A Chemometric Approach to Oxidative Stability and Physicochemical Quality of Raw Ground Chicken Meat Affected by Black Seed and Other Spice Extracts
Abstract
1. Introduction
2. Materials and Methods
2.1. Chemicals
2.2. Materials
2.3. Preparation of Spice Extracts
2.4. ABTS•+ Radical Scavenging Capacity of Spice Extracts
2.5. UPLC Analysis of Phenolic Compounds in Spice Extracts
2.6. Preparation of Meat Samples
2.7. Extraction of Lipid Fraction from Meat Samples
2.8. Lipid Oxidation Analysis
2.8.1. Analysis of CDs
2.8.2. Determination of TBARS
2.8.3. Hexanal Content
2.8.4. DSC Analysis
2.9. Protein Oxidation
2.10. Color Measurements
2.11. pH Determination
2.12. Microbiological Analysis
2.13. Sensory Analysis
2.14. Statistical Analysis
3. Results and Discussion
3.1. ABTS•+ Radical Scavenging Capacity and Phenolic Content of Spice Extracts
3.2. Lipid Oxidation
3.2.1. Content of CDs
3.2.2. TBARS
3.2.3. Hexanal Content
3.2.4. DSC Analysis
3.3. Protein Oxidation
3.4. Color and pH
3.5. Micobiological Analysis
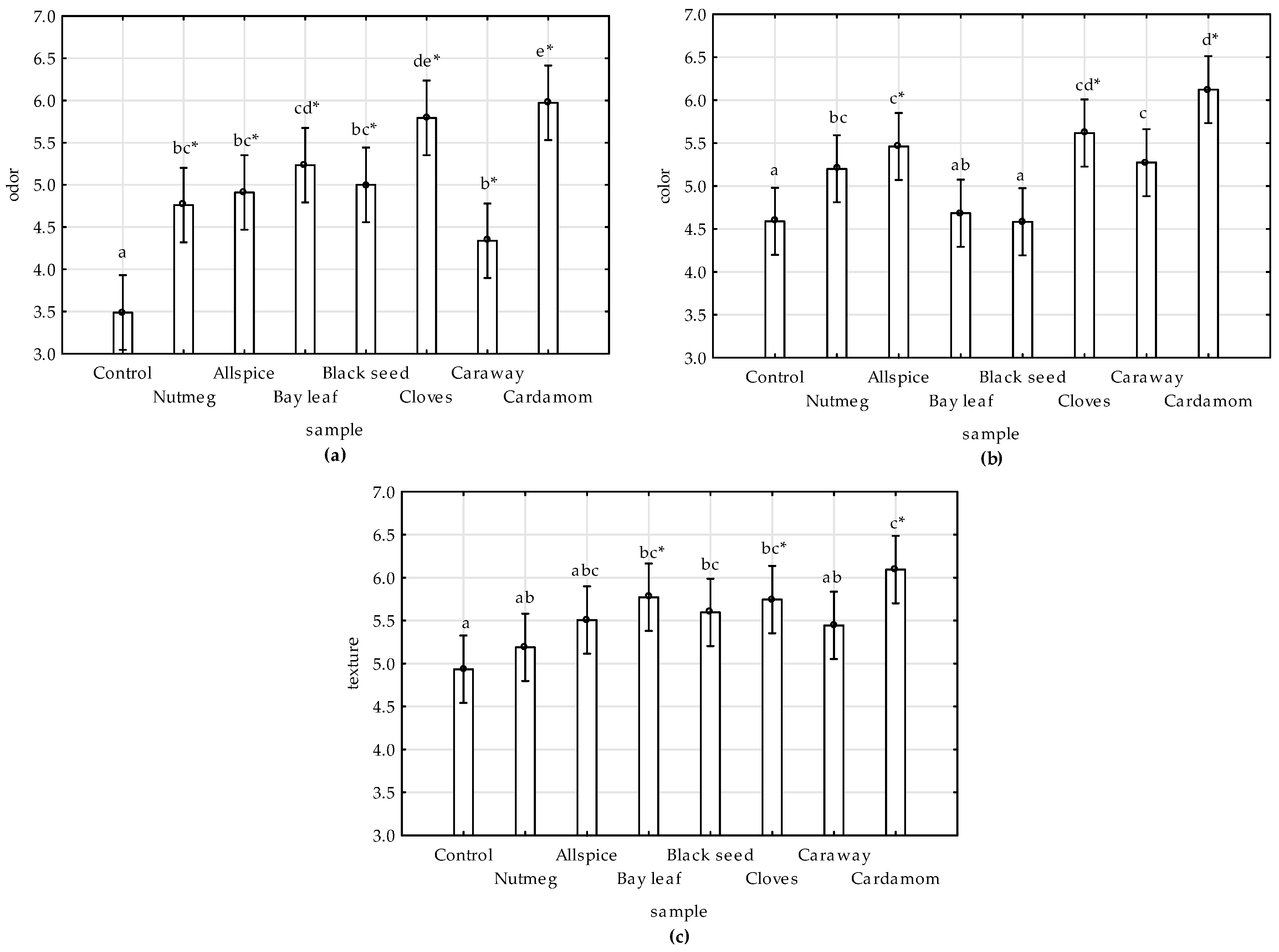
3.6. Sensory Analysis
3.7. Multivariate Analysis
4. Conclusions
Supplementary Materials
Author Contributions
Funding
Conflicts of Interest
References
- OECD; FAO. OECD-FAO Agricultural Outlook 2019–2028; OECD Publishing, Paris/Food and Agriculture Organization of the United Nations: Rome, Italy, 2019; ISBN 9789264312456. [Google Scholar]
- Magdelaine, P.; Spiess, M.P.; Valceschini, E. Poultry meat consumption trends in Europe. World’s Poult. Sci. J. 2008, 64, 53–63. [Google Scholar] [CrossRef]
- Marangoni, F.; Corsello, G.; Cricelli, C.; Ferrara, N.; Ghiselli, A.; Lucchin, L.; Poli, A. Role of poultry meat in a balanced diet aimed at maintaining health and wellbeing: An Italian consensus document. Food Nutr. Res. 2015, 59, 1–11. [Google Scholar] [CrossRef] [PubMed]
- Domínguez, R.; Pateiro, M.; Gagaoua, M.; Barba, F.J.; Zhang, W.; Lorenzo, J.M. A comprehensive review on lipid oxidation in meat and meat products. Antioxidants 2019, 8, 429. [Google Scholar] [CrossRef] [PubMed]
- Shen, M.M.; Zhang, L.L.; Chen, Y.N.; Zhang, Y.L.Y.L.; Han, H.L.; Niu, Y.; He, J.T.; Zhang, Y.L.Y.L.; Cheng, Y.F.; Wang, T. Effects of bamboo leaf extract on growth performance, meat quality, and meat oxidative stability in broiler chickens. Poult. Sci. 2019, 98, 6787–6796. [Google Scholar] [CrossRef]
- Falowo, A.B.; Fayemi, P.O.; Muchenje, V. Natural antioxidants against lipid-protein oxidative deterioration in meat and meat products: A review. Food Res. Int. 2014, 64, 171–181. [Google Scholar] [CrossRef]
