Effect of a Third Dose of SARS-CoV-2 mRNA BNT162b2 Vaccine on Humoral and Cellular Responses and Serum Anti-HLA Antibodies in Kidney Transplant Recipients
Abstract
:1. Introduction
2. Methods
2.1. Patients and Samples
2.2. SARS-CoV-2 Humoral Response
2.3. SARS-CoV-2 Spike-Specific T Cell Response
2.4. Anti-HLA Antibodies Determination
2.5. Clinical and Therapeutic Variables
2.6. COVID19 Diagnosis
2.7. Statistical Analysis
3. Results
3.1. Clinical and Demographic Characteristics
3.2. Immunogenicity of BNT162b2 Vaccination
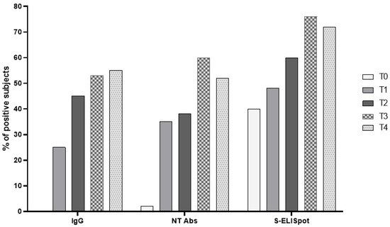
3.3. Longitudinal Monitoring of SARS-CoV-2 Humoral Response and Spike-Specific T Cell Response Elicited by Vaccination
3.4. Demographic and Clinical Parameters Correlation
3.5. Anti-HLA Antibodies
3.6. COVID-19 Cases in Vaccinated Transplanted Patients
4. Discussion
5. Conclusions
Supplementary Materials
Author Contributions
Funding
Institutional Review Board Statement
Informed Consent Statement
Data Availability Statement
Acknowledgments
Conflicts of Interest
References
- Danziger-Isakov, L.; Blumberg, E.A.; Manuel, O.; Sester, M. Impact of COVID-19 in solid organ transplant recipients. Am. J. Transplant. 2021, 21, 925–937. [Google Scholar] [CrossRef] [PubMed]
- Cassaniti, I.; Bergami, F.; Arena, F.; Sammartino, J.C.; Ferrari, A.; Zavaglio, F.; Curti, I.; Percivalle, E.; Meloni, F.; Pandolfi, L.; et al. Immune Response to BNT162b2 in Solid Organ Transplant Recipients: Negative Impact of Mycophenolate and High Responsiveness of SARS-CoV-2 Recovered Subjects against Delta Variant. Microorganisms 2021, 9, 2622. [Google Scholar] [CrossRef] [PubMed]
- Marinaki, S.; Adamopoulos, S.; Degiannis, D.; Roussos, S.; Pavlopoulou, I.D.; Hatzakis, A.; Boletis, I.N. Immunogenicity of SARS-CoV-2 BNT162b2 vaccine in solid organ transplant recipients. Am. J. Transplant. 2021, 21, 2913–2915. [Google Scholar] [CrossRef] [PubMed]
- Kamar, N.; Abravanel, F.; Marion, O.; Couat, C.; Izopet, J.; Del Bello, A. Three Doses of an mRNA Covid-19 Vaccine in Solid-Organ Transplant Recipients. N. Engl. J. Med. 2021, 385, 661–662. [Google Scholar] [CrossRef] [PubMed]
- Benotmane, I.; Gautier, G.; Perrin, P.; Olagne, J.; Cognard, N.; Fafi-Kremer, S.; Caillard, S. Antibody Response After a Third Dose of the mRNA-1273 SARS-CoV-2 Vaccine in Kidney Transplant Recipients with Minimal Serologic Response to 2 Doses. JAMA 2021, 326, 1063–1065. [Google Scholar] [CrossRef]
- Rozen-Zvi, B.; Yahav, D.; Agur, T.; Zingerman, B.; Ben-Zvi, H.; Atamna, A.; Tau, N.; Mashraki, T.; Nesher, E.; Rahamimov, R. Antibody response to SARS-CoV-2 mRNA vaccine among kidney transplant recipients: A prospective cohort study. Clin. Microbiol. Infect. 2021, 27, 1173.e1–1173.e4. [Google Scholar] [CrossRef]
- Bedino, G.; Esposito, P.; Bosio, F.; Corradetti, V.; Valsania, T.; Rocca, C.; Pattonieri, E.F.; Gregorini, M.; Rampino, T.; Canton, A.D. The role of therapeutic drug monitoring in the treatment of cytomegalovirus disease in kidney transplantation. Int. Urol. Nephrol. 2012, 45, 1809–1813. [Google Scholar] [CrossRef]
