Chronic Heat Stress Caused Lipid Metabolism Disorder and Tissue Injury in the Liver of Huso dauricus via Oxidative-Stress-Mediated Ferroptosis
Abstract
1. Introduction
2. Materials and Methods
2.1. Overview of the Experimental Conditions
2.2. Sample Collection
2.3. Biochemical Indicators Detection
2.4. Hepatic ROS Fluorescence Staining and Fat Acculation Observation
2.5. Hepatic Immunohistochemistry Analysis
2.6. RNA Extraction, Library Construction, and Sequencing
2.7. Sequence Assembly and Function Annotation Analysis
2.8. Differentially Expressed Gene (DEG) Identification and Enrichment Analysis
2.9. Statistical Analysis
3. Results
3.1. Growth Performance and Survival Rate of Juvenile Huso dauricus Under Heat Stress
3.2. Pathological Changes of Liver Tissue in Huso dauricus Under Heat Stress
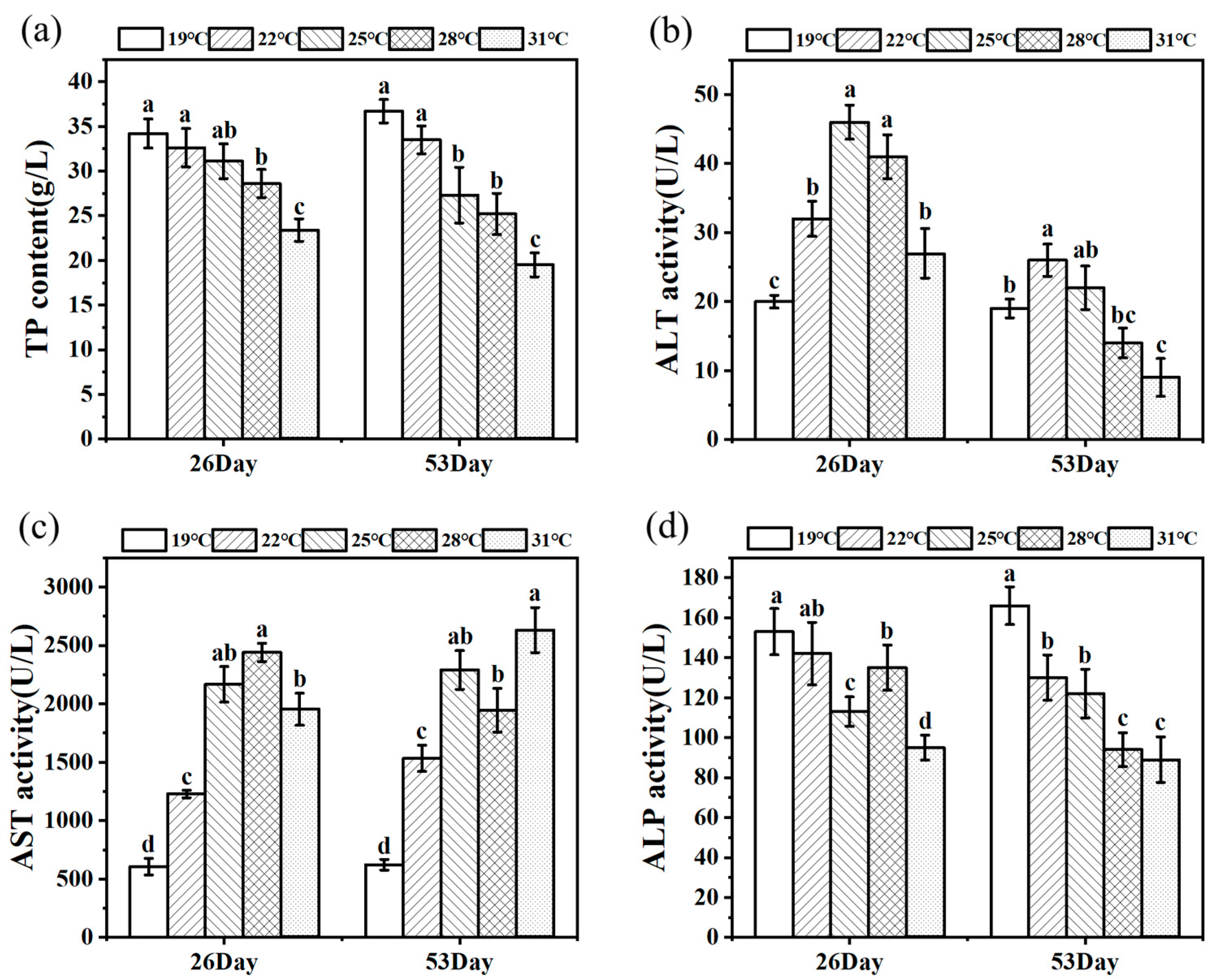
3.3. Effects of Heat Stress on Serum Liver Function Indexes of Juvenile Huso dauricus
3.4. ROS and Fat Content in the Liver Tissue of Juvenile Huso dauricus Under Heat Stress
3.5. Sequencing Data Assembly
3.6. Transcriptome Annotation
3.7. Summary for DEGs
3.8. GO Enrichment Analysis for DEGs
3.9. KEGG Enrichment Analysis for DEGs
3.10. Expression Levels of Ferroptosis/FoxO-Signaling-Pathway-Related Proteins
4. Discussion
4.1. Chronic Heat Stress Caused Hepatic Damage
4.2. Chronic Heat Stress Disrupted the Biochemical Parameter Homeostasis in Serum
4.3. Chronic Heat Stress Induced the Energy Metabolism Unequilibrium
4.4. Chronic Heat Stress Induced the Lipid Metabolism Disturbance
4.5. FOXO1 Signaling Pathway Involved in the Heat-Stress-Induced Liver Function Imbalance
4.6. Chronic Heat Stress Caused Endoplasmic Reticulum Function Collapse
4.7. Chronic Heat Stress Mediated Ferroptosis in Hepatocytes
4.8. Advantage and Limitations
5. Conclusions
Author Contributions
Funding
Institutional Review Board Statement
Informed Consent Statement
Data Availability Statement
Conflicts of Interest
References
- Li, Y.; Wang, R.; Zhai, C.; Chao, D.; Sun, Z.; Zhang, Y.; Ma, B. Dynamic Impacts of Stock Enhancement on Kaluga Sturgeon (Huso dauricus): Novel Conservation Strategy Insights from the Gut Microbe Composition and Gene Expression Mode. Int. J. Mol. Sci. 2025, 26, 1480. [Google Scholar] [CrossRef]
- Dudu, A.; Georgescu, S.E. Exploring the Multifaceted Potential of Endangered Sturgeon: Caviar, Meat and By-Product Benefits. Animals 2024, 14, 2425. [Google Scholar] [CrossRef] [PubMed]
- Koshelev, V.N.; Vilkova, O.Y.; Kotsyuk, D.V. Modern data on the distribution, abundance and qualitative structure of the populations of the Kaluga Huso dauricus and the Amur sturgeon Acipenser schrenckii (Acipenseridae) in the Amur River and the Amur Estuary. J. Ichthyol. 2022, 62, 1394–1403. [Google Scholar] [CrossRef]
- Dong, Y.; Dong, S.; Meng, X. Effects of thermal and osmotic stress on growth, osmoregulation and Hsp70 in sea cucumber (Apostichopus japonicus Selenka). Aquaculture 2008, 276, 179–186. [Google Scholar] [CrossRef]
