Saffron Processing Wastes as a Bioresource of High-Value Added Compounds: Development of a Green Extraction Process for Polyphenol Recovery Using a Natural Deep Eutectic Solvent
Abstract
1. Introduction
2. Materials and Methods
2.1. Chemicals
2.2. Plant Material and Handling
2.3. DES Synthesis
2.4. Batch Stirred-Tank Extraction
2.5. Extraction Optimization with Response Surface Methodology (RSM)
2.6. Total Polyphenol Determination
2.7. Total Flavonoid Determination
2.8. Determination of the Antiradical Activity (AAR)
2.9. Determination of the Reducing Power (PR)
2.10. Liquid Chromatography Diode Array Mass Spectrometry (LC-DAD-MS)
2.11. High-Performance Liquid Chromatography Diode Array (HPLC-DAD)
2.12. Statistical Analysis
3. Results and Discussion
3.1. DES Synthesis and the Effect of HBD:HBA Molar Ratio ()
3.2. Assessment of the DES Extraction Efficiency
3.3. Optimisation of Extraction Performance
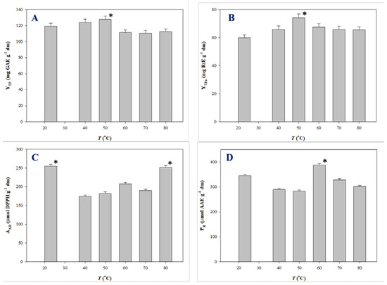
3.4. Temperature Effects
3.5. Polyphenolic Composition
4. Conclusions
Author Contributions
Funding
Acknowledgments
Conflicts of Interest
Nomenclature
| AAR | antiradical activity (μmol DPPH g−1) |
| PR | reducing power (μmol AAE g−1) |
| RL/S | liquid-to-solid ratio (mL g−1) |
| t | time (min) |
| T | temperature (°C) |
| YTFn | yield in total flavonoids (mg RtE g−1) |
| YTP | yield in total polyphenols (mg GAE g−1) |
| Abbreviations | |
| AAE | ascorbic acid equivalents |
| DES | deep eutectic solvents |
| DPPH | 2,2-diphenyl-1-picrylhydrazyl radical |
| GAE | gallic acid equivalents |
| HBA | hydrogen bond acceptor |
| HBD | hydrogen bond donor |
| TPTZ | 2,4,6-tripyridyl-s-triazine |
References
- Banerjee, J.; Singh, R.; Vijayaraghavan, R.; MacFarlane, D.; Patti, A.F.; Arora, A. Bioactives from fruit processing wastes: Green approaches to valuable chemicals. Food Chem. 2017, 225, 10–22. [Google Scholar] [CrossRef] [PubMed]
- Makris, D.P.; Boskou, D. Plant-Derived Antioxidants as Food Additives. In Plants as a Source of Natural Antioxidants; CABI Publ.: Oxfordshire, UK, 2014; pp. 169–190. [Google Scholar]
- Shahidi, F.; Varatharajan, V.; Oh, W.Y.; Peng, H. Phenolic compounds in agri-food by-products, their bioavailability and health effects. J. Food Bioact 2019, 5, 57–119. [Google Scholar] [CrossRef]
- Chemat, F.; Abert Vian, M.; Ravi, H.K.; Khadhraoui, B.; Hilali, S.; Perino, S.; Tixier, A.S.F. Review of alternative solvents for green extraction of food and natural products: Panorama, principles, applications and prospects. Molecules 2019, 24, 3007. [Google Scholar] [CrossRef] [PubMed]
- Florindo, C.; Lima, F.; Ribeiro, B.D.; Marrucho, I.M. Deep eutectic solvents: Overcoming XXI century challenges. Cur. Opin. Green Sustain. Chem. 2018. [Google Scholar] [CrossRef]
- Bubalo, M.C.; Vidović, S.; Redovniković, I.R.; Jokić, S. New perspective in extraction of plant biologically active compounds by green solvents. Food Bioprod. Process. 2018, 109, 52–73. [Google Scholar] [CrossRef]
