Yeast Protein Extract Emulsions Supplemented with Polyphenolic Compounds: Physical, Chemical and Stability Properties of Colorful Emulsions
Abstract
1. Introduction
2. Materials and Methods
2.1. Emulsion Preparation
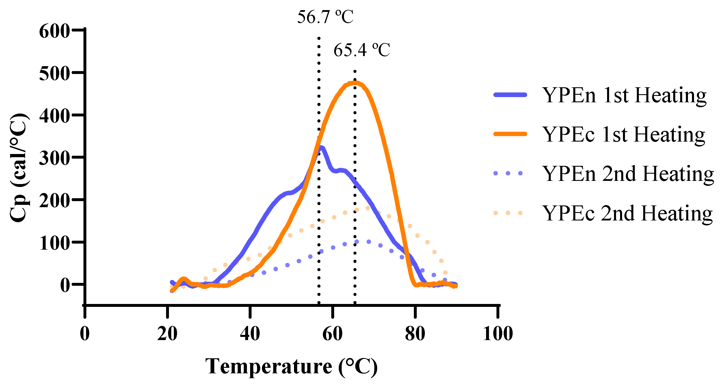
2.2. Differential Scanning Microcalorimetry (DSC)
2.3. Texture Measurements
2.4. Rheology Measurements
2.5. Droplet Size Distribution
2.6. Color Analysis
2.7. pH Determination
2.8. Oxidative Stability
2.9. In Vitro Antimicrobial Activity of Polyphenolics-Enriched Emulsions
2.10. Statistical Analysis
3. Results and Discussion
3.1. Texture Profile Analysis
3.2. Rheological Behavior
3.3. Flow Behavior
3.4. Droplet Size Stability over Time
3.5. pH and CIELab Measurements
3.6. Oxidative Stability
3.7. Antimicrobial Activity
4. Conclusions
Supplementary Materials
Author Contributions
Funding
Data Availability Statement
Acknowledgments
Conflicts of Interest
Abbreviations
| YPE | Yeast protein extract |
| EDTA | Ethylenediaminetetraacetic acid |
| YPEc | Complete yeast protein extract |
| YPEn | Neutral yeast protein extract |
| DSC | Differential Scanning calorimetry |
| SAOS | Small amplitude oscillatory shear |
| PV | Peroxide value |
| MRS | De Man, Rogosa and Sharpe |
| YPD | Yeast extract, peptone, dextrose |
| BHI | Brain heart infusion |
| RCFD | Red cabbage freeze-dried |
| BPc | Butterfly pea flower powder |
| RCExt | Red cabbage extract |
| BPExt | Butterfly pea flower extract |
| DH | Debaryomyces hansenii |
| LcR | Lacticaseibacillus rhamnosus |
| LIS | Listeria innocua |
| SAL | Salmonella typhimurium |
References
- Aschemann-Witzel, J.; Gantriis, R.F.; Fraga, P.; Perez-Cueto, F.J. Plant-based food and protein trend from a business perspective: Markets, consumers, and the challenges and opportunities in the future. Crit. Rev. Food Sci. Nutr. 2021, 61, 3119–3128. [Google Scholar] [CrossRef] [PubMed]
- Granato, D.; Barba, F.J.; Bursać Kovačević, D.; Lorenzo, J.M.; Cruz, A.G.; Putnik, P. Functional foods: Product development, technological trends, efficacy testing, and safety. Annu. Rev. Food Sci. Technol. 2020, 11, 93–118. [Google Scholar] [CrossRef] [PubMed]
- Gao, Y.; Zhao, Y.; Yao, Y.; Chen, S.; Xu, L.; Wu, N.; Tu, Y. Recent trends in design of healthier fat replacers: Type, replacement mechanism, sensory evaluation method and consumer acceptance. Food Chem. 2024, 447, 138982. [Google Scholar] [CrossRef] [PubMed]
- Asioli, D.; Aschemann-Witzel, J.; Caputo, V.; Vecchio, R.; Annunziata, A.; Næs, T.; Varela, P. Making sense of the “clean label” trends: A review of consumer food choice behavior and discussion of industry implications. Food Res. Int. 2017, 99, 58–71. [Google Scholar] [CrossRef]
- Dickinson, E. Hydrocolloids at interfaces and the influence on the properties of dispersed systems. Food Hydrocoll. 2003, 17, 25–39. [Google Scholar] [CrossRef]
- Kumar, M.; Tomar, M.; Punia, S.; Dhakane-Lad, J.; Dhumal, S.; Changan, S.; Senapathy, M.; Berwal, M.K.; Sampathrajan, V.; Sayed, A.A. Plant-based proteins and their multifaceted industrial applications. LWT 2022, 154, 112620. [Google Scholar] [CrossRef]
- Patil, A. Vegan Mayonnaise Market Share and Trends Analysis. Available online: https://www.persistencemarketresearch.com/market-research/vegan-mayonnaise-market.asp (accessed on 24 February 2026).
