Central and Effector Memory Human CD4+ and CD8+ T Cells during Cutaneous Leishmaniasis and after In Vitro Stimulation with Leishmania (Viannia) braziliensis Epitopes
Abstract
1. Introduction
2. Materials and Methods
2.1. Ethical Aspects
2.2. Patients and Samples
2.3. Blood Harvesting and PBMC Isolation
2.4. Parasite Growth
2.5. Peptide Preparation
2.6. PBMC In Vitro Stimulation with Peptide Pools
2.7. Antibodies and Flow Cytometry of CD4+ and CD8+ T Cells
2.8. CFSE Cell Proliferation Assay
2.9. Cytokine Measurement after Peptide Pools Stimulation
2.10. Flow Cytometry Acquisition and Statistical Analyses
3. Results
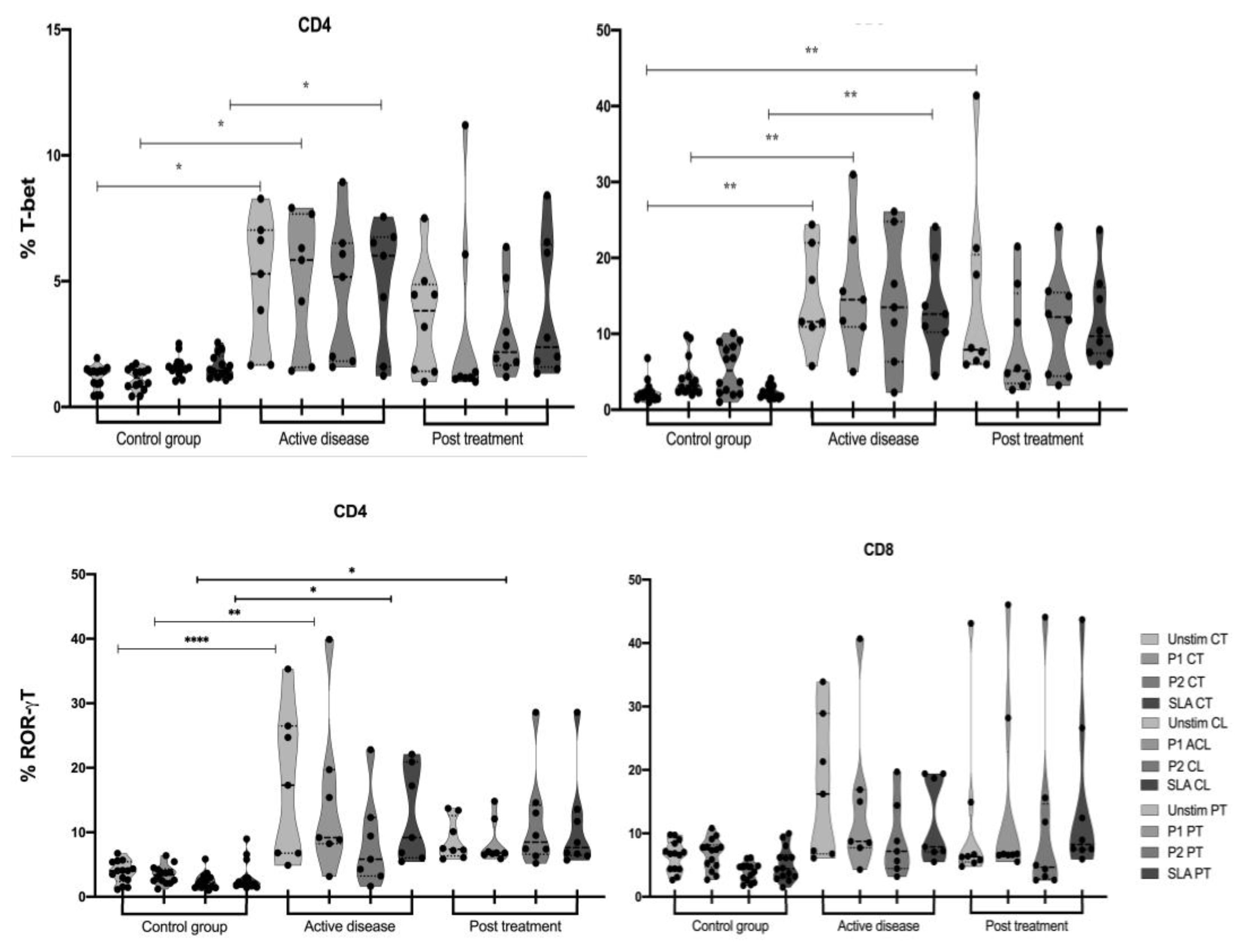
3.1. T-Bet and RORγT Expression by CD4 and CD8 T Cells of Active Disease and Post-Treatment Patients after Peptide Pools Stimulation
3.2. Central and Effector Memory T Cell Reactivation with Peptide Pools
3.3. PBMCs Proliferation Profile after Peptide Pool Stimulation
3.4. Cytokine Production of CL and CT PBMCs after Peptide Pool Stimulation
4. Discussion
Supplementary Materials
Author Contributions
Funding
Institutional Review Board Statement
Informed Consent Statement
Data Availability Statement
Acknowledgments
Conflicts of Interest
References
- Gillespie, P.M.; Beaumier, C.M.; Strych, U.; Hayward, T.; Hotez, P.J.; Botazzi, M.E. Status of vaccine research and development of vaccines for leishmaniasis. Vaccine 2016, 34, 2992–2995. [Google Scholar] [CrossRef] [PubMed]
- WHO. Leishmaniasis Fact Sheet. 2022. Available online: https://www.who.int/news-room/fact-sheets/detail/leishmaniasis (accessed on 28 December 2021).
- De Vries, H.J.C.; Reedijk, S.H.; Schallig, H.D.F.H. Cutaneous Leishmaniasis: Recent Developments in Diagnosis and Management. Am. J. Clin. Dermatol. 2015, 16, 99–109. [Google Scholar] [CrossRef] [PubMed]
- Pearson, R.D.; Sousa, A.D.Q. Clinical Spectrum of Leishmaniasis. Clin. Infect. Dis. 1996, 22, 1–11. [Google Scholar] [CrossRef] [PubMed]
- Ministério da Saúde. Manual de Vigilância da Leishmaniose Tegumentar; Ministério da Saúde: Brasília, Brazil, 2017.
- Gontijo, B.; De Carvalho, M.L.R. Leishmaniose tegumentar americana. Med. Trop. 2003, 36, 71–80. [Google Scholar] [CrossRef]
- Kedzierski, L. Leishmaniasis. Hum. Vaccines. 2011, 7, 1204–1214. [Google Scholar] [CrossRef]
- Bacon, K.M.; Hotez, P.J.; Kruchten, S.D.; Kamhawi, S.; Botazzi, M.E.; Valenzuela, J.G. The potential economic value of a cutaneous leishmaniasis vaccine in seven endemic countries in the Americas. Vaccine 2014, 31, 480–486. [Google Scholar] [CrossRef]
- Beaumier, C.M.; Gillespie, P.M.; Hotez, P.J.; Bottazzi, M.E. New vaccines for neglected parasitic diseases and dengue. Transl. Res. 2013, 162, 144–155. [Google Scholar] [CrossRef]