- Muzolf-Panek, M.; Waśkiewicz, A.; Kowalski, R.; Konieczny, P. The effect of blueberries on the oxidative stability of pork meatloaf during chilled storage. J. Food Process. Preserv. 2016, 40, 899–909. [Google Scholar] [CrossRef]
- Pothakos, V.; Devlieghere, F.; Villani, F.; Björkroth, J.; Ercolini, D. Lactic acid bacteria and their controversial role in fresh meat spoilage. Meat Sci. 2015, 109, 66–74. [Google Scholar] [CrossRef]
- Radha Krishnan, K.; Babuskin, S.; Azhagu Saravana Babu, P.; Sasikala, M.; Sabina, K.; Archana, G.; Sivarajan, M.; Sukumar, M. Antimicrobial and antioxidant effects of spice extracts on the shelf life extension of raw chicken meat. Int. J. Food Microbiol. 2014, 171, 32–40. [Google Scholar] [CrossRef]
- Kaczmarek, A.M.; Muzolf-Panek, M.; Rudzińska, M.; Szablewski, T.; Cegielska-Radziejewska, R. The effect of plant extracts on pork quality during storage. Ital. J. Food Sci. 2017, 29, 644–656. [Google Scholar] [CrossRef]
- Chauhan, P.; Das, A.K.; Das, A.; Bhattacharya, D.; Nanda, P.K. Effect of Black Cumin and Arjuna Fruit Extract on Lipid Oxidation in Pork Nuggets during Refrigerated Storage. J. Meat Sci. 2018, 13, 73. [Google Scholar] [CrossRef]
- Babiker, E.E.; Al-Juhaimi, F.Y.; Alqah, H.A.; Adisa, A.R.; Adiamo, O.Q.; Mohamed Ahmed, I.A.; Alsawmahi, O.N.; Ghafoor, K.; Ozcan, M.M. The effect of Acacia nilotica seed extract on the physicochemical, microbiological and oxidative stability of chicken patties. J. Food Sci. Technol. 2019, 56, 3910–3920. [Google Scholar] [CrossRef] [PubMed]
- Muzolf-Panek, M.; Kaczmarek, A.; Tomaszewska-Gras, J.; Cegielska-Radziejewska, R.; Majcher, M. Oxidative and microbiological stability of raw ground pork during chilled storage as affected by Plant extracts. Int. J. Food Prop. 2019, 22, 111–129. [Google Scholar] [CrossRef]
- Barriuso, B.; Astiasarán, I.; Ansorena, D. A review of analytical methods measuring lipid oxidation status in foods: A challenging task. Eur. Food Res. Technol. 2013, 236, 1–15. [Google Scholar] [CrossRef]
- Xia, W.; Budge, S.M. Techniques for the Analysis of Minor Lipid Oxidation Products Derived from Triacylglycerols: Epoxides, Alcohols, and Ketones. Compr. Rev. Food Sci. Food Saf. 2017, 16, 735–758. [Google Scholar] [CrossRef]
- Muzolf-Panek, M.; Stuper-Szablewska, K. Comparison of the antioxidant potential and phenolic compounds of 13 selected herbs and spices: Effect of extraction conditions. Unpublished.