- Velez-Erazo, E.M.; Saturno, R.P.; Marson, G.V.; Hubinger, M.D. Spent brewer’s yeast proteins and cell debris as innovative emulsifiers and carrier materials for edible oil microencapsulation. Food Res. Int. 2021, 140, 109853. [Google Scholar] [CrossRef]
- Ribeiro, A.C.; Simões, S.; Perez-Gregorio, R.; Soares, S.; Figueira, D.; Branco, D.C.; Tasso, A.; Raymundo, A.; Mateus, N.; Freitas, V. Unravelling the effect of phenolic compounds in the design of a yeast protein-based emulsions. Int. J. Food Sci. Technol. 2023, 58, 3337–3348. [Google Scholar] [CrossRef]
- Jach, M.E.; Serefko, A.; Ziaja, M.; Kieliszek, M. Yeast protein as an easily accessible food source. Metabolites 2022, 12, 63. [Google Scholar] [CrossRef]
- Tomé, D. Yeast extracts: Nutritional and flavoring food ingredients. ACS Food Sci. Technol. 2021, 1, 487–494. [Google Scholar] [CrossRef]
- Jaeger, A.; Arendt, E.K.; Zannini, E.; Sahin, A.W. Brewer’s spent yeast (BSY), an underutilized brewing by-product. Fermentation 2020, 6, 123. [Google Scholar] [CrossRef]
- Ahmad, Z.; Rauf, A.; Orhan, I.E.; Mubarak, M.S.; Akram, Z.; Islam, M.R.; Imran, M.; Edis, Z.; Kondapavuluri, B.K.; Thangavelu, L. Antioxidant Potential of Polyphenolic Compounds, Sources, Extraction, Purification and Characterization Techniques: A Focused Review. Food Sci. Nutr. 2025, 13, e71259. [Google Scholar] [CrossRef] [PubMed]
- Mussio, C.; Garcia-Perez, P.; Moret, E.; Catena, S.; Lucini, L. The role, mechanisms and evaluation of natural chelating agents in food stability: A review. Food Chem. 2025, 496, 146682. [Google Scholar] [CrossRef] [PubMed]
- Berton-Carabin, C.; Villeneuve, P. Targeting interfacial location of phenolic antioxidants in emulsions: Strategies and benefits. Annu. Rev. Food Sci. Technol. 2023, 14, 63–83. [Google Scholar] [CrossRef]
- De Rossi, L.; Rocchetti, G.; Lucini, L.; Rebecchi, A. Antimicrobial potential of polyphenols: Mechanisms of action and microbial responses—A narrative review. Antioxidants 2025, 14, 200. [Google Scholar] [CrossRef]
- Lobiuc, A.; Pavăl, N.-E.; Mangalagiu, I.I.; Gheorghiță, R.; Teliban, G.-C.; Amăriucăi-Mantu, D.; Stoleru, V. Future antimicrobials: Natural and functionalized phenolics. Molecules 2023, 28, 1114. [Google Scholar] [CrossRef]
- Borrás-Linares, I.; Fernández-Arroyo, S.; Arráez-Roman, D.; Palmeros-Suárez, P.; Del Val-Díaz, R.; Andrade-Gonzáles, I.; Fernández-Gutiérrez, A.; Gómez-Leyva, J.; Segura-Carretero, A. Characterization of phenolic compounds, anthocyanidin, antioxidant and antimicrobial activity of 25 varieties of Mexican Roselle (Hibiscus sabdariffa). Ind. Crops Prod. 2015, 69, 385–394. [Google Scholar] [CrossRef]
- Denev, P.; Číž, M.; Kratchanova, M.; Blazheva, D. Black chokeberry (Aronia melanocarpa) polyphenols reveal different antioxidant, antimicrobial and neutrophil-modulating activities. Food Chem. 2019, 284, 108–117. [Google Scholar] [CrossRef]
- Cornell Law School. § 172.120—Calcium Disodium EDTA. Available online: https://www.law.cornell.edu/cfr/text/21/172.120 (accessed on 24 February 2026).
