Pilot Study for Immunogenicity of SARS-CoV-2 Vaccine with Seasonal Influenza and Pertussis Vaccines in Pregnant Women
Abstract
1. Introduction
2. Materials and Methods
2.1. Study Design and Participants
2.2. Statistical Analysis
2.3. Neutralizing Antibody Inhibition Test of SARS-CoV-2 Omicron, Delta, and Wildtype Variants
2.4. Anti-SARS-CoV-2 S Protein Total Antibody
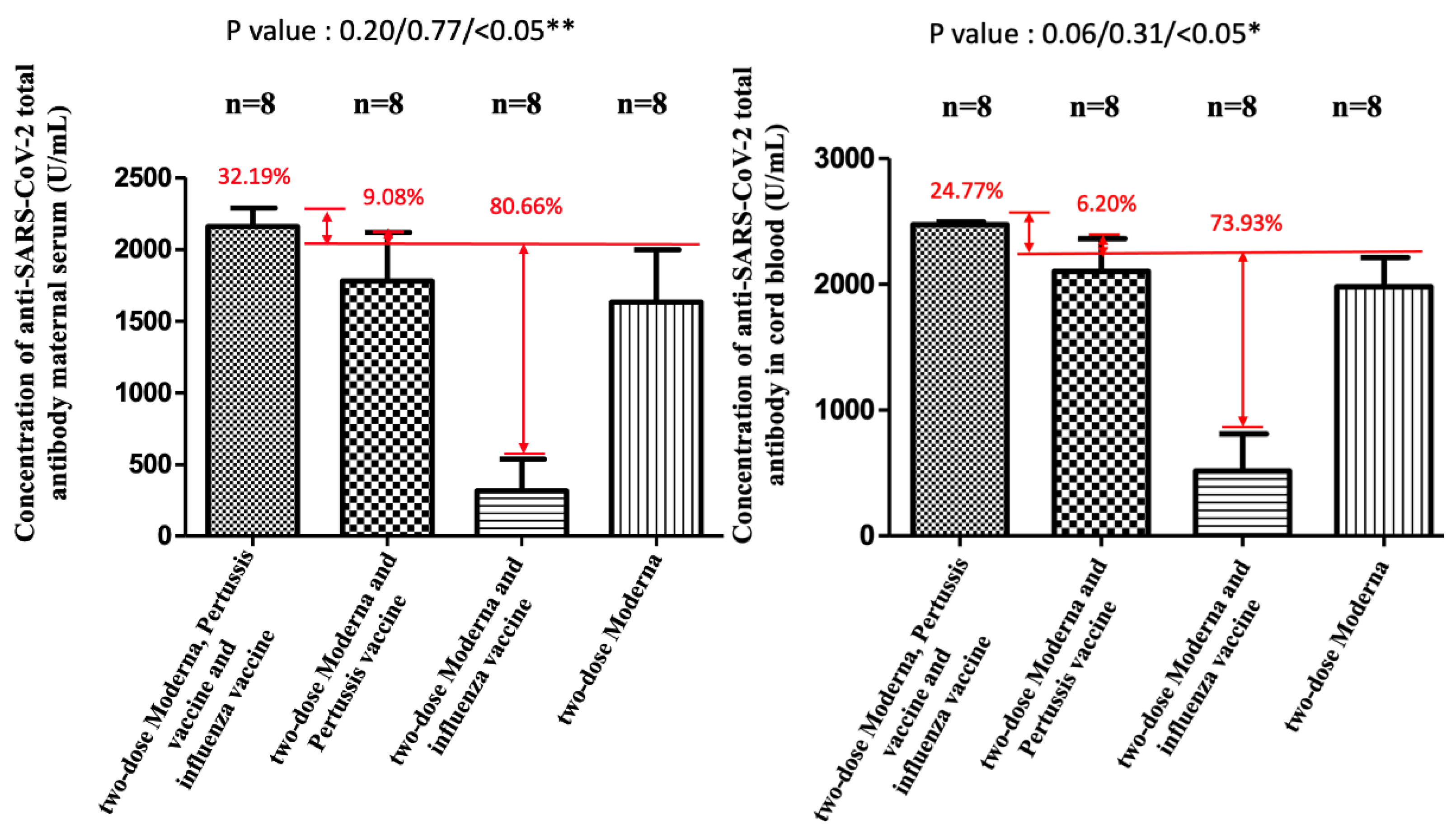
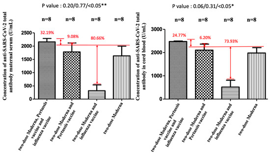
3. Results
4. Discussion
5. Conclusions
Supplementary Materials
Author Contributions
Funding
Institutional Review Board Statement
Informed Consent Statement
Data Availability Statement
Conflicts of Interest
References
- Callaway, E. Heavily mutated Omicron variant puts scientists on alert. Nature 2021, 600, 21. [Google Scholar] [CrossRef] [PubMed]
- Classification of Omicron (B.1.1.529): SARS-CoV-2 Variant of Concern; WHO: Geneva, Switzerland, 2021.
