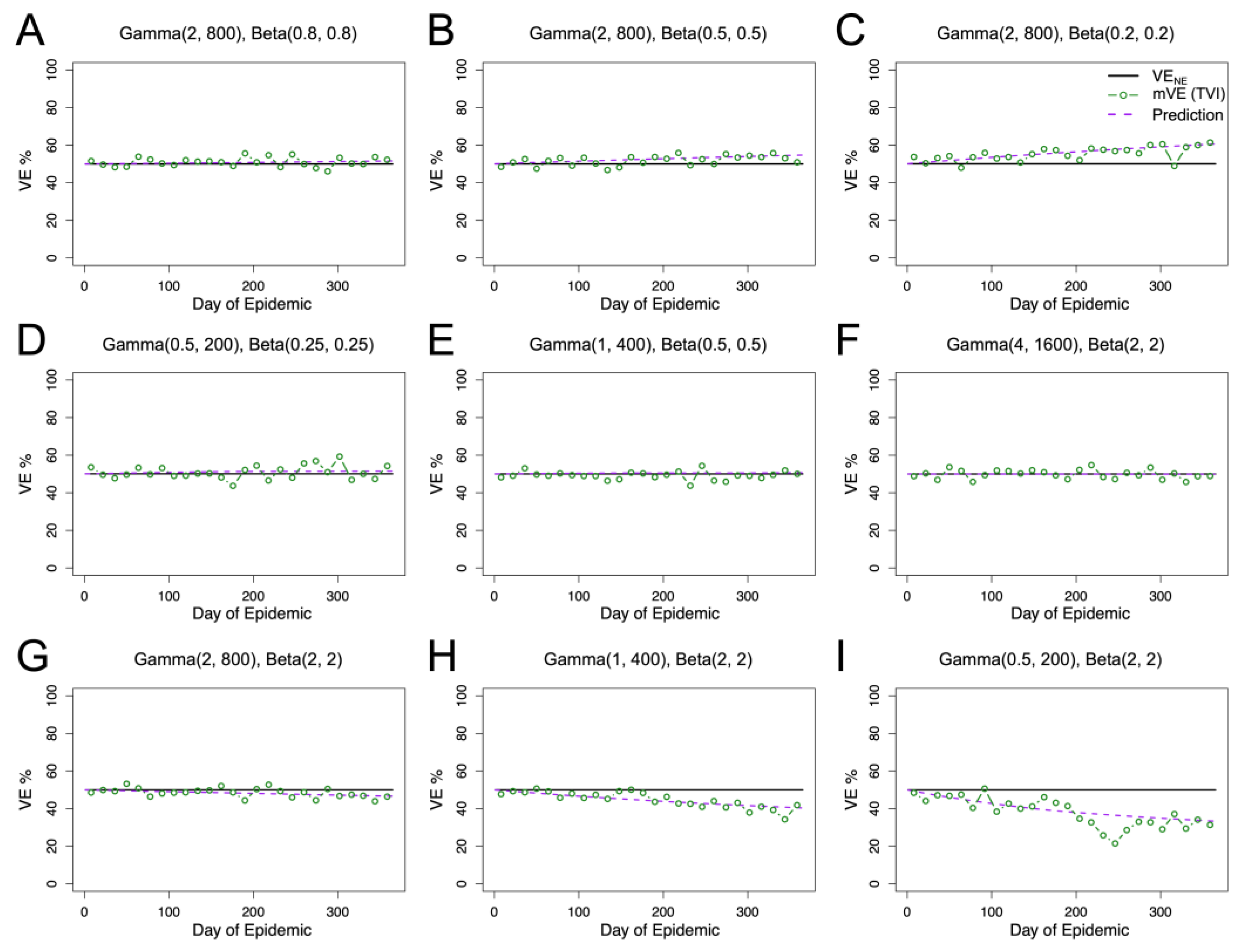
3.3. Effect of Selection on Heterogeneities
3.4. Vaccine Effectiveness under Competing Heterogeneities
3.5. Modeling Waning Protection
4. Discussion
5. Conclusions
Supplementary Materials
Author Contributions
Funding
Institutional Review Board Statement
Informed Consent Statement
Data Availability Statement
Conflicts of Interest
References
- Ray, G.T.; Lewis, N.; Klein, N.P.; Daley, M.F.; Wang, S.V.; Kulldorff, M.; Fireman, B. Intraseason Waning of Influenza Vaccine Effectiveness. Clin. Infect. Dis. 2019, 68, 1623–1630. [Google Scholar] [CrossRef] [PubMed]
- Chemaitelly, H.; Tang, P.; Hasan, M.R.; AlMukdad, S.; Yassine, H.M.; Benslimane, F.M.; Al Khatib, H.A.; Coyle, P.; Ayoub, H.H.; Al Kanaani, Z.; et al. Waning of BNT162b2 Vaccine Protection against SARS-CoV-2 Infection in Qatar. N. Engl. J. Med. 2021, 385, e83. [Google Scholar] [CrossRef] [PubMed]
- Keehner, J.; Horton, L.E.; Binkin, N.J.; Laurent, L.C.; Alliance, S.; Pride, D.; Longhurst, C.A.; Abeles, S.R.; Torriani, F.J. Resurgence of SARS-CoV-2 Infection in a Highly Vaccinated Health System Workforce. N. Engl. J. Med. 2021, 385, 1330–1332. [Google Scholar] [CrossRef] [PubMed]
- Kahn, R.; Schrag, S.J.; Verani, J.R.; Lipsitch, M. Identifying and Alleviating Bias Due to Differential Depletion of Susceptible People in Postmarketing Evaluations of COVID-19 Vaccines. Am. J. Epidemiol. 2022, 191, 800–811. [Google Scholar] [CrossRef]
- Lipsitch, M.; Goldstein, E.; Ray, G.T.; Fireman, B. Depletion-of-susceptibles bias in influenza vaccine waning studies: How to ensure robust results. Epidemiol. Infect. 2019, 147, e306. [Google Scholar] [CrossRef]
- Lipsitch, M. Challenges of Vaccine Effectiveness and Waning Studies. Clin. Infect. Dis. 2019, 68, 1631–1633. [Google Scholar] [CrossRef]
- Tokars, J.I.; Patel, M.M.; Foppa, I.M.; Reed, C.; Fry, A.M.; Ferdinands, J.M. Waning of Measured Influenza Vaccine Effectiveness Over Time: The Potential Contribution of Leaky Vaccine Effect. Clin. Infect. Dis. 2020, 71, e633–e641. [Google Scholar] [CrossRef]
- Antia, A.; Ahmed, H.; Handel, A.; Carlson, N.E.; Amanna, I.J.; Antia, R.; Slifka, M. Heterogeneity and longevity of antibody memory to viruses and vaccines. PLoS Biol. 2018, 16, e2006601. [Google Scholar] [CrossRef]