- Sundar, S.; Chakravarty, J. Antimony toxicity. Int. J. Environ. Res. Public Health 2010, 7, 4267–4277. [Google Scholar] [CrossRef]
- Oliveira, B.C.; Duthie, M.S.; Pereira, V.R.A. Vaccines for leishmaniasis and the implications of their development for American tegumentary leishmaniasis. Hum. Vaccines Immunother. 2020, 16, 919–930. [Google Scholar] [CrossRef]
- Mazumder, S.; Maji, M.; Das, A.; Ali, N. Potency, efficacy and durability of DNA/DNA, DNA/protein and protein/protein based vaccination using gp63 against Leishmania donovani in BALB/c mice. PLoS ONE 2011, 6, e14644. [Google Scholar] [CrossRef]
- Sánchez-Sampedro, L.; Gomez, C.E.; Mejías-Pérez, E.; Sorzano, C.O.S.; Esteban, M. High quality long-term CD4+ and CD8+ effector memory populations stimulated by DNA-LACK/MVA-LACK regimen in Leishmania major BALB/C model of infection. PLoS ONE 2012, 7, e38859. [Google Scholar] [CrossRef] [PubMed]
- Souza, M.A.; Castro, M.C.A.B.; Oliveira, A.P.; de Almeida, A.F.; de Almeida, T.M.; Reis, L.C.; Medeiros, Â.C.R.; de Brito, M.E.F.; Pereira, V.R.A. Cytokines and NO in American Tegumentary Leishmaniasis patients: Profiles in active disease, after therapy and in self-healed individuals. Microb. Pathog. 2013, 57, 27–32. [Google Scholar] [CrossRef] [PubMed]
- Reis, L.C.; Brito, M.E.F.; Souza, M.A.; Pereira, V.R.A. Mecanismos imunológicos na resposta celular e humoral na leishmaniose tegumentar americana. Rev. Patol. Trop. 2006, 25, 103–115. [Google Scholar] [CrossRef]
- Bacellar, O.; Lessa, H.; Schriefer, A.; Machado, P.; Ribeiro de Jesus, A.; Dutra, W.O.; Gollob, K.J.; Carvalho, E.M. Up-regulation of Th1-type responses in mucosal leishmaniasis patients. Infect. Immun. 2002, 70, 1102–1110. [Google Scholar] [CrossRef] [PubMed]
- Reis, L.C.; Brito, M.E.F.; Souza, M.A.; Medeiros, C.; Silva, C.J.; Luna, C.F.; Pereira, V.R. Cellular immune response profile in patients with american tegumentary leishmaniasis prior and post chemotherapy treatment. J. Clin. Lab. Anal. 2009, 23, 63–69. [Google Scholar] [CrossRef]
- Sakaguchi, S. Naturally arising CD4+ regulatory T cells for immunologic self-tolerance and negative control of immune responses. Ann. Rev. Immunol. 2004, 22, 531–562. [Google Scholar] [CrossRef]
- Müller, I.; Pedrazzini, T.; Kropf, P.; Louis, J.; Milon, G. Establishment of resistance to Leishmania major infection in susceptible BALB/c mice requires parasite-specific CD8+ T cells. Int. Immunol. 1991, 3, 587–597. [Google Scholar] [CrossRef]
- Stäger, S.; Rafati, S. CD8(+) T cells in leishmania infections: Friends or foes? Front. Immunol. 2012, 3, 5. [Google Scholar] [CrossRef]