- Jordan, S.C.; Shin, B.-H.; Gadsden, T.-A.M.; Chu, M.; Petrosyan, A.; Vo, A.; Ammerman, N.; Sethi, S.; Najjar, R.; Huang, E.; et al. Divergent Immune Responses to SARS-CoV-2 Vaccines in Immunocompromised Patients. Transplantation 2022, 106, e90–e91. [Google Scholar] [CrossRef]
- Peng, Y.; Mentzer, A.J.; Liu, G.; Yao, X.; Yin, Z.; Dong, D.; Dejnirattisai, W.; Rostron, T.; Supasa, P.; Liu, C.; et al. Broad and strong memory CD4+ and CD8+ T cells induced by SARS-CoV-2 in UK convalescent individuals following COVID-19. Nat. Immunol. 2020, 21, 1336–1345. [Google Scholar] [CrossRef]
- Oberhardt, V.; Luxenburger, H.; Kemming, J.; Schulien, I.; Ciminski, K.; Giese, S.; Csernalabics, B.; Lang-Meli, J.; Janowska, I.; Staniek, J.; et al. Rapid and stable mobilization of CD8+ T cells by SARS-CoV-2 mRNA vaccine. Nature 2021, 597, 268–273. [Google Scholar] [CrossRef]
- Kalimuddin, S.; Tham, C.Y.L.; Qui, M.; de Alwis, R.; Sim, J.X.Y.; Lim, J.M.E.; Tan, H.-C.; Syenina, A.; Zhang, S.L.; Le Bert, N.; et al. Early T cell and binding antibody responses are associated with COVID-19 RNA vaccine efficacy onset. Med 2021, 2, 682–688.e4. [Google Scholar] [CrossRef] [PubMed]
- Percivalle, E.; Cambiè, G.; Cassaniti, I.; Nepita, E.V.; Maserati, R.; Ferrari, A.; Di Martino, R.; Isernia, P.; Mojoli, F.; Bruno, R.; et al. Prevalence of SARS-CoV-2 specific neutralising antibodies in blood donors from the Lodi Red Zone in Lombardy, Italy, as at 6 April 2020. Euro Surveill. 2020, 25, 2001031, Erratum in Euro Surveill. 2022, 27, 220120c1. [Google Scholar] [CrossRef] [PubMed]
- Cassaniti, I.; Percivalle, E.; Sarasini, A.; Cambiè, G.; Nepita, E.V.; Maserati, R.; Ferrari, A.; Corcione, A.; Di Martino, R.; Bonetti, A.; et al. Seroprevalence of SARS-CoV-2 in blood donors from the Lodi Red Zone and adjacent Lodi metropolitan and suburban area. Clin. Microbiol. Infect. 2021, 27, 914.e1–914.e4, Erratum in Clin. Microbiol. Infect. 2022, 28, 759. [Google Scholar] [CrossRef] [PubMed]
- Cassaniti, I.; Percivalle, E.; Bergami, F.; Piralla, A.; Comolli, G.; Bruno, R.; Vecchia, M.; Sambo, M.; Colaneri, M.; Zuccaro, V.; et al. SARS-CoV-2 specific T-cell immunity in COVID-19 convalescent patients and unexposed controls measured by ex vivo ELISpot assay. Clin. Microbiol. Infect. 2021, 27, 1029–1034. [Google Scholar] [CrossRef] [PubMed]
- Gregorini, M.; Del Fante, C.; Pattonieri, E.; Avanzini, M.; Grignano, M.; Cassaniti, I.; Baldanti, F.; Comolli, G.; Nocco, A.; Ramondetta, M.; et al. Photopheresis Abates the Anti-HLA Antibody Titer and Renal Failure Progression in Chronic Antibody-Mediated Rejection. Biology 2021, 10, 547. [Google Scholar] [CrossRef]
- Puchalska-Reglińska, E.; Dębska-Ślizień, A.; Biedunkiewicz, B.; Tylicki, P.; Polewska, K.; Jagodziński, P.; Rutkowski, B.; Gellert, R.; Tylicki, L. Extremely high mortality rates among hemodialysis patients with COVID-19 before the era of SARS-CoV-2 vaccination: Results from a large database from the North of Poland. Pol. Arch. Intern. Med. 2021, 131, 643–648. [Google Scholar] [CrossRef]
