Positive Effects of Allicin on Cytotoxicity, Antioxidative Status, and Immunity in “Eriocheir sinensis” Hepatopancreatic Cells Against Oxidative Stress-Induced Injury
Abstract
1. Introduction
2. Materials and Methods
2.1. Experimental Animals and Husbandry
2.2. Materials and Reagents
2.3. Isolation and Culture of Hepatopancreatic Primary Cells
2.4. Determination of In Vitro Concentrations of Allicin and T-BHP (CCK-8 Assay)
2.5. In Vitro Investigation of Protective Mechanisms
2.5.1. Cell Supernatants Biochemical Analysis
2.5.2. Ultrastructural Examination
2.5.3. Gene Expression Analysis
2.5.4. Transcriptome Sequencing
2.6. In Vivo Toxicity Assessment
Tissue Biochemical Analysis
2.7. Validation of Dietary Supplementation Efficacy
Growth Performance Evaluation
2.8. Data Processing and Statistical Analysis
3. Results
3.1. Establishment of an In Vitro Oxidative Stress Model Induced by T-BHP and Determination of the Optimal Allicin Concentration
3.2. Allicin Ameliorates T-BHP-Induced Oxidative Damage in Hepatopancreatic Cells
3.2.1. Effects on Biochemical Parameters
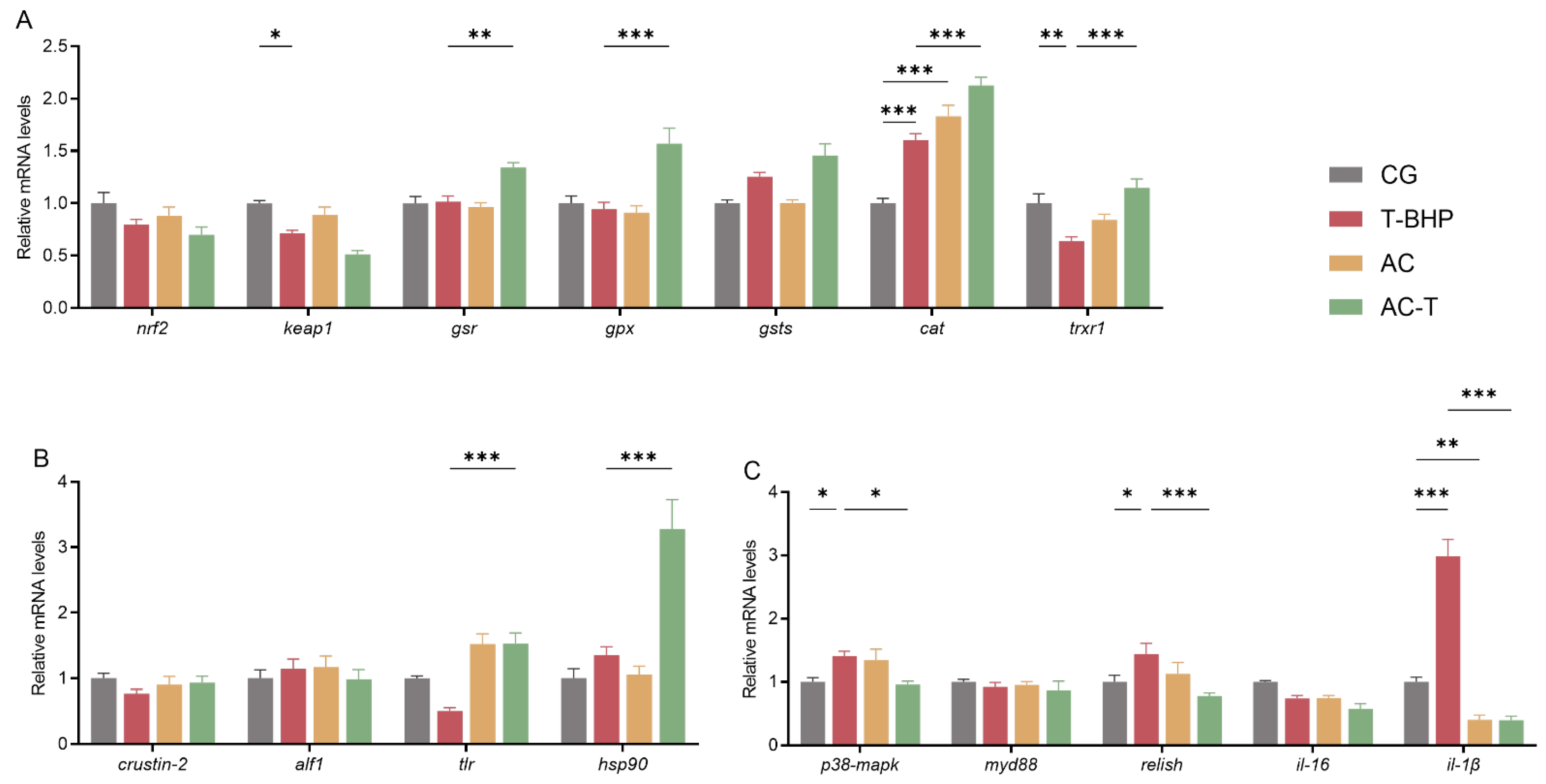
3.2.2. Effects on Gene Expression
3.2.3. Ultrastructural Observations
3.2.4. Transcriptomic Analysis
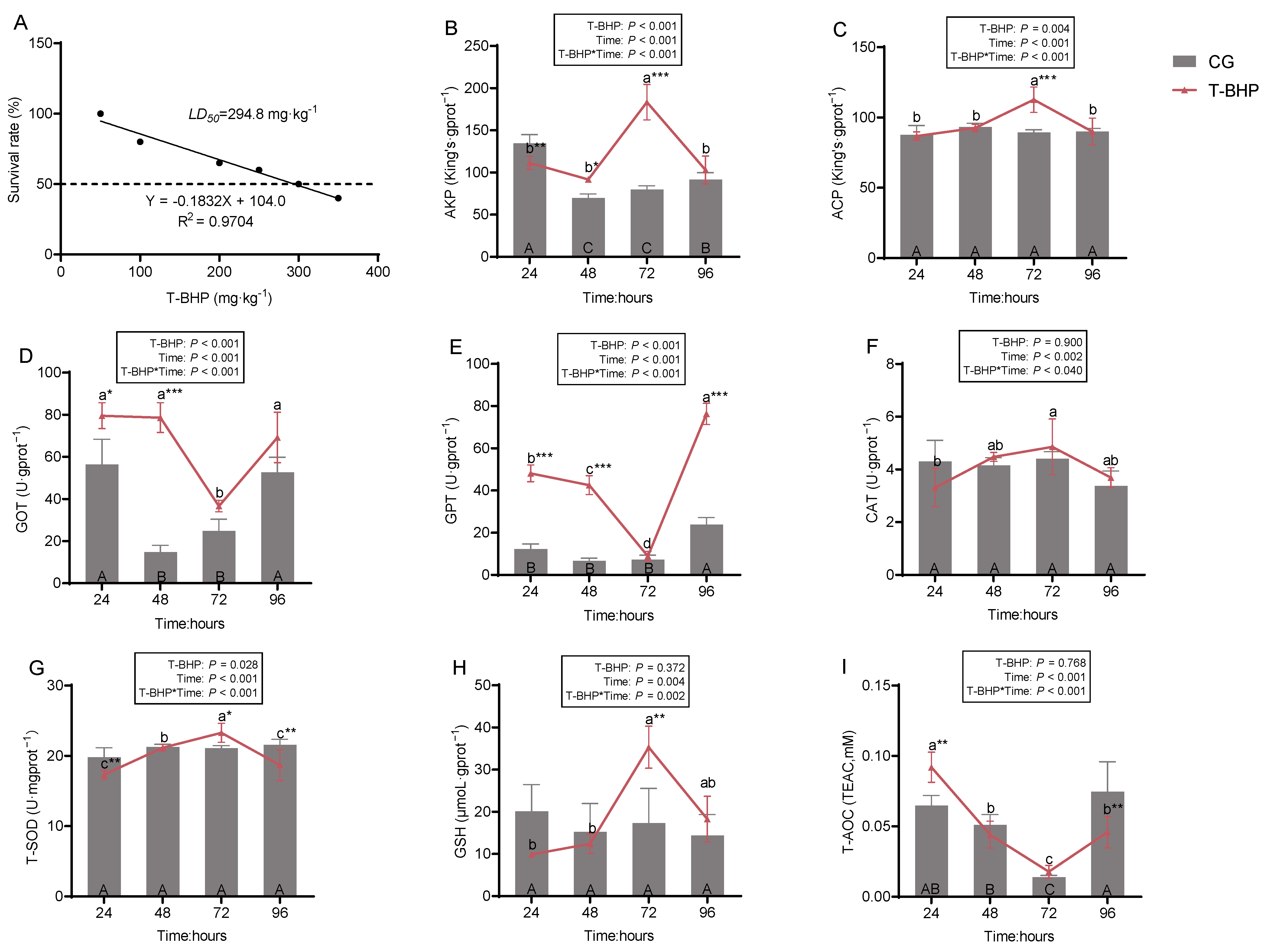
3.3. Toxic Effects of T-BHP Exposure in Juvenile Crabs
3.4. Dietary Allicin Promotes Growth, Antioxidant Capacity, and Immune Function in Juvenile Crabs
3.4.1. Effects on Growth Performance
3.4.2. Effects on Biochemical Parameters
3.4.3. Effects on Gene Expression
4. Discussion
5. Conclusions
Author Contributions
Funding
Institutional Review Board Statement
Informed Consent Statement
Data Availability Statement
Acknowledgments
Conflicts of Interest
Abbreviations
| ICA | Icariin |
| LPS | lipopolysaccharide |
| T-BHP | Tert-Butyl Hydroperoxide |
| il-1β | Interleukin-1 beta |
| il-16 | Interleukin-16 |
| ho-1 | Heme oxygenase-1 |
| MDA | Malondialdehyde |
| nrf2 | Nuclear factor-erythroid 2–related factor 2 |
| tnf-α | Tumor necrosis factor-alpha |
| PBS | Phosphate-buffered saline |
| ACP | Acid phosphatase |
| AKP | Alkaline phosphatase |
| GPT | Glutamic pyruvic transaminase |
| CAT | Catalase |
| T-AOC | Total antioxidant capacity |
| GSSG | Oxidized glutathione |
| trxr1 | Thioredoxin reductase 1 |
| gsr | Glutathione reductase |
| gpx | Glutathione peroxidase |
| gsts | Glutathione S-transferase sigma |
| crustin-2 | Antimicrobial Peptide |
| alf1 | Anti-lipopolysaccharide factor 1 |
| tlr | Toll-like receptors |
| hsp90 | Heat Shock Protein 90 |
| p38-mapk | p38 Mitogen-Activated Protein Kinase |
| myd88 | Myeloid Differentiation Primary Response 88 |
| relish | The NF-κB factor |
| GOT | Glutamic oxaloacetic transaminase |
| T-SOD | Total Superoxide Dismutase |
| GSH | Reduced glutathione |