- Uzonna, J.E.; Späth, G.F.; Beverley, S.M.; Scott, P. Vaccination with Phosphoglycan-Deficient Leishmania major Protects Highly Susceptible Mice from Virulent Challenge without Inducing a Strong Th1 Response. J. Immunol. 2014, 172, 3793–3797. [Google Scholar] [CrossRef]
- Kostka, L.; Dinges, S.; Griewank, K.; Iwakura, Y.; Udey, M.C.; von Stebut, E. IL-17 promotes progression in susceptible mice. J. Immunol. 2010, 182, 3039–3046. [Google Scholar] [CrossRef]
- Bacellar, O.; Faria, D.; Nascimento, M.; Cardoso, T.M.; Gollob, K.J.; Dutra, W.O.; Scott, P.; Carvalho, E.M. Interleukin 17 production among patients with American cutaneous leishmaniasis. J. Infect. Dis. 2009, 200, 75–78. [Google Scholar] [CrossRef]
- Banerjee, A.; Bhattacharya, P.; Joshi, A.B.; Ismail, N.; Dey, R.; Nakhasi, H.L. Role of pro-inflammatory cytokine IL-17 in Leishmania pathogenesis and in protective immunity by Leishmania vaccines. Cell. Immunol. 2016, 309, 37–41. [Google Scholar] [CrossRef] [PubMed]
- Mutiso, J.M.; Macharia, J.C.; Gicheru, M.M. Immunization with leishmania vaccine-alum-BCG and montanide ISA 720 adjuvants induces low-grade type 2 cytokines and high levels of IgG2 subclass antibodies in the vervet monkey (Chlorocebus aethiops) model. Scand. J. Immunol. 2012, 75, 471–477. [Google Scholar] [CrossRef] [PubMed]
- Peters, N.C.; Pagán, A.J.; Lawyer, P.G.; Hand, T.W.; Roma, E.H.; Stamper, L.W.; Romano, A.; Sacks, D.L. Chronic Parasitic Infection Maintains High Frequencies of Short-Lived Ly6C+CD4+ Effector T Cells That Are Required for Protection against Re-infection. PLoS Pathog. 2014, 10, e1004538. [Google Scholar] [CrossRef] [PubMed]
- Zaph, C.; Uzonna, J.; Beverley, S.M.; Scott, P. Central memory T cells mediate long-term immunity to Leishmania major in the absence of persistent parasites. Nat. Med. 2004, 10, 1104–1110. [Google Scholar] [CrossRef] [PubMed]
- Collpits, S.L.; Scott, P. The early generation of a heterogenous CD4+ T cell response in Leishmania major. J. Immunol. 2010, 185, 2416–2426. [Google Scholar] [CrossRef]
- Rappuoli, R. Reverse vaccinology. Curr. Op. Microbiol. 2000, 3, 445–450. [Google Scholar] [CrossRef]
- Freitas-e-Silva, R.; Ferreira, L.F.G.R.; Hernandes, M.Z.; Brito, M.E.F.; Oliveira, B.C.; Silva, A.A.; de-Melo-Neto, O.P.; Rezende, A.M.; Pereira, V.R.A. Combination of in silico methods in the search for potential CD4+ and CD8+ T cell epitopes in the proteome of Leishmania braziliensis. Front. Immunol. 2016, 7, 327. [Google Scholar]
- Freitas-e-Silva, R.; Oliveira, B.C.; Silva, A.A.; Castro, M.C.A.B.; Ferreira, L.F.G.R.; Hernandes, M.Z.; De Brito, M.E.F.; de-Melo-Neto, O.P.; Rezende, A.M.; Pereira, V.R.A. Immunogenicity of potential CD4+ and CD8+ T cell epitopes derived from the proteome of Leishmania (Viannia) braziliensis. Front. Immunol. 2020, 10, 3145. [Google Scholar] [CrossRef]
