Phytochemical Composition, Antioxidant and Antiproliferative Activities of Defatted Sea Buckthorn (Hippophaë rhamnoides L.) Berry Pomace Fractions Consecutively Recovered by Pressurized Ethanol and Water
Abstract
1. Introduction
2. Materials and Methods
2.1. Chemicals and Cells
2.2. Proximate Analysis of Sea Buckthorn Pomace (SBP)
2.3. Sea Buckthorn Pomace Preparation and Extraction
2.4. Total Phenolic Content (TPC) and Antioxidant Capacity Evaluation Analysis
2.5. Analysis of Recovered Phytochemicals
2.5.1. HPLC-DPPH• Scavenging Online Analysis
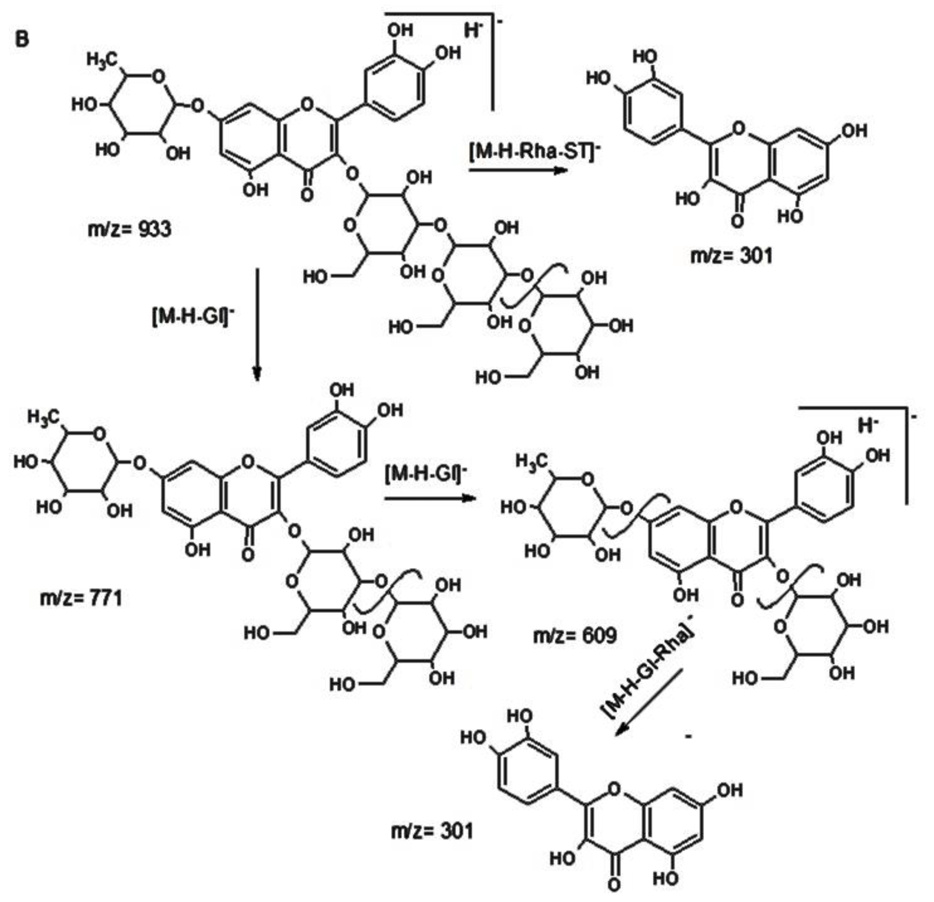
2.5.2. Composition and Content of Phytochemicals (UPLC-QTOF-MS)
2.6. Cell Culture and Sample Preparation
2.7. Cytotoxicity Assay in Caco-2 Cell Monolayer
2.8. Cellular Antioxidant Activity (CAA) Assay
2.9. Antiproliferation Assay
2.10. Statistical Data Handling
3. Results and Discussion
3.1. Proximate Analysis, Total Yield and Antioxidant Capacity of SBP Extracts
3.2. Composition and Content of Phytochemicals
3.3. Antiproliferative and Cytotoxic Effects of SBP Extracts
3.4. Cellular Antioxidant Activity of SBP Extracts
4. Conclusions
Author Contributions
Funding
Conflicts of Interest
References
- Gustavsson, J.; Cederberg, C.; Sonesson, U.; Otterdijk, R.V.; Meybeck, A. Global food losses and food waste. Food and Agricultural Organization of the United Nations Technical Report. 2011. Available online: http://www.fao.org/3/a-i2697e.pdf (accessed on 5 January 2020).