| hsp70 | Heat Shock Protein 70 |
| cu-zn-sod | Cu,Zn-Superoxide Dismutase |
| s27 | ribosomal protein S27-like |
| keap1 | Kelch-like erythroid cell-derived protein with cap-ncollar homology-associated protein 1 |
References
- Afzal, S.; Abdul Manap, A.S.; Attiq, A.; Albokhadaim, I.; Kandeel, M.; Alhojaily, S.M. From Imbalance to Impairment: The Central Role of Reactive Oxygen Species in Oxidative Stress-Induced Disorders and Therapeutic Exploration. Front. Pharmacol. 2023, 14, 1269581. [Google Scholar] [CrossRef] [PubMed]
- Fisheries Statistical Yearbook of China 2025; Fisheries and Fishery Administration Bureau of the Ministry of Agriculture and Rural Affairs, Ed.; China Agriculture Press: Beijing, China, 2025. [Google Scholar]
- Menon, S.V.; Kumar, A.; Middha, S.K.; Paital, B.; Mathur, S.; Johnson, R.; Kademan, A.; Usha, T.; Hemavathi, K.N.; Dayal, S.; et al. Water Physicochemical Factors and Oxidative Stress Physiology in Fish, a Review. Front. Environ. Sci. 2023, 11, 1240813. [Google Scholar] [CrossRef]
- Frías-Espericueta, M.G.; Bautista-Covarrubias, J.C.; Osuna-Martínez, C.C.; Delgado-Alvarez, C.; Bojórquez, C.; Aguilar-Juárez, M.; Roos-Muñoz, S.; Osuna-López, I.; Páez-Osuna, F. Metals and Oxidative Stress in Aquatic Decapod Crustaceans: A Review with Special Reference to Shrimp and Crabs. Aquat. Toxicol. 2022, 242, 106024. [Google Scholar] [CrossRef] [PubMed]
- Lee, J.-W.; Jo, A.-H.; Lee, D.-C.; Choi, C.Y.; Kang, J.-C.; Kim, J.-H. Review of Cadmium Toxicity Effects on Fish: Oxidative Stress and Immune Responses. Environ. Res. 2023, 236, 116600. [Google Scholar] [CrossRef]
- Xu, Z.; Cao, J.; Qin, X.; Qiu, W.; Mei, J.; Xie, J. Toxic Effects on Bioaccumulation, Hematological Parameters, Oxidative Stress, Immune Responses and Tissue Structure in Fish Exposed to Ammonia Nitrogen: A Review. Animals 2021, 11, 3304. [Google Scholar] [CrossRef] [PubMed]
- Xu, Z.; Regenstein, J.M.; Xie, D.; Lu, W.; Ren, X.; Yuan, J.; Mao, L. The Oxidative Stress and Antioxidant Responses of Litopenaeus vannamei to Low Temperature and Air Exposure. Fish Shellfish Immunol. 2018, 72, 564–571. [Google Scholar] [CrossRef]
- Xu, X.; Liu, A.; Hu, S.; Ares, I.; Martínez-Larrañaga, M.-R.; Wang, X.; Martínez, M.; Anadón, A.; Martínez, M.-A. Synthetic Phenolic Antioxidants: Metabolism, Hazards and Mechanism of Action. Food Chem. 2021, 353, 129488. [Google Scholar] [CrossRef]
- Li, S.; Xie, J.; Bai, Y.; Jiang, Z.; Li, K.; Wu, C. Synthetic Phenolic Antioxidants Evoked Hepatoxicity in Grass Carp (Ctenopharyngodon idella) through Modulating the ROS-PI3K/mTOR/AKT Pathway: Apoptosis-Autophagy Crosstalk. Fish Shellfish Immunol. 2023, 139, 108906. [Google Scholar] [CrossRef]