- Schmidt, F.; Muecksch, F.; Weisblum, Y.; Da Silva, J.; Bednarski, E.; Cho, A.; Wang, Z.; Gaebler, C.; Caskey, M.; Nussenzweig, M.C.; et al. Plasma Neutralization of the SARS-CoV-2 Omicron Variant. N. Engl. J. Med. 2022, 386, 599–601. [Google Scholar] [CrossRef] [PubMed]
- Takashita, E.; Kinoshita, N.; Yamayoshi, S.; Sakai-Tagawa, Y.; Fujisaki, S.; Ito, M.; Iwatsuki-Horimoto, K.; Chiba, S.; Halfmann, P.; Nagai, H.; et al. Efficacy of Antibodies and Antiviral Drugs against COVID-19 Omicron Variant. N. Engl. J. Med. 2022, 386, 995–998. [Google Scholar] [CrossRef] [PubMed]
- Servellita, V.; Syed, A.M.; Morris, M.K.; Brazer, N.; Saldhi, P.; Garcia-Knight, M.; Sreekumar, B.; Khalid, M.M.; Ciling, A.; Chen, P.Y.; et al. Neutralizing immunity in vaccine breakthrough infections from the SARS-CoV-2 Omicron and Delta variants. Cell 2022, 185, 1539–1548. [Google Scholar] [CrossRef] [PubMed]
- Centers for Disease Control and Prevention (CDC). COVID Data Tracker. 2022. Available online: https://covid.cdc.gov/covid-data-tracker/#pregnant-population (accessed on 30 December 2022).
- The American College of Obstetricians and Gynecologists (ACOG). ACOG and SMFM Recommend COVID-19 Vaccination for Pregnant Individuals. 2021. Available online: https://www.acog.org/news/news-releases/2021/07/acog-smfm-recommend-covid-19-vaccination-for-pregnant-individuals (accessed on 30 December 2022).
- Shimabukuro, T.T.; Kim, S.Y.; Myers, T.R.; Moro, P.L.; Oduyebo, T.; Panagiotakopoulos, L.; Marquez, P.L.; Olson, C.K.; Liu, R.; Chang, K.T.; et al. Preliminary Findings of mRNA COVID-19 Vaccine Safety in Pregnant Persons. N. Engl. J. Med. 2021, 384, 2273–2282. [Google Scholar] [CrossRef]
- Flu Vaccine Safety and Pregnancy. 2021. Available online: https://www.cdc.gov/flu/highrisk/qa_vacpregnant.htm#:~:text=Pregnant%20people%20should%20get%20a,by%20up%20to%20one%2Dhalf (accessed on 30 December 2022).