- Venskutonis, P.R. Berries. In Valorization of Fruit Processing By-Products, 1st ed.; Galanakis, C., Ed.; Academic Press: London, UK, 2020; pp. 95–126. [Google Scholar]
- Guliyev, V.B.; Gul, M.; Yildirim, A. Hippophae rhamnoides L.: Chromatographic methods to determine chemical composition, use in traditional medicine and pharmacological effects. J. Chromatogr. B 2004, 812, 291–307. [Google Scholar] [CrossRef]
- Bal, L.M.; Meda, V.; Naik, S.N.; Satya, S. Sea buckthorn berries: A potential source of valuable nutrients for nutraceuticals and cosmeceuticals. Food Res. Int. 2011, 44, 1718–1727. [Google Scholar] [CrossRef]
- Dong, R.; Su, J.; Nian, H.; Shen, H.; Zhai, X.; Xin, H.; Qin, L.; Han, T. Chemical fingerprint and quantitative analysis of flavonoids for quality control of Sea Buckthorn leaves by HPLC and UHPLC-ESI-QTOF-MS. J. Funct. Foods 2017, 37, 513–522. [Google Scholar] [CrossRef]
- Tian, Y.; Liimatainen, J.; Alanne, A.; Lindstedt, A.; Liu, P.; Sinkkonen, J.; Kallio, H.; Yang, B. Phenolic compounds extracted by acidic aqueous ethanol from berries and leaves of different berry plats. Food Chem. 2017, 220, 266–281. [Google Scholar] [CrossRef] [PubMed]
- Suryakumar, G.; Gupta, A. Medicinal and therapeutic potential of sea buckthorn (Hippophae rhamnoides L.). J. Ethnopharmacol. 2011, 138, 268–278. [Google Scholar] [CrossRef] [PubMed]
- Attri, S.; Goel, G. Influence of polyphenol rich sea buckthorn berries juice on release of polyphenols and colonic microbiota on exposure to simulated human digestion model. Food Res. Int. 2018, 111, 314–323. [Google Scholar] [CrossRef] [PubMed]
- Takai, Y.; Mori, D.; Sugai, A.; Sema, A.; Mitsuguchi, Y.; Sugano, E.; Tomita, H.; Kurose, T.; Honma, Y. Comparison of neuroprotective effects of oil-and water-soluble fractions of sea buckthorn juice against light-induced retinal degeneration in rats. Investig. Ophthalmol. Vis. Sci. 2018, 59, 2489. [Google Scholar]
- Górnaś, P.; Rudzińska, M. Seeds recovered from industry by-products of nine fruit species with a high potential utility as a source of unconventional oil for biodiesel and cosmetic and pharmaceutical sectors. Ind. Crops Prod. 2016, 83, 329–338. [Google Scholar] [CrossRef]
- Górnaś, P.; Soliven, A.; Seglina, D. Seed oils recovered from industrial fruit by-products are a rich source of tocopherols and tocotrienols: Rapid separation of homologues by RP-HPLC/FLD. Eur. J. Lipid Sci. Tech. 2015, 117, 773–777. [Google Scholar] [CrossRef]
- Górnaś, P.; Pugajeva, I.; Seglina, D. Seeds recovered from by-products of selected fruit processing as a rich source of tocochromanols: RP-HPLC/FLD and RP-UPLC-ESI/MSn study. Eur. Food Res. Technol. 2014, 239, 519–524. [Google Scholar] [CrossRef]
- Issartier, S.P.; Huma, Z.; Vian, M.A.; Chemat, F. Solvent free microwave-assisted extraction of antioxidants from sea buckthorn (Hippophae rhamnoides) food by-products. Food Bioproc. Tech. 2010, 6, 1020–1028. [Google Scholar]
- Varshneya, C.; Kant, V.; Mehta, M. Total phenolic contents and free radical scavenging activities of different extracts of sea buckthorn (Hippophae rhamnoides) pomace without seeds. Int. J. Food Sci. Nutr. 2012, 63, 153–159. [Google Scholar] [CrossRef] [PubMed]
- Kitrytė, V.; Povilaitis, D.; Kraujalienė, V.; Šulniūtė, V.; Pukalskas, A.; Venskutonis, P.R. Fractionation of sea buckthorn pomace and seeds into valuable components by using high pressure and enzyme-assisted extraction methods. LWT J. Food Sci. Technol. 2017, 85, 534–538. [Google Scholar] [CrossRef]
- Płotka-Wasylka, J.; Rutkowska, M.; Owczarek, K.; Tobiszewski, M.; Namieśnik, J. Extraction with environmentally friendly solvents. Trends Anal. Chem. 2017, 91, 12–25. [Google Scholar] [CrossRef]