- Zarnitsyna, V.I.; Akondy, R.S.; Ahmed, H.; McGuire, D.J.; Zarnitsyn, V.G.; Moore, M.; Johnson, P.L.F.; Ahmed, R.; Li, K.W.; Hellerstein, M.K.; et al. Dynamics and turnover of memory CD8 T cell responses following yellow fever vaccination. PLoS Comput. Biol. 2021, 17, e1009468. [Google Scholar] [CrossRef]
- Doria-Rose, N.; Suthar, M.S.; Makowski, M.; O’Connell, S.; McDermott, A.B.; Flach, B.; Ledgerwood, J.E.; Mascola, J.R.; Graham, B.S.; Lin, B.C.; et al. Antibody Persistence through 6 Months after the Second Dose of mRNA-1273 Vaccine for COVID-19. N. Engl. J. Med. 2021, 384, 2259–2261. [Google Scholar] [CrossRef]
- Cohen, K.W.; Linderman, S.L.; Moodie, Z.; Czartoski, J.; Lai, L.; Mantus, G.; Norwood, C.; Nyhoff, L.E.; Edara, V.V.; Floyd, K.; et al. Longitudinal analysis shows durable and broad immune memory after SARS-CoV-2 infection with persisting antibody responses and memory B and T cells. Cell Rep. Med. 2021, 2, 100354. [Google Scholar] [CrossRef]
- White, M.T.; Griffin, J.T.; Drakeley, C.J.; Ghani, A.C. Heterogeneity in malaria exposure and vaccine response: Implications for the interpretation of vaccine efficacy trials. Malar. J. 2010, 9, 82. [Google Scholar] [CrossRef] [PubMed]
- Zarnitsyna, V.I.; Lavine, J.; Ellebedy, A.; Ahmed, R.; Antia, R. Multi-epitope Models Explain How Pre-existing Antibodies Affect the Generation of Broadly Protective Responses to Influenza. PLoS Pathog. 2016, 12, e1005692. [Google Scholar] [CrossRef] [PubMed]
- Ng, S.; Fang, V.J.; Ip, D.K.; Chan, K.H.; Leung, G.M.; Peiris, J.S.; Cowling, B.J. Estimation of the association between antibody titers and protection against confirmed influenza virus infection in children. J. Infect. Dis. 2013, 208, 1320–1324. [Google Scholar] [CrossRef]
- Joshi, D.; Nyhoff, L.E.; Zarnitsyna, V.I.; Moreno, A.; Manning, K.; Linderman, S.; Burrell, A.R.; Stephens, K.; Norwood, C.; Mantus, G.; et al. Infants and young children generate more durable antibody responses to SARS-CoV-2 infection than adults. medRxiv 2023. [Google Scholar] [CrossRef]
- Petrie, J.G.; Ohmit, S.E.; Truscon, R.; Johnson, E.; Braun, T.M.; Levine, M.Z.; Eichelberger, M.C.; Monto, A.S. Modest Waning of Influenza Vaccine Efficacy and Antibody Titers During the 2007-2008 Influenza Season. J. Infect. Dis. 2016, 214, 1142–1149. [Google Scholar] [CrossRef]
- Durham, L.K.; Longini, I.M., Jr.; Halloran, M.E.; Clemens, J.D.; Nizam, A.; Rao, M. Estimation of vaccine efficacy in the presence of waning: Application to cholera vaccines. Am. J. Epidemiol. 1998, 147, 948–959. [Google Scholar] [CrossRef]