- Azzi, Y.; Bartash, R.; Scalea, J.; Loarte-Campos, P.; Akalin, E. COVID-19 and the Response of Transplant Centers: The Global Response with an Emphasis on the Kidney Recipient. Curr. Transplant. Rep. 2021, 8, 163–182. [Google Scholar] [CrossRef]
- Rampino, T.; Gregorini, M.; Perotti, L.; Ferrari, F.; Pattonieri, E.F.; Grignano, M.A.; Valente, M.; Garrone, A.; Islam, T.; Libetta, C.; et al. Hemoperfusion with CytoSorb as Adjuvant Therapy in Critically Ill Patients with SARS-CoV2 Pneumonia. Blood Purif. 2020, 50, 566–571. [Google Scholar] [CrossRef]
- Del Bello, A.; Abravanel, F.; Marion, O.; Couat, C.; Esposito, L.; Lavayssière, L.; Izopet, J.; Kamar, N. Efficiency of a boost with a third dose of anti-SARS-CoV-2 messenger RNA-based vaccines in solid organ transplant recipients. Am. J. Transplant. 2021, 22, 322–323. [Google Scholar] [CrossRef]
- Cavagna, L.; Seminari, E.; Zanframundo, G.; Gregorini, M.; Di Matteo, A.; Rampino, T.; Montecucco, C.; Pelenghi, S.; Cattadori, B.; Pattonieri, E.F.; et al. Calcineurin Inhibitor-Based Immunosuppression and COVID-19: Results from a Multidisciplinary Cohort of Patients in Northern Italy. Microorganisms 2020, 8, 977. [Google Scholar] [CrossRef]
- Chavarot, N.; Morel, A.; Leruez-Ville, M.; Villain, E.; Divard, G.; Burger, C.; Serris, A.; Sberro-Soussan, R.; Martinez, F.; Amrouche, L.; et al. Weak antibody response to 3 doses of mRNA vaccine in kidney transplant recipients treated with belatacept. Am. J. Transplant. 2021, 21, 4043–4051. [Google Scholar] [CrossRef]
- Bertrand, D.; Hamzaoui, M.; Lemée, V.; Lamulle, J.; Hanoy, M.; Laurent, C.; Lebourg, L.; Etienne, I.; Lemoine, M.; Le Roy, F.; et al. Antibody and T Cell Response to SARS-CoV-2 Messenger RNA BNT162b2 Vaccine in Kidney Transplant Recipients and Hemodialysis Patients. J. Am. Soc. Nephrol. 2021, 32, 2147–2152. [Google Scholar] [CrossRef] [PubMed]
- Noble, J.; Langello, A.; Bouchut, W.; Lupo, J.; Lombardo, D.; Rostaing, L. Immune Response Post-SARS-CoV-2 mRNA Vaccination in Kidney-Transplant Recipients Receiving Belatacept. Transplantation 2021, 105, e259–e260. [Google Scholar] [CrossRef] [PubMed]
- Hall, V.G.; Ferreira, V.; Kumar, D.; Humar, A. Impact of immunosuppression on the immune response to SARS-CoV-2 infection: A mechanistic study. Transpl. Infect. Dis. 2021, 23, e13743. [Google Scholar] [CrossRef] [PubMed]
- Mulley, W.R.; Dendle, C.; Ling, J.E.; Knight, S.R. Does vaccination in solid-organ transplant recipients result in adverse immunologic sequelae? A systematic review and meta-analysis. J. Heart Lung Transplant. 2018, 37, 844–852. [Google Scholar] [CrossRef] [Green Version]
- Russo, G.; Lai, Q.; Poli, L.; Perrone, M.P.; Gaeta, A.; Rossi, M.; Mastroianni, C.M.; Garofalo, M.; Pretagostini, R. SARS-COV-2 vaccination with BNT162B2 in renal transplant patients: Risk factors for impaired response and immunological implications. Clin. Transplant. 2022, 36, e14495. [Google Scholar] [CrossRef] [PubMed]
- Barda, N.; Dagan, N.; Cohen, C.; Hernán, M.A.; Lipsitch, M.; Kohane, I.S.; Reis, B.Y.; Balicer, R.D. Effectiveness of a third dose of the BNT162b2 mRNA COVID-19 vaccine for preventing severe outcomes in Israel: An observational study. Lancet 2021, 398, 2093–2100. [Google Scholar] [CrossRef]