- Miller, N.J.; Rice-Evans, C.; Davies, M.J.; Gopinathan, V.; Milner, A. A novel method for measuring antioxidant capacity and its application to monitoring the antioxidant status in premature neonates. Clin. Sci. 1993, 84, 407–412. [Google Scholar] [CrossRef]
- Re, R.; Pellegrini, N.; Proteggente, A.; Pannala, A.; Yang, M.; Rice-Evans, C. Antioxidant activity applying an improved ABTS radical cation decolorization assay. Free Radic. Biol. Med. 1999, 26, 1231–1237. [Google Scholar] [CrossRef]
- Folch, J.; Lees, M.; Stanley, G.H.S. A simple method for the isolation and purification of total lipides from animal tisues. J. Biol. Chem. 1957, 226, 497–509. [Google Scholar]
- AOCS. Spectrophotometric Determination of Conjugated Dienoic Acid. In Official Methods and Recommended Practices of the American Oil Chemists’ Society; AOCS Press: Champaign, IL, USA, 2003; pp. 1–2. [Google Scholar]
- Mielnik, M.B.; Olsen, E.; Vogt, G.; Adeline, D.; Skrede, G. Grape seed extract as antioxidant in cooked, cold stored turkey meat. LWT Food Sci. Technol. 2006, 39, 191–198. [Google Scholar] [CrossRef]
- Schieberle, P.; Grosch, W. Quantitative analysis of aroma compounds in wheat and rye bread crusts using a stable isotope dilution assay. J. Agric. Food Chem. 1987, 35, 252–257. [Google Scholar] [CrossRef]
- ISO. ISO 11357-6 Plastics—Differential Scanning Calorimetry (DSC)—Part 6. Determination of Oxidation Induction Time (Isothermal OIT) and Oxidation Induction Temperature (Dynamic OIT), 3rd ed.; Polish Committee for Standardization: Warsaw, Poland, 2018. [Google Scholar]
- Ellman, G.L. Tissue sulfhydryl groups. Arch. Biochem. Biophys. 1959, 82, 70–77. [Google Scholar] [CrossRef]
- ISO. ISO 4833-1:2013 Microbiology of the Food Chain—Horizontal Method for the Enumeration of Microorganisms—Part 1: Colony Count At 30 Degrees C By The Pour Plate Technique Microbiology of the Food Chain—Horizontal Method for the Enumeration Of Micro; Polish Committee for Standardization: Warsaw, Poland, 2013. [Google Scholar]
- ISO. ISO 21528-2:2017 Microbiology of the Food Chain—Horizontal Method for the Detection And Enumeration of Enterobacteriaceae—Part 2: Colony-Count Technique; Polish Committee for Standardization: Warsaw, Poland, 2017. [Google Scholar]
- ISO. ISO 15214:1998 Microbiology of Food And Animal Feeding Stuffs—Horizontal Method for the Enumeration Of Mesophilic Lactic Acid Bacteria—Colony-Count Technique at 30 Degrees C; Polish Committee for Standardization: Warsaw, Poland, 1998. [Google Scholar]
- ISO. ISO 13720:2010 Meat and Meat Products—Enumeration of Presumptive Pseudomonas spp.; Polish Committee for Standardization: Warsaw, Poland, 2010. [Google Scholar]
- Nieto, G.; Martínez, L.; Castillo, J.; Ros, G. Hydroxytyrosol extracts, olive oil and walnuts as functional components in chicken sausages. J. Sci. Food Agric. 2017, 97, 3761–3771. [Google Scholar] [CrossRef] [PubMed]
- Saklar, S.; Ertas, E.; Ozdemir, I.S.; Karadeniz, B. Effects of different brewing conditions on catechin content and sensory acceptance in Turkish green tea infusions. J. Food Sci. Technol. 2015, 52, 6639–6646. [Google Scholar] [CrossRef] [PubMed]
- Berrueta, L.A.; Alonso-Salces, R.M.; Héberger, K. Supervised pattern recognition in food analysis. J. Chromatogr. A 2007, 1158, 196–214. [Google Scholar] [CrossRef]
- Przygodzka, M.; Zielińska, D.; Ciesarová, Z.; Kukurová, K.; Zieliński, H. Comparison of methods for evaluation of the antioxidant capacity and phenolic compounds in common spices. LWT Food Sci. Technol. 2014, 58, 321–326. [Google Scholar] [CrossRef]