- Tan, C.W.; Chia, W.N.; Qin, X.; Liu, P.; Chen, M.I.-C.; Tiu, C.; Hu, Z.; Chen, V.C.W.; Young, B.E.; Sia, W.R.; et al. A SARS-CoV-2 surrogate virus neutralizationtest based on antibody-mediated blockage of ACE2-spike protein–protein interaction. Nat. Biotechnol. 2020, 38, 1073–1078. [Google Scholar] [CrossRef]
- Jung, K.; Shin, S.; Nam, M.; Hong, Y.J.; Roh, E.Y.; Park, K.U.; Song, E.Y. Performance Evaluation of Three Automated Quantitative Immunoassays and Their Correlation With a Surrogate Virus Neutralization Test in Coronavirus Disease 19 Patients and Pre-Pandemic Controls. J. Clin. Lab. Anal. 2021, 35, e23921. [Google Scholar] [CrossRef]
- Higgins, V.; Fabros, A.; Kulasingam, V. Quantitative Measurement of Anti-SARS-CoV-2 Antibodies: Analytical and Clinical Evaluation. J. Clin. Microbiol. 2021, 59, e03149-20. [Google Scholar] [CrossRef]
- Munoz, F.M.; Jamieson, D.J. Maternal Immunization. Obstet. Gynecol. 2019, 133, 739–753. [Google Scholar] [CrossRef]
- Marchand, G.; Patil, A.S.; Masoud, A.T.; Ware, K.; King, A.; Ruther, S.; Brazil, G.; Calteux, N.; Ulibarri, H.; Parise, J.; et al. Review and meta-analysis of COVID maternal and neonatal clinical features and pregnancy outcomes to June 3rd 2021. AJOG Glob. Rep. 2021, 3, 100049. [Google Scholar]
- Stock, S.J.; Carruthers, J.; Calvert, C.; Denny, C.; Donaghy, J.; Goulding, A.; Hopcroft, L.E.M.; Hopkins, L.; McLaughlin, T.; Pan, J.; et al. SARS-CoV-2 infection and COVID-19 vaccination rates in pregnant women in Scotland. Nat. Med. 2022, 28, 504–512. [Google Scholar] [CrossRef]
- Allen, H.; Turner, C.; Tessier, E. Comparative transmission of SARS-CoV-2 Omicron (B.1.1.529) and Delta (B.1.617.2) variants and the impact of vaccination: National cohort study, England. medRxiv 2022. [Google Scholar] [CrossRef]
- Seasely, A.R.; Blanchard, C.T.; Arora, N.; Battarbee, A.N.; Casey, B.M.; Dionne-Odom, J.; Leal, S.M.; Moates, D.B.; Sinkey, R.G.; Szychowski, J.M.; et al. Maternal and rerinatal outcomes associated with the Omicron variant of severe acute respiratory syndrome coronavirus 2 (SARS-CoV-2) infection. Obstet. Gynecol. 2022, 140, 262–265. [Google Scholar] [CrossRef]
- Birol Ilter, P.; Prasad, S.; Mutlu, M.A.; Tekin, A.B.; O’Brien, P.; von Dadelszen, P.; Magee, L.A.; Tekin, S.; Tug, N.; Kalafat, E.; et al. Maternal and perinatal outcomes of SARS-CoV-2 infection in unvaccinated pregnancies during Delta and Omicron waves. Ultrasound Obs. Gynecol. 2022, 60, 96–102. [Google Scholar] [CrossRef]
- Birol Ilter, P.; Prasad, S.; Berkkan, M.; Mutlu, M.A.; Tekin, A.B.; Celik, E.; Ata, B.; Turgal, M.; Yildiz, S.; Turkgeldi, E.; et al. Clinical severity of SARS-CoV-2 infection among vaccinated and unvaccinated pregnancies during the Omicron wave. Ultrasound Obs. Gynecol. 2022, 59, 560–562. [Google Scholar] [CrossRef]
- Male, V. SARS-CoV-2 infection and COVID-19 vaccination in pregnancy. Nat. Rev. Immunol. 2022, 22, 277–282. [Google Scholar] [CrossRef]
- Levin, E.G.; Lustig, Y.; Cohen, C.; Fluss, R.; Indenbaum, V.; Amit, S.; Doolman, R.; Asraf, K.; Mendelson, E.; Ziv, A.; et al. Waning Immune Humoral Response to BNT162b2 COVID-19 Vaccine over 6 Months. N. Engl. J. Med. 2021, 385, e84. [Google Scholar] [CrossRef]
- COVID-19 Vaccine Boosters During Pregnancy. Available online: https://www.acog.org/covid-19/covid-19-vaccines-tools-for-your-practice-and-your-patients/boosters-during-pregnancy (accessed on 30 December 2022).
