Development and In Vitro Cytotoxicity Evaluation of Individual and Combined Injectable Solutions of Curcumin and Resveratrol Against Lung Cancer Cells
Abstract
1. Introduction
2. Materials and Methods
2.1. Chemicals and Reagents
2.2. Solubility Studies of Curcumin (CUR) and Resveratrol (RES)
2.3. Analytical Method for the Quantification of CUR and RES
2.4. Development and Selection of Injectable CUR Formulation
Optimization of the Prototype Formulation
2.5. Development and Selection of Injectable RES Formulation
Optimization of Prototype Formulation
2.6. Evaluation of the Hemolytic Potential of Injectable Formulations
2.7. Evaluation of Injectable Formulations
2.7.1. Stability Studies Under Storage Conditions
2.7.2. Cytotoxic Effect of Injectable Formulations of CUR and RES
Cell Lines
Cell Viability Assay
Representative Images of Cytotoxicity Induced by Injectable Solutions of CUR and RES
2.8. Statistical Analysis
3. Results
3.1. Solubility Studies of CUR and RES
3.2. Development and Selection of Injectable CUR Formulation
3.3. Development and Selection of Injectable RES Formulation
3.4. Evaluation of the Hemolytic Potential of Injectable Formulations
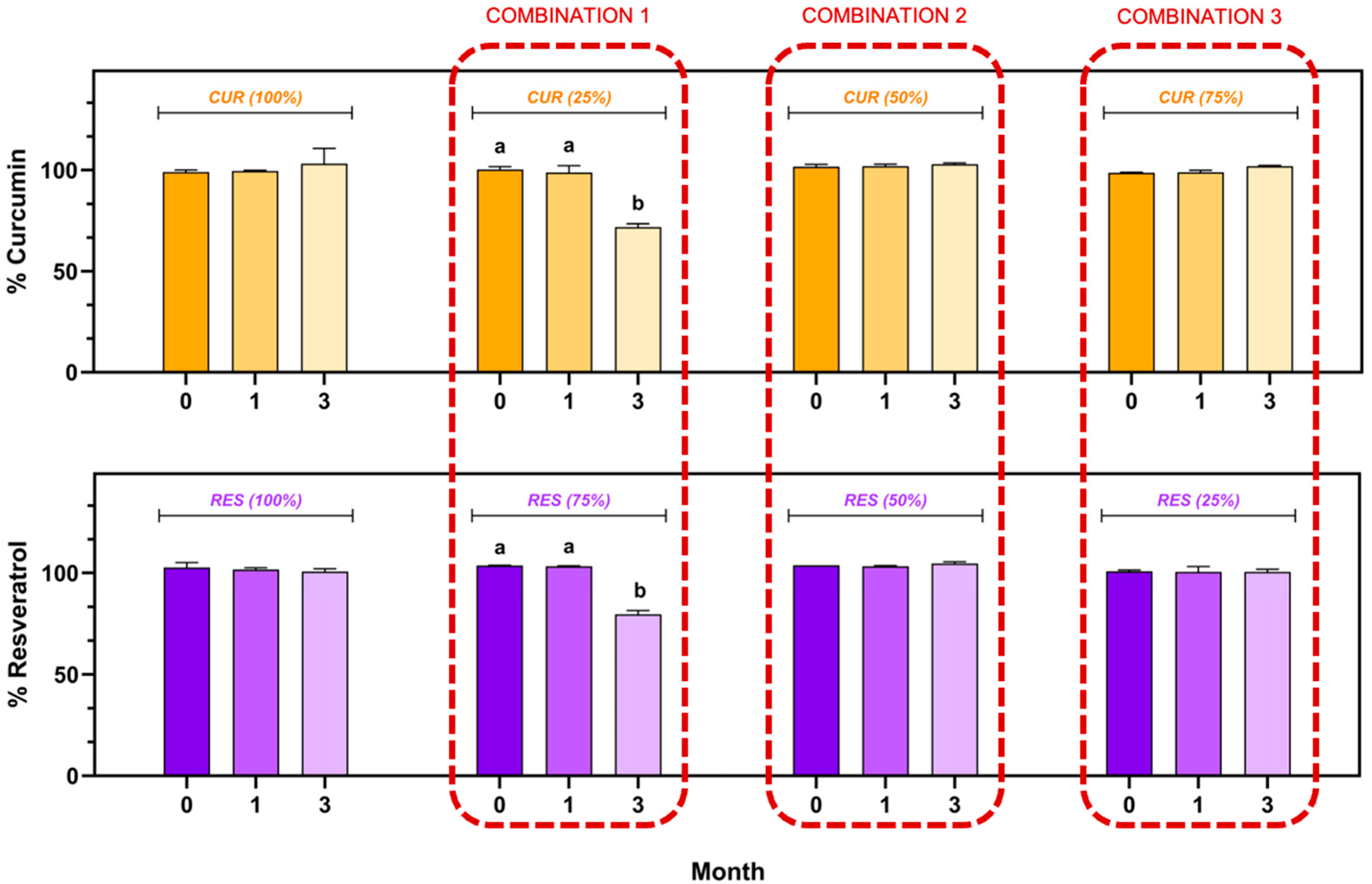
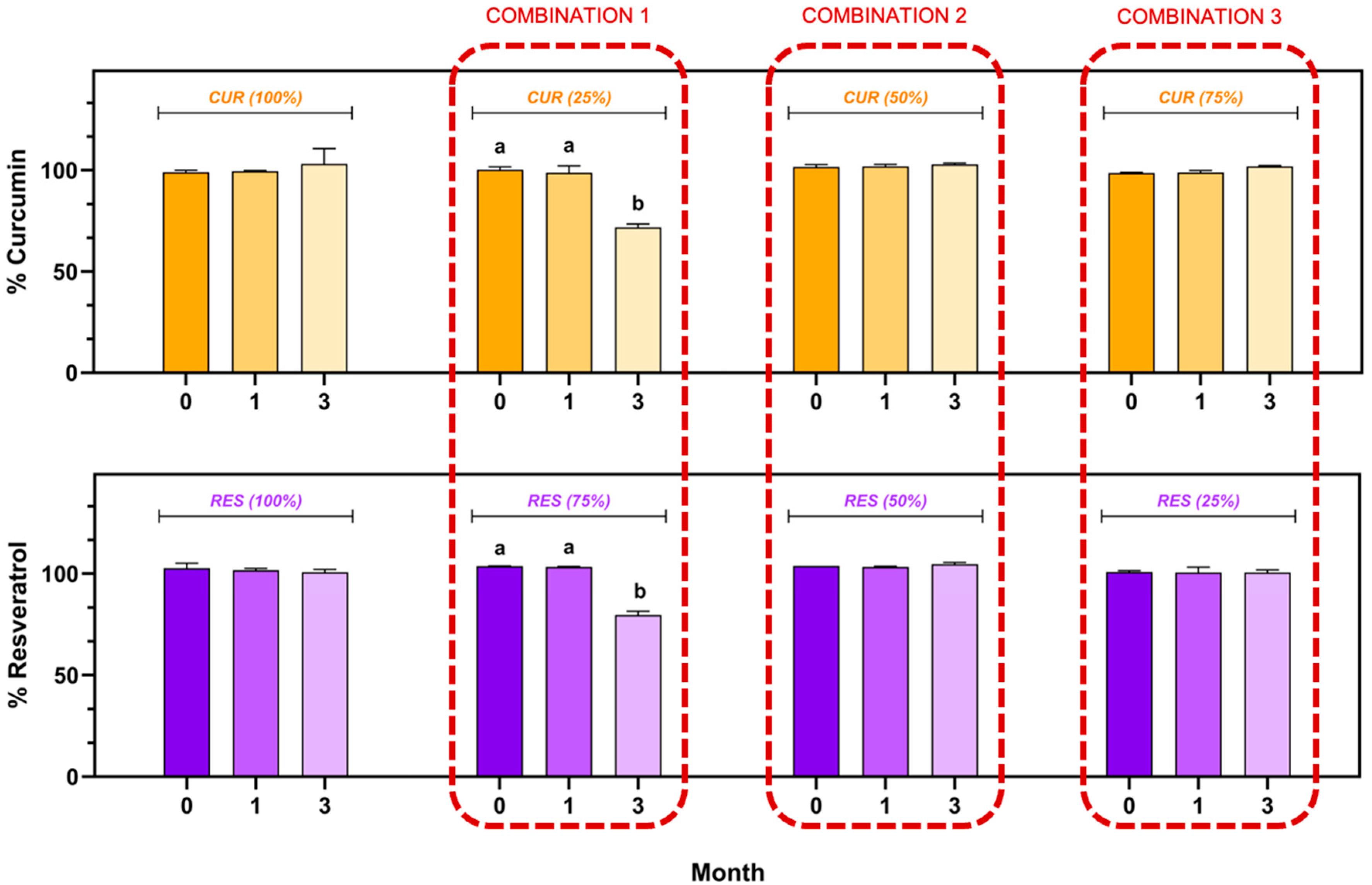
3.5. Stability of Formulations Under Storage Conditions
3.6. Cytotoxic Effects of Injectable Solutions of CUR, RES and Their Combination on Tumor and Non-Tumor Cells
4. Discussion
5. Conclusions
Supplementary Materials
Author Contributions
Funding
Institutional Review Board Statement
Informed Consent Statement
Data Availability Statement
Acknowledgments
Conflicts of Interest
Abbreviations
| CUR | Curcumin |
| RES | Resveratrol |
| NSCLC | Non-small-cell lung cancer |
| ROS | Reactive oxygen species |