- De Luca, P.; Mayrink, W.; Pinto, J.A.; Coutinho, S.G.; Santiago, M.A.; Toledo, V.P.; Costa, C.A.; Genaro, O.; Reis, A.B.; Mendonça, S.C. A randomized double-blind placebo-controlled trial to evaluate the immunogenicity of a candidate vaccine against American tegumentary leishmaniasis. Acta Trop. 2001, 80, 251–260. [Google Scholar] [CrossRef]
- Mayrink, W.; Mendonça-Mendes, A.; de Paula, J.C.; Siqueira, L.M.V.; Marrocos, S.R.; Dias, E.S.; de Andrade, H.M.; Machado-Coelho, G.L.L. Cluster randomised trial to evaluate the effectiveness of a vaccine against cutaneous leishmaniasis in the caratinga microregion, south-east brazil. Trans. R. Soc. Trop. Med. Hyg. 2013, 107, 212–219. [Google Scholar] [CrossRef] [PubMed]
- Mayrink, W.; Botelho, A.C.C.; Magalhães, P.A.; Batista, S.M.; Lima, A.O.; Genaro, O.; Da Costa, C.A.; De Melo, M.N.; Michalick, M.S.M.; Williams, P.; et al. Immunotherapy, immunochemotherapy and chemotherapy for American cutaneous leishmaniasis treatment. Rev. Soc. Bras. Med. Trop. 2006, 39, 14–21. [Google Scholar] [CrossRef] [PubMed]
- Srivastava, S.; Shankar, P.; Mishra, J.; Singh, S. Possibilities and challenges for developing a successful vaccine for leishmaniasis. Parasites Vectors 2016, 9, 277. [Google Scholar] [CrossRef]
- Marcondes, M.; Day, M.J. Current status and management of canine leishmaniasis in Latin America. Res. Vet. Sci. 2019, 123, 261–272. [Google Scholar] [CrossRef]
- Parra, L.E.; Borja-Cabrera, G.P.; Santos, F.N.; Souza, L.O.P.; Palatnik-de-Sousa, C.B.; Menz, I. Safety trial using the Leishmune® vaccine against canine visceral leishmaniasis in Brazil. Vaccine 2007, 25, 2180–2186. [Google Scholar] [CrossRef]
- Starita, C.; Gavazza, A.; Lubas, G. Hematological, Biochemical, and Serological Findings in Healthy Canine Blood Donors after the Administration of CaniLeish® Vaccine. Vet. Med. Int. 2016, 2016, 4601893. [Google Scholar] [CrossRef] [PubMed]
- Palatnik-de-Sousa, C.B. Vaccines for leishmaniasis in the fore coming 25 years. Vaccine 2008, 26, 1709–1724. [Google Scholar] [CrossRef]
- Ravindran, R.; Foley, J.; Stoklasek, T.; Glimcher, L.H.; McSorley, S.J. Expression of T-bet by CD4 T cells is essential for resistance to Salmonella infection. J. Immunol. 2005, 175, 4603–4610. [Google Scholar] [CrossRef]
- Ivanov, I.I.; McKenzie, B.S.; Zhou, L.; Tadokoro, C.E.; Lepelley, A.; Lafaille, J.J.; Cua, D.J.; Littman, D.R. The orphan nuclear receptor RORgammat directs the differentiation program of proinflammatory IL-17+ T helper cells. Cell 2006, 126, 1121–1133. [Google Scholar] [CrossRef]
