Gossypin-Loaded Ethosome Gel for Cutaneous Administration: A Preliminary Study on Melanoma Cells
Abstract
1. Introduction
2. Materials and Methods
2.1. Materials
2.2. Preparation of Ethosomes
2.2.1. Water Injection (WI)
2.2.2. Ethanol Injection (EI)
2.3. Photon Correlation Spectroscopy (PCS) and Zeta Potential Measurements
2.4. Morphological Characterization by Cryogenic Transmission Electron Microscopy (Cryo-TEM)
2.5. Entrapment Capacity Evaluation
2.6. Franz Cells Experiments
2.6.1. IVRT
2.6.2. IVPT
2.7. HPLC Analysis
2.8. Preparation and Characterization of ET Gel
Spreadability Test
2.9. X-Ray Diffraction
2.10. Antioxidant Activity
1,1-Diphenyl-2-Picrylhydrazil (DPPH) Radical Scavenging Assay
2.11. Biological Activity
2.11.1. 3-(4,5-Dimethylthiazol-2-yl)-2,5-Diphenyltetrazolium Bromide (MTT) Assay
2.11.2. Wound Healing Assay
2.11.3. Cell Migration Assay
3. Results and Discussion
3.1. Preparation of Ethosomes
3.2. Size Distribution and Stability
3.3. Morphological Characterization
3.4. Preparation of GOS-Loaded Ethosomes
3.5. Entrapment Capacity Evaluation
3.6. IVRT
3.7. IVPT
3.8. Ethosomal Gel Preparation and Characterization
3.9. Small- and Wide-Angle X-Ray Scattering
3.10. Antioxidant Activity
3.11. IVRTs and IVPTs of GOS-Loaded Ethosome Gel
3.12. Biological Activity Studies
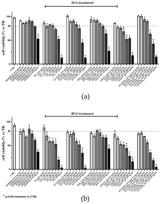
3.12.1. MTT Assay
3.12.2. Wound Healing Assay
3.12.3. Transwell Migration Assay
4. Conclusions
Supplementary Materials
Author Contributions
Funding
Institutional Review Board Statement
Informed Consent Statement
Data Availability Statement
Acknowledgments
Conflicts of Interest
References
- Arnold, M.; Singh, D.; Laversanne, M.; Vignat, J.; Vaccarella, S.; Meheus, F.; Cust, A.E.; De Vries, E.; Whiteman, D.C.; Bray, F. Global Burden of Cutaneous Melanoma in 2020 and Projections to 2040. JAMA Dermatol. 2022, 158, 495–503. [Google Scholar] [CrossRef]
- Schadendorf, D.; van Akkooi, A.C.J.; Berking, C.; Griewank, K.G.; Gutzmer, R.; Hauschild, A.; Stang, A.; Roesch, A.; Ugurel, S. Melanoma. Lancet 2018, 392, 971–984. [Google Scholar] [CrossRef] [PubMed]
- Leonardi, G.C.; Falzone, L.; Salemi, R.; Zanghì, A.; Spandidos, D.A.; Mccubrey, J.A.; Candido, S.; Libra, M. Cutaneous Melanoma: From Pathogenesis to Therapy (Review). Int. J. Oncol. 2018, 52, 1071–1080. [Google Scholar] [CrossRef] [PubMed]
- Kozar, I.; Margue, C.; Rothengatter, S.; Haan, C.; Kreis, S. Many Ways to Resistance: How Melanoma Cells Evade Targeted Therapies. Biochim. Biophys. Acta (BBA) Rev. Cancer 2019, 1871, 313–322. [Google Scholar] [CrossRef] [PubMed]
- Benedusi, M.; Lee, H.; Lim, Y.; Valacchi, G. Oxidative State in Cutaneous Melanoma Progression: A Question of Balance. Antioxidants 2024, 13, 1058. [Google Scholar] [CrossRef] [PubMed]
- Sitarek, P.; Kowalczyk, T.; Wieczfinska, J.; Merecz-Sadowska, A.; Górski, K.; Śliwiński, T.; Skała, E. Plant Extracts as a Natural Source of Bioactive Compounds and Potential Remedy for the Treatment of Certain Skin Diseases. Curr. Pharm. Des. 2020, 26, 2859–2875. [Google Scholar] [CrossRef]
- Yoon, Y.E.; Jung, Y.J.; Lee, S.J. The Anticancer Activities of Natural Terpenoids That Inhibit Both Melanoma and Non-Melanoma Skin Cancers. Int. J. Mol. Sci. 2024, 25, 4423. [Google Scholar] [CrossRef]
- Jejurkar, G.; Chavan, M. Therapeutic Benefits of Gossypin as an Emerging Phytoconstituents of Hibiscus spp.: A Critical Review. Future J. Pharm. Sci. 2023, 9, 95. [Google Scholar] [CrossRef]
- Song, B.; Shen, X.; Tong, C.; Zhang, S.; Chen, Q.; Li, Y.; Li, S. Gossypin: A Flavonoid with Diverse Pharmacological Effects. Chem. Biol. Drug. Des. 2023, 101, 131–137. [Google Scholar] [CrossRef]