- Belwal, T.; Ezzat, S.M.; Rastrelli, L.; Bhatt, I.D.; Daglia, M.; Baldi, A.; Devkota, H.P.; Orhan, I.E.; Patra, J.K.; Das, G.; et al. A critical analysis of extraction techniques used for botanicals: Trends, priorities, industrial uses and optimization strategies. Trends Anal. Chem. 2018, 100, 82–102. [Google Scholar] [CrossRef]
- Kryževičiūtė, N.; Kraujalis, P.; Venskutonis, P.R. Optimization of high pressure extraction processes for the separation of raspberry pomace into lipophilic and hydrophilic fractions. J. Supercrit. Fluids 2016, 108, 61–68. [Google Scholar] [CrossRef]
- Grunovaitė, L.; Pukalskienė, M.; Pukalskas, A.; Venskutonis, P.R. Fractionation of black chokeberry pomace into functional ingredients using high pressure extraction methods and evaluation of their antioxidant capacity and chemical composition. J. Funct. Foods. 2016, 24, 85–86. [Google Scholar] [CrossRef]
- Oktay Basegmez, H.I.; Povilaitis, D.; Kitrytė, V.; Kraujalienė, V.; Šulniūtė, V.; Alasalvar, C.; Venskutonis, P.R. Biorefining of blackcurrant pomace into high value functional ingredients using supercritical CO2, pressurized liquid and enzyme assisted extractions. J. Supercrit. Fluids 2017, 124, 10–19. [Google Scholar] [CrossRef]
- Kitrytė, V.; Laurinavičienė, A.; Syrpas, M.; Pukalskas, A.; Venskutonis, P.R. Modeling and optimization of supercritical carbon dioxide extraction for isolation of valuable lipophilic constituents from elderberry (Sambucus nigra L.) pomace. J. CO2 Util. 2020, 35, 225–235. [Google Scholar] [CrossRef]
- Liu, R.H. Health-promoting components of fruits and vegetables in the diet. Adv. Nutr. 2013, 4, 384S–392S. [Google Scholar] [CrossRef]
- López-Alarcón, C.; Denicola, A. Evaluating the antioxidant capacity of natural products: A review on chemical and cellular-based assays. Anal. Chim. Acta 2013, 763, 1–10. [Google Scholar] [CrossRef] [PubMed]
- Bender, C.; Graziano, S. Evaluation of the antioxidant activity of foods in human cells: Integrated study of biologically active antioxidants from Camellia Sinensis. Nutrafoods 2015, 14, 79–85. [Google Scholar] [CrossRef]
- Wolf, K.L.; Liu, R.H. Cellular antioxidant activity (CAA) assay for assessing antioxidants, foods, and dietary supplements. J. Agric. Food Chem. 2007, 55, 8896–8907. [Google Scholar] [CrossRef] [PubMed]
- Helrich, K. Official Methods of Analysis, 15th ed.; The Association of Official Analytical Chemists: Arlington, VA, USA, 1990; ISBN 0-935584-42-0. [Google Scholar]
- Dienaitė, L.; Pukalskienė, M.; Matias, A.A.; Pereira, C.V.; Pukalskas, A.; Venskutonis, P.R. Valorization of six Nepeta species by assessing the antioxidant potential, phytochemical composition and bioactivity of their extracts in cell cultures. J. Funct. Foods. 2018, 45, 512–522. [Google Scholar] [CrossRef]
- Silva, I.; Estrada, M.F.; Pereira, C.V.; da Silva, A.B.; Bronze, M.R.; Alves, P.M.; Duarte, C.M.M.; Brito, C.; Serra, A.T. Polymethoxylated flavones from orange peels inhibit cell proliferation in a 3D cell model of human colorectal cancer. Nutr. Cancer 2018, 70, 257–266. [Google Scholar] [CrossRef]
- Wolf, K.L.; Liu, R.H. Cellular antioxidant activity of common fruits. J. Agric. Food Chem. 2008, 56, 8418–8426. [Google Scholar] [CrossRef]
- Pereira, C.V.; Duarte, M.; Silva, P.; Bento da Silva, A.; Duarte, C.M.M.; Cifuentes, A.; García-Cañas, V.; Bronze, M.R.; Albuquerque, C.; Serra, A.T. polymethoxylated flavones target cancer stemness and improve the antiproliferative effect of 5-fluorouracil in a 3D cell model of colorectal cancer. Nutrients 2019, 11, 326. [Google Scholar] [CrossRef]
- Stobdan, T.; Korekar, G.; Srivastava, R.B. Nutritional attributes and health application of seabuckthorn (Hippophae rhamnoides L.)—A review. Curr. Res. Nutr. Food Sci. 2013, 9, 151–165. [Google Scholar] [CrossRef]