- Du, J.; Xie, Y.; Li, M.; Zhu, T.; Lei, C.; Song, H.; Han, L.; Li, S. Effects of chronic heat stress on growth performance, liver histology, digestive enzyme activities, and expressions of HSP genes in different populations of Largemouth bass (Micropterus salmoides). Aquac. Rep. 2024, 35, 101972. [Google Scholar] [CrossRef]
- Yan, H.; Du, J.; Li, S.; Lei, C.; Zhu, T.; Han, L.; Song, H. Chronic heat stress is capable of reducing the growth performance, causing damage to the liver structure, and altering the liver glucose metabolism and lipid metabolism in largemouth bass (Micropterus salmoides L.). Fish Physiol. Biochem. 2025, 51, 11–12. [Google Scholar] [CrossRef]
- Hale, M.C.; Jackson, J.R.; Dewoody, J.A. Discovery and evaluation of candidate sex-determining genes and xenobiotics in the gonads of lake sturgeon (Acipenser fulvescens). Genetica 2010, 138, 745–756. [Google Scholar] [CrossRef]
- Lu, C.; Gu, Y.; Li, C.; Cheng, L.; Sun, X. The complete mitochondrial genome of Endangered fish Huso dauricus (Acipenseriformes: Acipenseridae). Mitochondrial DNA Part A 2016, 27, 395–396. [Google Scholar] [CrossRef]
- Yang, S.; Li, D.; Feng, L.; Zhang, C.; Xi, D.; Liu, H.; Yan, C.; Xu, Z.; Zhang, Y.; Li, Y.; et al. Transcriptome analysis reveals the high temperature induced damage is a significant factor affecting the osmotic function of gill tissue in Siberian sturgeon (Acipenser baerii). BMC Genomics 2023, 24, 2. [Google Scholar] [CrossRef]
- Yang, S.; Zhang, C.; Xu, W.; Li, D.; Feng, Y.; Wu, J.; Luo, W.; Du, X.; Du, Z.; Huang, X. Heat stress decreases intestinal physiological function and facilitates the proliferation of harmful intestinal microbiota in sturgeons. Front. Microbiol. 2022, 13, 755369. [Google Scholar] [CrossRef]
- Peng, G.; Zhao, W.; Shi, Z.; Chen, H.; Liu, Y.; Wei, J.; Gao, F. Cloning HSP70 and HSP90 genes of kaluga (Huso dauricus) and the effects of temperature and salinity stress on their gene expression. Cell Stress Chaperones 2016, 21, 349–359. [Google Scholar] [CrossRef]
- Wang, R.; Li, Y.; Zhang, Y.; Wang, S.; He, Z.; Cao, D.; Sun, Z.; Wang, N.; Zhang, Y.; Ma, B. Exploring the Adaptation Process of Huso dauricus to High Temperatures Based on Changes in Intestinal Microbiota. Biology 2024, 13, 1045. [Google Scholar] [CrossRef]
- Petřivalský, M.; Machala, M.; Nezveda, K.; Piačka, V.; Svobodová, Z.; Drábek, P. Glutathione-dependent detoxifying enzymes in rainbow trout liver: Search for specific biochemical markers of chemical stress. Environ. Toxicol. Chem. 1997, 16, 1417–1421. [Google Scholar] [CrossRef]
- Chen, Y.; Wu, X.; Lai, J.; Liu, Y.; Song, M.; Li, F.; Gong, Q. Integrated biochemical, transcriptomic and metabolomic analyses provide insight into heat stress response in Yangtze sturgeon (Acipenser dabryanus). Ecotoxicol. Environ. Saf. 2023, 249, 114366. [Google Scholar] [CrossRef] [PubMed]