- Alagawany, M.; Farag, M.R.; Abdelnour, S.A.; Dawood, M.A.O.; Elnesr, S.S.; Dhama, K. Curcumin and Its Different Forms: A Review on Fish Nutrition. Aquaculture 2021, 532, 736030. [Google Scholar] [CrossRef]
- Hsieh, T.-J.; Wang, J.-C.; Hu, C.-Y.; Li, C.-T.; Kuo, C.-M.; Hsieh, S.-L. Effects of Rutin from Toona Sinensis on the Immune and Physiological Responses of White Shrimp (Litopenaeus vannamei) under Vibrio alginolyticus Challenge. Fish Shellfish Immunol. 2008, 25, 581–588. [Google Scholar] [CrossRef]
- Zheng, X.; Jiang, W.; Zhang, L.; Abasubong, K.P.; Zhang, D.; Li, X.; Jiang, G.; Chi, C.; Liu, W. Protective Effects of Dietary Icariin on Lipopolysaccharide-Induced Acute Oxidative Stress and Hepatopancreas Injury in Chinese Mitten Crab, Eriocheir sinensis. Comp. Biochem. Physiol. Part C Toxicol. Pharmacol. 2022, 251, 109192. [Google Scholar] [CrossRef] [PubMed]
- Borlinghaus, J.; Albrecht, F.; Gruhlke, M.C.H.; Nwachukwu, I.D.; Slusarenko, A.J. Allicin: Chemistry and Biological Properties. Molecules 2014, 19, 12591–12618. [Google Scholar] [CrossRef] [PubMed]
- Ilić, D.P.; Stojanović, S.; Najman, S.; Nikolić, V.D.; Stanojević, L.P.; Tačić, A.; Nikolić, L.B. Biological Evaluation of Synthesized Allicin and Its Transformation Products Obtained by Microwaves in Methanol: Antioxidant Activity and Effect on Cell Growth. Biotechnol. Biotechnol. Equip. 2015, 29, 189–194. [Google Scholar] [CrossRef] [PubMed]
- Feldberg, R.S.; Chang, S.C.; Kotik, A.N.; Nadler, M.; Neuwirth, Z.; Sundstrom, D.C.; Thompson, N.H. In Vitro Mechanism of Inhibition of Bacterial Cell Growth by Allicin. Antimicrob. Agents Chemother. 1988, 32, 1763–1768. [Google Scholar] [CrossRef]
- Li, X.-H.; Li, C.-Y.; Xiang, Z.-G.; Hu, J.-J.; Lu, J.-M.; Tian, R.-B.; Jia, W. Allicin Ameliorates Cardiac Hypertrophy and Fibrosis through Enhancing of Nrf2 Antioxidant Signaling Pathways. Cardiovasc. Drugs Ther. 2012, 26, 457–465. [Google Scholar] [CrossRef]
- Ding, G.; Zhao, J.; Jiang, D. Allicin Inhibits Oxidative Stress-Induced Mitochondrial Dysfunction and Apoptosis by Promoting PI3K/AKT and CREB/ERK Signaling in Osteoblast Cells. Exp. Ther. Med. 2016, 11, 2553–2560. [Google Scholar] [CrossRef]
- Che, H.-Y.; Zhou, C.-H.; Lyu, C.-C.; Meng, Y.; He, Y.-T.; Wang, H.-Q.; Wu, H.-Y.; Zhang, J.-B.; Yuan, B. Allicin Alleviated LPS-Induced Mastitis via the TLR4/NF-κB Signaling Pathway in Bovine Mammary Epithelial Cells. Int. J. Mol. Sci. 2023, 24, 3805. [Google Scholar] [CrossRef]
- Cai, P.; Zhu, Q.; Cao, Q.; Bai, Y.; Zou, H.; Gu, J.; Yuan, Y.; Liu, X.; Liu, Z.; Bian, J. Quercetin and Allicin Can Alleviate the Hepatotoxicity of Lead (Pb) through the PI3K Signaling Pathway. J. Agric. Food Chem. 2021, 69, 9451–9460. [Google Scholar] [CrossRef]
- Hamed, H.S.; Ismal, S.M.; Faggio, C. Effect of Allicin on Antioxidant Defense System, and Immune Response after Carbofuran Exposure in Nile Tilapia, Oreochromis Niloticus. Comp. Biochem. Physiol. C-Toxicol. Pharmacol. 2021, 240, 108919. [Google Scholar] [CrossRef]