| BCS | Biopharmaceutical classification system |
| PEG 400 | Polyethylene glycol 400 |
| PG | Propylene glycol |
| NaCl | Sodium chloride |
| RPMI | Roswell Park Memorial Institute 1640 Medium |
| UPLC | Ultra-performance liquid chromatography |
| ICH | International Conference on Harmonization |
| FDA | Food and Drug Administration |
| EMA | European Medicines Agency |
| WHO | World Health Organization |
| TKIs | EGFR tyrosine kinase inhibitors |
References
- Oliveri, S.; Lanzoni, L.; Veldwijk, J.; de Wit, G.A.; Petrocchi, S.; Janssens, R.; Schoefs, E.; Smith, M.Y.; Smith, I.; Nackaerts, K. Balancing benefits and risks in lung cancer therapies: Patient preferences for lung cancer treatment alternatives. Front. Psychol. 2023, 14, 1062830. [Google Scholar] [CrossRef] [PubMed]
- Cree, I.A.; Charlton, P. Molecular chess? Hallmarks of anti-cancer drug resistance. BMC Cancer 2017, 17, 10. [Google Scholar] [CrossRef]
- Warias, P.; Plewa, P.; Poniewierska-Baran, A. Resveratrol, Piceatannol, Curcumin, and Quercetin as Therapeutic Targets in Gastric Cancer—Mechanisms and Clinical Implications for Natural Products. Molecules 2025, 30, 3. [Google Scholar] [CrossRef]
- Arena, A.; Romeo, M.A.; Benedetti, R.; Masuelli, L.; Bei, R.; Gilardini Montani, M.S.; Cirone, M. New insights into curcumin-and resveratrol-mediated anti-cancer effects. Pharmaceuticals 2021, 14, 1068. [Google Scholar] [CrossRef]
- Xu, X.; Zhang, X.; Zhang, Y.; Wang, Z. Curcumin suppresses the malignancy of non-small cell lung cancer by modulating the circ-PRKCA/miR-384/ITGB1 pathway. Biomed. Pharmacother. 2021, 138, 111439. [Google Scholar] [CrossRef]