- Xu, R.; Xu, P.; Wei, H.; Huang, Y.; Zhu, X.; Lin, C.; Yan, Z.; Xin, L.; Li, L.; Lv, W.; et al. Ticlopidine induces embryonic development toxicity and hepatotoxicity in zebrafish by upregulating the oxidative stress signaling pathway. Ecotoxicol. Environ. Saf. 2023, 262, 115283. [Google Scholar] [CrossRef] [PubMed]
- Li, L.; Zhang, J.; Wang, N.; Li, N.; Jin, H.; Ma, B. Age structure of juvenile Amur sturgeon Acipenser schrenckii and kaluga Huso dauricus in the Fuyuan reach of the Amur River, Northeast China. J. Appl. Ichthyol. 2019, 35, 821–824. [Google Scholar] [CrossRef]
- Koshelev, V.N.; Ruban, G.I. Abnormalities of Muscle and Liver Tissues Structure in the Amur Sturgeon Acipenser schrenckii and Kaluga Huso dauricus (Acipenseridae). Inland Water Biol. 2021, 14, 606–615. [Google Scholar] [CrossRef]
- Li, W.; Shi, Z.; Wang, Y.; Liu, Z.; Qiu, S.; Lu, H.; Han, J. Report on first time reproductive success from full life-cycle culture of Kaluga sturgeon females (Huso dauricus). J. Appl. Ichthyol. 2011, 27, 550–553. [Google Scholar] [CrossRef]
- Baze, M.M.; Schlauch, K.; Hayes, J.P. Gene expression of the liver in response to chronic hypoxia. Physiol. Genomics 2010, 41, 275–288. [Google Scholar] [CrossRef]
- Rodrigues, S.; Antunes, S.C.; Nunes, B.; Correia, A.T. Histopathological effects of the antibiotic erythromycin on the freshwater fish species Oncorhynchus mykiss. Ecotoxicol. Environ. Saf. 2019, 181, 1–10. [Google Scholar] [CrossRef]
- Liu, L.; Zhou, Q.; Lin, C.; He, L.; Wer, L. Histological alterations, oxidative stress, and inflammatory response in the liver of swamp eel (Monopterus albus) acutely exposed to copper. Fish Physiol. Biochem. 2021, 47, 1865–1878. [Google Scholar] [CrossRef] [PubMed]
- Dagoudo, M.; Mutebi, E.T.; Qiang, J.; Tao, Y.; Zhu, H.; Ngoepe, T.K.; Xu, P. Effects of acute heat stress on haemato-biochemical parameters, oxidative resistance ability, and immune responses of hybrid yellow catfish (Pelteobagrus fulvidraco × P. vachelli) juveniles. Vet. Res. Commun. 2023, 47, 1217–1229. [Google Scholar] [CrossRef] [PubMed]
- Amacher, D.E. Serum transaminase elevations as indicators of hepatic injury following the administration of drugs. Regul. Toxicol. Pharm. 1998, 27, 119–130. [Google Scholar] [CrossRef] [PubMed]
- Ozer, J.; Ratner, M.; Shaw, M.; Bailey, W.; Schomaker, S. The current state of serum biomarkers of hepatotoxicity. Toxicology 2008, 245, 194–205. [Google Scholar] [CrossRef]
- Gholizadeh Zare Tavana, B.; Banaee, M.; Yousefi Jourdehi, A.; Nematdoost Haghi, B.; Seyed Hassani, M.H. Effects of dietary Sel-Plex supplement on growth performance, hematological and immunological parameters in Siberian sturgeon (Acipenser baerii Brandt, 1869). Iran. J. Fish. Sci. 2019, 18, 830–846. [Google Scholar]
- Dawood, M.A.O.; Noreldin, A.E.; Sewilam, H. Blood biochemical variables, antioxidative status, and histological features of intestinal, gill, and liver tissues of African catfish (Clarias gariepinus) exposed to high salinity and high-temperature stress. Environ. Sci. Pollut. Res. Int. 2022, 29, 56357–56369. [Google Scholar] [CrossRef]