- Bhaskaran, S.; Dileep, K.V.; Deepa, S.S.; Sadasivan, C.; Klausner, M.; Krishnegowda, N.K.; Tekmal, R.R.; VandeBerg, J.L.; Nair, H.B. Gossypin as a Novel Selective Dual Inhibitor of V-RAF Murine Sarcoma Viral Oncogene Homolog B1 and Cyclin-Dependent Kinase 4 for Melanoma. Mol. Cancer Ther. 2013, 12, 361–372. [Google Scholar] [CrossRef] [PubMed]
- Rajkumar, J.; Radha, G.V.; Ganapaty, S. Topical Drug Delivery Of Gossypin From Proniosomal Gel Formulations: In Vitro Efficacy Against Human Melanoma Cells. Int. J. Appl. Pharm. 2021, 13, 144–152. [Google Scholar] [CrossRef]
- Benson, H.A.E.; Watkinson, A.C. Transdermal and Topical Drug Delivery: Principles and Practice; Wiley: Hoboken, NJ, USA, 2012. [Google Scholar] [CrossRef]
- Touitou, E.; Dayan, N.; Bergelson, L.; Godin, B.; Eliaz, M. Ethosomes—Novel Vesicular Carriers for Enhanced Delivery: Characterization and Skin Penetration Properties. J. Control. Release 2000, 65, 403–418. [Google Scholar] [CrossRef] [PubMed]
- Esposito, E.; Pecorelli, A.; Ferrara, F.; AnnLila, M.; Valacchi, G. Feeding the Body Through the Skin: Ethosomes and Transethosomes as a New Topical Delivery System for Bioactive Compounds. Annu. Rev. Food Sci. Technol. 2024, 15, 53–78. [Google Scholar] [CrossRef]
- Sala, M.; Diab, R.; Elaissari, A.; Fessi, H. Lipid Nanocarriers as Skin Drug Delivery Systems: Properties, Mechanisms of Skin Interactions and Medical Applications. Int. J. Pharm. 2018, 535, 1–17. [Google Scholar] [CrossRef] [PubMed]
- Emanet, M.; Ciofani, G. Ethosomes as Promising Transdermal Delivery Systems of Natural-Derived Active Compounds. Adv. Nanobiomed. Res. 2023, 3, 2300020. [Google Scholar] [CrossRef]
- Sguizzato, M.; Esposito, E.; Cortesi, R. Lipid-Based Nanosystems as a Tool to Overcome Skin Barrier. Int. J. Mol. Sci. 2021, 22, 8319. [Google Scholar] [CrossRef]
- Esposito, E.; Calderan, L.; Galvan, A.; Cappellozza, E.; Drechsler, M.; Mariani, P.; Pepe, A.; Sguizzato, M.; Vigato, E.; Dalla Pozza, E.; et al. Ex Vivo Evaluation of Ethosomes and Transethosomes Applied on Human Skin: A Comparative Study. Int. J. Mol. Sci. 2022, 23, 15112. [Google Scholar] [CrossRef]
- Pecora, R. Dynamic Light Scattering Measurement of Nanometer Particles in Liquids. J. Nanoparticle Res. 2000, 2, 123–131. [Google Scholar] [CrossRef]
- Sze, A.; Erickson, D.; Ren, L.; Li, D. Zeta-Potential Measurement Using the Smoluchowski Equation and the Slope of the Current-Time Relationship in Electroosmotic Flow. J. Colloid Interface Sci. 2003, 261, 402–410. [Google Scholar] [CrossRef] [PubMed]
- Krishnaswamy, S.R.; Gabrovski, I.A.; Patmanidis, I.; Stuart, M.C.A.; de Vries, A.H.; Pshenichnikov, M.S. Cryogenic TEM Imaging of Artificial Light Harvesting Complexes Outside Equilibrium. Sci. Rep. 2022, 12, 5552. [Google Scholar] [CrossRef]
- Valentin, J.D.P.; Kadakia, P.; Varidel, L.J.; Stuart, M.C.A.; Salentinig, S. Colloidal Structure Dictates Antimicrobial Efficacy in LL-37 Self-Assemblies With Glycerol Monooleate. Small 2024, 20, e2405131. [Google Scholar] [CrossRef] [PubMed]
- Miranda, M.; Pais, A.A.C.C.; Cardoso, C.; Vitorino, C. AQbD as a Platform for IVRT Method Development—A Regulatory Oriented Approach. Int. J. Pharm. 2019, 572, 118695. [Google Scholar] [CrossRef]
- European Medicines Agency. Draft Guideline on Quality and Equivalence of Topical Products; European Medicines Agency: Amsterdam, The Netherlands, 2018; Available online: https://www.ema.europa.eu/en/documents/scientific-guideline/draft-guideline-quality-and-equivalence-topical-products_en.pdf (accessed on 30 December 2024).