- Li, Y.; Kunz, W.; Chemat, F. From Petroleum to Bio-Based Solvents: From Academia to Industry. In Plant Based “Green Chemistry 2.0”; Springer: Berlin/Heidelberg, Germany, 2019; pp. 51–87. [Google Scholar]
- Ghaffari, S.; Roshanravan, N. Saffron; An updated review on biological properties with special focus on cardiovascular effects. Biomed. Pharmacother. 2019, 109, 21–27. [Google Scholar] [CrossRef]
- Moratalla-López, N.; Bagur, M.J.; Lorenzo, C.; Salinas, M.; Alonso, G.L. Bioactivity and bioavailability of the major metabolites of Crocus sativus L. Flower. Molecules 2019, 24, 2827. [Google Scholar] [CrossRef]
- Ahmadian-Kouchaksaraie, Z.; Niazmand, R.; Najafi, M.N. Optimization of the subcritical water extraction of phenolic antioxidants from Crocus sativus petals of saffron industry residues: Box-Behnken design and principal component analysis. Innov. Food Sci. Emerg. Technol. 2016, 36, 234–244. [Google Scholar] [CrossRef]
- Da Porto, C.; Natolino, A. Extraction kinetic modelling of total polyphenols and total anthocyanins from saffron floral bio-residues: Comparison of extraction methods. Food Chem. 2018, 258, 137–143. [Google Scholar] [CrossRef]
- Ahmadian-Kouchaksaraie, Z.; Niazmand, R. Supercritical carbon dioxide extraction of antioxidants from Crocus sativus petals of saffron industry residues: Optimization using response surface methodology. J. Supercrit. Fluids 2017, 121, 19–31. [Google Scholar] [CrossRef]
- Lotfi, L.; Kalbasi-Ashtari, A.; Hamedi, M.; Ghorbani, F. Effects of enzymatic extraction on anthocyanins yield of saffron tepals (Crocus sativus) along with its color properties and structural stability. J. Food Drug Anal. 2015, 23, 210–218. [Google Scholar] [CrossRef]
- Mouratoglou, E.; Malliou, V.; Makris, D.P. Novel glycerol-based natural eutectic mixtures and their efficiency in the ultrasound-assisted extraction of antioxidant polyphenols from agri-food waste biomass. Waste Biomass Valorization 2016, 7, 1377–1387. [Google Scholar] [CrossRef]
- Lakka, A.; Karageorgou, I.; Kaltsa, O.; Batra, G.; Bozinou, E.; Lalas, S.; Makris, D. Polyphenol extraction from Humulus lupulus (hop) using a neoteric glycerol/L-alanine deep eutectic solvent: Optimisation, kinetics and the effect of ultrasound-assisted pretreatment. AgriEngineering 2019, 1, 403–417. [Google Scholar] [CrossRef]
- Bezerra, M.A.; Santelli, R.E.; Oliveira, E.P.; Villar, L.S.; Escaleira, L.A. Response surface methodology (RSM) as a tool for optimization in analytical chemistry. Talanta 2008, 76, 965–977. [Google Scholar] [CrossRef] [PubMed]
- Cicco, N.; Lanorte, M.T.; Paraggio, M.; Viggiano, M.; Lattanzio, V. A reproducible, rapid and inexpensive Folin–Ciocalteu micro-method in determining phenolics of plant methanol extracts. Microchem. J. 2009, 91, 107–110. [Google Scholar] [CrossRef]