- Haber, M.; Tate, J.E.; Lopman, B.A.; Qi, W.; Ainslie, K.E.C.; Parashar, U.D. Comparing statistical methods for detecting and estimating waning efficacy of rotavirus vaccines in developing countries. Hum. Vaccin. Immunother. 2021, 17, 4632–4635. [Google Scholar] [CrossRef]
- Rane, M.S.; Rohani, P.; Halloran, M.E. Durability of protection after 5 doses of acellular pertussis vaccine among 5–9 year old children in King County, Washington. Vaccine 2021, 39, 6144–6150. [Google Scholar] [CrossRef]
- Fong, Y.Y.; Halloran, M.E.; Park, J.K.; Marks, F.; Clemens, J.D.; Chao, D.L. Efficacy of a bivalent killed whole-cell cholera vaccine over five years: A re-analysis of a cluster-randomized trial. BMC Infect. Dis. 2018, 18, 84. [Google Scholar] [CrossRef]
- Minsoko, P.A.; Lell, B.; Fernandes, J.F.; Abossolo, B.P.; Kabwende, A.L.; Adegnika, A.A.; Mordmuller, B.; Issifou, S.; Kremsner, P.G.; Loembe, M.M.; et al. Efficacy and Safety of the RTS,S/AS01 Malaria Vaccine during 18 Months after Vaccination: A Phase 3 Randomized, Controlled Trial in Children and Young Infants at 11 African Sites. PLoS Med. 2014, 11, e1001685. [Google Scholar] [CrossRef]
- Olotu, A.; Lusingu, J.; Leach, A.; Lievens, M.; Vekemans, J.; Msham, S.; Lang, T.; Gould, J.; Dubois, M.C.; Jongert, E.; et al. Efficacy of RTS,S/AS01E malaria vaccine and exploratory analysis on anti-circumsporozoite antibody titres and protection in children aged 5-17 months in Kenya and Tanzania: A randomised controlled trial. Lancet Infect. Dis. 2011, 11, 102–109. [Google Scholar] [CrossRef]
- Alonso, P.L.; Sacarlal, J.; Aponte, J.J.; Leach, A.; Macete, E.; Milman, J.; Mandomando, I.; Spiessens, B.; Guinovart, C.; Espasa, M.; et al. Efficacy of the RTS,S/AS02A vaccine against Plasmodium falciparum infection and disease in young African children: Randomised controlled trial. Lancet 2004, 364, 1411–1420. [Google Scholar] [CrossRef]
- Nikas, A.; Ahmed, H.; Zarnitsyna, V.I. Estimating Waning of Vaccine Effectiveness: A Simulation Study. Clin. Infect. Dis. 2023, 76, 479–486. [Google Scholar] [CrossRef]
- Kissling, E.; Nunes, B.; Robertson, C.; Valenciano, M.; Reuss, A.; Larrauri, A.; Cohen, J.M.; Oroszi, B.; Rizzo, C.; Machado, A.; et al. I-MOVE multicentre case-control study 2010/11 to 2014/15: Is there within-season waning of influenza type/subtype vaccine effectiveness with increasing time since vaccination? Eurosurveillance 2016, 21, 13–24. [Google Scholar] [CrossRef]