- Cheng, C.; Guo, Z.; Luo, S.; Wang, A. Effects of high temperature on biochemical parameters, oxidative stress, DNA damage and apoptosis of pufferfish (Takifugu obscurus). Ecotoxicol. Environ. Saf. 2018, 150, 190–198. [Google Scholar] [CrossRef]
- Peng, T.I.; Jou, M.J. Mitochondrial swelling and generation of reactive oxygen species induced by photoirradiation are heterogeneously distributed. Ann. N. Y. Acad. Sci. 2004, 1011, 112–122. [Google Scholar] [CrossRef]
- Genova, M.L.; Pich, M.M.; Bernacchia, A.; Bianchi, C.; Biondi, A.; Bovina, C.; Falasca, A.I.; Formiggini, G.; Castelli, G.P.; Lenaz, G. The mitochondrial production of reactive oxygen species in relation to aging and pathology. Ann. N. Y. Acad. Sci. 2004, 1011, 86–100. [Google Scholar] [CrossRef]
- Choksi, K.B.; Boylston, W.H.; Rabek, J.P.; Widger, W.R.; Papaconstantinou, J. Oxidatively damaged proteins of heart mitochondrial electron transport complexes. Biochim. Biophys. Acta 2004, 1688, 95–101. [Google Scholar] [CrossRef]
- Repa, J.J.; Mangelsdorf, D.J. The role of orphan nuclear receptors in the regulation of cholesterolhomeostasis. Annu. Rev. Cell Dev. Biol. 2000, 16, 459–481. [Google Scholar] [CrossRef]
- Hahn, F.M.; Xuan, J.W.; Chambers, A.F.; Poulter, C.D. Human isopentenyl diphosphate: Dimethylallyl diphosphate isomerase: Overproduction, purification, and characterization. Arch. Biochem. Biophys. 1996, 332, 30–34. [Google Scholar] [CrossRef]
- Dhar, M.K.; Koul, A.; Kaul, S. Farnesyl pyrophosphate synthase: A key enzyme in isoprenoid biosynthetic pathway and potential molecular target for drug development. New Biotechnol. 2013, 30, 114–123. [Google Scholar] [CrossRef]
- Lin, X.; Wang, H.; Pu, X. Protective mechanism of fdft1 in steroid hormone synthesis pathway in SD rats with acute hypoxic injury. Genes Genomics 2020, 42, 1319–1326. [Google Scholar] [CrossRef]
- Gonzalez-Rivera, J.C.; Baldridge, K.C.; Wang, D.S.; Patel, K.; Chuvalo-Abraham, J.C.L.; Hildebrandt Ruiz, L.; Contreras, L.M. Post-transcriptional air pollution oxidation to the cholesterol biosynthesis pathway promotes pulmonary stress phenotypes. Commun. Biol. 2020, 3, 392. [Google Scholar] [CrossRef]
- Brusselmans, K.; Timmermans, L.; Van De Sande, T.; Van Veldhoven, P.P.; Guan, G.; Shechter, I.; Claessens, F.; Verhoeven, G.; Swinnen, J.V. Squalene synthase, a determinant of Raft-associated cholesterol and modulator of cancer cell proliferation. J. Biol. Chem. 2007, 282, 18777–18785. [Google Scholar] [CrossRef] [PubMed]
- Verhague, M.A.; Cheng, D.; Weinberg, R.B.; Shelness, G.S. Apolipoprotein A-IV Expression in MouseLiver Enhances Triglyceride Secretion and Reduces Hepatic Lipid Content by Promoting VeryLow Density Lipoprotein Particle Expansion. Arterioscler. Thromb. Vasc. Biol. 2013, 33, 2501–2508. [Google Scholar] [CrossRef] [PubMed]