- Nuernberg, K.; Nuernberg, G.; Priepke, A.; Dannenberger, D. Sea buckthorn pomace supplementation in the finishing diets of pigs—Are there effects on meat quality and muscle fatty acids? Arch. Anim. Breed. 2015, 58, 107–113. [Google Scholar] [CrossRef]
- Pavlović, N.; Lendić, K.V.; Miškulin, M.; Moslavac, T.; Jokić, S. Supercritical CO2 extraction of sea buckthorn. Funct. Food Health Dis. 2016, 5, 55–61. [Google Scholar]
- Ben-Mahmoud, Z.; Mohamed, M.S.; Bláha, J.; Lukešová, D.; Kunc, P. The effect of sea buckthorn (Hippophae Rhamnoides L.) residues in compound feeds on the performance and skin colour of broilers. Indian J. Anim. Res. 2014, 48, 548–555. [Google Scholar] [CrossRef]
- Kaushal, M.; Sharma, P.C. Nutritional and antimicrobial property of sea buckthorn (Hippophae sp.) seed oil. J. Scient. Ind. Res. 2011, 70, 1033–1036. [Google Scholar]
- Yang, B.; Kallio, H.P. Fatty acid composition of lipids in sea buckthorn (Hippophae rhamnoides L.) berries of different origins. J. Agric. Food Chem. 2001, 49, 1939–1947. [Google Scholar] [CrossRef] [PubMed]
- Beveridge, T.; Li, T.S.C.; Oomah, B.D.; Smith, A. Sea buckthorn products: Manufacture and composition. J. Agric. Food Chem. 1999, 47, 3480–3488. [Google Scholar] [CrossRef] [PubMed]
- Zhang, Y.; Jiang, P.; Ye, M.; Kim, S.H.; Jiang, C.; Lü, J. Tanshinones: Sources, pharmacokinetics and anti-cancer activities. Int. J. Mol. Sci. 2012, 13, 13621–13666. [Google Scholar] [CrossRef] [PubMed]
- Dong, Y.; Morris-Natschke, S.L.; Lee, K.H. Biosynthesis, total syntheses, and antitumor activity of tanshinones and their analogs as potential therapeutic agents. Nat. Prod. Rep. 2011, 3, 529–542. [Google Scholar] [CrossRef]
- Friedrich, W.; Eberhardt, A.; Galensa, R. Investigation of proanthocyanidins by HPLC with electrospray ionization mass spectrometry. Eur. Food Res. Technol. 2000, 211, 56–64. [Google Scholar] [CrossRef]
- Rӧsch, D.; Krumbein, A.; Kroh, L.W. Antioxidant gallocatechins, dimeric and trimeric proanthocyanidins from sea buckthorn (Hippophae rhamnoides) pomace. Eur. Food Res. Technol. 2004, 219, 605–613. [Google Scholar] [CrossRef]
- Kallio, H.; Yang, W.; Liu, P.; Yang, B. Proanthocyanidins in wild sea buckthorn (Hippophaë rhamnoides) berries analyzed by RP-, NP- and hydrophilic interaction liquid chromatography with UV and MS detection. J. Agric. Food Chem. 2014, 62, 7721–7729. [Google Scholar] [CrossRef]
- Said, B.R.; Hamed, A.I.; Mahalel, U.A.; Al-Ayed, A.S.; Kowalczyk, M.; Moldoch, J.; Oleszek, W.; Stochmal, A. Tentative characterization of polyphenolic compounds in the male flowers of Phoenix dactylifera by liquid chromatography coupled with mass spectrometry and DFT. Int. J. Mol. Sci. 2017, 18, 512. [Google Scholar] [CrossRef]
- Farag, M.A.; Gad, H.A.; Heiss, A.G.; Wessjohann, L.A. Metabolomics driven analysis of six Nigella species seeds via UPLC-qTOF-MS and GC–MS coupled to chemometrics. Food Chem. 2014, 15, 333–342. [Google Scholar] [CrossRef]
- Arimboor, R.; Arumughan, C. HPLC-DAD-MS/MS profiling of antioxidant flavonoid glycosides in sea buckthorn (Hippophae rhamnoides L.) seeds. Int. J. Food Sci. Nutr. 2012, 63, 730–738. [Google Scholar]
- Rӧsch, D.; Krumbein, A.; Mügge, C.; Kroh, L.W. Structural investigations of flavonol glycosides from sea buckthorn (Hippophae rhamnoides) pomace by NMR spectroscopy and HPLC-ESI-MSn. J. Agric. Food Chem. 2004, 52, 4039–4046. [Google Scholar] [CrossRef]
- Llorach, R.; Gil-Izquierdo, A.; Ferreres, F.; Tomas-Barberan, F.A. HPLC-DAD-MS/MS ESI characterization of unusual highly glycosylated acylated flavonoids from cauliflower (Brassica oleracea L. var. botrytis) agroindustrial byproducts. J. Agric. Food Chem. 2003, 51, 3895–3899. [Google Scholar] [CrossRef] [PubMed]