- Siepmann, J.; Siepmann, F. Modeling of Diffusion Controlled Drug Delivery. J. Control. Release 2012, 161, 351–362. [Google Scholar] [CrossRef] [PubMed]
- Le Guyader, G.; Do, B.; Vieillard, V.; Andrieux, K.; Paul, M. Comparison of the In Vitro and Ex Vivo Permeation of Existing Topical Formulations Used in the Treatment of Facial Angiofibroma and Characterization of the Variations Observed. Pharmaceutics 2020, 12, 1060. [Google Scholar] [CrossRef]
- Sguizzato, M.; Mariani, P.; Ferrara, F.; Drechsler, M.; Hallan, S.S.; Huang, N.; Simelière, F.; Khunti, N.; Cortesi, R.; Marchetti, N.; et al. Nanoparticulate Gels for Cutaneous Administration of Caffeic Acid. Nanomaterials 2020, 10, 961. [Google Scholar] [CrossRef] [PubMed]
- Amenitsch, H.; Bernstorff, S.; Laggner, P. High-flux Beamline for Small-angle X-ray Scattering at ELETTRA. Rev. Sci. Instrum. 1995, 66, 1624–1626. [Google Scholar] [CrossRef]
- Wang, M.; Li, J.; Rangarajan, M.; Shao, Y.; LaVoie, E.J.; Huang, T.C.; Ho, C.T. Antioxidative Phenolic Compounds from Sage (Salvia officinalis). J. Agric. Food Chem. 1998, 46, 4869–4873. [Google Scholar] [CrossRef]
- Fallacara, A.; Vertuani, S.; Panozzo, G.; Pecorelli, A.; Valacchi, G.; Manfredini, S. Novel Artificial Tears Containing Cross-Linked Hyaluronic Acid: An In Vitro Re-Epithelialization Study. Molecules 2017, 22, 2104. [Google Scholar] [CrossRef]
- Rosseto, H.C.; de Alcântara Sica de Toledo, L.; de Francisco, L.M.B.; Esposito, E.; Lim, Y.; Valacchi, G.; Cortesi, R.; Bruschi, M.L. Nanostructured Lipid Systems Modified with Waste Material of Propolis for Wound Healing: Design, in Vitro and in Vivo Evaluation. Colloids Surf. B Biointerfaces 2017, 158, 441–452. [Google Scholar] [CrossRef]
- Ferrara, F.; Benedusi, M.; Sguizzato, M.; Cortesi, R.; Baldisserotto, A.; Buzzi, R.; Valacchi, G.; Esposito, E. Ethosomes and Transethosomes as Cutaneous Delivery Systems for Quercetin: A Preliminary Study on Melanoma Cells. Pharmaceutics 2022, 14, 1038. [Google Scholar] [CrossRef] [PubMed]
- Hallan, S.S.; Sguizzato, M.; Mariani, P.; Cortesi, R.; Huang, N.; Simelière, F.; Marchetti, N.; Drechsler, M.; Ruzgas, T.; Esposito, E. Design and Characterization of Ethosomes for Transdermal Delivery of Caffeic Acid. Pharmaceutics 2020, 12, 740. [Google Scholar] [CrossRef] [PubMed]
- Ferrara, F.; Bondi, A.; Pula, W.; Contado, C.; Baldisserotto, A.; Manfredini, S.; Boldrini, P.; Sguizzato, M.; Montesi, L.; Benedusi, M.; et al. Ethosomes for Curcumin and Piperine Cutaneous Delivery to Prevent Environmental-Stressor-Induced Skin Damage. Antioxidants 2024, 13, 91. [Google Scholar] [CrossRef]
- Choi, S.; Kang, B.; Yang, E.; Kim, K.; Kwak, M.K.; Chang, P.S.; Jung, H.S. Precise Control of Liposome Size Using Characteristic Time Depends on Solvent Type and Membrane Properties. Sci. Rep. 2023, 13, 4728. [Google Scholar] [CrossRef] [PubMed]
