Inhibitory Effects and Mechanisms of Volatile Organic Compounds from Schizophyllum commune Against the Pepper Gummosis Pathogen Fusarium tricinctum
Abstract
1. Introduction
2. Materials and Methods
2.1. Strains and Reagents
2.2. Antifungal Assay of S. commune VOCs
2.3. VOC Composition Analysis
2.4. Half-Maximal Effective Concentration (EC50) Determination of 1-Octen-3-ol
2.5. Antifungal Assay of 1-Octen-3-ol and Mycelium Collection
2.6. Determination of Alkaline Phosphatase (AKP) and β-1,3-Glucanase Activities
2.7. Determination of Conductivity, Protein and Nucleic Acid Leakage
2.8. Determination of Redox Balance-Related Indicators
2.9. Statistical Analysis
3. Results
3.1. Antifungal Activity of Volatile Compounds from S. commune HJ-18
3.2. Identification of VOCs from S. commune HJ-18
3.3. Calculation of the EC50 Concentration for 1-Octen-3-ol
3.4. Inhibitory Effect of 1-Octen-3-ol on F. tricinctum
3.5. Effect of 1-Octen-3-ol on AKP and β-1, 3-Glucanase Activities
3.6. Effects of 1-Octen-3-ol on the Electrical Conductivity, Nucleic Acid, and Protein Leakage in F. tricinctum
3.7. Effects of 1-Octen-3-ol on the O2− Production Rate, and the Contents of H2O2 and ·OH in F. tricinctum
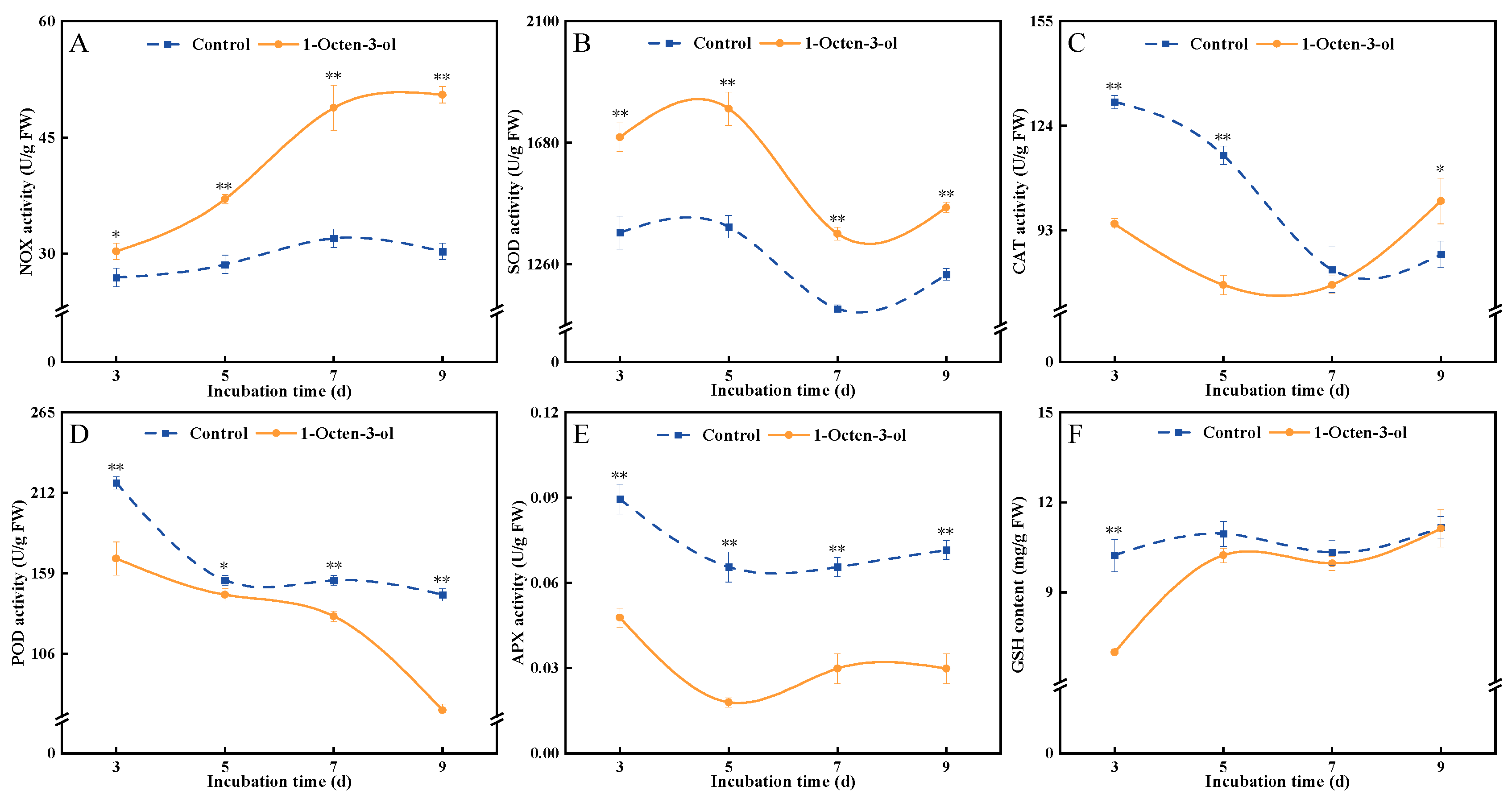
3.8. Effects of 1-Octen-3-ol on the Antioxidant Levels in F. tricinctum
4. Discussion
5. Conclusions
Author Contributions
Funding
Institutional Review Board Statement
Informed Consent Statement
Data Availability Statement
Conflicts of Interest
References
- Liang, W.Y.; Yang, H.Y.; Lei, H.X.; Xiang, Z.B.; Duan, Y.Q.; Xin, H.L.; Han, T.; Su, J. Phytochemistry and health functions of Zanthoxylum bungeanum Maxim and Zanthoxylum schinifolium Sieb. et Zucc as pharma-foods: A systematic review. Trends Food Sci. Tech. 2024, 143, 104225. [Google Scholar] [CrossRef]
- Feng, J.L.; Deng, S.Q.; Zhao, D.; Gao, C.X.; Han, Y.; Zhang, Y.; Chen, H.Y.; Li, W. Study on the occurrence characteristics and control techniques of gummosis in Zanthoxylum bungeanum on the Qinghai Plateau. J. Fungi 2025, 11, 860. [Google Scholar] [CrossRef] [PubMed]
- Dong, Y.; Song, J.; Li, S.Y.; Zhan, J.S.; Zhu, T.H. Development and comparative evaluation of LAMP, nested PCR and Real-time PCR assays for detecting Fusarium tricinctum, a fungal pathogen of Zanthoxylum bungeanum. BMC Microbiol. 2025, 25, 568. [Google Scholar] [CrossRef] [PubMed]