- Yang, B.; Halttunen, T.; Raimo, O.; Price, K.; Kallio, H. Flavonol glycosides in wild and cultivated berries of three major subspecies of Hippophaë rhamnoides and changes during harvesting period. Food Chem. 2009, 115, 657–664. [Google Scholar] [CrossRef]
- Grey, C.; Widen, C.; Adlercreutz, P.; Rumpunen, K.; Duan, R.D. Antiproliferative effects of Sea buckthorn (Hippophaë rhamnoides L.) extracts on human colon and liver cancer cell lines. Food Chem. 2010, 120, 1004–1010. [Google Scholar] [CrossRef]
- Ma, X.; Laaksonen, O.; Zheng, J.; Yang, W.; Trépanier, M.; Kallio, H.; Yang, B. Flavonol glycosides in berries of two major subspecies of Sea buckthorn (Hippophaë rhamnoides L.) and influence of growth sites. Food Chem. 2016, 200, 189–198. [Google Scholar] [CrossRef] [PubMed]
- Guo, R.; Guo, X.; Li, T.; Fu, X.; Liu, R.H. Comparative assessment of phytochemical profiles, antioxidant and antiproliferative activities of Sea buckthorn (Hippophaë rhamnoides L.) berries. Food Chem. 2017, 221, 997–1003. [Google Scholar] [CrossRef] [PubMed]
- Tkacz, K.; Wojdyło, A.; Turkiewicz, I.P.; Bobak, Ł.; Nowicka, P. Anti-oxidant and anti-enzymatic activities of sea buckthorn (Hippophaë rhamnoides L.) fruits modulated by chemical components. Antioxid. Basel 2019, 8, 618. [Google Scholar] [CrossRef]
- Teleszko, M.; Wojdylo, A.; Rudzinska, M.; Oszmianski, J.; Golis, T. Analysis of lipophilic and hydrophilic bioactive compounds content in Sea buckthorn (Hippophaë rhamnoides L.) Berries. J. Agric. Food Chem. 2015, 63, 4120–4129. [Google Scholar] [CrossRef]
- Tiitinen, K.M.; Hakala, M.A.; Kallio, H.P. Quality components of sea buckthorn (Hippophae rhamnoides) varieties. J. Agric. Food Chem. 2005, 53, 1692–1699. [Google Scholar] [CrossRef] [PubMed]
- Rӧsch, D.; Bergmann, M.; Knorr, D.; Kroh, L.W. Structure-antioxidant efficiency relationships of phenolic compounds and their contribution to the antioxidant activity of Sea buckthorn juice. J. Agric. Food Chem. 2003, 51, 4233–4239. [Google Scholar] [CrossRef] [PubMed]
- Martins, J.T.; Ramos, Ó.L.; Pinheiro, A.C.; Bourbon, A.I.; Silva, H.D.; Rivera, M.C.; Cerqueira, M.A.; Pastrana, L.; Malcata, F.X.; González-Fernández, Á.; et al. Edible bio-based nanostructures: Delivery, absorption and potential toxicity. Food Eng. Rev. 2015, 7, 491–513. [Google Scholar] [CrossRef]
- Olas, B.; Skalski, B.; Ulanowska, K. The anticancer activity of sea buckthorn (Elaeagnus rhamnoides (L.) A. Nelson). Front. Pharmacol. 2018, 9, 232. [Google Scholar] [CrossRef] [PubMed]
- Zhamanbaeva, G.T.; Murzakhmetova, M.K.; Tuleukhanov, S.T.; Danilenko, M.P. Antitumor activity of ethanol extract from Hippophae rhamnoides L. leaves towards human acute myeloid leukemia cells in vitro. Exp. Biol. Med. 2014, 158, 252–255. [Google Scholar] [CrossRef]
- Wang, Y.; Nie, F.; Ouyang, J.; Wang, X.; Ma, X. Inhibitory effects of sea buckthorn procyanidins on fatty acid synthase and MDA-MB-231 cells. Tumour Biol. 2014, 35, 9563–9569. [Google Scholar] [CrossRef]
- Li, C.; Yang, X.; Chen, C.; Cai, S.; Hu, J. Isorhamnetin suppresses colon cancer cell growth through the PI3K Akt mTOR pathway. Mol. Med. Rep. 2014, 9, 935–940. [Google Scholar] [CrossRef]
- Li, Q.; Ren, F.Q.; Yang, C.L.; Zhou, L.M.; Liu, Y.Y.; Xiao, J.; Zhu, L.; Wang, Z.G. Anti-proliferation effects of isorhamnetin on lung cancer cells in vitro and in vivo. Asian Pac. J. Cancer Prev. 2015, 16, 3035–3042. [Google Scholar] [CrossRef]
- Kim, S.J.; Hwang, E.; Yi, S.S.; Song, K.D.; Lee, H.K.; Heo, T.H.; Park, S.K.; Jung, Y.J.; Jun, H.S. Sea buckthorn leaf extract inhibits glioma cell growth by reducing reactive oxygen species and promoting apoptosis. Appl. Biochem. Biotechnol. 2017, 182, 1663–1674. [Google Scholar] [CrossRef]
- Christaki, E. Hippophae rhamnoides L. (Sea Buckthorn): A potential source of nutraceuticals. Food Public Health 2012, 2, 69–72. [Google Scholar] [CrossRef]