- Steinmetz, A.; Barbaras, R.; Ghalim, N.; Clavey, V.; Fruchart, J.C.; Ailhaud, G. Human apolipoprotein A-IV binds to apolipoprotein AI/A-II receptor sites and promotes cholesterol efflux from adipose cells. J. Biol. Chem. 1990, 265, 7859–7863. [Google Scholar] [CrossRef] [PubMed]
- Luo, J.; Yang, H.; Song, B. Mechanisms and regulation of cholesterol homeostasis. Nat. Rev. Mol. Cell Biol. 2020, 21, 225–245. [Google Scholar] [CrossRef]
- Carr, H.S.; Winge, D.R. Assembly of cytochrome c oxidase within the mitochondrion. Acc. Chem. Res. 2003, 36, 309–316. [Google Scholar] [CrossRef]
- Szklarczyk, R.; Wanschers, B.F.J.; Nijtmans, L.G.; Rodenburg, R.J.; Zschocke, J.; Dikow, N.; Van den Brand, M.A.M.; Hendriks-Franssen, M.G.M.; Gilissen, G.; Veltman, G.A.; et al. A mutation in the FAM36A gene, the human ortholog of COX20, impairs cytochrome c oxidase assembly and is associated with ataxia and muscle hypotonia. Hum. Mol. Genet. 2013, 22, 656–667. [Google Scholar] [CrossRef] [PubMed]
- Dong, H.; Ma, Y.; Yu, H.; Wei, Q.; Li, J.; Liu, G.; Li, H.; Chen, L.; Chen, D.; Bai, G.; et al. Bi-allelic loss of function variants in COX20 gene cause autosomal recessive sensory neuronopathy. Brain 2021, 144, 2457–2470. [Google Scholar] [CrossRef] [PubMed]
- Habersetzer, J.; Ziani, W.; Larrieu, I.; Stines-Chaumeil, C.; Giraud, M.F.; Brèthes, D.; Dautant, A.; Paumard, P. ATP synthase oligomerization: From the enzyme models to the mitochondrial morphology. Int. J. Biochem. Cell Biol. 2013, 45, 99–105. [Google Scholar] [CrossRef] [PubMed]
- Pedersen, P.L. Transport ATPases: Structure, motors, mechanism and medicine: A brief overview. J. Bioenerg. Biomembr. 2005, 37, 349–357. [Google Scholar] [CrossRef]
- Ganji, S.H.; Kashyap, M.L.; Kamanna, V.S. Niacin inhibits fat accumulation, oxidative stress, andinflammatory cytokine IL-8 in cultured hepatocytes: Impact on non-alcoholic fatty liver disease. Metabolism 2015, 64, 982–990. [Google Scholar] [CrossRef]
- Xing, Y.; Li, A.; Yang, Y.; Li, X.; Zhang, L.; Guo, H. The regulation of FOXO1 and its role in disease progression. Life Sci. 2018, 193, 124–131. [Google Scholar] [CrossRef]
- Li, Y.; Ma, Z.; Jiang, S.; Hu, W.; Li, T.; Di, S.; Wang, D.; Yang, Y. A global perspective on FOXO1 in lipid metabolism and lipid-related diseases. Prog. Lipid Res. 2017, 66, 42–49. [Google Scholar] [CrossRef]
- Kim, D.H.; Lee, B.; Kim, M.J.; Park, M.H.; An, H.J.; Lee, E.K.; Chung, K.W.; Park, J.W.; Yu, B.P.; Choi, J.S.; et al. Molecular mechanism of betaine on hepatic lipid metabolism: Inhibition of Forkhead box O1 (FoxO1) binding to peroxisome proliferator-activated receptor gamma (PPARγ). J. Agric. Food Chem. 2016, 64, 6819–6825. [Google Scholar] [CrossRef]
- Liu, Y.; Peng, W.; Chen, J.; Su, W.; Yan, W.; Wang, Y.; Jiang, C. FoxO1 is a critical regulator of hepatocyte lipid deposition in chronic stress mice. PeerJ 2019, 7, e7668. [Google Scholar] [CrossRef]
- Kong, X.; Lv, L.; Ren, J.; Liu, Y.; Lin, Z.; Dong, Y. Comparative transcriptome analyses unravel the response to acutethermal stress in the razor clam, Sinonovacula constricta. Aquac. Rep. 2022, 23, 101079. [Google Scholar] [CrossRef]