- Zhao, J.T.; He, J.; Ding, D.D.; Li, Y.X.; Hou, C.X.; Zhao, Q. Isolation, identification and biocontrol mechanism of antagonistic fungus against Chinese pepper gummosis. Acta Agric. Zhejiangensis 2024, 36, 373–382. (In Chinese) [Google Scholar] [CrossRef]
- Zubrod, J.P.; Bundschuh, M.; Arts, G.; Brühl, C.A.; Imfeld, G.; Knäbel, A.; Payraudeau, S.; Rasmussen, J.J.; Rohr, J.; Scharmüller, A.; et al. Fungicides: An overlooked pesticide class? Environ. Sci. Technol. 2019, 53, 3347–3365. [Google Scholar] [CrossRef]
- Brilli, F.; Loreto, F.; Baccelli, I. Exploiting plant volatile organic compounds (VOCs) in agriculture to improve sustainable defense strategies and productivity of crops. Front. Plant Sci. 2019, 10, 264. [Google Scholar] [CrossRef]
- Rao, Y.; Zeng, L.; Jiang, H.; Mei, L.; Wang, Y. Trichoderma atroviride LZ42 releases volatile organic compounds promoting plant growth and suppressing Fusarium wilt disease in tomato seedlings. BMC Microbiol. 2022, 22, 88. [Google Scholar] [CrossRef]
- Tahir, H.A.S.; Gu, Q.; Wu, H.; Raza, W.; Safdar, A.; Huang, Z.Y.; Rajer, F.U.; Gao, X.W. Effect of volatile compounds produced by Ralstonia solanacearum on plant growth promoting and systemic resistance inducing potential of bacillus volatiles. BMC Plant Biol. 2017, 17, 133. [Google Scholar] [CrossRef]
- Inamdar, A.A.; Morath, S.; Bennett, J.W. Fungal Volatile Organic Compounds: More Than Just a Funky Smell? Annu. Rev. Microbiol. 2020, 74, 101–116. [Google Scholar] [CrossRef]
- Ling, L.; Feng, L.; Li, Y.; Yue, R.; Wang, Y.; Zhou, Y. Endophytic fungi volatile organic compounds as crucial biocontrol agents used for controlling fruit and vegetable postharvest diseases. J. Fungi 2024, 10, 332. [Google Scholar] [CrossRef]
- Zhang, Y.; Wu, L.; Lu, Y.; Li, B.; Jin, Z.; Wang, J.; Bai, R.; Wu, Q.; Fan, Q.; Tang, J.H.; et al. Biocontrol activity and antifungal mechanisms of volatile organic compounds produced by Trichoderma asperellum XY101 against pear Valsa canker. Pest Manag. Sci. 2025, 81, 4742–4757. [Google Scholar] [CrossRef]
- Shi, B.K.; Yuan, H.B.; Wang, Z.N.; Fan, Y.Y.; Qin, G.H.; Li, X.Q.; Wang, L.; Tu, H.T.; Hou, H. Biocontrol activity and potential mechanism of volatile organic compounds from Aspergillus niger strain La2 against pear Valsa canker. Pest Manag. Sci. 2024, 80, 3010–3021. [Google Scholar] [CrossRef]
- Li, H.L.; Guo, T.M.; Luo, Z.Y.; Chen, J.Y.; Xie, X.W.; Ahammed, G.; Liu, A.R.; Chen, S.C. Volatile organic compounds from Irpex lacteus inhibit pathogenic fungi and enhance plant resistance to Botrytis cinerea in tomato. Microbiol. Res. 2025, 297, 128188. [Google Scholar] [CrossRef]