- Wang, C.; Song, X.; Shang, M.; Zou, W.; Zhang, M.; Wei, H.; Shao, H. Curcumin Exerts Cytotoxicity Dependent on Reactive Oxygen Species Accumulation in Non-Small-Cell Lung Cancer Cells. Futur. Oncol. 2019, 15, 1243–1253. [Google Scholar] [CrossRef] [PubMed]
- Zhang, T.; Chen, Y.; Ge, Y.; Hu, Y.; Li, M.; Jin, Y. Inhalation treatment of primary lung cancer using liposomal curcumin dry powder inhalers. Acta Pharm. Sin. B 2018, 8, 440–448. [Google Scholar] [CrossRef] [PubMed]
- Yang, S.; Huang, X.-L.; Chen, J.; Mao, L.-N.; Liu, X.; Yuan, W.-S.; Wu, X.-J.; Luo, G.-W. Curcumin protects BEAS-2B cells from PM(2.5)-induced oxidative stress and inflammation by activating NRF2/antioxidant response element pathways. Int. J. Mol. Med. 2021, 47, 45. [Google Scholar] [CrossRef]
- Wright, C.; Iyer, A.K.V.; Yakisich, J.S.; Azad, N. Anti-Tumorigenic Effects of Resveratrol in Lung Cancer Cells Through Modulation of c-FLIP. Curr. Cancer Drug Targets 2017, 17, 669–680. [Google Scholar] [CrossRef]
- Innets, B.; Thongsom, S.; Petsri, K.; Racha, S.; Yokoya, M.; Moriue, S.; Chaotham, C.; Chanvorachote, P. Akt/mTOR targeting activity of resveratrol derivatives in non-small lung cancer. Molecules 2022, 27, 8268. [Google Scholar] [CrossRef]
- Shukla, Y.; Singh, R. Resveratrol and cellular mechanisms of cancer prevention. Ann. N. Y. Acad. Sci. 2011, 1215, 1–8. [Google Scholar] [CrossRef]
- Thongsom, S.; Racha, S.; Petsri, K.; Ei, Z.Z.; Visuttijai, K.; Moriue, S.; Yokoya, M.; Chanvorachote, P. Structural modification of resveratrol analogue exhibits anticancer activity against lung cancer stem cells via suppression of Akt signaling pathway. BMC Complement. Med. Ther. 2023, 23, 183. [Google Scholar] [CrossRef]
- Tiatragoon, W.; Laffleur, F.; Netsomboon, K. Development of curcumin-loaded lipid nanocapsules for drug delivery across mucus. J. Drug Deliv. Sci. Technol. 2024, 99, 106014. [Google Scholar] [CrossRef]