- Tanekhy, M.; Fall, J. Expression of Innate Immunity Genes in Kuruma Shrimp Marsupenaeus Japonicus after in Vivo Stimulation with Garlic Extract (Allicin). Vet. Med. 2015, 60, 39–47. [Google Scholar] [CrossRef]
- Huang, H.; Pan, L.; Pan, S.; Song, M. Effects of Dietary Herbal Formulae Combined by Astragalus Polysaccharides, Chlorogenic Acid and Allicin in Different Combinations and Proportions on Growth Performance, Non-Specific Immunity, Antioxidant Status, Vibriosis Resistance and Damage Indexes Of Litopenaeus vannamei. Aquac. Res. 2018, 49, 701–716. [Google Scholar] [CrossRef]
- Hannan, M.A.; Rahman, M.M.; Mondal, M.N.; Chandra, D.S.; Chowdhury, G.A.Z.L.I.M.A.; Islam, M.T. Molecular Identification of Vibrio alginolyticus Causing Vibriosis in Shrimp and Its Herbal Remedy. Pol. J. Microbiol. 2019, 68, 429–438. [Google Scholar] [CrossRef]
- Kim, Y.-S.; Hwang, J.-W.; Sung, S.-H.; Jeon, Y.-J.; Jeong, J.-H.; Jeon, B.-T.; Moon, S.-H.; Park, P.-J. Antioxidant Activity and Protective Effect of Extract of Celosia cristata L. Flower on Tert-Butyl Hydroperoxide-Induced Oxidative Hepatotoxicity. Food Chem. 2015, 168, 572–579. [Google Scholar] [CrossRef]
- Shen, C.-H.; Tung, S.-Y.; Huang, W.-S.; Lu, C.-C.; Lee, K.-C.; Hsieh, Y.-Y.; Chang, P.-J.; Liang, H.-F.; Chen, J.-H.; Lin, T.-H.; et al. Exploring the Effects of Tert-Butylhydroperoxide Induced Liver Injury Using Proteomic Approach. Toxicology 2014, 316, 61–70. [Google Scholar] [CrossRef]
- Liu, Z.; Du, Q.; Zhao, J.; Yang, R.; Yan, Z.; Liu, C.; Zhao, Y. A Comparative Study of the Toxic Effects of t-BHP on AC16 and H9c2 Cardiomyocytes. J. Appl. Toxicol. 2025, jat.4970. [Google Scholar] [CrossRef] [PubMed]
- Skrabalova, J.; Karlovska, I.; Hejnova, L.; Novotny, J. Protective Effect of Morphine Against the Oxidant-Induced Injury in H9c2 Cells. Cardiovasc. Toxicol. 2018, 18, 374–385. [Google Scholar] [CrossRef] [PubMed]
- Zhu, J.; Li, G.; Zhou, J.; Xu, Z.; Xu, J. Cytoprotective Effects and Antioxidant Activities of Acteoside and Various Extracts of Clerodendrum Cyrtophyllum Turcz Leaves against T-BHP Induced Oxidative Damage. Sci. Rep. 2022, 12, 12630. [Google Scholar] [CrossRef]
- Khan, A.A.; Betel, D.; Miller, M.L.; Sander, C.; Leslie, C.S.; Marks, D.S. Transfection of Small RNAs Globally Perturbs Gene Regulation by Endogenous microRNAs. Nat. Biotechnol. 2009, 27, 549–592. [Google Scholar] [CrossRef]
- Miao, S.; Wan, W.; Hu, J.; Chang, E.; Zhou, Z.; Zhou, Y.; Sun, L. Dietary Arachidonic Acid Affects the Innate Immunity, Antioxidant Capacities, Intestinal Health and Microbiota in Chinese Mitten Crab (Eriocheir sinensis). Aquaculture 2022, 548, 737635. [Google Scholar] [CrossRef]