- Song, C.; Zhang, Y.; Zhao, Q.; Chen, M.Y.; Zhang, Y.; Gao, C.C.; Jia, Z.H.; Song, S.S.; Guan, J.F.; Shang, Z.L. Volatile organic compounds produced by Bacillus aryabhattai AYG1023 against Penicillium expansum causing blue mold on the Huangguan pear. Microbiol. Res. 2024, 278, 127531. [Google Scholar] [CrossRef]
- You, J.; Li, G.; Li, C.; Zhu, L.; Yang, H.; Song, R.; Gu, W. Biological control and plant growth promotion by volatile organic compounds of Trichoderma koningiopsis T-51. J. Fungi 2022, 8, 131. [Google Scholar] [CrossRef] [PubMed]
- Kleijburg, F.E.L.; Wösten, H.A.B. The versatility of Schizophyllum commune in nature and application. Fungal Biol. Rev. 2025, 53, 100431. [Google Scholar] [CrossRef]
- Pimenta, L.; Ferreira, M.A.; Pedroso, M.P.; Campos, V.P. Wood-associated fungi produce volatile organic compounds toxic to root-knot nematode. Sci. Agric. 2017, 74, 303–310. [Google Scholar] [CrossRef]
- Tang, T.; Wang, F.F.; Huang, H.Y.; Xie, N.N.; Guo, J.; Guo, X.L.; Duan, Y.; Wang, X.; Wang, Q.; You, J. Antipathogenic activities of volatile organic compounds produced by Bacillus velezensis LT1 against Sclerotium rolfsii LC1, the pathogen of southern blight in coptis chinensis. J. Agric. Food Chem. 2024, 72, 10282–10294. [Google Scholar] [CrossRef] [PubMed]
- Wang, B.; Han, Z.H.; Gong, D.; Xu, X.B.; Li, Y.C.; Sionov, E.; Prusky, D.; Bi, Y.; Zong, Y. The pH signalling transcription factor PacC modulate growth, development, stress response and pathogenicity of Trichothecium roseum. Environ. Microbiol. 2022, 24, 1608–1621. [Google Scholar] [CrossRef]
- Sun, Y.Y.; Wang, B.; Chen, W.; Wang, Y.B.; Zhou, D.; Zhang, M.Y.; Li, R.Y.; He, J. The role of potato glycoside alkaloids mediated oxidative stress in inducing apoptosis of wolfberry root rot pathogen fungi. Antioxidants 2024, 13, 1537. [Google Scholar] [CrossRef]
- Wang, B.; Hou, C.X.; Chen, W.; Sun, Y.Y.; Wu, X.; Zhang, C.Q.; He, J. Biocontrol effect and mechanism of endophytic fungus Alternaria alternata against root rot of Lycium barbarum. Biol. Control 2025, 210, 105900. [Google Scholar] [CrossRef]
- Rajani, P.; Rajasekaran, C.; Vasanthakumari, M.M.; Olsson, S.B.; Ravikanth, G.; Shaanker, R.U. Inhibition of plant pathogenic fungi by endophytic Trichoderma spp. through mycoparasitism and volatile organic compounds. Microbiol. Res. 2021, 242, 126595. [Google Scholar] [CrossRef]