- Van De Sande, M.M.; Wirtz, S.; Vos, E.; Verhagen, H. Short review of calcium disodium ethylene diamine tetra acetic acid as a food additive. Eur. J. Nutr. Food Saf. 2014, 4, 408–423. [Google Scholar] [CrossRef]
- Sui, X.; Sun, H.; Qi, B.; Zhang, M.; Li, Y.; Jiang, L. Functional and conformational changes to soy proteins accompanying anthocyanins: Focus on covalent and non-covalent interactions. Food Chem. 2018, 245, 871–878. [Google Scholar] [CrossRef]
- Quan, T.H.; Benjakul, S.; Sae-leaw, T.; Balange, A.K.; Maqsood, S. Protein–polyphenol conjugates: Antioxidant property, functionalities and their applications. Trends Food Sci. Technol. 2019, 91, 507–517. [Google Scholar] [CrossRef]
- Li, J.; Wang, B.; He, Y.; Wen, L.; Nan, H.; Zheng, F.; Liu, H.; Lu, S.; Wu, M.; Zhang, H. A review of the interaction between anthocyanins and proteins. Food Sci. Technol. Int. 2021, 27, 470–482. [Google Scholar] [CrossRef] [PubMed]
- Savani, P.; Puthiyedath, A.; George, S.; Prasad, P.S.; Annapure, U.S. Evaluation of the sensory properties and antioxidant activity of clean rosemary extracts for an effective replacement of EDTA in mayonnaise. Appl. Food Res. 2023, 3, 100302. [Google Scholar] [CrossRef]
- Mohammadzadeh-Aghdash, H.; Sohrabi, Y.; Mohammadi, A.; Shanehbandi, D.; Dehghan, P.; Dolatabadi, J.E.N. Safety assessment of sodium acetate, sodium diacetate and potassium sorbate food additives. Food Chem. 2018, 257, 211–215. [Google Scholar] [CrossRef]
- Fernandes, J.P.; Neto, R.; Centeno, F.; De Fátima Teixeira, M.; Gomes, A.C. Unveiling the potential of novel yeast protein extracts in white wines clarification and stabilization. Front. Chem. 2015, 3, 20. [Google Scholar] [CrossRef]
- Pereira, A.R.; Fernandes, V.C.; Delerue-Matos, C.; de Freitas, V.; Mateus, N.; Oliveira, J. Exploring acylated anthocyanin-based extracts as a natural alternative to synthetic food dyes: Stability and application insights. Food Chem. 2024, 461, 140945. [Google Scholar] [CrossRef]
- Silva, I.E.; Vieira, J.; Guerreiro, C.; Oliveira, J.; Brandão, E.; de Freitas, V.; Soares, S. Molecular Insights into the Astringency of Clitoria ternatea Tea: Role of Phenolic Structure, Oral Constituents, and pH. J. Agric. Food Chem. 2025, 73, 26957–26971. [Google Scholar] [CrossRef]
- Bradstreet, R.B. Kjeldahl method for organic nitrogen. Anal. Chem. 1954, 26, 185–187. [Google Scholar] [CrossRef]
- Sceni, P.; Palazolo, G.G.; del Carmen Vasallo, M.; Puppo, M.C.; Otero, M.A.; Wagner, J.R. Thermal and surface behavior of yeast protein fractions from Saccharomyces cerevisiae. LWT-Food Sci. Technol. 2009, 42, 1098–1106. [Google Scholar] [CrossRef]
- Coelho, P.; Serrano, C.; Komora, N.; Raymundo, A. From a Coriander Mayonnaise to a Vegan Analogue: Assessing pH and Salt Influence in a Saccharomyces cerevisiae Yeast Protein Extract and Chlorella vulgaris Mixed System. Foods 2025, 14, 587. [Google Scholar] [CrossRef]
- Rosenthal, A. Relation between instrumental and sensory measures of food texture. Food Texture Meas. Percept. 1999, 1, 1–17. [Google Scholar]
- Raymundo, A. Emulsões Alimentares. In A Química e a Reologia no Processamento dos Alimentos, 1st ed.; Instituto Piaget: Lisboa, Portugal, 2003; pp. 96–116. [Google Scholar]
- Álvarez-Castillo, E.; Oliveira, S.; Bengoechea, C.; Sousa, I.; Raymundo, A.; Guerrero, A. A rheological approach to 3D printing of plasma protein based doughs. J. Food Eng. 2021, 288, 110255. [Google Scholar] [CrossRef]
- Subbarayudu, K.; Suneetha, S.; Reddy, P.B.A. The assessment of time dependent flow of Williamson fluid with radiative blood flow against a wedge. Propuls. Power Res. 2020, 9, 87–99. [Google Scholar] [CrossRef]
- Flamminii, F.; Di Mattia, C.D.; Sacchetti, G.; Neri, L.; Mastrocola, D.; Pittia, P. Physical and sensory properties of mayonnaise enriched with encapsulated olive leaf phenolic extracts. Foods 2020, 9, 997. [Google Scholar] [CrossRef]
- Firestone, D. AOCS Official Method Cd 8-53: Peroxide Value-Acetic Acid-Chloroform Method. AOCS Cd 8 2009, 53. Available online: https://www.chinaoils.cn/uploads/soft/20201216/1608080736265403.pdf (accessed on 3 March 2026).