- Vallverdú-Queralt, A.; Regueiro, J.; Martínez-Huélamo, M.; Rinaldi Alvarenga, J.F.; Leal, L.N.; Lamuela-Raventos, R.M. A comprehensive study on the phenolic profile of widely used culinary herbs and spices: Rosemary, thyme, oregano, cinnamon, cumin and bay. Food Chem. 2014, 154, 299–307. [Google Scholar] [CrossRef]
- Lu, M.; Yuan, B.; Zeng, M.; Chen, J. Antioxidant capacity and major phenolic compounds of spices commonly consumed in China. Food Res. Int. 2011, 44, 530–536. [Google Scholar] [CrossRef]
- Toma, C.C.; Olah, N.K.; Vlase, L.; Mogoşan, C.; Mocan, A. Comparative studies on polyphenolic composition, antioxidant and diuretic effects of Nigella sativa L. (black cumin) and Nigella damascena L. (Lady-in-a-Mist) seeds. Molecules 2015, 20, 9560–9574. [Google Scholar] [CrossRef]
- Chinprahast, N.; Boonying, J.; Popuang, N. Antioxidant activities of mamao luang (Antidesma thwaitesianum Müll. Arg.) fruit: Extraction and application in raw chicken patties. J. Food Sci. 2020, 85, 1–11. [Google Scholar] [CrossRef]
- Sampaio, G.R.; Saldanha, T.; Soares, R.A.M.; Torres, E.A.F.S. Effect of natural antioxidant combinations on lipid oxidation in cooked chicken meat during refrigerated storage. Food Chem. 2012, 135, 1383–1390. [Google Scholar] [CrossRef]
- Choe, J.; Kim, H.; Kim, C. Effect of Persimmon Peel (Diospyros kaki Thumb.) Extracts on Lipid and Protein Oxidation of Raw Ground Pork During Refrigerated Storage. Korean J. Food Sci. Anim. Resour. 2017, 37, 254–263. [Google Scholar] [CrossRef]
- Cagdas, E.; Kumcuoglu, S. Effect of grape seed powder on oxidative stability of precooked chicken nuggets during frozen storage. J. Food Sci. Technol. 2015, 52, 2918–2925. [Google Scholar] [CrossRef] [PubMed]
- Soyer, A.; Özalp, B.; Dalmış, Ü.; Bilgin, V. Effects of freezing temperature and duration of frozen storage on lipid and protein oxidation in chicken meat. Food Chem. 2010, 120, 1025–1030. [Google Scholar] [CrossRef]
- Özünlü, O.; Ergezer, H.; Gökçe, R. Improving physicochemical, antioxidative and sensory quality of raw chicken meat by using acorn extracts. LWT Food Sci. Technol. 2018, 98, 477–484. [Google Scholar] [CrossRef]
- Warriss, P.D. Meat Science: An Introductory Text; CABI Pubublications: Wallingford, UK, 2000; ISBN 0851994245. [Google Scholar]
- Martínez, L.; Ros, G.; Nieto, G. Effect of natural extracts obtained from food industry by-products on nutritional quality and shelf life of chicken nuggets enriched with organic Zn and Se provided in broiler diet. Poult. Sci. 2020, 99, 1491–1501. [Google Scholar] [CrossRef]
- Lynch, M.P.; Faustman, C. Effect of aldehyde lipid oxidation products on myoglobin. J. Agric. Food Chem. 2000, 48, 600–604. [Google Scholar] [CrossRef]
- Selani, M.M.; Contreras-Castillo, C.J.; Shirahigue, L.D.; Gallo, C.R.; Plata-Oviedo, M.; Montes-Villanueva, N.D. Wine industry residues extracts as natural antioxidants in raw and cooked chicken meat during frozen storage. Meat Sci. 2011, 88, 397–403. [Google Scholar] [CrossRef]
- Khan, I.A.; Xu, W.; Wang, D. Antioxidant potential of chrysanthemum morifolium flower extract on lipid and protein oxidation in goat meat patties during refrigerated storage. J. Food Sci. 2020, 85, 618–627. [Google Scholar] [CrossRef]
- Mir, N.A.; Rafiq, A.; Kumar, F.; Singh, V.; Shukla, V. Determinants of broiler chicken meat quality and factors affecting them: A review. J. Food Sci. Technol. 2017, 54, 2997–3009. [Google Scholar] [CrossRef] [PubMed]