- Tonks, A.J.; Roberts, J.M.; Midthassel, A.; Pope, T. Exploiting volatile organic compounds in crop protection: A systematic review of 1-octen-3-ol and 3-octanone. Ann. Appl. Biol. 2023, 183, 121–134. [Google Scholar] [CrossRef]
- Ling, L.J.; Mo, R.X.; Zhang, W.Y.; Jiang, Y.J.; Kong, F.J.; Feng, L.J.; Li, Y.; Yue, R.; Zhou, Y.P. Unravelling the inhibition mechanism of 1-octene-3-ol combined with 3-heptene-2-one on Aspergillus flavus and its application in the preservation of wolfberries. Postharvest Biol. Tec. 2025, 223, 113462. [Google Scholar] [CrossRef]
- Wang, X.Z.; Huang, M.M.; Peng, Y.; Yang, W.T.; Shi, J.Y. Antifungal activity of 1-octen-3-ol against Monilinia fructicola and its ability in enhancing disease resistance of peach fruit. Food Control 2022, 135, 108804. [Google Scholar] [CrossRef]
- Xiong, C.; Li, Q.; Li, S.H.; Chen, C.; Chen, Z.Q.; Huang, W.L. In vitro antimicrobial activities and mechanism of 1-octen-3-ol against food-related bacteria and pathogenic fungi. J. Oleo Sci. 2017, 66, 1041–1049. [Google Scholar] [CrossRef] [PubMed]
- Peng, Y.J.; Chen, B. Role of cell membrane homeostasis in the pathogenicity of pathogenic filamentous fungi. Virulence 2024, 15, 2299183. [Google Scholar] [CrossRef]
- Wang, M.C.; Liu, H.Y.; Dang, Y.Y.; Li, D.H.; Qiao, Z.; Wang, G.L.; Liu, G.; Xu, J.; Li, E.Z. Antifungal mechanism of cinnamon essential oil against Chinese Yam-Derived Aspergillus niger. J. Food Process. Preserv. 2023, 2023, 5777460. [Google Scholar] [CrossRef]
- Suyotha, W.; Yano, S.; Wakayama, M. α-1,3-Glucanase: Present situation and prospect of research. World J. Microbiol. Biotechnol. 2016, 32, 30. [Google Scholar] [CrossRef]
- Kwun, M.S.; Lee, D.G. Ferroptosis-Like death in microorganisms: A novel programmed cell death following lipid peroxidation. J. Microbiol. Biotechnol. 2023, 33, 992. [Google Scholar] [CrossRef]
- Yue, Y.; Wang, Z.; Zhong, T.; Guo, M.; Huang, L.; Yang, L.; Kan, J.Q.; Zalán, Z.; Ferenc, H.F.; Takács, K.; et al. Antifungal mechanisms of volatile organic compounds produced by Pseudomonas fluorescens ZX as biological fumigants against Botrytis cinerea. Microbiol. Res. 2023, 267, 127253. [Google Scholar] [CrossRef]
- He, P.J.; Che, J.J.; Luo, X.Y.; Zhang, J.J.; Li, H.; Liu, T.T.; Chen, K.X.; Wang, W.J.; Tian, W.Y.; Cui, W.Y. Inhibitory activity and mechanism of volatile organic compounds from Bacillus velezensis HC-10 against honeysuckle leaf spot disease. Ind. Crop Prod. 2025, 231, 121190. [Google Scholar] [CrossRef]