- Naghili, H.; Tajik, H.; Mardani, K.; Rouhani, S.M.R.; Ehsani, A.; Zare, P. Validation of drop plate technique for bacterial enumeration by parametric and nonparametric tests. Vet. Res. Forum 2013, 4, 179–183. [Google Scholar]
- Curiel, J.A.; Rodríguez, H.; Landete, J.M.; De Las Rivas, B.; Muñoz, R. Ability of Lactobacillus brevis strains to degrade food phenolic acids. Food Chem. 2010, 120, 225–229. [Google Scholar] [CrossRef]
- Coman, M.M.; Oancea, A.M.; Verdenelli, M.C.; Cecchini, C.; Bahrim, G.E.; Orpianesi, C.; Cresci, A.; Silvi, S. Polyphenol content and in vitro evaluation of antioxidant, antimicrobial and prebiotic properties of red fruit extracts. Eur. Food Res. Technol. 2018, 244, 735–745. [Google Scholar] [CrossRef]
- Ledesma, S.C.; Stivala, M.G.; Rubio, M.C.; Fanzone, M.L.; Jofré, V.; Aredes-Fernández, P. Influence of wine phenolic compounds on viability and exopolysaccharide production by Pediococcus pentosaceus. J. Wine Res. 2018, 29, 143–150. [Google Scholar] [CrossRef]
- Martorell, P.; Barata, A.; Malfeito-Ferreira, M.; Fernández-Espinar, M.T.; Loureiro, V.; Querol, A. Molecular typing of the yeast species Dekkera bruxellensis and Pichia guilliermondii recovered from wine related sources. Int. J. Food Microbiol. 2006, 106, 79–84. [Google Scholar] [CrossRef]
- Duarte, L.C.; Carvalheiro, F.; Neves, I.; Gírio, F.M. Effects of aliphatic acids, furfural, and phenolic compounds on Debaryomyces hansenii CCMI 941. Appl. Biochem. Biotechnol. 2005, 121, 413–425. [Google Scholar] [CrossRef]
- Zuehlke, J.; Petrova, B.; Edwards, C. Advances in the control of wine spoilage by Zygosaccharomyces and Dekkera/Brettanomyces. Annu. Rev. Food Sci. Technol. 2013, 4, 57–78. [Google Scholar] [CrossRef] [PubMed]
- Nuñez, I.M.; Verni, M.C.; Argañaraz Martinez, F.E.; Babot, J.D.; Terán, V.; Danilovich, M.E.; Cartagena, E.; Alberto, M.R.; Arena, M.E. Novel Lactic Acid Bacteria Strains from Regional Peppers with Health-Promoting Potential. Fermentation 2024, 10, 209. [Google Scholar] [CrossRef]
- Xiong, Y.; Guan, J.; Wu, B.; Wang, T.; Yi, Y.; Tang, W.; Zhu, K.; Deng, J.; Wu, H. Exploring the profile contributions in Meyerozyma guilliermondii YB4 under different NaCl concentrations using GC-MS combined with GC-IMS and an electronic nose. Molecules 2023, 28, 6979. [Google Scholar] [CrossRef] [PubMed]
- Sánchez, N.S.; Calahorra, M.; González, J.; Defosse, T.; Papon, N.; Peña, A.; Coria, R. Contribution of the mitogen-activated protein kinase Hog1 to the halotolerance of the marine yeast Debaryomyces hansenii. Curr. Genet. 2020, 66, 1135–1153. [Google Scholar] [CrossRef]
- Antunes, M.; Palma, M.; Sá-Correia, I. Transcriptional profiling of Zygosaccharomyces bailii early response to acetic acid or copper stress mediated by ZbHaa1. Sci. Rep. 2018, 8, 14122. [Google Scholar] [CrossRef]
- Oscar, T.P. Response surface models for effects of temperature, pH, and previous growth pH on growth kinetics of Salmonella Typhimurium in brain heart infusion broth. J. Food Prot. 1999, 62, 106–111. [Google Scholar] [CrossRef]
- Meylheuc, T.; Giovannacci, I.; Briandet, R.; Bellon-Fontaine, M.-N. Comparison of the cell surface properties and growth characteristics of Listeria monocytogenes and Listeria innocua. J. Food Prot. 2002, 65, 786–793. [Google Scholar] [CrossRef]