- Stanimirova, I.; Daszykowski, M.; Walczak, B. Dealing with missing values and outliers in principal component analysis. Talanta 2007, 72, 172–178. [Google Scholar] [CrossRef] [PubMed]
- Wang, Z.; He, Z.; Gan, X.; Li, H. Interrelationship among ferrous myoglobin, lipid and protein oxidations in rabbit meat during refrigerated and superchilled storage. Meat Sci. 2018, 146, 131–139. [Google Scholar] [CrossRef] [PubMed]
- Chen, C.; Yu, Q.; Han, L.; Zhang, J.; Guo, Z. Effects of aldehyde products of lipid oxidation on the color stability and metmyoglobin reducing ability of bovine Longissimus muscle. Anim. Sci. J. 2018, 89, 810–816. [Google Scholar] [CrossRef] [PubMed]
- Zhou, F.; Jongberg, S.; Zhao, M.; Sun, W.; Skibsted, L.H. Iron(II) Initiation of Lipid and Protein Oxidation in Pork: The Role of Oxymyoglobin. J. Agric. Food Chem. 2016, 64, 4618–4626. [Google Scholar] [CrossRef] [PubMed]






| Extracts | TEAC (ABTS) µM/g | 
|---|---|
| Nutmeg | 44.80 ± 1.93 d | 
| Allspice | 815.37 ± 20.85 b | 
| Bay Leaf | 280.03 ± 21.51 c | 
| Black seed | 33.06 ± 2.79 de | 
| Cloves | 2495.85 ± 31.41 a | 
| Caraway | 35.37 ± 0.39 de | 
| Cardamom | 12.93 ± 0.46 e | 
| Phenolic Compounds | Nutmeg | Allspice | Bay Leaf | Black Seed | Cloves | Caraway | Cardamom | 
|---|---|---|---|---|---|---|---|
| protocatechuic acid | 0.23 a | 0.36 a | <LOD | 1.26 a | 79.57 c | 0.22 a | 12.57 b | 
| 2,5-dihydroxybenzoic acid | <LOD | <LOD | 16.52 d | 1.23 bc | 1.33 c | <LOD | 0.23 ab | 
| 4-hyrdoxybenzoic acid | 0.19 a | <LOD | 36.50 c | <LOD | 40.12 d | 10.69 b | 2.36 a | 
| gallic acid | 10.24 c | <LOD | <LOD | <LOD | 0.36 a | 0.16 a | 1.39 b | 
| syryngic acid | 10.84 c | 0.75 ab | 0.66 ab | 12.66 d | 1.22 b | <LOD | <LOD | 
| t-cinnamic acid | 3.95 b | 0.00 | 19.62 e | <LOD | 29.50 d | 6.58 c | 1.49 a | 
| caffeic acid | 2.30 a | <LOD | <LOD | <LOD | 52.90 b | 59.30 c | <LOD | 
| p-coumaric acid | <LOD | <LOD | <LOD | 29.54 b | 5.30 a | <LOD | <LOD | 
| ferulic acid | <LOD | <LOD | 0.23 a | <LOD | 2.10 b | <LOD | <LOD | 
| sinapic acid | 0.22 ab | 0.06 a | 1.95 d | 3.45 e | <LOD | 0.59 b | 1.46 c | 
| chlorogenic acid | 0.06 a | 0.49 a | 0.56 a | 0.37 a | 10.20 b | 0.11 a | 0.46 a | 
| total phenolic acids | 27.97 b | 1.16 a | 75.47 d | 48.14 c | 212.4 e | 77.52 d | 19.50 b | 
| eriodictyol | 0.26 a | <LOD | 0.45 b | <LOD | <LOD | 1.13 c | 0.22 a | 
| apigenin | 12.83 c | 0.36 a | 12.65 c | <LOD | 0.07 a | 0.06 a | 6.33 b | 
| luteolin | 0.23 a | 0.36 a | 10.54 b | 19.50 c | 0.06 a | 12.36 b | 27.50 d | 
| catechin | 57.20 b | 0.23 a | 1.26 a | <LOD | 0.39 a | <LOD | 1.68 a | 
| rutin | <LOD | 7.25 c | 1.95 b | 0.13 a | <LOD | <LOD | <LOD | 
| kaempferol | 0.44 a | 10.65 c | 0.11 a | 4.52 b | 0.05 a | 0.26 a | <LOD | 
| Storage Days | Control | Nutmeg | Allspice | Bay Leaf | Black Seed | Cloves | Caraway | Cardamom | 
|---|---|---|---|---|---|---|---|---|
| 0 | 10.13 ± 0.83 aA | 5.51 ± 0.23 cC | 3.84 ± 0.36 dB | 3.17 ± 0.77 dA | 1.69 ± 0.20 eA | 0.02 ± 0.01 fA | 3.83 ± 0.26 dAB | 6.69 ± 0.47 bB | 
| 3 | 17.20 ± 1.37 aB | 7.45 ± 0.28 dD | 5.99 ± 0.26 dC | 9.66 ± 0.95 cB | 2.29 ± 0.35 eAB | 0.16 ± 0.01 fB | 7.52 ± 1.64 dC | 11.71 ± 1.28 bC | 
| 5 | 19.28 ± 1.20 aB | 17.85 ± 1.52 aE | 0.32 ± 0.05 eA | 13.06 ± 2.46 bB | 3.14 ± 0.25 dBC | nd ± nd | 5.63 ± 2.05 cBC | 11.07 ± 1.49 bC | 