- Chellappa, S.; Hugenschmidt, H.; Hagness, M.; Subramani, S.; Melum, E.; Line, P.D.; Labori, K.-J.; Wiedswang, G.; Taskén, K.; Aandahl, E.M. CD8+ T cells that coexpress RORγT and T-bet are functionally impaired and expand in patients with distal bile duct cancer. J. Immunol. 2017, 198, 1729–1739. [Google Scholar] [CrossRef]
- Huber, M.; Heink, S.; Grothe, H.; Guralnik, A.; Reinhard, K.; Elflein, K.; Hünig, T.; Mittrücker, H.-W.; Brüstle, A.; Kamradt, T.; et al. A Th17-like developmental process leads to CD8(+) Th17 cells with reduced cytotoxic activity. Eur. J. Immunol. 2009, 39, 1716–1725. [Google Scholar] [CrossRef]
- Singh, T.P.; Carvalho, A.M.; Sacramento, L.A.; Grice, E.A.; Scott, P. Microbiota instruct IL-17-A-producing innate lymphoid. Cells to promote skin inflammation in cutaneous leishmaniasis. PLoS Pathog. 2021, 17, e1009693. [Google Scholar] [CrossRef]
- Flores, G.V.A.; Pacheco, C.M.S.; Ochoa, W.H.S.O.; Gomes, C.M.C.; Zúniga, C.; Corbett, C.P.; Laurenti, M.D. Th17 lymphocytes in atypical cutaneous leishmaniasis caused by Leishmania (L.) infantum chagasi in Central America. Parasite Immunol. 2020, 42, e12772. [Google Scholar]
- Katara, G.K.; Raj, A.; Kumar, R.; Avishek, K.; Kaushal, H.; Ansari, N.A.; Bumb, R.A.; Salotra, P. Analysis of localized immune response reveals presence of Th17 and Treg cells in cutaneous leishmaniasis due to Leishmania tropica. BMC Immunol. 2013, 14, 52. [Google Scholar] [CrossRef] [PubMed]
- Boaventura, V.S.; Santos, C.S.; Cardoso, C.R.; Andrade, J.; Santos, W.L.C.; Clarêncio, J.; Silva, J.S.; Borges, V.; Netto, M.B.; Brodskyn, C.I.; et al. Human mucosal leishmaniasis: Neutrophils infiltrate areas of tissue damage that express high levels of Th17-related cytokines. Eur. J. Immunol. 2010, 40, 2830–2836. [Google Scholar] [CrossRef]
- Gonçalves-de-Albuquerque, S.C.; Pessoa-e-Silva, R.; Trajano-Silva, L.A.M.; Goes, T.C.; Morais, R.C.S.; Oliveira, C.N.C.; de Lorena, V.M.; de Paiva-Cavalcanti, M. The equivocal role of Th17 cells and neutrophils on immunopathogenesis of leishmaniasis. Front. Immunol. 2017, 8, 1437. [Google Scholar] [CrossRef] [PubMed]
- Pakpour, N.; Zaph, C.; Scott, P. The Central Memory CD4 + T Cell Population Generated during Leishmania major Infection Requires IL-12 to Produce IFN-γ. J. Immunol. 2008, 180, 8299–8305. [Google Scholar] [CrossRef] [PubMed]
- Schroeder, J.; Aebischer, T. Vaccines for leishmaniasis: From proteome to vaccine candidates. Hum. Vaccines 2011, 7, 10–15. [Google Scholar] [CrossRef] [PubMed]
- Colpitts, S.; Scott, P. Memory T-cell subsets in parasitic infections. Adv. Exp. Med. Biol. 2010, 684, 145–154. [Google Scholar]