- Tan, C.; Sun, Y.; Yao, X.; Zhu, Y.; Jafari, S.M.; Sun, B.; Wang, J. Stabilization of anthocyanins by simultaneous encapsulation-copigmentation via protein-polysaccharide polyelectrolyte complexes. Food Chem. 2023, 416, 135732. [Google Scholar] [CrossRef]
- Robertson, A.D.; Murphy, K.P. Protein structure and the energetics of protein stability. Chem. Rev. 1997, 97, 1251–1268. [Google Scholar] [CrossRef]
- Xu, W.; Bao, Y.; Zhou, Y.; Hong, H.; Gao, R. Effect of protein oxidation on the structure and emulsifying properties of fish gelatin. Food Res. Int. 2024, 195, 114963. [Google Scholar] [CrossRef]
- Nunes, M.; Raymundo, A.; Sousa, I. Rheological behaviour and microstructure of pea protein/κ-carrageenan/starch gels with different setting conditions. Food Hydrocoll. 2006, 20, 106–113. [Google Scholar] [CrossRef]
- Simões, S.; Carrera Sanchez, C.; Santos, A.J.; Figueira, D.; Prista, C.; Raymundo, A. Impact of Grass Pea Sweet Miso Incorporation in Vegan Emulsions: Rheological, Nutritional and Bioactive Properties. Foods 2023, 12, 1362. [Google Scholar] [CrossRef]
- Vieira, M.R.; Simões, S.; Carrera-Sánchez, C.; Raymundo, A. Development of a clean label mayonnaise using fruit flour. Foods 2023, 12, 2111. [Google Scholar] [CrossRef] [PubMed]
- Xue, H.; Feng, J.; Tang, Y.; Wang, X.; Tang, J.; Cai, X.; Zhong, H. Research progress on the interaction of the polyphenol–protein–polysaccharide ternary systems. Chem. Biol. Technol. Agric. 2024, 11, 95. [Google Scholar] [CrossRef]
- Kong, Y.; Wang, X.; Wu, Z.; Li, Y.; Xu, F.; Xie, F. Enzymatic acylation of black rice anthocyanins and evaluation of antioxidant capacity and stability of their derivatives. Foods 2023, 12, 4505. [Google Scholar] [CrossRef] [PubMed]
- Mackie, A.R.; Gunning, A.P.; Wilde, P.J.; Morris, V.J. Orogenic displacement of protein from the oil/water interface. Langmuir 2000, 16, 2242–2247. [Google Scholar] [CrossRef]
- Bock, A.; Kieserling, H.; Rohn, S.; Steinhäuser, U.; Drusch, S. Impact of phenolic acid derivatives on β-lactoglobulin stabilized oil-water-interfaces. Food Biophys. 2022, 17, 508–522. [Google Scholar] [CrossRef]
- Bock, A.; Rußbült, E.; Barthel, L.; Steinhäuser, U.; Drusch, S.; Rohn, S.; Kieserling, H. Co-adsorption and displacement behavior of phenolic acid derivatives at a β-lactoglobulin-stabilized oil–water interface and the interactions of both solutes. Food Hydrocoll. 2024, 149, 109578. [Google Scholar] [CrossRef]
- Atarés, L.; Marshall, L.J.; Akhtar, M.; Murray, B.S. Structure and oxidative stability of oil in water emulsions as affected by rutin and homogenization procedure. Food Chem. 2012, 134, 1418–1424. [Google Scholar] [CrossRef]
- Wang, H.; Xiang, L.; Zhang, Z.; Li, G.; Li, P.; Chen, W.; Fang, Y.; Lin, X.; Lin, S. Elucidating the interaction mechanism of rutin with β-casein and β-lactoglobulin: A comprehensive analysis using multi-spectroscopy, molecular docking, and molecular dynamic simulations. Food Chem. 2025, 476, 143411. [Google Scholar] [CrossRef]
- Xie, H.; Wei, X.; Liu, X.; Bai, W.; Zeng, X. Effect of polyphenolic structure and mass ratio on the emulsifying performance and stability of emulsions stabilized by polyphenol-corn amylose complexes. Ultrason. Sonochem. 2023, 95, 106367. [Google Scholar] [CrossRef] [PubMed]