| 7 | 28.24 ± 2.62 aC | 20.93 ± 0.53 bF | nd ± nd | 21.29 ± 4.36 bC | 3.74 ± 0.29 dC | nd ± nd | 3.36 ± 0.89 deA | 8.68 ± 1.96 cB | 
| 10 | 39.17 ± 4.90 aD | 2.27 ± 0.64 bcB | nd ± nd | nd ± nd | 4.60 ± 0.35 bD | nd ± nd | nd ± nd | 0.85 ± 0.05 cA | 
| 12 | 9.63 ± 0.81 aA | 0.62 ± 0.20 cA | nd ± nd | nd ± nd | 6.01 ± 0.98 bE | nd ± nd | nd ± nd | 0.33 ± 0.21 cA | 
| Storage Days | Control | Nutmeg | Allspice | Bay Leaf | Black Seed | Cloves | Caraway | Cardamom | 
|---|---|---|---|---|---|---|---|---|
| pH | ||||||||
| 0 | 6.33 ± 0.01 cB | 6.35 ± 0.00 cD | 6.25 ± 0.01 bB | 6.35 ± 0.00 cBC | 6.24 ± 0.02 bB | 6.26 ± 0.00 bA | 6.33 ± 0.02 cB | 6.20 ± 0.02 aC | 
| 3 | 6.24 ± 0.01 cAB | 6.24 ± 0.02 cCD | 6.21 ± 0.01 bAB | 6.25 ± 0.00 cAB | 6.14 ± 0.01 aAB | 6.21 ± 0.01 bA | 6.24 ± 0.02 cAB | 6.12 ± 0.02 aB | 
| 5 | 6.10 ± 0.03 aA | 6.19 ± 0.06 bBC | 6.16 ± 0.02 bAB | 6.18 ± 0.02 bAB | 6.14 ± 0.01 abAB | 6.14 ± 0.02 abA | 6.19 ± 0.02 bAB | 6.10 ± 0.01 aB | 
| 7 | 6.17 ± 0.07 cAB | 6.02 ± 0.01 aA | 6.07 ± 0.01 abA | 6.12 ± 0.03 bcA | 6.09 ± 0.03 bA | 6.09 ± 0.02 bA | 6.13 ± 0.01 bcA | 6.03 ± 0.00 aA | 
| 10 | 7.32 ± 0.22 cC | 6.70 ± 0.17 bE | 6.75 ± 0.15 bC | 6.51 ± 0.18 abC | 6.67 ± 0.17 bC | 6.70 ± 0.21 bB | 6.82 ± 0.12 bD | 6.35 ± 0.03 aD | 
| 12 | 6.32 ± 0.11 cdB | 6.08 ± 0.01 aAB | 6.31 ± 0.16 bcdB | 6.26 ± 0.14 abcAB | 6.10 ± 0.01 aA | 6.20 ± 0.09 abcA | 6.49 ± 0.16 dC | 6.11 ± 0.03 abB | 
| L* | ||||||||
| 0 | 62.95 ± 0.75 eA | 60.26 ± 0.49 cdA | 58.95 ± 1.20 bcA | 57.78 ± 1.09 abA | 57.02 ± 0.19 aA | 56.40 ± 0.78 aC | 59.16 ± 1.03 bcA | 61.18 ± 0.89 dA | 
| 3 | 63.55 ± 0.61 gA | 61.10 ± 0.24 efAB | 59.19 ± 1.15 cdA | 58.43 ± 0.99 bcA | 57.66 ± 0.13 abAB | 56.54 ± 0.56 aC | 60.33 ± 0.91 deA | 62.01 ± 0.96 fA | 
| 5 | 63.40 ± 0.33 fA | 61.14 ± 0.43 dB | 58.99 ± 1.16 cA | 58.65 ± 0.72 cA | 57.48 ± 0.29 bBC | 56.30 ± 0.49 aC | 60.24 ± 0.68 deA | 62.09 ± 0.70 eA | 
| 7 | 62.96 ± 0.52 eA | 60.95 ± 0.45 dAB | 58.37 ± 0.79 bcA | 58.98 ± 0.59 cA | 57.53 ± 0.38 bAB | 55.46 ± 0.53 aBC | 60.20 ± 0.69 dA | 62.11 ± 0.50 eA | 
| 10 | 62.69 ± 0.74 fA | 60.99 ± 0.54 deAB | 57.45 ± 0.88 bA | 58.91 ± 0.63 cA | 58.05 ± 0.22 bcC | 54.59 ± 0.66 aAB | 60.29 ± 0.76 dA | 61.82 ± 0.47 efA | 
| 12 | 62.50 ± 0.92 eA | 61.11 ± 0.39 dAB | 57.33 ± 0.84 bA | 59.27 ± 0.49 cA | 58.61 ± 0.40 cD | 54.34 ± 0.36 aA | 60.64 ± 0.66 dA | 61.70 ± 0.43 deA | 
| a* | ||||||||
| 0 | 4.42 ± 0.20 deC | 4.98 ± 0.26 eB | 3.75 ± 0.39 cdA | 2.11 ± 0.27 bAB | 1.29 ± 0.20 aA | 6.07 ± 0.42 fA | 4.38 ± 0.57 deAB | 3.35 ± 0.57 cAB | 
| 3 | 6.21 ± 0.21 efE | 6.68 ± 0.20 fgD | 5.41 ± 0.32 cdD | 3.54 ± 0.71 bC | 2.41 ± 0.30 aC | 7.35 ± 0.36 gD | 5.90 ± 0.66 cdeC | 5.26 ± 0.72 cC | 
| 5 | 5.60 ± 0.08 cdD | 6.46 ± 0.16 eD | 5.21 ± 0.39 cdD | 3.26 ± 0.61 bC | 2.40 ± 0.22 aC | 7.28 ± 0.29 fCD | 5.77 ± 0.55 deC | 4.92 ± 0.66 cC | 
| 7 | 4.76 ± 0.13 cdC | 5.90 ± 0.15 eC | 4.92 ± 0.17 cdCD | 2.79 ± 0.53 bBC | 1.97 ± 0.17 aB | 7.15 ± 0.36 fCD | 5.28 ± 0.69 deBC | 4.29 ± 0.49 cBC | 
| 10 | 3.40 ± 0.27 bB | 5.05 ± 0.08 cB | 4.59 ± 0.26 cBC | 1.98 ± 0.40 aAB | 1.36 ± 0.24 aA | 6.70 ± 0.34 dBC | 4.39 ± 0.82 cAB | 3.18 ± 0.55 bA | 
| 12 | 2.85 ± 0.36 bA | 4.36 ± 0.15 cA | 4.30 ± 0.27 cB | 1.51 ± 0.42 aA | 0.96 ± 0.19 aA | 6.45 ± 0.13 dAB | 3.74 ± 0.66 cA | 2.77 ± 0.47 bA | 
| b* | ||||||||
| 0 | 13.11 ± 0.46 bcA | 13.87 ± 0.30 cdC | 10.84 ± 0.80 aA | 14.14 ± 0.46 dA | 10.15 ± 0.18 aA | 14.49 ± 0.97 dAB | 12.85 ± 0.37 bA | 13.03 ± 0.14 bcD | 
| 3 | 13.03 ± 0.38 bcA | 13.62 ± 0.18 cdBC | 10.98 ± 0.70 aA | 13.98 ± 0.34 dA | 10.55 ± 0.10 aCD | 15.01 ± 0.65 eB | 12.89 ± 0.33 bcA | 12.76 ± 0.12 bD | 