- Hegde, M.; Girisa, S.; BharathwajChetty, B.; Vishwa, R.; Kunnumakkara, A.B. Curcumin Formulations for Better Bioavailability: What We Learned from Clinical Trials Thus Far? ACS Omega 2023, 8, 10713–10746. [Google Scholar] [CrossRef]
- Almeida, H.; Ferreira, B.; Fernandes-Lopes, C.; Araújo, F.; Bonifácio, M.J.; Vasconcelos, T.; Sarmento, B. Third-Generation Solid Dispersion Through Lyophilization Enhanced Oral Bioavailability of Resveratrol. ACS Pharmacol. Transl. Sci. 2024, 7, 888–898. [Google Scholar] [CrossRef]
- Zupančič, Š.; Lavrič, Z.; Kristl, J. Stability and solubility of trans-resveratrol are strongly influenced by pH and temperature. Eur. J. Pharm. Biopharm. 2015, 93, 196–204. [Google Scholar] [CrossRef] [PubMed]
- Trofin, A.-M.; Scripcariu, D.V.; Filipiuc, S.-I.; Neagu, A.-N.; Filipiuc, L.-E.; Tamba, B.-I.; Palaghia, M.M.; Uritu, C.M. From Nature to Nanomedicine: Enhancing the Antitumor Efficacy of Rhein, Curcumin, and Resveratrol. Medicina 2025, 61, 981. [Google Scholar] [CrossRef]
- Herdiana, Y.; Wathoni, N.; Shamsuddin, S.; Muchtaridi, M. Scale-up polymeric-based nanoparticles drug delivery systems: Development and challenges. OpenNano 2022, 7, 100048. [Google Scholar] [CrossRef]
- Nayak, A.K.; Panigrahi, P.P. Solubility Enhancement of Etoricoxib by Cosolvency Approach. Int. Sch. Res. Not. 2012, 2012, 820653. [Google Scholar] [CrossRef]
- European Medicines Agency. ICH Topic Q 2 (R1) validation of analytical procedures: Text and methodology. Prescrire Int. 1995, 20, 278. [Google Scholar]
- Food and Drug. Administration Analytical Procedures and Methods Validation for Drugs and Biologics; US Department of Health and Human Services: Washington, DC, USA, 2015.