- Wen, H.; Ning, Z.; Li, J.; Guan, Y.; Zhang, B.; Shang, X.; Liu, X.; Du, Z.; Liu, J.; Zhang, T. Stability of oil-in-water emulsions improved by ovalbumin-procyanidins mixture: A promising substrate with emulsifying and antioxidant activity. Colloids Surf. B Biointerfaces 2022, 215, 112473. [Google Scholar] [CrossRef] [PubMed]
- Hyun, K.; Wilhelm, M.; Klein, C.O.; Cho, K.S.; Nam, J.G.; Ahn, K.H.; Lee, S.J.; Ewoldt, R.H.; McKinley, G.H. A review of nonlinear oscillatory shear tests: Analysis and application of large amplitude oscillatory shear (LAOS). Prog. Polym. Sci. 2011, 36, 1697–1753. [Google Scholar] [CrossRef]
- Tadros, T.; Izquierdo, P.; Esquena, J.; Solans, C. Formation and stability of nano-emulsions. Adv. Colloid Interface Sci. 2004, 108, 303–318. [Google Scholar] [CrossRef]
- Liu, Y.; Wu, Q.; Zhang, J.; Yan, W.; Mao, X. Food emulsions stabilized by proteins and emulsifiers: A review of the mechanistic explorations. Int. J. Biol. Macromol. 2024, 261, 129795. [Google Scholar] [CrossRef]
- Kupikowska-Stobba, B.; Domagała, J.; Kasprzak, M.M. Critical review of techniques for food emulsion characterization. Appl. Sci. 2024, 14, 1069. [Google Scholar] [CrossRef]
- McClements, D.J.; Decker, E. Interfacial antioxidants: A review of natural and synthetic emulsifiers and coemulsifiers that can inhibit lipid oxidation. J. Agric. Food Chem. 2018, 66, 20–35. [Google Scholar] [CrossRef]
- Batista, A.P.; Raymundo, A.; Sousa, I.; Empis, J. Rheological characterization of coloured oil-in-water food emulsions with lutein and phycocyanin added to the oil and aqueous phases. Food Hydrocoll. 2006, 20, 44–52. [Google Scholar] [CrossRef]
- Vidana Gamage, G.C.; Lim, Y.Y.; Choo, W.S. Anthocyanins from Clitoria ternatea flower: Biosynthesis, extraction, stability, antioxidant activity, and applications. Front. Plant Sci. 2021, 12, 792303. [Google Scholar] [CrossRef]
- Chantrapornchai, W.; Clydesdale, F.; McClements, D.J. Influence of droplet size and concentration on the color of oil-in-water emulsions. J. Agric. Food Chem. 1998, 46, 2914–2920. [Google Scholar] [CrossRef]
- Cengiz, A.; Hennebelle, M.; Berton-Carabin, C.; Schroën, K. Effects often overlooked in lipid oxidation in oil-in-water emulsions: Agitation conditions and headspace-to-emulsion ratio. J. Am. Oil Chem. Soc. 2024, 101, 441–450. [Google Scholar] [CrossRef]
- Hussain, T.; Tan, B.; Yin, Y.; Blachier, F.; Tossou, M.C.; Rahu, N. Oxidative stress and inflammation: What polyphenols can do for us? Oxidative Med. Cell. Longev. 2016, 2016, 7432797. [Google Scholar] [CrossRef]
- Klinger, E.; Salminen, H.; Bause, K.; Weiss, J. Stability of anthocyanin extracts from chokeberry, grape, hibiscus, and purple sweet potato in ω-3-fatty acid rich oil-in-water emulsions. Food Chem. 2024, 459, 140385. [Google Scholar] [CrossRef]
- Bourassa, P.; Côté, R.; Hutchandani, S.; Samson, G.; Tajmir-Riahi, H.-A. The effect of milk alpha-casein on the antioxidant activity of tea polyphenols. J. Photochem. Photobiol. B Biol. 2013, 128, 43–49. [Google Scholar] [CrossRef]