- Beharier, O.; Mayo, R.P.; Raz, T.; Sacks, K.N.; Schreiber, L.; Suissa-Cohen, Y.; Chen, R.; Gomez-Tolub, R.; Hadar, E.; Gabbay-Benziv, R.; et al. Efficient maternal to neonatal transfer of antibodies against SARS-CoV-2 and BNT162b2 mRNA COVID-19 vaccine. J. Clin. Investig. 2021, 131, e150319. [Google Scholar] [CrossRef]
- Andrews, N.; Stowe, J.; Kirsebom, F.; Toffa, S.; Rickeard, T.; Gallagher, E.; Gower, C.; Kall, M.; Groves, N.; O’Connell, A.M.; et al. COVID-19 Vaccine Effectiveness against the Omicron (B.1.1.529) Variant. N. Engl. J. Med. 2022, 386, 1532–1546. [Google Scholar] [CrossRef]
- Lazarus, R.; Baos, S.; Cappel-Porter, H.; Carson-Stevens, A.; Clout, M.; Culliford, L.; Emmett, S.R.; Garstang, J.; Gbadamoshi, L.; Hallis, B.; et al. Safety and immunogenicity of concomitant administration of COVID-19 vaccines (ChAdOx1 or BNT162b2) with seasonal influenza vaccines in adults in the UK (ComFluCOV): A multicentre, randomised, controlled, phase 4 trial. Lancet 2021, 398, 2277–2287. [Google Scholar] [CrossRef]
- Toback, S.; Galiza, E.; Cosgrove, C.; Galloway, J.; Goodman, A.L.; Swift, P.A.; Rajaram, S.; Graves-Jones, A.; Edelman, J.; Burns, F.; et al. Safety, Immunogenicity, and Efficacy of a COVID-19 Vaccine (NVX-CoV2373) Co-administered with Seasonal Influenza Vaccines. medRxiv 2021. [Google Scholar] [CrossRef]
- Shen, C.J.; Fu, Y.C.; Lin, Y.P.; Shen, C.F.; Sun, D.J.; Chen, H.Y.; Cheng, C.M. Evaluation of Transplacental Antibody Transfer in SARS-CoV-2-Immunized Pregnant Women. Vaccines 2022, 10, 101. [Google Scholar] [CrossRef] [PubMed]
- Insel, R. Potential Alterations in Immunogenicity by Combining or Simultaneously Administering Vaccine Component. Ann. N.Y. Acad. Sci. 1995, 31, 35–47. [Google Scholar] [CrossRef] [PubMed]
- Dagan, R.; Eskola, J.; Leclerc, C.; Leroy, O. Reduced response to multiple vaccines sharing common protein epitopes that are administered simultaneously to infants. Infect. Immun. 1998, 66, 2093–2098. [Google Scholar] [CrossRef] [PubMed]
- Hou, X.; Zaks, T.; Langer, R.; Dong, Y. Lipid nanoparticles for mRNA delivery. Nat. Rev. Mater. 2021, 6, 1078–1094. [Google Scholar] [CrossRef]
- Alosaimi, B.; Naeem, A.; Hamed, M.E.; Alkadi, H.S.; Alanazi, T.; Al Rehily, S.S.; Almutairi, A.Z.; Zafar, A. Influenza co-infection associated with severity and mortality in COVID-19 patients. Virol. J. 2021, 18, 127. [Google Scholar] [CrossRef]
- Agarwal, A.; Agarwal, M.; Sharma, A.; Jakhar, R. Impact of influenza A co-infection with COVID-19. Int. J. Tuberc. Lung Dis. 2021, 25, 413–415. [Google Scholar] [CrossRef]
- Zheng, J.; Chen, F.; Wu, K.; Wang, J.; Li, F.; Huang, S.; Lu, J.; Huang, J.; Liu, H.; Zhou, R.; et al. Clinical and virological impact of single and dual infections with influenza A (H1N1) and SARS-CoV-2 in adult inpatients. PLoS Negl. Trop. Dis. 2021, 15, e0009997. [Google Scholar] [CrossRef]







| Variable | Included in the Analysis (Two-Dose) a | Included in the Analysis (Three-Dose) b |
|---|---|---|
| Age of mothers (years) | 31.72 * (±5.27 **) IQR 34–29 | 33.63 * (±4.60 **) IQR 36.5–31 |
| Parity | 0.81 * IQR 2–0 | 1.40 * IQR 2–1 |
| ≥1 | ||