- Saciuk, Y.; Kertes, J.; Stein, N.S.; Zohar, A.E. Effectiveness of a Third Dose of BNT162b2 mRNA Vaccine. J. Infect. Dis. 2022, 225, 30–33. [Google Scholar] [CrossRef]
- Efros, O.; Anteby, R.; Halfon, M.; Meisel, E.; Klang, E.; Soffer, S. Efficacy and Safety of Third Dose of the COVID-19 Vaccine among Solid Organ Transplant Recipients: A Systemic Review and Meta-Analysis. Vaccines 2022, 10, 95. [Google Scholar] [CrossRef]
- Tenforde, M.W.; Patel, M.M.; Gaglani, M.; Ginde, A.A.; Douin, D.J.; Talbot, H.K.; Casey, J.D.; Mohr, N.M.; Zepeski, A.; McNeal, T.; et al. Effectiveness of a Third Dose of Pfizer-BioNTech and Moderna Vaccines in Preventing COVID-19 Hospitalization Among Immunocompetent and Immunocompromised Adults—United States, August–December 2021. MMWR Morb. Mortal. Wkly. Rep. 2022, 71, 118–124. [Google Scholar] [CrossRef]
- Stima della Prevalenza delle Varianti VOC (Variant of Concern) e di Altre Varianti di SARS-CoV-2 in Italia. Available online: https://www.epicentro.iss.it/coronavirus/pdf/sars-cov-2-monitoraggio-varianti-indagini-rapide-17-gennaio-2022.pdf (accessed on 17 January 2022).
- Tylicki, L.; Dębska-Ślizień, A.; Muchlado, M.; Ślizień, Z.; Gołębiewska, J.; Dąbrowska, M.; Biedunkiewicz, B. Boosting Humoral Immunity from mRNA COVID-19 Vaccines in Kidney Transplant Recipients. Vaccines 2022, 10, 56. [Google Scholar] [CrossRef] [PubMed]
- Caillard, S.; Thaunat, O.; Benotmane, I.; Masset, C.; Blancho, G. Antibody Response to a Fourth Messenger RNA COVID-19 Vaccine Dose in Kidney Transplant Recipients: A Case Series. Ann. Intern. Med. 2022, 175, 455–456. [Google Scholar] [CrossRef] [PubMed]





| Variable | |
|---|---|
| Gender, N (%) | |
| male | 23 (51.1) |
| female | 22 (48.9) |
| Age, years | |
| mean (IQR) | 52.6 (47.2–60) |
| Cause of ESRD, N (%) | |
| glomerulonephritis | 15 (33.3) |
| hereditary nephropathy | 10 (22.2) |
| diabetes | 3 (6.6) |
| hypertension | 9 (20) |
| urological causes | 5 (11.1) |
| miscellaneous | 3 (6.6) |
| Transplant age (months) | |
| median (IQR) | 51 (26–78.5) |
| Immunosuppressive treatment, N (%) | |
| CNI | 42 (93.3) |
| - Tacrolimus | 37 (82.2) |
| - Cyclosporine | 5 (11.1) |
| mTORi | 14 (31.1) |
| antimetabolites | 30 (66.6) |
| steroid | 32 (71.1) |
| Dependent Variable | Independent Variable | Estimate β Coefficient | 95% Confidence Interval | p Value |
|---|---|---|---|---|
| S Trimeric (Log10BAU/mL) | Intercept | 3.442 | 1.774 to 5.110 | <0.001 |
| Age | −0.011 | −0.0374 to 0.015 | 0.401 | |
| Sex (F) | −0.022 | −0.669 to 0.624 | 0.944 | |
| Use of mycophenolate | −0.850 | −1.524 to −0.176 | 0.015 | |
| Use of steroid | −0.653 | −1.373 to 0.068 | 0.075 | |
| Nt Abs (Log10 titer) | Intercept | 3.009 | 1.709 to 4.310 | <0.001 |
| Age | −0.017 | −0.038 to 0.003 | 0.095 | |
| Sex (F) | −0.049 | −0.553 to 0.455 | 0.845 | |
| Use of mycophenolate | −0.436 | −0.962 to 0.089 | 0.101 | |
| Use of steroid | −0.406 | −0.968 to 0.156 | 0.152 | |