- Mihyar, G.F.; Yamani, M.I. Resistance of yeast flora of labaneh to potassium sorbate and sodium benzoate. J. Dairy Sci. 1997, 80, 2304–2309. [Google Scholar] [CrossRef]
- Afreen, A.; Ahmed, Z.; Khalid, N. Optimization, fractional characterization, and antioxidant potential of exopolysaccharides from Levilactobacillus brevis NCCP 963 isolated from “kanji”. RSC Adv. 2023, 13, 19725–19737. [Google Scholar] [CrossRef] [PubMed]
- An, X.; Li, T.; Hu, J.; Li, Y.; Liu, H.; Fang, H.; Wei, X. Evaluation of physicochemical characteristics, bioactivity, flavor profile and key metabolites in the fermentation of goji juice by Lacticaseibacillus rhamnosus. Food Chem. X 2024, 23, 101755. [Google Scholar] [CrossRef] [PubMed]
- Batista, A.F.P.; dos Santos, A.R.; da Silva, A.F.; Trevisan, D.A.C.; Ribeiro, L.H.; Campanerut-Sá, P.A.Z.; de Abreu Filho, B.A.; Junior, M.M.; Mikcha, J.M.G. Inhibition of Salmonella enterica serovar Typhimurium by combined carvacrol and potassium sorbate in vitro and in tomato paste. LWT 2019, 100, 92–98. [Google Scholar] [CrossRef]







| Group | Microorganism | Collection Number | Growth Media | Reported Interaction |
|---|---|---|---|---|
| Lactic acid bacteria | Levilactobacillus brevis | DSM 20054 | De Man, Rogosa and Sharpe (MRS) | Curiel et al. [40] |
| Lacticaseibacillus rhamnosus | DSM 20021 | Coman et al. [41] | ||
| Pediococcus pentosaceus | DSM 20336 | Ledesma et al. [42] | ||
| Yeast | Meyerozyma guilliermondii | BISA 2074 | Yeast Extract, Peptone, Dextrose (YPD) | Martorell et al. [43] |
| Debaryomyces hansenii | JCM 2162 | Duarte et al. [44] | ||
| Zygosaccharomyces parabailii | BISA 1307 | Zuehlke et al. [45] | ||
| Pathogenic bacteria | Salmonella typhimurium | BISA 3969 | Brain Heart Infusion (BHI) | N.A. |
| Listeria innocua | BISA 3008 |
| YPEc | G′ (Pa) | G″ (Pa) | (Pa) |
| Control | 743.47 ± 45.5 b | 108.43 ± 6.9 c | 621.7 ± 59.2 b |
| Red Cabbage FD | 642.6 ± 5 b | 88.95 ± 4.5 d | 534.45 ± 3.2 b |
| Red Cabbage Ext | 636.07 ± 10.1 b | 86.22 ± 5.3 d | 515.43 ± 27 b |
| ButterflyPeaC | 1616.86 ± 45.7 a | 253.59 ± 8.6 b | 1343.92 ± 21.4 a |
| ButterflyPeaExt | 1771.32 ± 89.8 a | 314.57 ± 20.6 a | 1428.11 ± 71.1 a |
| YPEn | G′ (Pa) | G″ (Pa) | (Pa) |
| Control | 1147.67 ± 91.1 c | 171.63 ± 15.9 b,c | 780.1 ± 54 b |
| Red Cabbage FD | 1372 ± 36 b,c | 201.2 ± 4.7 b | 1082.5 ± 62.5 a,b |
| Red Cabbage Ext | 890.23 ± 69.1 d | 131.77 ± 5.7 c | 741.53 ± 54.7 b |
| ButterflyPeaC | 1582.51 ± 44.2 a | 241.52 ± 7.6 a | 1361.25 ± 64.9 a |
| ButterflyPeaExt | 1583.94 ± 111.3 a,b | 266.11 ± 15.4 a | 1321.73 ± 116.2 a |
| YPEc | η0 (103 Pa·s) | k (101 s) | n (Dimensionless) | r2 |
| Control | 11.28 ± 0.9 b | 15.09 ± 0.5 d | 0.035 ± 0.003 b,d | 0.9991 |
| Red Cabbage FD | 9.72 ± 0.1 b | 21.48 ± 0.1 b | 0.055 ± 0.055 c,d | 0.9984 |
| Red Cabbage Ext | 10.15 ± 0.3 b | 15.52 ± 0.2 d | 0.042 ± 0.005 a,b | 0.9997 |
| ButterflyPeaC | 24.14 ± 0.8 a | 19.95 ± 0.1 c | 0.045 ± 0.007 a,b | 0.9972 |
| ButterflyPeaExt | 22.45 ± 2.0 a | 23.36 ± 1.5 a | 0.042 ± 0.002 a,c | 0.9893 |
| YPEn | η0 (103 Pa∙s) | k (101 s) | n (dimensionless) | r2 |
| Control | 16.99 ± 0.9 b | 10.78 ± 0.3 c | 0.004 ± 0.001 b | 0.9991 |
| Red Cabbage FD | 14.53 ± 2.0 a,b | 10.08 ± 0.8 c | 0.004 ± 0.001 b | 0.9968 |
| Red Cabbage Ext | 14.68 ± 1.2 b | 10.96 ± 1.5 c | 0.02 ± 0.009 b | 0.9975 |