- Amin, K.; Dannenfelser, R. In vitro hemolysis: Guidance for the pharmaceutical scientist. J. Pharm. Sci. 2006, 95, 1173–1176. [Google Scholar] [CrossRef]
- Zhang, G.-S.; Hu, P.-Y.; Li, D.-X.; He, M.-Z.; Rao, X.-Y.; Luo, X.-J.; Wang, Y.-S.; Wang, Y.-R. Formulations, Hemolytic and Pharmacokinetic Studies on Saikosaponin a and Saikosaponin d Compound Liposomes. Molecules 2015, 20, 5889–5907. [Google Scholar] [CrossRef]
- Smith, J.; Field, M.; Sugaya, K. Suppression of NANOG Expression Reduces Drug Resistance of Cancer Stem Cells in Glioblastoma. Genes 2023, 14, 1276. [Google Scholar] [CrossRef]
- Ameer, S.F.; Mohamed, M.Y.; Elzubair, Q.A.; Sharif, E.A.M.; Ibrahim, W.N. Curcumin as a novel therapeutic candidate for cancer: Can this natural compound revolutionize cancer treatment? Front. Oncol. 2024, 14, 1438040. [Google Scholar] [CrossRef] [PubMed]
- Bray, F.; Laversanne, M.; Sung, H.; Ferlay, J.; Siegel, R.L.; Soerjomataram, I.; Jemal, A. Global cancer statistics 2022: GLOBOCAN estimates of incidence and mortality worldwide for 36 cancers in 185 countries. CA Cancer J. Clin. 2024, 74, 229–263. [Google Scholar] [CrossRef] [PubMed]
- Zhou, J.; Xu, Y.; Liu, J.; Feng, L.; Yu, J.; Chen, D. Global burden of lung cancer in 2022 and projections to 2050: Incidence and mortality estimates from GLOBOCAN. Cancer Epidemiol. 2024, 93, 102693. [Google Scholar] [CrossRef] [PubMed]
- Zoi, V.; Galani, V.; Lianos, G.D.; Voulgaris, S.; Kyritsis, A.P.; Alexiou, G.A. The Role of Curcumin in Cancer Treatment. Biomedicines 2021, 9, 1086. [Google Scholar] [CrossRef]
- Li, Y.; Yan, B.; He, S. Advances and challenges in the treatment of lung cancer. Biomed. Pharmacother. 2023, 169, 115891. [Google Scholar] [CrossRef]
- Kong, T.; Chen, L.; Zhao, X.; Duan, F.; Zhou, H.; Wang, L.; Liu, D. Anlotinib plus etoposide and cisplatin/carboplatin as first-line therapy for extensive-stage small cell lung cancer (ES-SCLC): A single-arm, phase II study. Investig. New Drugs 2022, 40, 1095–1105. [Google Scholar] [CrossRef]
- Jiang, S.; Huang, L.; Zhen, H.; Jin, P.; Wang, J.; Hu, Z. Carboplatin versus cisplatin in combination with etoposide in the first-line treatment of small cell lung cancer: A pooled analysis. BMC Cancer 2021, 21, 1308. [Google Scholar] [CrossRef]
- Kryczka, J.; Kryczka, J.; Czarnecka-Chrebelska, K.H.; Brzeziańska-Lasota, E. Molecular mechanisms of chemoresistance induced by cisplatin in NSCLC cancer therapy. Int. J. Mol. Sci. 2021, 22, 8885. [Google Scholar] [CrossRef]
- Harvey, R.D.; Adams, V.R.; Beardslee, T.; Medina, P. Afatinib for the treatment of EGFR mutation-positive NSCLC: A review of clinical findings. J. Oncol. Pharm. Pract. 2020, 26, 1461–1474. [Google Scholar] [CrossRef] [PubMed]
- Juthani, R.; Punatar, S.; Mittra, I. New light on chemotherapy toxicity and its prevention. BJC Rep. 2024, 2, 41. [Google Scholar] [CrossRef] [PubMed]
- Anand, U.; Dey, A.; Chandel, A.K.S.; Sanyal, R.; Mishra, A.; Pandey, D.K.; De Falco, V.; Upadhyay, A.; Kandimalla, R.; Chaudhary, A.; et al. Cancer chemotherapy and beyond: Current status, drug candidates, associated risks and progress in targeted therapeutics. Genes Dis. 2023, 10, 1367–1401. [Google Scholar] [CrossRef] [PubMed]
- Zhao, Y.; Liang, L. Curcumin in Cancer Therapy: Mechanisms, Delivery Systems, and Clinical Potential; Kar, S., Ed.; IntechOpen: Rijeka, Croatia, 2025; ISBN 978-1-83635-000-2. [Google Scholar]