| 5 | 13.04 ± 0.44 bA | 13.50 ± 0.24 bcBC | 10.95 ± 1.04 aA | 13.95 ± 0.31 cdA | 10.59 ± 0.23 aD | 14.61 ± 0.45 dAB | 13.18 ± 0.34 bcA | 12.84 ± 0.18 bD | 
| 7 | 12.75 ± 0.46 bA | 13.14 ± 0.32 bcAB | 10.76 ± 0.78 aA | 13.73 ± 0.30 cdA | 10.26 ± 0.13 aAB | 14.07 ± 0.53 dAB | 13.11 ± 0.36 bcA | 12.53 ± 0.10 bBC | 
| 10 | 12.68 ± 0.35 bcA | 13.15 ± 0.37 cdAB | 10.54 ± 0.55 aA | 13.93 ± 0.15 eA | 10.19 ± 0.29 aAB | 13.84 ± 0.53 deA | 13.26 ± 0.42 cdeA | 12.46 ± 0.16 bAB | 
| 12 | 12.54 ± 0.29 bcA | 12.74 ± 0.25 cdA | 10.11 ± 0.31 aA | 13.77 ± 0.20 fA | 9.93 ± 0.24 aA | 13.46 ± 0.16 efA | 13.08 ± 0.24 deA | 12.22 ± 0.23 bA | 
| Storage Days | Control | Nutmeg | Allspice | Bay Leaf | Black Seed | Cloves | Caraway | Cardamom | 
|---|---|---|---|---|---|---|---|---|
| Total Viable Count (TVC) log cfu/g Meat | ||||||||
| 0 | 5.33 ± 0.35 bcA | 5.23 ± 0.22 bcA | 4.89 ± 0.28 aA | 5.44 ± 0.34 cA | 5.11 ± 0.27 abA | 5.09 ± 0.25 abA | 5.27 ± 0.18 bcA | 5.26 ± 0.13 bcA | 
| 3 | 6.94 ± 0.10 dB | 6.38 ± 0.20 aB | 6.83 ± 0.11 cdB | 6.66 ± 0.19 bcB | 7.25 ± 0.43 eB | 6.60 ± 0.18 bB | 6.99 ± 0.19 dB | 6.87 ± 0.04 cdB | 
| 5 | 8.57 ± 0.14 cdC | 8.28 ± 0.40 abcC | 8.29 ± 0.26 abcC | 8.51 ± 0.18 bcdC | 8.25 ± 0.22 abCc | 8.09 ± 0.10 aC | 8.21 ± 0.57 abC | 8.62 ± 0.20 dC | 
| 7 | 9.59 ± 0.19 eD | 9.38 ± 0.36cdeD | 9.53 ± 0.26 deD | 8.65 ± 0.23 aC | 8.96 ± 0.07 bD | 9.24 ± 0.20 bcdD | 9.16 ± 0.37 bcD | 9.25 ± 0.49 bcdD | 
| 10 | 9.64 ± 0.15 bD | 9.49 ± 0.22 abD | 9.67 ± 0.19 bDE | 9.11 ± 0.66 aD | 9.15 ± 0.33 aD | 9.45 ± 0.41 abD | 9.51 ± 0.16 abE | 9.65 ± 0.56 bE | 
| 12 | 9.78 ± 0.10 aD | 9.56 ± 0.30 aD | 9.93 ± 0.55 aE | 9.54 ± 0.42 aE | 9.56 ± 0.31 aE | 9.70 ± 1.05 aD | 9.86 ± 0.11 aF | 9.99 ± 0.67 aE | 
| Pseudomonas log cfu/g Meat | ||||||||
| 0 | 5.38 ± 0.21 abA | 5.24 ± 0.16 abA | 5.11 ± 0.23 aA | 5.31 ± 0.18 abA | 5.34 ± 0.16 abA | 5.39 ± 0.18 bA | 5.46 ± 0.35 bA | 5.48 ± 0.38 aA | 
| 3 | 7.44 ± 0.07 cB | 7.09 ± 0.38 bB | 7.47 ± 0.12 cB | 7.33 ± 0.08 cB | 7.31 ± 0.04 cB | 6.83 ± 0.14 aB | 7.33 ± 0.07 cB | 7.40 ± 0.11 cB | 
| 5 | 8.96 ± 0.18 cC | 8.31 ± 0.05 aC | 8.34 ± 0.17 aC | 8.35 ± 0.64 aC | 8.67 ± 0.21 bcC | 8.29 ± 0.24 aC | 8.44 ± 0.19 abC | 8.74 ± 0.15 cC | 
| 7 | 10.25 ± 0.15 cD | 9.21 ± 0.09 abD | 9.14 ± 0.24 abD | 9.50 ± 0.57 bD | 9.21 ± 0.51 abD | 9.25 ± 0.65 abD | 9.07 ± 0.09 aD | 9.89 ± 0.07 cD | 
| 10 | 10.32 ± 0.18 cD | 9.50 ± 0.32 aE | 9.31 ± 0.32 aD | 9.55 ± 0.55 aD | 9.57 ± 0.33 aE | 9.30 ± 0.17 aD | 9.44 ± 0.21 aE | 9.95 ± 0.07 bD | 
| 12 | 10.48 ± 0.09 dE | 10.07 ± 0.20 cF | 9.77 ± 0.33 abE | 9.62 ± 0.22 aD | 9.72 ± 0.46 abE | 9.75 ± 0.27 abE | 10.00 ± 0.09 bcF | 10.20 ± 0.15 cE | 
| Enterobacteriaceae log cfu/g Meat | ||||||||
| 0 | 3.96 ± 0.09 eA | 3.49 ± 0.10 bA | 3.84 ± 0.06 cdA | 3.35 ± 0.12 aA | 3.77 ± 0.16 cA | 3.58 ± 0.08 bA | 3.38 ± 0.12 aA | 3.89 ± 0.07 deA | 
| 3 | 5.01 ± 0.11 bB | 4.90 ± 0.14 bB | 4.95 ± 0.11 bB | 5.12 ± 0.09 bB | 5.00 ± 0.07 bB | 4.97 ± 0.10 bB | 4.59 ± 0.53 aB | 4.98 ± 0.13 bB | 
| 5 | 6.52 ± 0.10 eC | 6.00 ± 0.08 bC | 6.21 ± 0.12 cC | 6.44 ± 0.07 eC | 6.07 ± 0.03 bC | 5.85 ± 0.27 aC | 6.42 ± 0.11 deC | 6.30 ± 0.04 cdC | 
| 7 | 7.62 ± 0.17 dD | 7.09 ± 0.31 aD | 7.24 ± 0.16 abD | 7.33 ± 0.06 abcD | 7.14 ± 0.49 aD | 7.40 ± 0.09 bcdD | 7.51 ± 0.12 cdD | 7.42 ± 0.11 bcdD | 
| 10 | 7.83 ± 0.09 dE | 7.34 ± 0.15 aE | 7.45 ± 0.11 abcE | 7.54 ± 0.19 bcE | 7.38 ± 0.20 abE | 7.50 ± 0.08 abcD | 7.59 ± 0.15 cD | 7.51 ± 0.13 bcD | 