- Jahan, K.; Nie, H.; Yin, Z.; Zhang, Y.; Li, N.; Yan, X. Comparative transcriptome analysis to reveal the genes andpathways associated with adaptation strategies in two different populations of Manila clam(Ruditapes philippinarum) under acute temperature challenge. Aquaculture 2022, 552, 737999. [Google Scholar] [CrossRef]
- Li, Y.; Huang, J.; Liu, Z.; Zhou, Y.; Xia, B.; Wang, Y.; Kang, Y.; Wang, J. Transcriptome Analysis Provides Insights into Hepatic Responses to Moderate Heat Stress in the Rainbow Trout (Oncorhynchus mykiss). Gene 2017, 619, 1–9. [Google Scholar] [CrossRef] [PubMed]
- Wang, Y.; Li, C.; Pan, C.; Liu, E.; Zhao, X.; Ling, Q. Alterations to transcriptomic profile, histopathology, and oxidative stress in liver of pikeperch (Sander lucioperca) under heat stress. Fish Shellfish Immunol. 2019, 95, 659–669. [Google Scholar] [CrossRef] [PubMed]
- Lee, J.E.; Cathey, P.I.; Wu, H.; Parker, R.; Voeltz, G.K. Endoplasmic reticulum contact sites regulate the dynamics of membraneless organelles. Science 2020, 367, 507–508. [Google Scholar] [CrossRef]
- Wang, M.; Kaufman, R.J. Protein misfolding in the endoplasmic reticulum as a conduit to human disease. Nature 2016, 529, 326–335. [Google Scholar] [CrossRef]
- Martinez-Vicente, M.; Cuervo, A.M. Autophagy and neurodegeneration: When thecleaning crew goes on strike. Lancet Neurol. 2007, 6, 352–361. [Google Scholar] [CrossRef]
- Lee, A.H.; Chu, G.C.; Iwakoshi, N.N.; Glimcher, L.H. XBP-1 is required for biogenesis of cellular secretory machinery of exocrine glands. EMBO J. 2005, 24, 4368–4380. [Google Scholar] [CrossRef]
- Hsu, T.A.; Watson, S.; Eiden, J.J.; Betenbaugh, M.J. Rescue of immunoglobulins from insolubility is facilitated by PDI in the baculovirus expression system. Protein Expr. Purif. 1996, 7, 281–288. [Google Scholar] [CrossRef]
- Tabata, Y.; Takano, K.; Ito, T.; Iinuma, M.; Yoshimoto, T.; Miura, H.; Kitao, Y.; Ogawa, S.; Hori, O. Vaticanol B, a resveratrol tetramer, regulates endoplasmic reticulum stress and inflammation. Am. J. Physiol. Cell Physiol. 2007, 293, C411–C418. [Google Scholar] [CrossRef]
- Xu, S.; Sankar, S.; Neamati, N. Protein disulfide isomerase:a promising target for cancer therapy. Drug Discov. Today 2014, 19, 222–240. [Google Scholar] [CrossRef]
- Ritter, C.; Helenius, A. Recognition of local glycoprotein misfolding by the ER folding sensor UDP-glucose: Glycoprotein glucosyltransferase. Nat. Struct. Biol. 2000, 7, 278–280. [Google Scholar]
- Haapasalo, A.; Viswanathan, J.; Bertram, L.; Soininen, H.; Tanzi, R.E.; Hiltunen, M. Emerging role of Alzheimer’sdisease-associated ubiquilin-1 in protein aggregation. Biochem. Soc. Trans. 2010, 38, 150–155. [Google Scholar] [CrossRef]
- Oberhauser, F. Beteiligung von OS-9 an der ER-Assoziierten Degradation (ERAD) bei Familiärer Enzephalopathie mit Neuroserpin-Einschlüssen (FENIB). Ph.D. Thesis, Staats-Und Universitätsbibliothek Hamburg Carl von Ossietzky, Hamburg, Germany, 2013. [Google Scholar]