- Ochoa-Sanchez, A.; Sahare, P.; Pathak, S.; Banerjee, A.; Estevez, M.; Duttaroy, A.K.; Luna-Bárcenas, G.; Paul, S. Evaluation of the synergistic effects of curcumin-resveratrol co-loaded biogenic silica on colorectal cancer cells. Front. Pharmacol. 2024, 15, 1341773. [Google Scholar] [CrossRef]
- Bejenaru, L.E.; Biţă, A.; Belu, I.; Segneanu, A.-E.; Radu, A.; Dumitru, A.; Ciocîlteu, M.V.; Mogoşanu, G.D.; Bejenaru, C. Resveratrol: A Review on the Biological Activity and Applications. Appl. Sci. 2024, 14, 4534. [Google Scholar] [CrossRef]
- Racz, L.Z.; Racz, C.P.; Pop, L.-C.; Tomoaia, G.; Mocanu, A.; Barbu, I.; Sárközi, M.; Roman, I.; Avram, A.; Tomoaia-Cotisel, M.; et al. Strategies for Improving Bioavailability, Bioactivity, and Physical-Chemical Behavior of Curcumin. Molecules 2022, 27, 6854. [Google Scholar] [CrossRef]
- Jiang, X.; Zuo, L.; Gao, S.; Yang, Q.; Li, Y.; Chen, Y.; Xie, X.; Peng, C. Green Production Pathways, Instability, and Stability of Resveratrol: A Systematic Review. J. Food Biochem. 2025, 2025, 8210896. [Google Scholar] [CrossRef]
- Mahmud, M.M.; Pandey, N.; Winkles, J.A.; Woodworth, G.F.; Kim, A.J. Toward the scale-up production of polymeric nanotherapeutics for cancer clinical trials. Nano Today 2024, 56, 102314. [Google Scholar] [CrossRef]
- Millard, J.W.; Alvarez-Núñez, F.A.; Yalkowsky, S.H. Solubilization by cosolvents: Establishing useful constants for the log–linear model. Int. J. Pharm. 2002, 245, 153–166. [Google Scholar] [CrossRef]
- Pandey, S.K.; Goyal, V.K.; Nalge, P.; Are, P.; Vincent, S.; Nirogi, R. Assessment of toxicity and tolerability of a combination vehicle; 5% Pharmasolve, 45% Propylene glycol and 50% Polyethylene glycol 400 in rats following repeated intravenous administration. Regul. Toxicol. Pharmacol. 2017, 91, 103–108. [Google Scholar] [CrossRef]
- Li, B.; Dong, X.; Fang, S.; Gao, J.; Yang, G.; Zhao, H. Systemic toxicity and toxicokinetics of a high dose of polyethylene glycol 400 in dogs following intravenous injection. Drug Chem. Toxicol. 2011, 34, 208–212. [Google Scholar] [CrossRef]
- European Medicines Agency (EMA). Questions and Answers on Propylene Glycol Used as an Excipient in Medicinal Products for Human Use; Committee for Human Medicinal Products: Amsterdam, The Netherlands, 2017. [Google Scholar]
- Sharma, V.; Pathak, K. Effect of hydrogen bond formation/replacement on solubility characteristics, gastric permeation and pharmacokinetics of curcumin by application of powder solution technology. Acta Pharm. Sin. B 2016, 6, 600–613. [Google Scholar] [CrossRef]
- Chaudhari, V.S.; Bose, S. Curcumin and resveratrol delivery from multi-functionalized calcium phosphate scaffold enhances biological properties. J. Drug Deliv. Sci. Technol. 2023, 90, 105169. [Google Scholar] [CrossRef]
- Rayaprolu, B.M.; Strawser, J.J.; Anyarambhatla, G. Excipients in parenteral formulations: Selection considerations and effective utilization with small molecules and biologics. Drug Dev. Ind. Pharm. 2018, 44, 1565–1571. [Google Scholar] [CrossRef] [PubMed]
- Alam, M.I.; Yadav, A.K. Parenteral Drug Delivery. In Novel Carrier Systems for Targeted and Controlled Drug Delivery; Springer: Berlin/Heidelberg, Germany, 2024; pp. 87–114. [Google Scholar]
- Kharat, M.; Du, Z.; Zhang, G.; McClements, D.J. Physical and chemical stability of curcumin in aqueous solutions and emulsions: Impact of pH, temperature, and molecular environment. J. Agric. Food Chem. 2017, 65, 1525–1532. [Google Scholar] [CrossRef] [PubMed]