- Bradford, M.M. A Rapid and Sensitive Method for the Quantitation of Microgram Quantities of Protein Utilizing the Principle of Protein-Dye Binding. Anal. Biochem. 1976, 72, 248–254. [Google Scholar] [CrossRef]
- Jayashree, G.V.; Kumar, K.H.; Krupashree, K.; Rachitha, P.; Khanum, F. LC–ESI–MS/MS Analysis of Asparagus Racemosus Willd. Roots and Its Protective Effects against t-BHP Induced Oxidative Stress in Rats. Ind. Crops Prod. 2015, 78, 102–109. [Google Scholar] [CrossRef]
- Ochi, T.; Miyaura, S. Cytotoxicity of an Organic Hydroperoxide and Cellular Antioxidant Defense System against Hydroperoxides in Cultured Mammalian Cells. Toxicology 1989, 55, 69–82. [Google Scholar] [CrossRef]
- Oh, J.M.; Jung, Y.S.; Jeon, B.S.; Yoon, B.I.; Lee, K.S.; Kim, B.H.; Oh, S.J.; Kim, S.K. Evaluation of Hepatotoxicity and Oxidative Stress in Rats Treated with Tert-Butyl Hydroperoxide. Food Chem. Toxicol. 2012, 50, 1215–1221. [Google Scholar] [CrossRef] [PubMed]
- Li, L.; Zhang, Z.; Huang, Y. Integrative Transcriptome Analysis and Discovery of Signaling Pathways Involved in the Protective Effects of Curcumin against Oxidative Stress in Tilapia Hepatocytes. Aquat. Toxicol. 2020, 224, 105516. [Google Scholar] [CrossRef] [PubMed]
- Hassanein, E.H.M.; Sayed, A.M.; Hussein, O.E.; Mahmoud, A.M. Coumarins as Modulators of the Keap1/Nrf2/ARE Signaling Pathway. Oxid. Med. Cell Longev. 2020, 2020, 1675957. [Google Scholar] [CrossRef]
- Loboda, A.; Damulewicz, M.; Pyza, E.; Jozkowicz, A.; Dulak, J. Role of Nrf2/HO-1 System in Development, Oxidative Stress Response and Diseases: An Evolutionarily Conserved Mechanism. Cell. Mol. Life Sci. 2016, 73, 3221–3247. [Google Scholar] [CrossRef]
- Soetikno, V.; Sari, F.R.; Lakshmanan, A.P.; Arumugam, S.; Harima, M.; Suzuki, K.; Kawachi, H.; Watanabe, K. Curcumin Alleviates Oxidative Stress, Inflammation, and Renal Fibrosis in Remnant Kidney through the Nrf2-Keap1 Pathway. Mol. Nutr. Food Res. 2013, 57, 1649–1659. [Google Scholar] [CrossRef]
- Liu, H.; Yang, Y.; Yu, Y.-Y.; Feng, J.-J.; Bao, X.-X.; Zhao, J.; Yu, H. Astragaloside IV Improved Antioxidative Stress Capacity and Related Gene Expression of the Keap1-Nrf2 Pathway in Grass Carp (Ctenopharyngodon idella) Hepatocytes under Heat Stress. J. Fish Biol. 2022, 101, 262–268. [Google Scholar] [CrossRef]
- Lu, Y.-P.; Zheng, P.-H.; Zhang, Z.-L.; Li, J.-T.; Li, J.-J.; Li, T.; Wang, X.; Xu, J.-R.; Wang, D.-M.; Xian, J.-A.; et al. Effects of Dietary Radix bupleuri Root Extract on the Growth, Muscle Composition, Histology, Immune Responses and Microcystin-LR Stress Resistance of Juvenile Red Claw Crayfish (Cherax quadricarinatus). Aquac. Rep. 2023, 33, 101822. [Google Scholar] [CrossRef]