- Wu, Z.; Yang, Y.; Zhou, L.; Chi, C.; Sun, X.; Wu, B.; Liu, Z.; Wang, Y. Transcriptome sequencing reveals the response to acute thermalstress in the Pacific Abalone, Haliotis discus hannai. Aquac. Rep. 2023, 8, 7621215. [Google Scholar]
- Xie, L.; Chen, S.; Yao, C.; Li, D.; Li, L.; Tang, R. Nitrite Induces Endoplasmic Reticulum Stress andAssociates Apoptosis of Liver Cells in Grass Carp (Ctenopharyngodon idella). Aquaculture 2019, 507, 275–281. [Google Scholar] [CrossRef]
- Rochette, L.; Dogon, G.; Rigal, E.; Zeller, M.; Cottin, Y.; Vergely, C. Lipid Peroxidation and Iron Metabolism: Two Corner Stones in the Homeostasis Control of Ferroptosis. Int. J. Mol. Sci. 2022, 24, 449. [Google Scholar] [CrossRef] [PubMed]
- Badgley, M.A.; Kremer, D.M.; Maurer, H.C.; DelGiorno, K.E.; Lee, H.J.; Purohit, V.; Sagalovskiy, I.R.; Ma, A.; Kapilian, J.; Firl, C.E.M.; et al. Cysteine depletion induces pancreatic tumor ferroptosis in mice. Science 2020, 368, 85–89. [Google Scholar] [CrossRef] [PubMed]
- D’Herde, K.; Krysko, D.V. Ferroptosis: Oxidized PEs trigger death. Nat. Chem. Biol. 2017, 13, 4–5. [Google Scholar] [CrossRef] [PubMed]
- Liang, C.; Zhang, X.; Yang, M.; Dong, X. Recent Progress in Ferroptosis Inducers for Cancer Therapy. Adv. Mater. 2019, 31, e1904197. [Google Scholar] [CrossRef]
- Forcina, G.C.; Dixon, S.J. GPX4 at the Crossroads of Lipid Homeostasis and Ferroptosis. Proteomics 2019, 19, e1800311. [Google Scholar] [CrossRef]
- Ye, X.; Zhu, Y.; Yang, Y.; Qiu, S.; Liu, W. Biogenic selenium nanoparticles synthesized with alginate oligosaccharides alleviate heat stress-induced oxidative damage to organs in broilers through activating Nrf2-mediated anti-oxidation and anti-ferroptosis pathways. Antioxidants 2023, 12, 1973. [Google Scholar] [CrossRef]
- Dixon, S.J.; Lemberg, K.M.; Lamprecht, M.R.; Skouta, R.; Zaitsev, E.M.; Gleason, G.E.; Patel, D.N.; Bauer, A.J.; Cantley, A.M.; Yang, W.S.; et al. Ferroptosis: An iron-dependent form of nonapoptotic cell death. Cell 2012, 149, 1060–1072. [Google Scholar] [CrossRef]
- Stockwell, B.R.; Jiang, X.; Gu, W. Emerging Mechanisms and Disease Relevance of Ferroptosis. Trends Cell Biol. 2020, 30, 478–490. [Google Scholar] [CrossRef]
- Tang, D.; Chen, X.; Kang, R.; Kroemer, G. Ferroptosis: Molecular mechanisms and health implications. Cell Res. 2020, 31, 107–125. [Google Scholar] [CrossRef]













| Component | Contents (%) | 
|---|---|
| Crude protein | ≥43 | 
| Crude fat | ≥8 | 
| Crude fibre | ≤6 | 
| Crude ash | ≤17 | 
| Calcium | ≤5 | 
| Total phosphorus | ≥1.0 | 
| Lysine | ≥2.0 | 
| Moisture | ≤12 | 
| Sample | Raw Reads (M) | Raw Bases (G) | Clean Reads (M) | Clean Bases (G) | Valid Bases (%) | Q30 (%) | GC (%) | 
|---|---|---|---|---|---|---|---|
| D5319G1 | 49.04 | 7.36 | 48.27 | 6.95 | 94.54 | 93.93 | 47.02 | 