- Zhang, Y.; Li, B.; Fu, M.Z.; Wang, Z.R.; Chen, K.W.; Du, M.Y.; Zalán, Z.; Hegyi, F.; Kan, J.Q. Antifungal mechanisms of binary combinations of volatile organic compounds produced by lactic acid bacteria strains against Aspergillus flavus. Toxicon 2024, 243, 107749. [Google Scholar] [CrossRef]
- Medina-Romero, Y.; Roque-Flores, G.; Macías-Rubalcava, M. Volatile organic compounds from endophytic fungi as innovative postharvest control of Fusarium oxysporum in cherry tomato fruits. Appl. Microbiol. Biotechnol. 2017, 101, 8209–8222. [Google Scholar] [CrossRef] [PubMed]
- Zhang, Z.Q.; Chen, Y.; Li, B.Q.; Chen, T.; Tian, S.P. Reactive oxygen species: A generalist in regulating development and pathogenicity of phytopathogenic fungi. Comput. Struct. Biotechnol. J. 2020, 18, 3344–3349. [Google Scholar] [CrossRef] [PubMed]
- Zou, X.R.; Wei, Y.Y.; Jiang, S.; Xu, F.; Wang, H.F.; Zhan, P.P.; Shao, X.F. ROS Stress and cell membrane disruption are the main antifungal mechanisms of 2-Phenylethanol against Botrytis cinerea. J. Agric. Food Chem. 2022, 70, 14468–14479. [Google Scholar] [CrossRef] [PubMed]
- Zhao, Z. Hydroxyl radical generations from the physiologically relevant Fenton-like reactions. Free Radical Biol. Med. 2023, 208, 510–515. [Google Scholar] [CrossRef]









| Retention Time (min) | Volatile Organic Compounds | Compound Class | Relative Content (%) | Chemical Abstracts Service Number | Molecular Formula |
|---|---|---|---|---|---|
| 8.62 | 1-octen-3-ol | Alcohol | 35.98 | 3391-86-4 | C8H16O |
| 11.09 | 2-Propenal | Aldehyde | 14.19 | 107-02-8 | C3H4O |
| 10.64 | 2-Octenal, (E) | Aldehyde | 10.04 | 2548-87-0 | C8H14O |
| 11.07 | 1H-Pyrrole, 2, 5-dihydro | Nitrogen-containing heterocyclic | 9.87 | 109-96-6 | C4H7N |
| 8.40 | 2-Propyn-1-ol, propionate | Ester | 6.57 | 1932-92-9 | C6H8O2 |
| 11.07 | 1,1-Diethylpropargylamine | Nitrogen-containing heterocyclic | 2.91 | 3234-64-8 | C7H13N |
| 11.10 | Bicyclo[4.1.0]heptane, 7-methylene | Aromatic and hydrocarbon derivatives | 1.92 | 54211-14-2 | C8H12 |
| 10.66 | Furan, 2-ethyl-5-methyl | Aromatic and hydrocarbon derivatives | 1.57 | 1703-52-2 | C7H10O |
| 8.46 | 1-Hexen-3-ol | Alcohol | 1.50 | 4798-44-1 | C6H12O |
| 10.99 | 2-Cyclopenten-1-one, 3-ethyl | Ketone | 1.41 | 5682-69-9 | C7H10O |
| 8.51 | 3,6-Heptanedione | Ketone | 1.40 | 1703-51-1 | C7H12O2 |
| 10.95 | 3-Hexen-1-ol, propanoate, (Z) | Ester | 1.34 | 33467-74-2 | C9H16O2 |