- Liu, F.; Shao, G.-Y.; Tian, Q.-Q.; Cheng, B.-X.; Shen, C.; Wang, A.-M.; Zhang, J.-H.; Tian, H.-Y.; Yang, W.-P.; Yu, Y.-B. Enhanced Growth Performance, Immune Responses, Immune-Related Gene Expression and Disease Resistance of Red Swamp Crayfish (Procambarus clarkii) Fed Dietary Glycyrrhizic Acid. Aquaculture 2021, 533, 736202. [Google Scholar] [CrossRef]
- Cai, W.; Zhang, B.; Duan, D.; Wu, J.; Fang, J. Curcumin Targeting the Thioredoxin System Elevates Oxidative Stress in HeLa Cells. Toxicol. Appl. Pharmacol. 2012, 262, 341–348. [Google Scholar] [CrossRef]
- Nie, P.; Meng, F.; Zhang, J.; Wei, X.; Shen, C. Astragaloside IV Exerts a Myocardial Protective Effect against Cardiac Hypertrophy in Rats, Partially via Activating the Nrf2/HO-1 Signaling Pathway. Oxidative Med. Cell. Longev. 2019, 2019, 4625912. [Google Scholar] [CrossRef]
- Wang, F.; Chen, S.; Deng, L.; Chen, L.; Huang, Y.; Tian, M.; Li, C.; Zhou, X. Protective Effects of Astragaloside IV against LPS-Induced Endometritis in Mice through Inhibiting Activation of the NF-κB, P38 and JNK Signaling Pathways. Molecules 2019, 24, 373. [Google Scholar] [CrossRef]
- Huang, Y.; Wang, W.; Xu, Z.; Pan, J.; Zhao, Z.; Ren, Q. Eriocheir sinensis microRNA-7 Targets Crab Myd88 to Enhance White Spot Syndrome Virus Replication. Fish Shellfish Immunol. 2018, 79, 274–283. [Google Scholar] [CrossRef]
- Liu, J.; Zhang, P.; Wang, B.; Lu, Y.; Li, L.; Li, Y.; Liu, S. Evaluation of the Effects of Astragalus Polysaccharides as Immunostimulants on the Immune Response of Crucian Carp and against SVCV in Vitro and in Vivo. Comp. Biochem. Physiol. Part C Toxicol. Pharmacol. 2022, 253, 109249. [Google Scholar] [CrossRef]
- Xu, J.; He, J.; Zhou, Y.L.; Weng, Z.; Li, M.; Wang, Z.X.; He, Y. Von Willebrand Factor Promotes Radiation-Induced Intestinal Injury (RIII) Development and Its Cleavage Enzyme rhADAMTS13 Protects against RIII by Reducing Inflammation and Oxidative Stress. Free Radic. Biol. Med. 2024, 210, 1–12. [Google Scholar] [CrossRef] [PubMed]
- Usui, M.; Egashira, K.; Kitamoto, S.; Koyanagi, M.; Katoh, M.; Kataoka, C.; Shimokawa, H.; Takeshita, A. Pathogenic Role of Oxidative Stress in Vascular Angiotensin-Converting Enzyme Activation in Long-Term Blockade of Nitric Oxide Synthesis in Rats. Hypertension 1999, 34, 546–551. [Google Scholar] [CrossRef]
- Beck, R.; Dejeans, N.; Glorieux, C.; Creton, M.; Delaive, E.; Dieu, M.; Raes, M.; Levêque, P.; Gallez, B.; Depuydt, M.; et al. Hsp90 Is Cleaved by Reactive Oxygen Species at a Highly Conserved N-Terminal Amino Acid Motif. PLoS ONE 2012, 7, e40795. [Google Scholar] [CrossRef] [PubMed]
- Lévy, E.; El Banna, N.; Baïlle, D.; Heneman-Masurel, A.; Truchet, S.; Rezaei, H.; Huang, M.-E.; Béringue, V.; Martin, D.; Vernis, L. Causative Links between Protein Aggregation and Oxidative Stress: A Review. Int. J. Mol. Sci. 2019, 20, 3896. [Google Scholar] [CrossRef] [PubMed]