| BMI | 26.76 * (±4.15 **) IQR 29.03–23.38 | 26.89 * (±4.62 **) IQR 30.04–24.53 |
| Weeks of gestation at the first dose of COVID-19 vaccination (weeks) | 23.5 * (±2.79 **) IQR 25.25–21 | 1.28 * (±9.07 **) IQR 7.5–0 |
| Weeks of gestation at the second dose of COVID-19 vaccination (weeks) | 28.75 * (±3.30 **) IQR 31–26 | 13.72 * (±7.38 **) IQR 19.5–7.5 |
| Weeks of gestation at the third dose of COVID-19 vaccination (weeks) | - | 32.54 * (±3.25 **) IQR 35–30.5 |
| Interval between the third dose of COVID-19 vaccination and the collection of blood samples (day of delivery) (weeks) | - | 5.93 * (±2.98 **) IQR 7.5–4 |
| Interval between the second dose of COVID-19 vaccination and the collection of blood samples (day of delivery) (weeks) | 9.84 * (±3.29 **) IQR 12–8 | 24.55 * (±7.37 **) IQR 31–19 |
| Interval between the first dose of COVID-19 vaccination and the collection of blood samples (day of delivery) (weeks) | 15.09 * (±2.97 **) IQR 16.5–13 | 36.96 * (±9.02 **) IQR 42–31 |
| Weeks of gestation at delivery (weeks) | 38.59* (±1.10 **) IQR 39–38 | 38.46 * (±1.17 **) IQR 39–38 |
| Sex of newborn Male Female | 15 (46.9% ***) 17 (53.1% ***) | 33 (50% ***) 33 (50% ***) |
| Weight of newborn (g) | 3039.38 * (±355.78 **) IQR 3170–2823.75 | 3081.42 * (±331.20 **) IQR 3310–2880 |
Disclaimer/Publisher’s Note: The statements, opinions and data contained in all publications are solely those of the individual author(s) and contributor(s) and not of MDPI and/or the editor(s). MDPI and/or the editor(s) disclaim responsibility for any injury to people or property resulting from any ideas, methods, instructions or products referred to in the content. |
© 2023 by the authors. Licensee MDPI, Basel, Switzerland. This article is an open access article distributed under the terms and conditions of the Creative Commons Attribution (CC BY) license (https://creativecommons.org/licenses/by/4.0/).
Share and Cite
Shen, C.-J.; Lin, Y.-P.; Hu, S.-Y.; Shen, C.-F.; Chuang, H.-Y.; Ker, C.-R.; Sun, D.-J.; Yang, Y.-H.; Cheng, C.-M. Pilot Study for Immunogenicity of SARS-CoV-2 Vaccine with Seasonal Influenza and Pertussis Vaccines in Pregnant Women. Vaccines 2023, 11, 119. https://doi.org/10.3390/vaccines11010119
Shen C-J, Lin Y-P, Hu S-Y, Shen C-F, Chuang H-Y, Ker C-R, Sun D-J, Yang Y-H, Cheng C-M. Pilot Study for Immunogenicity of SARS-CoV-2 Vaccine with Seasonal Influenza and Pertussis Vaccines in Pregnant Women. Vaccines. 2023; 11(1):119. https://doi.org/10.3390/vaccines11010119
Chicago/Turabian StyleShen, Ching-Ju, Yen-Pin Lin, Shu-Yu Hu, Ching-Fen Shen, Hui-Yu Chuang, Chin-Ru Ker, Der-Ji Sun, Yu-Hsuan Yang, and Chao-Min Cheng. 2023. "Pilot Study for Immunogenicity of SARS-CoV-2 Vaccine with Seasonal Influenza and Pertussis Vaccines in Pregnant Women" Vaccines 11, no. 1: 119. https://doi.org/10.3390/vaccines11010119
APA StyleShen, C.-J., Lin, Y.-P., Hu, S.-Y., Shen, C.-F., Chuang, H.-Y., Ker, C.-R., Sun, D.-J., Yang, Y.-H., & Cheng, C.-M. (2023). Pilot Study for Immunogenicity of SARS-CoV-2 Vaccine with Seasonal Influenza and Pertussis Vaccines in Pregnant Women. Vaccines, 11(1), 119. https://doi.org/10.3390/vaccines11010119