| D5319G2 | 48.13 | 7.22 | 47.38 | 6.81 | 94.35 | 93.59 | 47.24 | 
| D5319G3 | 47.50 | 7.13 | 46.79 | 6.69 | 93.84 | 94.48 | 47.04 | 
| D5328G1 | 48.74 | 7.31 | 48.03 | 6.91 | 94.46 | 94.06 | 47.10 | 
| D5328G2 | 51.33 | 7.70 | 50.52 | 7.25 | 94.12 | 94.16 | 47.79 | 
| D5328G3 | 47.62 | 7.14 | 46.87 | 6.73 | 94.26 | 94.11 | 48.01 | 
| D5331G1 | 48.03 | 7.20 | 47.28 | 6.76 | 93.89 | 94.74 | 48.48 | 
| D5331G2 | 48.97 | 7.35 | 48.19 | 6.90 | 93.89 | 94.60 | 47.54 | 
| D5331G3 | 49.61 | 7.44 | 48.88 | 7.00 | 94.06 | 94.76 | 48.30 | 
| Database | Number of Notes | 300 ≤ Length < 1000 | Length ≥ 1000 | 
|---|---|---|---|
| NR | 47,886 (43.61%) | 19,432 (17.69%) | 28,454 (25.91%) | 
| Swissprot | 38,140 (34.73%) | 12,585 (11.46%) | 25,555 (23.27%) | 
| KEGG | 15,570 (14.18%) | 5268 (4.80%) | 10,302 (9.38%) | 
| KOG | 27,149 (24.72%) | 8420 (7.67%) | 18,729 (17.05%) | 
| eggNOG | 40,794 (37.15%) | 14,412 (13.12%) | 26,382 (24.02%) | 
| GO | 33,749 (30.73%) | 11,069 (10.08%) | 22,680 (20.65%) | 
| Pfam | 29,707 (27.05%) | 7023 (6.40%) | 22,684 (20.66%) | 
| Disclaimer/Publisher’s Note: The statements, opinions and data contained in all publications are solely those of the individual author(s) and contributor(s) and not of MDPI and/or the editor(s). MDPI and/or the editor(s) disclaim responsibility for any injury to people or property resulting from any ideas, methods, instructions or products referred to in the content. | 
© 2025 by the authors. Licensee MDPI, Basel, Switzerland. This article is an open access article distributed under the terms and conditions of the Creative Commons Attribution (CC BY) license (https://creativecommons.org/licenses/by/4.0/).
Share and Cite
Zhang, Y.; Li, Y.; Wang, R.; Wang, S.; Sun, B.; Cao, D.; Sun, Z.; Lv, W.; Ma, B.; Zhang, Y. Chronic Heat Stress Caused Lipid Metabolism Disorder and Tissue Injury in the Liver of Huso dauricus via Oxidative-Stress-Mediated Ferroptosis. Antioxidants 2025, 14, 926. https://doi.org/10.3390/antiox14080926
Zhang Y, Li Y, Wang R, Wang S, Sun B, Cao D, Sun Z, Lv W, Ma B, Zhang Y. Chronic Heat Stress Caused Lipid Metabolism Disorder and Tissue Injury in the Liver of Huso dauricus via Oxidative-Stress-Mediated Ferroptosis. Antioxidants. 2025; 14(8):926. https://doi.org/10.3390/antiox14080926
Chicago/Turabian StyleZhang, Yining, Yutao Li, Ruoyu Wang, Sihan Wang, Bo Sun, Dingchen Cao, Zhipeng Sun, Weihua Lv, Bo Ma, and Ying Zhang. 2025. "Chronic Heat Stress Caused Lipid Metabolism Disorder and Tissue Injury in the Liver of Huso dauricus via Oxidative-Stress-Mediated Ferroptosis" Antioxidants 14, no. 8: 926. https://doi.org/10.3390/antiox14080926
APA StyleZhang, Y., Li, Y., Wang, R., Wang, S., Sun, B., Cao, D., Sun, Z., Lv, W., Ma, B., & Zhang, Y. (2025). Chronic Heat Stress Caused Lipid Metabolism Disorder and Tissue Injury in the Liver of Huso dauricus via Oxidative-Stress-Mediated Ferroptosis. Antioxidants, 14(8), 926. https://doi.org/10.3390/antiox14080926
 
        


 
       