- Zhu, J.-W.; Chen, T.; Guan, J.; Liu, W.-B.; Liu, J. Neuroprotective Effects of Allicin on Spinal Cord Ischemia–Reperfusion Injury via Improvement of Mitochondrial Function in Rabbits. Neurochem. Int. 2012, 61, 640–648. [Google Scholar] [CrossRef]
- Liu, S.-G.; Ren, P.-Y.; Wang, G.-Y.; Yao, S.-X.; He, X.-J. Allicin Protects Spinal Cord Neurons from Glutamate-Induced Oxidative Stress through Regulating the Heat Shock Protein 70/Inducible Nitric Oxide Synthase Pathway. Food Funct. 2015, 6, 320–329. [Google Scholar] [CrossRef] [PubMed]
- Darias, M.J.; Mazurais, D.; Koumoundouros, G.; Cahu, C.L.; Zambonino-Infante, J.L. Overview of Vitamin D and C Requirements in Fish and Their Influence on the Skeletal System. Aquaculture 2011, 315, 49–60. [Google Scholar] [CrossRef]
- Lee, M.-H.; Shiau, S.-Y. Increase of Dietary Vitamin C Improves Haemocyte Respiratory Burst Response and Growth of Juvenile Grass Shrimp, Penaeus Monodon, Fed with High Dietary Copper. Fish Shellfish Immunol. 2003, 14, 305–315. [Google Scholar] [CrossRef]
- Gómez-Sierra, T.; Medina-Campos, O.N.; Solano, J.D.; Ibarra-Rubio, M.E.; Pedraza-Chaverri, J. Isoliquiritigenin Pretreatment Induces Endoplasmic Reticulum Stress-Mediated Hormesis and Attenuates Cisplatin-Induced Oxidative Stress and Damage in LLC-PK1 Cells. Molecules 2020, 25, 4442. [Google Scholar] [CrossRef] [PubMed]
- Huang, W.; Yao, C.; Liu, Y.; Xu, N.; Yin, Z.; Xu, W.; Miao, Y.; Mai, K.; Ai, Q. Dietary Allicin Improved the Survival and Growth of Large Yellow Croaker (Larimichthys crocea) Larvae via Promoting Intestinal Development, Alleviating Inflammation and Enhancing Appetite. Front. Physiol. 2020, 11, 587674. [Google Scholar] [CrossRef] [PubMed]









| Gene | Sequence (5′-3′) | Sources |
|---|---|---|
| nrf2 | F: ACCACAGAAATGAACCAAACCAC | XP_027208873.1 |
| R: GTCAGGACTAAGGGAAGACACTG | ||
| keap1 | F: CTTGCTGTACCTTTCTTGAGCAG | XP_027210665.1 |
| R: CTGCAAAAACTCCTCCTCCAATG | ||
| gsr | F: GGCGAAGGAACACTGCATCA | XM_050838252.1 |
| R: CCAGGGAGATATACGACGCC | ||
| gpx | F: GACTACACCCCAGTGTGCACCA | FJ617305.1 |
| R: TGATCCAGCCATTGTGATCCTC | ||
| gsts | F: AAGAGTCGAGTATGAGGACAAGC | XM_050837187.1 |
| R: AGCGTCTGAGTTATCTTCACGTT | ||
| cat | F: CAAGACAGGGCCATCAATAACTTC | Accession: GU361618.1 |
| R: TCACTGCATGGACAGTTGAAAGA | ||
| trxr1 | F: CAGGGAGAAGAAAGTGGACTACC | XM_050838252.1 |
| R: ATATCGTCTGAGGTGATGCAGTG | ||
| crustin-2 | F: GCCCACCTCCCAAACCTAT | XM_050862131.1 |
| R: GCAAGCGTCACAGCAGCACT | ||
| alf1 | F: GCTGGCTGGACCGGATTATT | XM_050871541.1 |
| R: ATCACACGGGTGTTGCAGAT | ||
| tlr | F: AGCTTGCCGATTCACACTCA | XM_050878071.1 |
| R: CACAGCTCTTCCTCCGTCAG | ||
| hsp90 | F: TCACCAACGACTGGGAGGAT | XM_050873093 |
| R: CAGGAAGAGGAGTGCCCTGA | ||
| p38-mapk | F: CACTCATGGGTGCTGACCTC | XM_050867549.1 |