- Manousaki, A.; Jancheva, M.; Grigorakis, S.; Makris, D. Extraction of antioxidant phenolics from agri-food waste biomass using a newly designed glycerol-based natural low-transition temperature mixture: A comparison with conventional eco-friendly solvents. Recycling 2016, 1, 194–204. [Google Scholar] [CrossRef]
- Paleologou, I.; Vasiliou, A.; Grigorakis, S.; Makris, D.P. Optimisation of a green ultrasound-assisted extraction process for potato peel (Solanum tuberosum) polyphenols using bio-solvents and response surface methodology. Biomass Convers. Biorefin. 2016, 6, 289–299. [Google Scholar] [CrossRef]
- Sadek, E.S.; Makris, D.P.; Kefalas, P. Polyphenolic composition and antioxidant characteristics of kumquat (Fortunella margarita) peel fractions. Plant Foods Hum. Nutr. 2009, 64, 297. [Google Scholar] [CrossRef]
- Bakirtzi, C.; Triantafyllidou, K.; Makris, D.P. Novel lactic acid-based natural deep eutectic solvents: Efficiency in the ultrasound-assisted extraction of antioxidant polyphenols from common native Greek medicinal plants. J. Appl. Res. Med. Aromat. Plants 2016, 3, 120–127. [Google Scholar] [CrossRef]
- Kottaras, P.; Koulianos, M.; Makris, D. Low-Transition temperature mixtures (LTTMs) made of bioorganic molecules: Enhanced extraction of antioxidant phenolics from industrial cereal solid wastes. Recycling 2017, 2, 3. [Google Scholar] [CrossRef]
- Cui, Q.; Liu, J.Z.; Wang, L.T.; Kang, Y.F.; Meng, Y.; Jiao, J.; Fu, Y.J. Sustainable deep eutectic solvents preparation and their efficiency in extraction and enrichment of main bioactive flavonoids from sea buckthorn leaves. J. Clean. Prod. 2018, 184, 826–835. [Google Scholar] [CrossRef]
- Huang, Y.; Feng, F.; Jiang, J.; Qiao, Y.; Wu, T.; Voglmeir, J.; Chen, Z.G. Green and efficient extraction of rutin from tartary buckwheat hull by using natural deep eutectic solvents. Food Chem. 2017, 221, 1400–1405. [Google Scholar] [CrossRef]
- Karageorgou, I.; Grigorakis, S.; Lalas, S.; Makris, D.P. Enhanced extraction of antioxidant polyphenols from Moringa oleifera Lam. leaves using a biomolecule-based low-transition temperature mixture. Eur. Food Res. Technol. 2017, 243, 1839–1848. [Google Scholar] [CrossRef]
- Athanasiadis, V.; Grigorakis, S.; Lalas, S.; Makris, D.P. Highly efficient extraction of antioxidant polyphenols from Olea europaea leaves using an eco-friendly glycerol/glycine deep eutectic solvent. Waste Biomass Valorization 2018, 9, 1985–1992. [Google Scholar] [CrossRef]
- Liu, Y.; Friesen, J.B.; McAlpine, J.B.; Lankin, D.C.; Chen, S.N.; Pauli, G.F. Natural deep eutectic solvents: Properties, applications, and perspectives. J. Nat. Prod. 2018, 81, 679–690. [Google Scholar] [CrossRef] [PubMed]
- Dai, Y.; Witkamp, G.J.; Verpoorte, R.; Choi, Y.H. Tailoring properties of natural deep eutectic solvents with water to facilitate their applications. Food Chem. 2015, 187, 14–19. [Google Scholar] [CrossRef] [PubMed]