- Yasukawa, K.; Kitanaka, S.; Kawata, K.; Goto, K. Anti-tumor promoters phenolics and triterpenoid from Hippophae rhamnoides. Fitoterapia 2009, 80, 164–167. [Google Scholar] [CrossRef] [PubMed]
- Lee, Y. Cancer chemopreventive potential of procyanidin. Toxicol. Res. 2017, 33, 273–282. [Google Scholar] [CrossRef] [PubMed]
- Li, Q.; Liu, C.; Li, T.; McClements, D.J.; Fu, Y.; Liu, J. Comparison of phytochemical profiles and antiproliferative activities of different proanthocyanidins fractions from Choerospondias axillaris fruit peels. Food Res. Int. 2018, 113, 298–308. [Google Scholar] [CrossRef] [PubMed]
- Nandakumar, V.; Singh, T.; Katiyar, S.K. Multi-targeted prevention and therapy of cancer by proanthocyanidins. Cancer Lett. 2008, 269, 378–387. [Google Scholar] [CrossRef]
- Mcdougall, G.J.; Ross, H.A.; Ikeji, M.; Stewart, D. Berry extracts exert different antiproliferative effects against cervical and colon cancer cells grown in vitro. J. Agric. Food Chem. 2008, 56, 3016–3023. [Google Scholar] [CrossRef]
- Cheah, K.Y.; Howarth, G.S.; Bindon, K.A.; Kennedy, J.A.; Bastian, S.E. Low molecular weight procyanidins from grape seeds enhance the impact of 5- fluorouracil chemotherapy on Caco-2 human colon cancer cells. PLoS ONE 2014, 9, e98921. [Google Scholar] [CrossRef]
- Wang, Y.; Han, A.; Chen, E.; Singh, R.K.; Chichester, C.O.; Moore, R.G.; Singh, A.P.; Vorsa, N. The cranberry flavonoids PAC DP-9 and quercetin aglycone induce cytotoxicity and cell cycle arrest and increase cisplatin sensitivity in ovarian cancer cells. Int. J. Oncol. 2015, 46, 1924–1934. [Google Scholar] [CrossRef]
- Ou, K.; Gu, L. Absorption and metabolism of proanthocyanidins. J. Funct. Foods 2014, 7, 43–53. [Google Scholar] [CrossRef]
- Delgado, L.; Fernandes, I.; González-Manzano, S.; de Freitas, V.; Mateus, N.; Santos-Buelga, C. Anti-proliferative effects of quercetin and catechin metabolites. Food Funct. 2014, 5, 797–803. [Google Scholar] [CrossRef]
- Tagashira, T.; Choshi, T.; Hibino, S.; Kamishikiryou, J.; Sugihara, N. Influence of gallate and pyrogallol moieties on the intestinal absorption of (−)-epicatechin and (−)-epicatechin gallate. J. Food Sci. 2012, 77, H208–H215. [Google Scholar] [CrossRef]
- Dinicola, S.; Cucina, A.; Pasqualato, A.; D’Anselmi, F.; Proietti, S.; Lisi, E.; Bizzarri, M. Antiproliferative and apoptotic effects triggered by Grape Seed Extract (GSE) versus epigallocatechin and procyanidins on colon cancer cell lines. Int. J. Mol. Sci. 2012, 13, 651–664. [Google Scholar] [CrossRef] [PubMed]
- Wang, X.; Bastow, K.F.; Sun, C.M.; Lin, Y.L.; Yu, H.J.; Don, M.J.; Wu, T.S.; Nakamura, S.; Lee, K.H. Antitumor Agents. 239. Isolation, structure elucidation, total synthesis, and anti-breast cancer activity of neo-tanshinlactone from Salvia miltiorrhiza. J. Med. Chem. 2004, 47, 5816–5819. [Google Scholar] [CrossRef] [PubMed]
- Guo, R.; Chang, X.; Guo, X.; Brennan, C.S.; Li, T.; Fu, X.; Liu, R.H. Phenolic compounds, antioxidant activity, antiproliferative activity and bioaccessibility of Sea buckthorn (Hippophaë rhamnoides L.) berries as affected by in vitro digestion. Food Funct. 2017, 8, 4229–4240. [Google Scholar] [CrossRef]
- Hervert-Hernández, D.; García, O.P.; Rosado, J.L.; Goñi, I. The contribution of fruits and vegetables to dietary intake of polyphenols and antioxidant capacity in a Mexican rural diet: Importance of fruit and vegetable variety. Food Res. Int. 2011, 44, 1182–1189. [Google Scholar] [CrossRef]
- Huang, D.; Ou, B.; Hampsch-Woodill, M.; Flanagan, J.A.; Deemer, E.K. Development and validation of oxygen radical absorbance capacity assay for lipophilic antioxidants using randomly methylated β-cyclodextrin as the solubility enhancer. J. Agric. Food Chem. 2002, 50, 1815–1821. [Google Scholar] [CrossRef] [PubMed]