- Martin, M.D.; Badovinac, V.P. Defining memory CD8 T cell. Front. Immunol. 2018, 9, 2692. [Google Scholar] [CrossRef]
- Zinkernagel, R.M. Localization dose and time of antigens determine immune reactivity. Sem. Immunol. 2000, 12, 167–171. [Google Scholar] [CrossRef] [PubMed]
- Bittar, R.C.; Nogueira, R.S.; Vieira-Gonçalves, R.; Pinho-Ribeiro, V.; Mattos, M.S.; Oliveira-Neto, M.P.; Coutinho, S.G.; Da-Cruz, A.M. T-cell responses associated with resistance to Leishmania infection in individuals from endemic areas for Leishmania (Viannia) braziliensis. Mem. Inst. Osw. Cruz. 2007, 102, 625–630. [Google Scholar] [CrossRef] [PubMed]
- Brelaz, M.C.A.; Oliveira, A.P.; Almeida, A.F.; Souza, M.A.; Medeiros, A.C.R.; Brito, M.E.F.; Pereira, V.R.A. Antigenic fractions of Leishmania (Viannia) braziliensis: The immune response characterization of patients at the initial phase of disease. Parasite Immunol. 2012, 34, 236–239. [Google Scholar] [CrossRef]
- Antonelli, L.R.V.; Dutra, W.O.; Almeida, R.P.; Bacellar, O.; Carvalho, E.M.; Gollob, K.J. Activated inflammatory T cells correlate with lesion size in human cutaneous leishmaniasis. Immunol. Lett. 2005, 101, 226–230. [Google Scholar] [CrossRef] [PubMed]
- Bottrel, R.L.; Dutra, W.O.; Martins, F.A.; Gontijo, B.; Carvalho, A.; Barral-Neto, M.; Barral, A.; Almeida, R.P.; Mayrink, W.; Locksley, R.; et al. Flow cytometric determination of cellular sources and frequencies of key cytokine-producing lymphocytes directed against recombinant LACK and soluble Leishmania antigen in human cutaneous leishmaniasis. Infect. Immun. 2001, 69, 3232–3239. [Google Scholar] [CrossRef] [PubMed]
- Silva-Santos, C.; Brodskyn, C.I. The role of CD4 and CD8 T cells in human cutaneous leishmaniasis. Front. Public Health 2014, 2, 165. [Google Scholar] [CrossRef]
- Melby, P.C.; Andrade-Narvaez, F.J.; Darnell, B.J.; Valencia-Pacheco, G.; Tryon, V.V.; Palomo-Cetina, A. Increased expression of proinflammatory cytokines in chronic lesions of human cutaneous leishmaniasis. Infect. Immun. 1994, 62, 837–842. [Google Scholar] [CrossRef]
- Gollob, K.; Viana, A.; Dutra, W. Immunoregulation in human American leishmaniasis: Balancing pathology and protection. Parasite Immunol. 2014, 36, 367–376. [Google Scholar] [CrossRef]
- Soong, L.; Duboise, S.M.; Kima, P.; McMahon-Pratt, D. Leishmania pifanoi amastigote antigens protect mice against cutaneous leishmaniasis. Infect. Immun. 1995, 63, 3559–3566. [Google Scholar] [CrossRef]



| Pool 1 | Peptide Sequence | Protein ID |
|---|---|---|
| P2 | GNDHYYEYILWKYHG | LbrM.14.1680 |
| P4 | PFLYYYILCYARDFG | LbrM.34.3630 |
| P8 | HNAPFLYYYILCYAR | LbrM.34.3630 |