- Shewale, S.; Rathod, V.K. Extraction of total phenolic content from Azadirachta indica or (neem) leaves: Kinetics study. Prep. Biochem. Biotechnol. 2018, 48, 312–320. [Google Scholar] [CrossRef]
- Adjé, F.; Lozano, Y.F.; Lozano, P.; Adima, A.; Chemat, F.; Gaydou, E.M. Optimization of anthocyanin, flavonol and phenolic acid extractions from Delonix regia tree flowers using ultrasound-assisted water extraction. Ind. Crop. Prod. 2010, 32, 439–444. [Google Scholar] [CrossRef]
- Vetal, M.D.; Lade, V.G.; Rathod, V.K. Extraction of ursolic acid from Ocimum sanctum leaves: Kinetics and modeling. Food Bioprod. Process. 2012, 90, 793–798. [Google Scholar] [CrossRef]
- Jancheva, M.; Grigorakis, S.; Loupassaki, S.; Makris, D.P. Optimised extraction of antioxidant polyphenols from Satureja thymbra using newly designed glycerol-based natural low-transition temperature mixtures (LTTMs). J. Appl. Res. Med. Aromat. Plants 2017, 6, 31–40. [Google Scholar] [CrossRef]
- Dedousi, M.; Mamoudaki, V.; Grigorakis, S.; Makris, D. Ultrasound-assisted extraction of polyphenolic antioxidants from olive (Olea europaea) leaves using a novel glycerol/sodium-potassium tartrate low-transition temperature mixture (LTTM). Environments 2017, 4, 31. [Google Scholar] [CrossRef]
- Slim, Z.; Jancheva, M.; Grigorakis, S.; Makris, D.P. Polyphenol extraction from Origanum dictamnus using low-transition temperature mixtures composed of glycerol and organic salts: Effect of organic anion carbon chain length. Chem. Eng. Commun. 2018, 205, 1494–1506. [Google Scholar] [CrossRef]
- Khiari, Z.; Makris, D.P.; Kefalas, P. An investigation on the recovery of antioxidant phenolics from onion solid wastes employing water/ethanol-based solvent systems. Food Bioprocess Technol. 2009, 2, 337. [Google Scholar] [CrossRef]
- Katsampa, P.; Valsamedou, E.; Grigorakis, S.; Makris, D.P. A green ultrasound-assisted extraction process for the recovery of antioxidant polyphenols and pigments from onion solid wastes using Box–Behnken experimental design and kinetics. Ind. Crop. Prod. 2015, 77, 535–543. [Google Scholar] [CrossRef]
- Patsea, M.; Stefou, I.; Grigorakis, S.; Makris, D.P. Screening of natural sodium acetate-based low-transition temperature mixtures (LTTMs) for enhanced extraction of antioxidants and pigments from red vinification solid wastes. Environ. Process. 2017, 4, 123–135. [Google Scholar] [CrossRef]
- Goupy, P.; Vian, M.A.; Chemat, F.; Caris-Veyrat, C. Identification and quantification of flavonols, anthocyanins and lutein diesters in tepals of Crocus sativus by ultra performance liquid chromatography coupled to diode array and ion trap mass spectrometry detections. Ind. Crop. Prod. 2013, 44, 496–510. [Google Scholar] [CrossRef]