- Kissling, E.; Valenciano, M.; Larrauri, A.; Oroszi, B.; Cohen, J.M.; Nunes, B.; Pitigoi, D.; Rizzo, C.; Rebolledo, J.; Paradowska-Stankiewicz, I.; et al. Low and decreasing vaccine effectiveness against influenza A(H3) in 2011/12 among vaccination target groups in Europe: Results from the I-MOVE multicentre case-control study. Eurosurveillance 2013, 18, 33–42. [Google Scholar] [CrossRef]
- Centers for Disease Control and Prevention. Flu Vaccination Coverage, United States, 2018–2019 Influenza Season 2019. Updated 1/26/22. Available online: https://www.cdc.gov/flu/fluvaxview/coverage-1819estimates.htm (accessed on 23 March 2023).
- O’Hagan, J.J.; Hernan, M.A.; Walensky, R.P.; Lipsitch, M. Apparent declining efficacy in randomized trials: Examples of the Thai RV144 HIV vaccine and South African CAPRISA 004 microbicide trials. AIDS 2012, 26, 123–126. [Google Scholar] [CrossRef]
- Thernau, T.M.; Crowson, C.; Atkinson, E. Using Time Dependent Covariates and Time Dependent Coefficients in the Cox Model. Surviv. Vignettes 2021, 2, 1–25. [Google Scholar]
- Smith, P.G.; Rodrigues, L.C.; Fine, P.E. Assessment of the protective efficacy of vaccines against common diseases using case-control and cohort studies. Int. J. Epidemiol. 1984, 13, 87–93. [Google Scholar] [CrossRef] [PubMed]
- Sullivan, S.G.; Cowling, B.J.; Greenland, S. Frailty and influenza vaccine effectiveness. Vaccine 2016, 34, 4645–4646. [Google Scholar] [CrossRef] [PubMed]
- Hansen, T.F. Selection in Asexual Populations-an Extension of the Fundamental Theorem. J. Theor. Biol. 1992, 155, 537–544. [Google Scholar] [CrossRef]
- Gerrish, P.J.; Sniegowski, P.D. Real time forecasting of near-future evolution. J. R. Soc. Interface 2012, 9, 2268–2278. [Google Scholar] [CrossRef] [PubMed]
- Earle, K.A.; Ambrosino, D.M.; Fiore-Gartland, A.; Goldblatt, D.; Gilbert, P.B.; Siber, G.R.; Dull, P.; Plotkin, S.A. Evidence for antibody as a protective correlate for COVID-19 vaccines. Vaccine 2021, 39, 4423–4428. [Google Scholar] [CrossRef] [PubMed]
- Khoury, D.S.; Cromer, D.; Reynaldi, A.; Schlub, T.E.; Wheatley, A.K.; Juno, J.A.; Subbarao, K.; Kent, S.J.; Triccas, J.A.; Davenport, M.P. Neutralizing antibody levels are highly predictive of immune protection from symptomatic SARS-CoV-2 infection. Nat. Med. 2021, 27, 1205–1211. [Google Scholar] [CrossRef]