| P9 | NDHYYEYILWKYHGA | LbrM.14.1680 |
| P10 | TVFYTISFDQMERYL | LbrM.01.0110 |
| Pool 2 | Peptide sequence | Protein ID |
| P1 | FLYYYILCYARDFGS | LbrM.34.3630 |
| P3 | ISFEIYPAHLFYSLI | LbrM.06.0820 |
| P5 | APFLYYYILCYARDF | LbrM.34.3630 |
| P6 | VFYTISFDQMERYLA | LbrM.01.0110 |
| P7 | YTISFDQMERYLAAI | LbrM.01.0110 |
Disclaimer/Publisher’s Note: The statements, opinions and data contained in all publications are solely those of the individual author(s) and contributor(s) and not of MDPI and/or the editor(s). MDPI and/or the editor(s) disclaim responsibility for any injury to people or property resulting from any ideas, methods, instructions or products referred to in the content. |
© 2023 by the authors. Licensee MDPI, Basel, Switzerland. This article is an open access article distributed under the terms and conditions of the Creative Commons Attribution (CC BY) license (https://creativecommons.org/licenses/by/4.0/).
Share and Cite
de Oliveira, B.C.; da Silva, A.A.; de Andrade Cavalcante, M.K.; de Brito, M.E.F.; de Castro, M.C.A.B.; de Medeiros, V.L.S.; de Freitas e Silva, R.; Pereira, V.R.A. Central and Effector Memory Human CD4+ and CD8+ T Cells during Cutaneous Leishmaniasis and after In Vitro Stimulation with Leishmania (Viannia) braziliensis Epitopes. Vaccines 2023, 11, 158. https://doi.org/10.3390/vaccines11010158
de Oliveira BC, da Silva AA, de Andrade Cavalcante MK, de Brito MEF, de Castro MCAB, de Medeiros VLS, de Freitas e Silva R, Pereira VRA. Central and Effector Memory Human CD4+ and CD8+ T Cells during Cutaneous Leishmaniasis and after In Vitro Stimulation with Leishmania (Viannia) braziliensis Epitopes. Vaccines. 2023; 11(1):158. https://doi.org/10.3390/vaccines11010158
Chicago/Turabian Stylede Oliveira, Beatriz Coutinho, Ailton Alvaro da Silva, Marton Kaique de Andrade Cavalcante, Maria Edileuza Felinto de Brito, Maria Carolina Accioly Brelaz de Castro, Vanessa Lucília Silveira de Medeiros, Rafael de Freitas e Silva, and Valéria Rêgo Alves Pereira. 2023. "Central and Effector Memory Human CD4+ and CD8+ T Cells during Cutaneous Leishmaniasis and after In Vitro Stimulation with Leishmania (Viannia) braziliensis Epitopes" Vaccines 11, no. 1: 158. https://doi.org/10.3390/vaccines11010158
APA Stylede Oliveira, B. C., da Silva, A. A., de Andrade Cavalcante, M. K., de Brito, M. E. F., de Castro, M. C. A. B., de Medeiros, V. L. S., de Freitas e Silva, R., & Pereira, V. R. A. (2023). Central and Effector Memory Human CD4+ and CD8+ T Cells during Cutaneous Leishmaniasis and after In Vitro Stimulation with Leishmania (Viannia) braziliensis Epitopes. Vaccines, 11(1), 158. https://doi.org/10.3390/vaccines11010158