- El-Saadony, M.T.; Yang, T.; Korma, S.A.; Sitohy, M.; Abd El-Mageed, T.A.; Selim, S.; Al Jaouni, S.K.; Salem, H.M.; Mahmmod, Y.; Soliman, S.M.; et al. Impacts of turmeric and its principal bioactive curcumin on human health: Pharmaceutical, medicinal, and food applications: A comprehensive review. Front. Nutr. 2023, 9, 1040259. [Google Scholar] [CrossRef] [PubMed]
- Makhov, P.; Naito, S.; Kolenko, V.M. Testing PARP Inhibitors Using a Murine Xenograft Model. In Poly (ADP-Ribose) Polymerase: Methods and Protocols; Springer: Berlin/Heidelberg, Germany, 2017; pp. 313–320. [Google Scholar]
- Tomoaia-Cotisel, M.; Kun, A.-Z.; Rácz, C.-P.; Tomoaia, G.; Mocanu, A.; Forizs, E.; Avram, A.; Rácz, L.-Z.; Pop, L.-C.; Sarkozi, M.; et al. Enhanced stability of curcumin and polyethylene glycol composites in the presence of flavonoids and whey protein concentrate: Synthesis, structural evaluation and thermal analysis. J. Therm. Anal. Calorim. 2025, 150, 4093–4105. [Google Scholar] [CrossRef]
- Sonam, K.S.; Guleria, S. Synergistic antioxidant activity of natural products. Ann. Pharmacol. Pharm. 2017, 2, 1086. [Google Scholar]
- Jaa, A.; de Moura, P.H.; Ruiz-Larrea, M.B.; Ruiz Sanz, J.I.; Richard, T. Potential Transformation of Food Resveratrol: Mechanisms and Biological Impact. Molecules 2025, 30, 536. [Google Scholar] [CrossRef]
- Duarte, D.; Vale, N. Evaluation of synergism in drug combinations and reference models for future orientations in oncology. Curr. Res. Pharmacol. Drug Discov. 2022, 3, 100110. [Google Scholar] [CrossRef]
- Focaccetti, C.; Palumbo, C.; Benvenuto, M.; Carrano, R.; Melaiu, O.; Nardozi, D.; Angiolini, V.; Lucarini, V.; Kërpi, B.; Masuelli, L.; et al. The Combination of Bioavailable Concentrations of Curcumin and Resveratrol Shapes Immune Responses While Retaining the Ability to Reduce Cancer Cell Survival. Int. J. Mol. Sci. 2024, 25, 232. [Google Scholar] [CrossRef]
- Pushpalatha, R.; Selvamuthukumar, S.; Kilimozhi, D. Cyclodextrin nanosponge based hydrogel for the transdermal co-delivery of curcumin and resveratrol: Development, optimization, in vitro and ex vivo evaluation. J. Drug Deliv. Sci. Technol. 2019, 52, 55–64. [Google Scholar] [CrossRef]
- Zhou, X.; Afzal, S.; Zheng, Y.-F.; Münch, G.; Li, C.G. Synergistic Protective Effect of Curcumin and Resveratrol against Oxidative Stress in Endothelial EAhy926 Cells. Evid.-Based Complement. Altern. Med. 2021, 2021, 2661025. [Google Scholar] [CrossRef]
- Sy, B.; Krisa, S.; Richard, T.; Courtois, A. Resveratrol, ε-Viniferin, and Vitisin B from Vine: Comparison of Their In Vitro Antioxidant Activities and Study of Their Interactions. Molecules 2023, 28, 7521. [Google Scholar] [CrossRef]
- Pavan, A.R.; Silva, G.D.B.d.; Jornada, D.H.; Chiba, D.E.; Fernandes, G.F.d.S.; Man Chin, C.; Dos Santos, J.L. Unraveling the anticancer effect of curcumin and resveratrol. Nutrients 2016, 8, 628. [Google Scholar] [CrossRef]
- Ma, J.; Motsinger-Reif, A. Current methods for quantifying drug synergism. Proteom. Bioinform. Curr. Res. 2019, 1, 43. [Google Scholar]
- Ursini, C.; Cavallo, D.; Fresegna, A.; Ciervo, A.; Maiello, R.; Buresti, G.; Casciardi, S.; Iavicoli, S. Differences in Cytotoxic, Genotoxic, and Inflammatory Response of Bronchial and Alveolar Human Lung Epithelial Cells to Pristine and COOH-Functionalized Multiwalled Carbon Nanotubes. BioMed Res. Int. 2014, 2014, 359506. [Google Scholar] [CrossRef] [PubMed]