| Assay | Material | SBP-E | SBP-W |
|---|---|---|---|
| ORAC, μM TE/g | DWE | 294.1 ± 6.53 a | 371.8 ± 8.31 b |
| DWP | 35.26 ± 2.41 a | 15.84 ± 0.75 b | |
| ABTS•+, μM TE/g | DWE | 268.5 ± 7.10 a | 323.9 ± 10.33 b |
| DWP | 32.19 ± 1.22 a | 13.80 ± 2.36 b | |
| DPPH•, μM TE/g | DWE | 102.3 ± 4.31 a | 205.0 ± 6.62 b |
| DWP | 12.27 ± 0.51 a | 8.73 ± 0.33 b | |
| TPC, mg GAE/g | DWE | 65.61 ± 4.80 a | 98.10 ± 2.01 b |
| DWP | 7.87 ± 0.31 a | 4.71 ± 0.43 b | |
| Yields, % | 11.91 ± 0.03 a | 4.80 ± 0.19 b |
| Peak No. | Compound | Abbrevation | Molecular Formula | tR (min) | m/z, [M − H]− | SBP-E | SBP-W | MS Fragments |
|---|---|---|---|---|---|---|---|---|
| 1 | Quinic acid a,d | QA | C7H12O6 | 0.3 | 191.0564 | + | + | 85; 93; 127; 173 |
| 2 | 7-(α-d-Glucopyranosyloxy)-2,3,4,5,6-pentahydroxyheptanoic acid b,c,d | - | C13H24O13 | 0.3 | 387.1145 | + | + | 179; 341 |
| 3 | Malic acid a,d | MA | C4H6O6 | 0.4 | 133.0144 | + | + | 89; 115; 133 |
| 4 | Citric acid a,d | CA | C6H8O7 | 0.5 | 191.0199 | − | + | 43; 71; 115 |
| 5 | Tanshinlactone derivative | TL | C17H12O3 | 0.5 | 263.0710 | + | + | 127; 153; 171; 217; 245 |
| 6 | (e)Gallocatechin-(e)Gallocatechin b,d | (e)GC-(e)GC | C30H26O14 | 0.7 | 609.1254 | − | + | 303; 305; 423; 441; 483; 591 |
| 7 | (e)Catechin-(e)Gallocatechin b,c,d | (e)C-(e)GC | C30H26O13 | 1.5 | 593.1295 | − | + | 289; 303; 407; 425; 467 285; 307; 429; 447 |
| 8 | (e)Catechin-(e)Catechin b,d | (e)C-(e)C | C30H26O12 | 1.7 | 577.1351 | + | + | 287; 289; 407; 425; 451 |
| 9 | Epigallocatechin a,b,d | EGC | C15H14O7 | 1.7 | 305.0665 | + | + | 137; 179; 287 |
| 10 | Unknown | - | C21H32O10 | 2.0 | 443.1919 | + | + | 153; 201 |
| 11 | Catechina,b,d | C | C15H14O6 | 2.1 | 289.0716 | + | + | 109; 125; 137;151; 165; 179; 245; 247; 271 |
| 12 | Unknown | - | C12H22O9 | 2.2 | 309.1190 | + | − | 97; 119; 161; 191; 263 |
| 13 | Unknown | - | C12H22O9 | 2.3 | 309.1193 | + | + | 97; 119; 161; 191; 263 |
| 14 | Epicatechin b,d | EC | C15H14O6 | 3.5 | 289.0719 | + | + | 109; 125; 137;151; 165; 179; 245; 247; 271 |
| 15 | Quercetin-3-sophorotrioside-7-rhamnoside b,c,d | Q-ST-Rha | C39H50O26 | 3.5 | 933.2503 | − | + | 301; 609; 771 |
| 16 | Quercetin-3-sophoroside-7-rhamnoside b,c,d | Q-3-S-7-Rha | C38H40O21 | 3.8 | 771.1991 | + | + | 301; 445; 625 |
| 17 | Unknown | - | C25H40O14 | 3.9 | 563.2342 | + | − | 191; 277; 517 |
| 18 | Penta-hexoside c,d | C17H32O12 | 4.0 | 427.1818 | + | + | 191; 249 | |
| 19 | Kaempferol-3-sophorotrioside-7-rhamnoside b,c,d | K-ST-Rha | C39H50O25 | 4.1 | 917.2557 | − | + | 285; 593; 755 |
| 20 | Kaempferol-3-sophoroside-7-rhamnoside b,c,d | K-3-S-7-Rha | C33H40O20 | 4.4 | 755.2044 | + | + | 285; 429; 609 |
| 21 | Isorhamnetin-3-sophoroside-7-rhamnoside b,c,d | I-3-S-7-Rha | C34H42O21 | 5.0 | 785.2147 | + | + | 315; 459; 639 |
| 22 | Kaempferol-3-glucoside-7-rhamnosideb,c,d | K-3-Gl-7-Rha | C27H30O15 | 7.4 | 593.1512 | + | − | 285 431; 477 |
| 23 | Rutin a,b,d | R | C27H30O16 | 7.4 | 609.1453 | + | − | 151; 179; 301; 463 |
| 24 | Q-3-hexoside b,c,d | - | C21H20O12 | 7.5 | 463.0890 | + | − | 151; 179; 301 |
| 25 | Isorhamnetin-glucoside-rhamnoside derivative b,c,d | I-Gl-Rha | C28H32O16 | 7.6 | 623.1619 | + | + | 315; 461; 477 |
| 26 | Isorhamnetin-glucoside-rhamnoside derivative b,c,d | I-Gl-Rha | C28H32O16 | 8.3 | 623.1623 | + | + | 315; 461; 477 |
| 27 | Isorhamnetin-3-glucoside b,c,d | I-3-Gl | C22H22O12 | 8.4 | 477.1040 | + | − | 285; 315 |
| 28 | Isorhamnetin a,b,d | IS | C16H12O7 | 10.7 | 315.0508 | + | + | 107; 151; 243; 300 |

| No. | Compound | R1 | R2 | R3 |
|---|---|---|---|---|
| 5 | Tanshinlactone | ![]() | - | - |
| 5 | Neo-tanshinlactone | - | ![]() | - |
| 15 | Q-3-ST-7-Rha | OH | ST | Rha |
| 16 | Q-3-S-7-Rha | OH | S | Rha |