- Cromer, D.; Steain, M.; Reynaldi, A.; Schlub, T.E.; Wheatley, A.K.; Juno, J.A.; Kent, S.J.; Triccas, J.A.; Khoury, D.S.; Davenport, M.P. Neutralising antibody titres as predictors of protection against SARS-CoV-2 variants and the impact of boosting: A meta-analysis. Lancet Microbe 2022, 3, e52–e61. [Google Scholar] [CrossRef]
- Ke, R.; Zitzmann, C.; Ho, D.D.; Ribeiro, R.M.; Perelson, A.S. In vivo kinetics of SARS-CoV-2 infection and its relationship with a person’s infectiousness. Proc. Natl. Acad. Sci. USA 2021, 118, e2111477118. [Google Scholar] [CrossRef]
- Gomes, M.G.M.; Ferreira, M.U.; Corder, R.M.; King, J.G.; Souto-Maior, C.; Penha-Goncalves, C.; Goncalves, G.; Chikina, M.; Pegden, W.; Aguas, R. Individual variation in susceptibility or exposure to SARS-CoV-2 lowers the herd immunity threshold. J. Theor. Biol. 2022, 540, 111063. [Google Scholar] [CrossRef]
- Halloran, M.E.; Longini, I.M., Jr.; Struchiner, C.J. Estimability and interpretation of vaccine efficacy using frailty mixing models. Am. J. Epidemiol. 1996, 144, 83–97. [Google Scholar] [CrossRef]





Disclaimer/Publisher’s Note: The statements, opinions and data contained in all publications are solely those of the individual author(s) and contributor(s) and not of MDPI and/or the editor(s). MDPI and/or the editor(s) disclaim responsibility for any injury to people or property resulting from any ideas, methods, instructions or products referred to in the content. |
© 2023 by the authors. Licensee MDPI, Basel, Switzerland. This article is an open access article distributed under the terms and conditions of the Creative Commons Attribution (CC BY) license (https://creativecommons.org/licenses/by/4.0/).
Share and Cite
Nikas, A.; Ahmed, H.; Zarnitsyna, V.I. Competing Heterogeneities in Vaccine Effectiveness Estimation. Vaccines 2023, 11, 1312. https://doi.org/10.3390/vaccines11081312
Nikas A, Ahmed H, Zarnitsyna VI. Competing Heterogeneities in Vaccine Effectiveness Estimation. Vaccines. 2023; 11(8):1312. https://doi.org/10.3390/vaccines11081312
Chicago/Turabian StyleNikas, Ariel, Hasan Ahmed, and Veronika I. Zarnitsyna. 2023. "Competing Heterogeneities in Vaccine Effectiveness Estimation" Vaccines 11, no. 8: 1312. https://doi.org/10.3390/vaccines11081312
APA StyleNikas, A., Ahmed, H., & Zarnitsyna, V. I. (2023). Competing Heterogeneities in Vaccine Effectiveness Estimation. Vaccines, 11(8), 1312. https://doi.org/10.3390/vaccines11081312