| 11.00 | cis-3-Hexenyl-alpha-methylbutyrate | Ester | 1.03 | 53398-85-9 | C11H20O2 |
| 4.79 | 1,2,4-Benzenetricarboxylic acid, 1,2-dimethyl ester | Ester | 1.02 | 54699-35-3 | C11H10O6 |
| 8.93 | 4-Methyl-5-decanol | Alcohol | 1.01 | 213547-15-0 | C11H24O |
| 8.61 | 1,4-Dioxane-2,6-dione | Aromatic and hydrocarbon derivatives | 0.92 | 4480-83-5 | C4H4O4 |
| 8.55 | 1H-Tetrazole, 1-methyl | Nitrogen-containing heterocyclic | 0.81 | 16681-77-9 | C2H4N4 |
| 8.70 | 3-Octanone | Ketone | 0.77 | 106-68-3 | C8H16O |
| 22.92 | 2,4-Di-tert-butylphenol | Aromatic and hydrocarbon derivatives | 0.63 | 96-76-4 | C14H22O |
| 8.39 | 2-Pentanone, 1-phenyl | Ketone | 0.60 | 6683-92-7 | C11H14O |
Disclaimer/Publisher’s Note: The statements, opinions and data contained in all publications are solely those of the individual author(s) and contributor(s) and not of MDPI and/or the editor(s). MDPI and/or the editor(s) disclaim responsibility for any injury to people or property resulting from any ideas, methods, instructions or products referred to in the content. |
© 2026 by the authors. Licensee MDPI, Basel, Switzerland. This article is an open access article distributed under the terms and conditions of the Creative Commons Attribution (CC BY) license.
Share and Cite
Wang, B.; Yan, Y.; Sun, Y.; Zhang, C.; Wang, X.; Chen, W.; He, J. Inhibitory Effects and Mechanisms of Volatile Organic Compounds from Schizophyllum commune Against the Pepper Gummosis Pathogen Fusarium tricinctum. Antioxidants 2026, 15, 437. https://doi.org/10.3390/antiox15040437
Wang B, Yan Y, Sun Y, Zhang C, Wang X, Chen W, He J. Inhibitory Effects and Mechanisms of Volatile Organic Compounds from Schizophyllum commune Against the Pepper Gummosis Pathogen Fusarium tricinctum. Antioxidants. 2026; 15(4):437. https://doi.org/10.3390/antiox15040437
Chicago/Turabian StyleWang, Bin, Yuke Yan, Yuyan Sun, Chongqing Zhang, Xinyi Wang, Wei Chen, and Jing He. 2026. "Inhibitory Effects and Mechanisms of Volatile Organic Compounds from Schizophyllum commune Against the Pepper Gummosis Pathogen Fusarium tricinctum" Antioxidants 15, no. 4: 437. https://doi.org/10.3390/antiox15040437
APA StyleWang, B., Yan, Y., Sun, Y., Zhang, C., Wang, X., Chen, W., & He, J. (2026). Inhibitory Effects and Mechanisms of Volatile Organic Compounds from Schizophyllum commune Against the Pepper Gummosis Pathogen Fusarium tricinctum. Antioxidants, 15(4), 437. https://doi.org/10.3390/antiox15040437