- Bi, Y.-Y.; Chen, Q.; Yang, M.-Y.; Xing, L.; Jiang, H.-L. Nanoparticles targeting mutant p53 overcome chemoresistance and tumor recurrence in non-small cell lung cancer. Nat. Commun. 2024, 15, 2759. [Google Scholar] [CrossRef] [PubMed]
- Lafi, Z.; Alshaer, W.; Ma’mon, M.H.; Zihlif, M.; Alqudah, D.A.; Nsairat, H.; Azzam, H.; Aburjai, T.; Bustanji, Y.; Awidi, A. Aptamer-functionalized pH-sensitive liposomes for a selective delivery of echinomycin into cancer cells. RSC Adv. 2021, 11, 29164–29177. [Google Scholar] [CrossRef] [PubMed]






| Cosolvent | Solubility of CUR (mg/mL) | Solubility of RES (mg/mL) |
|---|---|---|
| Propylene glycol (PG) | 2.12 ± 0.06 b | 8.92 ± 0 06 a |
| Polyethylene glycol 400 (PEG 400) | 3.62 ± 0.04 a | 2.39 ± 0.04 b |
| Ethanol | 3.60 ± 0.06 a | 2.05 ± 0.03 c |
| Injectable Formulation | Hemolytic Potential (%) | Interpretation |
|---|---|---|
| Sörensen buffer | 0.00 ± 0.00 d | Non-hemolytic |
| Extran® MA 02 | 100.00 ± 0.00 a | Hemolytic |
| CUR | 4.43 ± 0.05 b | Non-hemolytic |
| RES | 2.45 ± 0.06 c | Non-hemolytic |
Disclaimer/Publisher’s Note: The statements, opinions and data contained in all publications are solely those of the individual author(s) and contributor(s) and not of MDPI and/or the editor(s). MDPI and/or the editor(s) disclaim responsibility for any injury to people or property resulting from any ideas, methods, instructions or products referred to in the content. |
© 2025 by the authors. Licensee MDPI, Basel, Switzerland. This article is an open access article distributed under the terms and conditions of the Creative Commons Attribution (CC BY) license (https://creativecommons.org/licenses/by/4.0/).
Share and Cite
Hernández Martínez, X.; Contreras-Ochoa, C.O.; Mir-Garcia, M.; Aguilar-García, N.; Cortés Martínez, H.; Morales-Hipólito, E.A.; Hernández-Ojeda, S.L.; Dolores-Hernández, M.; Solis-Cruz, B.; Espinosa-Aguirre, J.J.; et al. Development and In Vitro Cytotoxicity Evaluation of Individual and Combined Injectable Solutions of Curcumin and Resveratrol Against Lung Cancer Cells. Antioxidants 2025, 14, 983. https://doi.org/10.3390/antiox14080983
Hernández Martínez X, Contreras-Ochoa CO, Mir-Garcia M, Aguilar-García N, Cortés Martínez H, Morales-Hipólito EA, Hernández-Ojeda SL, Dolores-Hernández M, Solis-Cruz B, Espinosa-Aguirre JJ, et al. Development and In Vitro Cytotoxicity Evaluation of Individual and Combined Injectable Solutions of Curcumin and Resveratrol Against Lung Cancer Cells. Antioxidants. 2025; 14(8):983. https://doi.org/10.3390/antiox14080983
Chicago/Turabian StyleHernández Martínez, Ximena, Carla O. Contreras-Ochoa, Marisol Mir-Garcia, Nataly Aguilar-García, Hugo Cortés Martínez, Elvia A. Morales-Hipólito, Sandra L. Hernández-Ojeda, Mariana Dolores-Hernández, Bruno Solis-Cruz, J. J. Espinosa-Aguirre, and et al. 2025. "Development and In Vitro Cytotoxicity Evaluation of Individual and Combined Injectable Solutions of Curcumin and Resveratrol Against Lung Cancer Cells" Antioxidants 14, no. 8: 983. https://doi.org/10.3390/antiox14080983
APA StyleHernández Martínez, X., Contreras-Ochoa, C. O., Mir-Garcia, M., Aguilar-García, N., Cortés Martínez, H., Morales-Hipólito, E. A., Hernández-Ojeda, S. L., Dolores-Hernández, M., Solis-Cruz, B., Espinosa-Aguirre, J. J., Hernandez-Patlan, D., & López-Arellano, R. (2025). Development and In Vitro Cytotoxicity Evaluation of Individual and Combined Injectable Solutions of Curcumin and Resveratrol Against Lung Cancer Cells. Antioxidants, 14(8), 983. https://doi.org/10.3390/antiox14080983