| Spike-specific T cells (Log10 Spots) | Intercept | 3.446 | 2.246 to 4.646 | <0.001 |
| Age | −0.032 | −0.051 to −0.013 | 0.002 | |
| Sex (F) | −0.088 | −0.532 to 0.356 | 0.689 | |
| Use of mycophenolate | 0.118 | −0.346 to 0.582 | 0.609 | |
| Use of steroid | −0.658 | −1.184 to −0.132 | 0.016 |
| Patient ID | Days * | IgG Abs | SARS-CoV-2 NT Abs | S-ELISpot | Symptoms | Therapy |
|---|---|---|---|---|---|---|
| #1 | 92 | neg | 1:10 | 10 | none | no |
| #2 | 117 | 125 | neg | na | cold hoarseness | molnupiravir |
| #3 | 103 | 113 | 1:10 | 15 | None | no |
| #4 | 106 | >2080 | 1:640 | 575 | cold muscolar pain | remdesivir |
| #5 | 100 | >2080 | 1:320 | 65 | cough | no |
| #6 | 96 | neg | neg | neg | cold | MAbs |
| #7 | 117 | neg | neg | neg | pneumonia, acute respiratory distress and acute kidney injury, | no |
| #8 | 110 | neg | neg | 10 | pneumonia, and acute kidney injury | no |
| #9 | 117 | neg | 1:40 | 15 | ageusia | MAbs |
| #10 | 130 | 183 | 1:40 | na | cough | no |
| #11 | 105 | neg | neg | 25 | cold, cough | MAbs |
Publisher’s Note: MDPI stays neutral with regard to jurisdictional claims in published maps and institutional affiliations. |
© 2022 by the authors. Licensee MDPI, Basel, Switzerland. This article is an open access article distributed under the terms and conditions of the Creative Commons Attribution (CC BY) license (https://creativecommons.org/licenses/by/4.0/).
Share and Cite
Cassaniti, I.; Gregorini, M.; Bergami, F.; Arena, F.; Sammartino, J.C.; Percivalle, E.; Soleymaninejadian, E.; Abelli, M.; Ticozzelli, E.; Nocco, A.; et al. Effect of a Third Dose of SARS-CoV-2 mRNA BNT162b2 Vaccine on Humoral and Cellular Responses and Serum Anti-HLA Antibodies in Kidney Transplant Recipients. Vaccines 2022, 10, 921. https://doi.org/10.3390/vaccines10060921
Cassaniti I, Gregorini M, Bergami F, Arena F, Sammartino JC, Percivalle E, Soleymaninejadian E, Abelli M, Ticozzelli E, Nocco A, et al. Effect of a Third Dose of SARS-CoV-2 mRNA BNT162b2 Vaccine on Humoral and Cellular Responses and Serum Anti-HLA Antibodies in Kidney Transplant Recipients. Vaccines. 2022; 10(6):921. https://doi.org/10.3390/vaccines10060921
Chicago/Turabian StyleCassaniti, Irene, Marilena Gregorini, Federica Bergami, Francesca Arena, Josè Camilla Sammartino, Elena Percivalle, Ehsan Soleymaninejadian, Massimo Abelli, Elena Ticozzelli, Angela Nocco, and et al. 2022. "Effect of a Third Dose of SARS-CoV-2 mRNA BNT162b2 Vaccine on Humoral and Cellular Responses and Serum Anti-HLA Antibodies in Kidney Transplant Recipients" Vaccines 10, no. 6: 921. https://doi.org/10.3390/vaccines10060921
APA StyleCassaniti, I., Gregorini, M., Bergami, F., Arena, F., Sammartino, J. C., Percivalle, E., Soleymaninejadian, E., Abelli, M., Ticozzelli, E., Nocco, A., Minero, F., Pattonieri, E. F., Lilleri, D., Rampino, T., & Baldanti, F. (2022). Effect of a Third Dose of SARS-CoV-2 mRNA BNT162b2 Vaccine on Humoral and Cellular Responses and Serum Anti-HLA Antibodies in Kidney Transplant Recipients. Vaccines, 10(6), 921. https://doi.org/10.3390/vaccines10060921