- Tuberoso, C.I.; Rosa, A.; Montoro, P.; Fenu, M.A.; Pizza, C. Antioxidant activity, cytotoxic activity and metabolic profiling of juices obtained from saffron (Crocus sativus L.) floral by-products. Food Chem. 2016, 199, 18–27. [Google Scholar] [CrossRef]
- Cusano, E.; Consonni, R.; Petrakis, E.A.; Astraka, K.; Cagliani, L.R.; Polissiou, M.G. Integrated analytical methodology to investigate bioactive compounds in Crocus sativus L. flowers. Phytochem. Anal. 2018, 29, 476–486. [Google Scholar] [CrossRef]
- Serrano-Díaz, J.; Estevan, C.; Sogorb, M.Á.; Carmona, M.; Alonso, G.L.; Vilanova, E. Cytotoxic effect against 3T3 fibroblasts cells of saffron floral bio-residues extracts. Food Chem. 2014, 147, 55–59. [Google Scholar] [CrossRef]





| Independent Variables | Code Units | Coded Variable Level | ||
|---|---|---|---|---|
| −1 | −1 | −1 | ||
| CDES (%, w/v) | X1 | 55 | 70 | 85 |
| RL/S (mL g−1) | X2 | 20 | 40 | 60 |
| SS (rpm) | X3 | 200 | 500 | 800 |
| Solvent | YTP (mg GAE g−1 dm) | YTFn (mg RtE g−1 dm) | AAR (μmol DPPH g−1 dm) | PR (μmol AAE g−1 dm) |
|---|---|---|---|---|
| Water | 102.91 ± 2.57 | 49.77 ± 2.99 | 284.66 ± 5.69 | 136.14 ± 2.04 |
| 60% EtOH | 112.15 ± 2.80 | 53.98 ± 3.24 | 290.54 ± 5.81 | 137.18 ± 2.56 |
| 60% MeOH | 107.13 ± 2.68 | 54.86 ± 3.29 | 300.71 ± 6.01 | 129.05 ± 2.09 |
| DES | 120.50 ± 3.01 * | 61.27 ± 3.37 | 213.05 ± 4.26 | 144.66 ± 3.07 |
| Term | Standard Error | t Ratio | Probability > t | Sum of Squares | F Ratio |
|---|---|---|---|---|---|
| CDES | 1.237502 | 2.62 | 0.0472 * | 83.98080 | 6.8548 |
| RL/S | 1.237502 | 7.01 | 0.0009 * | 601.17781 | 49.0705 |
| SS | 1.237502 | 4.63 | 0.0057 * | 262.54861 | 21.4303 |
| CDES RL/S | 1.750093 | −2.92 | 0.0329 * | 104.65290 | 8.5422 |
| CDES SS | 1.750093 | −2.81 | 0.0374 * | 97.02250 | 7.9194 |
| RL/S SS | 1.750093 | −1.90 | 0.1165 | 44.02322 | 3.5934 |
| CDESCDES | 1.821554 | −1.56 | 0.1793 | 29.84188 | 2.4358 |
| RL/S RL/S | 1.821554 | 0.64 | 0.5475 | 5.09408 | 0.4158 |
| SS SS | 1.821554 | 0.49 | 0.6441 | 2.95488 | 0.2412 |
| Design Point | Independent Variables | Response (YTP, mg GAE g−1 dm) | |||
|---|---|---|---|---|---|
| X1 (CDES, % w/v) | X2 (RL/S, mL g−1) | X3 (SS, rpm) | Measured | Predicted | |
| 1 | −1 (55) | −1 (20) | 0 (500) | 93.36 | 96.63 |
| 2 | −1 (55) | 1 (60) | 0 (500) | 122.14 | 124.20 |
| 3 | 1 (85) | −1 (20) | 0 (500) | 115.40 | 113.34 |
| 4 | 1 (85) | 1 (60) | 0 (500) | 123.72 | 120.45 |
| 5 | 0 (70) | −1 (20) | −1 (200) | 100.43 | 99.68 |
| 6 | 0 (70) | −1 (20) | 1 (800) | 118.23 | 117.77 |
| 7 | 0 (70) | 1 (60) | −1 (200) | 123.19 | 123.65 |
| 8 | 0 (70) | 1 (60) | 1 (800) | 127.72 | 128.47 |
| 9 | −1 (55) | 0 (40) | −1 (200) | 102.00 | 99.48 |
| 10 | 1 (85) | 0 (40) | −1 (200) | 113.00 | 115.81 |
| 11 | −1 (55) | 0 (40) | 1 (800) | 123.60 | 120.79 |
| 12 | 1 (85) | 0 (40) | 1 (800) | 114.90 | 117.42 |
| 13 | 0 (70) | 0 (40) | 0 (500) | 116.25 | 115.32 |
| 14 | 0 (70) | 0 (40) | 0 (500) | 115.00 | 115.32 |