| 12 | 8.05 ± 0.37 bF | 7.51 ± 0.22 aE | 7.60 ± 0.26 aE | 7.66 ± 0.20 aE | 7.46 ± 0.15 aE | 7.56 ± 0.44 aD | 7.60 ± 0.17 aD | 7.66 ± 0.17 aE | 
| Lactic Acid Bacteria (LAB) log cfu/g Meat | ||||||||
| 0 | 3.73 ± 0.08 deA | 3.76 ± 0.12 deA | 3.69 ± 0.17 cdA | 3.55 ± 0.13 abA | 3.85 ± 0.10 eA | 3.59 ± 0.12 abcA | 3.50 ± 0.15 aA | 3.64 ± 0.11 bcdA | 
| 3 | 4.43 ± 0.12 dB | 3.81 ± 0.12 bA | 4.43 ± 0.19 dB | 3.88 ± 0.10 bcB | 4.36 ± 0.10 dB | 3.53 ± 0.18 aA | 3.50 ± 0.14 aA | 3.95 ± 0.10 cB | 
| 5 | 4.64 ± 0.18 dC | 4.46 ± 0.15 cB | 4.55 ± 0.13 cdB | 4.46 ± 0.11 cC | 4.51 ± 0.09 cdB | 3.93 ± 0.15 aB | 4.14 ± 0.18 bB | 4.50 ± 0.07 cdC | 
| 7 | 5.52 ± 0.15 dD | 5.20 ± 0.13 cC | 5.05 ± 0.13 bcC | 5.12 ± 0.10 cD | 5.20 ± 0.18 cC | 5.55 ± 0.23 dC | 4.75 ± 0.14 aC | 4.90 ± 0.20 abD | 
| 10 | 5.61 ± 0.32 deD | 5.26 ± 0.18 bcC | 5.19 ± 0.12 abC | 5.47 ± 0.41 cdeE | 5.37 ± 0.13 bcdC | 5.67 ± 0.20 eCD | 4.95 ± 0.30 aD | 5.38 ± 0.09 bcdE | 
| 12 | 5.93 ± 0.09 fE | 5.50 ± 0.22 bcD | 5.41 ± 0.16 bD | 5.70 ± 0.24 cdeF | 5.72 ± 0.30 deD | 5.81 ± 0.05 efD | 5.07 ± 0.15 aD | 5.58 ± 0.26 bcdF | 
| Root 1 | Root 2 | Root 3 | Root 4 | Root 5 | |
|---|---|---|---|---|---|
| TBARS | 0.192 | −0.193 | 0.110 | −0.219 | 0.423 | 
| hexanal content | 0.334 | −0.209 | −0.320 | 0.716 | −0.151 | 
| CD content | −0.569 | 1.150 | 0.633 | 0.637 | 0.987 | 
| SH content | −1.050 | 0.516 | 0.320 | −0.148 | 1.414 | 
| L*(D65) | 0.577 | −0.198 | 0.499 | −0.235 | 0.532 | 
| a*(D65) | −0.076 | 0.430 | 1.029 | −0.174 | −0.442 | 
| b*(D65) | 0.736 | 0.689 | −0.574 | −0.119 | 0.075 | 
| discrimination % | 49.68% | 33.52% | 12.71% | 2.60% | 1.35% | 
| cumulative % | 49.68% | 83.20% | 95.91% | 98.51% | 99.86% | 
© 2020 by the authors. Licensee MDPI, Basel, Switzerland. This article is an open access article distributed under the terms and conditions of the Creative Commons Attribution (CC BY) license (http://creativecommons.org/licenses/by/4.0/).
Share and Cite
Muzolf-Panek, M.; Kaczmarek, A.; Tomaszewska-Gras, J.; Cegielska-Radziejewska, R.; Szablewski, T.; Majcher, M.; Stuper-Szablewska, K. A Chemometric Approach to Oxidative Stability and Physicochemical Quality of Raw Ground Chicken Meat Affected by Black Seed and Other Spice Extracts. Antioxidants 2020, 9, 903. https://doi.org/10.3390/antiox9090903
Muzolf-Panek M, Kaczmarek A, Tomaszewska-Gras J, Cegielska-Radziejewska R, Szablewski T, Majcher M, Stuper-Szablewska K. A Chemometric Approach to Oxidative Stability and Physicochemical Quality of Raw Ground Chicken Meat Affected by Black Seed and Other Spice Extracts. Antioxidants. 2020; 9(9):903. https://doi.org/10.3390/antiox9090903
Chicago/Turabian StyleMuzolf-Panek, Małgorzata, Anna Kaczmarek, Jolanta Tomaszewska-Gras, Renata Cegielska-Radziejewska, Tomasz Szablewski, Małgorzata Majcher, and Kinga Stuper-Szablewska. 2020. "A Chemometric Approach to Oxidative Stability and Physicochemical Quality of Raw Ground Chicken Meat Affected by Black Seed and Other Spice Extracts" Antioxidants 9, no. 9: 903. https://doi.org/10.3390/antiox9090903
APA StyleMuzolf-Panek, M., Kaczmarek, A., Tomaszewska-Gras, J., Cegielska-Radziejewska, R., Szablewski, T., Majcher, M., & Stuper-Szablewska, K. (2020). A Chemometric Approach to Oxidative Stability and Physicochemical Quality of Raw Ground Chicken Meat Affected by Black Seed and Other Spice Extracts. Antioxidants, 9(9), 903. https://doi.org/10.3390/antiox9090903
 
        




 
                         
       