| R: TACTTGAGGCCTCGCAACAC | ||
| myd88 | F: GCCATCGCAGTCGCCAAGTT | XM_050877733.1 |
| R: GGCATCCTGTTCATCCAGTTCTGAC | ||
| relish | F: TCTCCCTACTCTGACCATTCC | XM_050843537.1 |
| R: TTCCCACCATCTCACTCTTGT | ||
| il-16 | F: AGAGGTTGTTCTTGTGCTGTCC | XM_050877878.1 |
| R: ACGAGGGTAATGGTGAATGGAG | ||
| il-1β | F: ATCAGCTGAAGTCCATCAGCCAGCA | [30] |
| R: TGCATGTCCGTGCTGATGAACCAGT | ||
| hsp70 | F: TCCCAGCGTACTTTAACGATTCA | XM_050870185.1 |
| R: TCGTAGAACATTTAGTCCCGCAA | ||
| ho-1 | F: TCGACCTCAACCTTGAAGCA | XM_050878156.1 |
| R: TGCATCACTGACACCGTGAA | ||
| cu-zn-sod | F: ATGAGTAAGACCTTTGCCTA | XM_050882595.1 |
| R: TCCGTCAGTCCATAGATAAC | ||
| tnf-α | F: GTGGACATCTGGTCAGTGGG | XM_050867549.1 |
| R: GGCTCATCTGAGGGATCTGC | ||
| s27 | F: GGTCGATGACAATGGCAAGA | XM_050861302.1 |
| R: CCACAGTACTGGCGGTCAAA |
Disclaimer/Publisher’s Note: The statements, opinions and data contained in all publications are solely those of the individual author(s) and contributor(s) and not of MDPI and/or the editor(s). MDPI and/or the editor(s) disclaim responsibility for any injury to people or property resulting from any ideas, methods, instructions or products referred to in the content. |
© 2026 by the authors. Licensee MDPI, Basel, Switzerland. This article is an open access article distributed under the terms and conditions of the Creative Commons Attribution (CC BY) license.
Share and Cite
Guo, Y.; Huang, P.; Wang, W.; Wu, J.; Du, J.; Li, J.; Gao, J.; Zhu, H.; Gao, J.; Zheng, Y.; et al. Positive Effects of Allicin on Cytotoxicity, Antioxidative Status, and Immunity in “Eriocheir sinensis” Hepatopancreatic Cells Against Oxidative Stress-Induced Injury. Antioxidants 2026, 15, 93. https://doi.org/10.3390/antiox15010093
Guo Y, Huang P, Wang W, Wu J, Du J, Li J, Gao J, Zhu H, Gao J, Zheng Y, et al. Positive Effects of Allicin on Cytotoxicity, Antioxidative Status, and Immunity in “Eriocheir sinensis” Hepatopancreatic Cells Against Oxidative Stress-Induced Injury. Antioxidants. 2026; 15(1):93. https://doi.org/10.3390/antiox15010093
Chicago/Turabian StyleGuo, Yiqing, Peng Huang, Wenhui Wang, Jingwen Wu, Jinliang Du, Jiayi Li, Jiancao Gao, Haojun Zhu, Jun Gao, Yao Zheng, and et al. 2026. "Positive Effects of Allicin on Cytotoxicity, Antioxidative Status, and Immunity in “Eriocheir sinensis” Hepatopancreatic Cells Against Oxidative Stress-Induced Injury" Antioxidants 15, no. 1: 93. https://doi.org/10.3390/antiox15010093
APA StyleGuo, Y., Huang, P., Wang, W., Wu, J., Du, J., Li, J., Gao, J., Zhu, H., Gao, J., Zheng, Y., Zhuang, Y., Xu, G., & Cao, L. (2026). Positive Effects of Allicin on Cytotoxicity, Antioxidative Status, and Immunity in “Eriocheir sinensis” Hepatopancreatic Cells Against Oxidative Stress-Induced Injury. Antioxidants, 15(1), 93. https://doi.org/10.3390/antiox15010093