| 15 | 0 (70) | 0 (40) | 0 (500) | 114.72 | 115.32 |
| No | Rt (min) | UV-vis | [M + H]+ (m/z) | Fragment Ions (m/z) | Tentative Identity |
|---|---|---|---|---|---|
| Flavonols | |||||
| 1 | 21.08 | 265, 346 | 773 | 611, 449, 287 | Kaempferol 3-O-sophoroside 7-O-glucoside |
| 2 | 29.81 | 254, 351 | 627 | 303 | Quercetin 3-O-sophoroside |
| 3 | 32.63 | 265, 346 | 611 | 449, 287 | Kaempferol 3-O-sophoroside |
| 4 | 38.87 | 265, 352 | 449 | 287 | Kaempferol 3-O-glucoside |
| Anthocyanins | |||||
| 5 | 15.62 | 274, 523 | 627 | 465 | Delphinidin 3,5-di-O-glucoside |
| 6 | 18.72 | 272, 523 | 641 | 465 | Petunidin 3,5-di-O-glucoside |
| 7 | 20.08 | 271, 523 | 465 | 303 | Delphinidin 3-O-glucoside |
| Polyphenol | Content (mg g−1 dm) ± sd |
|---|---|
| Flavonols | |
| Kaempferol 3-O-sophoroside 7-O-glucoside | 3.92 ± 0.27 |
| Quercetin 3-O-sophoroside | 3.55 ± 0.25 |
| Kaempferol 3-O-sophoroside | 36.43 ± 2.55 |
| Kaempferol 3-O-glucoside | 1.82 ± 0.13 |
| Total | 45.72 |
| Anthocyanins | |
| Delphinidin 3,5-di-O-glucoside | 6.28 ± 0.44 |
| Petunidin 3,5-di-O-glucoside | 1.08 ± 0.08 |
| Delphinidin 3-O-glucoside | 0.70 ± 0.05 |
| Total | 8.06 |
| Sum | 53.79 |
© 2019 by the authors. Licensee MDPI, Basel, Switzerland. This article is an open access article distributed under the terms and conditions of the Creative Commons Attribution (CC BY) license (http://creativecommons.org/licenses/by/4.0/).
Share and Cite
Lakka, A.; Grigorakis, S.; Karageorgou, I.; Batra, G.; Kaltsa, O.; Bozinou, E.; Lalas, S.; Makris, D.P. Saffron Processing Wastes as a Bioresource of High-Value Added Compounds: Development of a Green Extraction Process for Polyphenol Recovery Using a Natural Deep Eutectic Solvent. Antioxidants 2019, 8, 586. https://doi.org/10.3390/antiox8120586
Lakka A, Grigorakis S, Karageorgou I, Batra G, Kaltsa O, Bozinou E, Lalas S, Makris DP. Saffron Processing Wastes as a Bioresource of High-Value Added Compounds: Development of a Green Extraction Process for Polyphenol Recovery Using a Natural Deep Eutectic Solvent. Antioxidants. 2019; 8(12):586. https://doi.org/10.3390/antiox8120586
Chicago/Turabian StyleLakka, Achillia, Spyros Grigorakis, Ioanna Karageorgou, Georgia Batra, Olga Kaltsa, Eleni Bozinou, Stavros Lalas, and Dimitris P. Makris. 2019. "Saffron Processing Wastes as a Bioresource of High-Value Added Compounds: Development of a Green Extraction Process for Polyphenol Recovery Using a Natural Deep Eutectic Solvent" Antioxidants 8, no. 12: 586. https://doi.org/10.3390/antiox8120586
APA StyleLakka, A., Grigorakis, S., Karageorgou, I., Batra, G., Kaltsa, O., Bozinou, E., Lalas, S., & Makris, D. P. (2019). Saffron Processing Wastes as a Bioresource of High-Value Added Compounds: Development of a Green Extraction Process for Polyphenol Recovery Using a Natural Deep Eutectic Solvent. Antioxidants, 8(12), 586. https://doi.org/10.3390/antiox8120586