| ButterflyPeaC | 24.65 ± 0.5 a | 22.93 ± 0.4 b | 0.052 ± 0.006 a | 0.9954 |
| ButterflyPeaExt | 17.38 ± 0.3 b | 45.37 ± 0.1 a | 0.035 ± 0.001 a | 0.9738 |
| YPEc | pH | L* | a* | b* | ∆E |
| Control | 4.09 ± 0.04 a,b | 78.84 ± 0.29 | −1.60 ± 0.2 | 11.55 ± 0.83 | 16.22 ± 0.68 |
| Red Cabbage FD | 4.26 ± 0.02 a | 75.68 ± 0.03 | 4.08 ± 0.64 | 8.52 ± 0.17 | 10.08 ± 0.24 |
| Red Cabbage Ext | 4.28 ± 0.01 a | 42.24 ± 1.88 | 44.15 ± 0.86 | −12.42 ± 0.45 | 65.70 ± 1.70 |
| ButterflyPeaC | 4.11 ± 0.01 b | 70.37 ± 0.53 | 1.82 ± 0.19 | 3.05 ± 0.08 | 16.03 ± 0.28 |
| ButterflyPeaExt | 4.08 ± 0.01 b | 50.80 ± 0.58 | 13.17 ± 0.29 | −11.64 ± 0.23 | 42.19 ± 0.64 |
| YPEn | pH | L* | a* | b* | ∆E |
| Control | 4.08 ± 0.1 a,b | 83.34 ± 0.53 | −2.3 ± 0.02 | 8.18 ± 0.33 | 15.11 ± 0.58 |
| Red Cabbage FD | 4.06 ± 0.02 b | 78.63 ± 0.52 | 6.57 ± 0.24 | 4.33 ± 0.14 | 14.74 ± 0.22 |
| Red Cabbage Ext | 4.09 ± 0.01 b | 42.87 ± 2.46 | 44.4 ± 1.23 | −6.67 ± 0.72 | 66.64 ± 2.69 |
| ButterflyPeaC | 4.11 ± 0.01 b | 74.07 ± 0.20 | 2.11 ± 0.40 | −3.31 ± 0.42 | 21.08 ± 0.53 |
| ButterflyPeaExt | 4.11 ± 0.01 b | 54.74 ± 0.50 | 13.75 ± 0.3 | −15.1 ± 0.27 | 44.59 ± 0.60 |
| Control | RCFD | RCExt | BPc | BPExt | |
| YPEc | ![]() | ![]() | ![]() | ![]() | ![]() |
| YPEn | ![]() | ![]() | ![]() | ![]() | ![]() |
Disclaimer/Publisher’s Note: The statements, opinions and data contained in all publications are solely those of the individual author(s) and contributor(s) and not of MDPI and/or the editor(s). MDPI and/or the editor(s) disclaim responsibility for any injury to people or property resulting from any ideas, methods, instructions or products referred to in the content. |
© 2026 by the authors. Licensee MDPI, Basel, Switzerland. This article is an open access article distributed under the terms and conditions of the Creative Commons Attribution (CC BY) license.
Share and Cite
Almeida, B.; Costa, A.C.; Vinagre, F.; Prista, C.; Centeno, F.; Freitas, V.d.; Raymundo, A.; Soares, S. Yeast Protein Extract Emulsions Supplemented with Polyphenolic Compounds: Physical, Chemical and Stability Properties of Colorful Emulsions. Antioxidants 2026, 15, 351. https://doi.org/10.3390/antiox15030351
Almeida B, Costa AC, Vinagre F, Prista C, Centeno F, Freitas Vd, Raymundo A, Soares S. Yeast Protein Extract Emulsions Supplemented with Polyphenolic Compounds: Physical, Chemical and Stability Properties of Colorful Emulsions. Antioxidants. 2026; 15(3):351. https://doi.org/10.3390/antiox15030351
Chicago/Turabian StyleAlmeida, Bernardo, Ana Catarina Costa, Filipe Vinagre, Catarina Prista, Filipe Centeno, Victor de Freitas, Anabela Raymundo, and Susana Soares. 2026. "Yeast Protein Extract Emulsions Supplemented with Polyphenolic Compounds: Physical, Chemical and Stability Properties of Colorful Emulsions" Antioxidants 15, no. 3: 351. https://doi.org/10.3390/antiox15030351
APA StyleAlmeida, B., Costa, A. C., Vinagre, F., Prista, C., Centeno, F., Freitas, V. d., Raymundo, A., & Soares, S. (2026). Yeast Protein Extract Emulsions Supplemented with Polyphenolic Compounds: Physical, Chemical and Stability Properties of Colorful Emulsions. Antioxidants, 15(3), 351. https://doi.org/10.3390/antiox15030351