| 19 | K-3-ST-7-Rha | H | ST | Rha |
| 20 | K-3-S-7-Rha | H | S | Rha |
| 21 | I-3-S-7-Rha | OCH3 | S | Rha |
| 22 | K-3-Gl-7-Rha | H | Gl | Rha |
| 23 | Rutin | OH | Rut | H |
| 25 | I-3-Gl-7-Rha | OCH3 | Gl | Rha |
| 25 | I-3-Gl-7-Rha | OCH3 | Gl | Rha |
| 27 | I-3-Gl | OCH3 | Gl | H |
| 28 | Isorhamnetin | OCH3 | H | H |
| Peak No. | Compounds | SBP-W | SBP-E | ||
|---|---|---|---|---|---|
| DWE | DWP | DWE | DWP | ||
| 1 | QA | 22020 ± 698.6 a | 1076 ± 9.82 * | 48839 ± 4331 b | 6111 ± 104.2 ‡ |
| 3 | MA | 28842 ± 35.30 a | 1402 ± 1.69 * | 22091 ± 70.83 b | 2648 ± 8.44 ‡ |
| 4 | CA | 138.4 ± 4.42 | 6.64 ± 0.21 | - | - |
| 5 | TL derivative g | 1906 ± 60.18 a | 91.52 ± 2.89 * | 515.9 ± 6.69 b | 61.45 ± 0.80 ‡ |
| 6 | (e)GC-(e)GC r | 43.94 ± 3.1 | 2.11 ± 0.49 | - | - |
| 7 | (e)C-(e)GC r | 118.0 ± 7.76 | 5.50 ± 0.40 | - | - |
| 8 | (e)C-(e)C r | 9.53 ± 0.62 a | 0.27 ± 0.03 * | 237.76 ± 4.92 b | 28.32 ± 0.59 ‡ |
| 9 | EGC | 400.5 ± 5.10 a | 19.23 ± 0.24 * | 238.8 ± 1.82 b | 28.44 ± 0.22 ‡ |
| 11 | C | 422.4 ± 10.16 a | 20.28 ± 1.18 * | 369.6 ± 17.67 b | 44.02 ± 2.10 ‡ |
| 14 | EC c | 150.8 ± 1.16 a | 6.76 ± 0.50 * | 123.2 ± 0.67 b | 14.67 ± 1.11 ‡ |
| 15 | Q-3-ST-7-Rha r | 149.9 ± 6.72 | 17.85 ± 0.80 | - | - |
| 16 | Q-3-S-7-Rha r | 646.7 ± 9.42 a | 31.04 ± 0.45 * | 1220 ± 39.53 b | 145.32 ± 4.71 ‡ |
| 19 | K-3-ST-7-Rha r | 64.39 ± 7.26 | 3.09 ± 0.35 | - | - |
| 20 | K-3-S-7-Rha r | 777.6 ± 14.13 a | 37.32 ± 0.68 * | 1739 ± 42.21 b | 207.2 ± 5.03 ‡ |
| 21 | I-3-S-7-Rha r | 520.9 ± 21.45 a | 25.00 ± 1.03 * | 1166 ± 26.80 b | 138.9 ± 3.19 ‡ |
| 22 | K-3-Gl-7-Rha r | - | - | 203.5 ± 5.42 | 24.24 ± 0.65 |
| 23 | R | - | - | 162.9 ± 7.44 | 19.41 ± 0.89 |
| 25 | I-Gl-Rha derivative r | 55.23 ± 3.75 a | 2.50 ± 0.29 * | 530.2 ± 10.76 b | 63.14 ± 1.28 ‡ |
| 26 | I-Gl-Rha derivative r | 145.2 ± 8.46 a | 6.66 ± 0.61 * | 539.4 ± 9.00 b | 64.24 ± 1.07 ‡ |
| 27 | I-3-Gl r | - | - | 139.8 ± 0.78 | 16.65 ± 0.09 |
| 28 | IS | 71.36 ± 0.64 a | 3.43 ± 0.03 * | 195.1 ± 4.12 b | 23.23 ± 0.49 ‡ |
© 2020 by the authors. Licensee MDPI, Basel, Switzerland. This article is an open access article distributed under the terms and conditions of the Creative Commons Attribution (CC BY) license (http://creativecommons.org/licenses/by/4.0/).
Share and Cite
Dienaitė, L.; Pukalskas, A.; Pukalskienė, M.; Pereira, C.V.; Matias, A.A.; Venskutonis, P.R. Phytochemical Composition, Antioxidant and Antiproliferative Activities of Defatted Sea Buckthorn (Hippophaë rhamnoides L.) Berry Pomace Fractions Consecutively Recovered by Pressurized Ethanol and Water. Antioxidants 2020, 9, 274. https://doi.org/10.3390/antiox9040274
Dienaitė L, Pukalskas A, Pukalskienė M, Pereira CV, Matias AA, Venskutonis PR. Phytochemical Composition, Antioxidant and Antiproliferative Activities of Defatted Sea Buckthorn (Hippophaë rhamnoides L.) Berry Pomace Fractions Consecutively Recovered by Pressurized Ethanol and Water. Antioxidants. 2020; 9(4):274. https://doi.org/10.3390/antiox9040274
Chicago/Turabian StyleDienaitė, Lijana, Audrius Pukalskas, Milda Pukalskienė, Carolina V. Pereira, Ana A. Matias, and Petras Rimantas Venskutonis. 2020. "Phytochemical Composition, Antioxidant and Antiproliferative Activities of Defatted Sea Buckthorn (Hippophaë rhamnoides L.) Berry Pomace Fractions Consecutively Recovered by Pressurized Ethanol and Water" Antioxidants 9, no. 4: 274. https://doi.org/10.3390/antiox9040274
APA StyleDienaitė, L., Pukalskas, A., Pukalskienė, M., Pereira, C. V., Matias, A. A., & Venskutonis, P. R. (2020). Phytochemical Composition, Antioxidant and Antiproliferative Activities of Defatted Sea Buckthorn (Hippophaë rhamnoides L.) Berry Pomace Fractions Consecutively Recovered by Pressurized Ethanol and Water. Antioxidants, 9(4), 274. https://doi.org/10.3390/antiox9040274