- Esposito, E.; De Vries, H.E.; van der Pol, S.M.; Boschi, F.; Calderan, L.; Mannucci, S.; Drechsler, M.; Contado, C.; Cortesi, R.; Nastruzzi, C. Production, Physico-Chemical Characterization and Biodistribution Studies of Lipid Nanoparticles. J. Nanomed. Nanotechnol. 2015, 6, 1. [Google Scholar] [CrossRef]
- Costa, P.; Sousa Lobo, J.M. Modeling and Comparison of Dissolution Profiles. Eur. J. Pharm. Sci. 2001, 13, 123–133. [Google Scholar] [CrossRef]
- Haq, A.; Goodyear, B.; Ameen, D.; Joshi, V.; Michniak-Kohn, B. Strat-M® Synthetic Membrane: Permeability Comparison to Human Cadaver Skin. Int. J. Pharm. 2018, 547, 432–437. [Google Scholar] [CrossRef]
- United States Pharmacopeia. 〈1724〉 Semisolid Drug Products—Performance Tests; United States Pharmacopeia: Rockville, MD, USA, 2024. [Google Scholar] [CrossRef]
- Ng, S.F.; Rouse, J.; Sanderson, D.; Eccleston, G. A Comparative Study of Transmembrane Diffusion and Permeation of Ibuprofen across Synthetic Membranes Using Franz Diffusion Cells. Pharmaceutics 2010, 2, 209–223. [Google Scholar] [CrossRef]
- Nsengiyumva, E.M.; Alexandridis, P. Xanthan Gum in Aqueous Solutions: Fundamentals and Applications. Int. J. Biol. Macromol. 2022, 216, 583–604. [Google Scholar] [CrossRef] [PubMed]
- Sguizzato, M.; Ferrara, F.; Mariani, P.; Pepe, A.; Cortesi, R.; Huang, N.; Simelière, F.; Boldrini, P.; Baldisserotto, A.; Valacchi, G.; et al. “Plurethosome” as Vesicular System for Cutaneous Administration of Mangiferin: Formulative Study and 3D Skin Tissue Evaluation. Pharmaceutics 2021, 13, 1124. [Google Scholar] [CrossRef] [PubMed]
- Yu, X.; Du, L.; Li, Y.; Fu, G.; Jin, Y. Improved Anti-Melanoma Effect of a Transdermal Mitoxantrone Ethosome Gel. Biomed. Pharmacother. 2015, 73, 6–11. [Google Scholar] [CrossRef] [PubMed]








| Formulation | PC 1 (%, w/w) | Ethanol (%, w/w) | Water (%, w/w) | GOS 2 (%, w/w) |
|---|---|---|---|---|
| ETWI/ETEI | 0.9 | 29.1 | 70 | - |
| ET-GOSWI/ET-GOSEI | 0.9 | 28.8 | 70 | 0.03 |
| Formulation | Time (Days) | Z-Average (nm) ± s.d. | Dispersity Index ± s.d. | EC 1 (%) |
|---|---|---|---|---|
| ETWI | 1 | 213.73 ± 9.72 | 0.150 ± 0.01 | - |
| 60 | 243.20 ± 0.00 | 0.260 ± 0.00 | - | |
| ETEI | 1 | 146.78 ± 4.10 | 0.192 ± 0.02 | - |
| 60 | 155.33 ± 6.14 | 0.198 ± 0.00 | - | |
| ET-GOSWI | 1 | 197.13 ± 11.43 | 0.148 ± 0.03 | 89.9 ± 7.5 |
| 60 | 202.67 ± 5.45 | 0.163 ± 0.06 | - | |
| ET-GOSEI | 1 | 148.70 ± 7.75 | 0.166 ± 0.02 | 94.3 ± 4.5 |
| 60 | 165.25 ± 4.74 | 0.193 ± 0.02 | - |
| Formulation | R 1 (µg/cm2/h) | A 2 (µg/cm2) | Zero Order Plot (R2) | First Order Plot (R2) | Higuchi Plot (R2) | Peppas Plot (n/R2) |
|---|---|---|---|---|---|---|
| ET-GOSWI | 10.77 ± 2.57 | 146.15 ± 5.15 | 0.968 | 0.973 | 0.909 | 1.46/0.950 |
| ET-GOSEI | 9.27 ± 1.70 | 147.60 ± 9.12 | 0.970 | 0.975 | 0.896 | 1.66/0.936 |
| SOL-GOS | 43.27 ± 7.14 | 199.14 ± 29.69 | 0.972 | 0.989 | 0.924 | 1.93/0.729 |
| IVPT Parameters | ET-GOSWI | ET-GOSEI | SOL-GOS |
|---|---|---|---|
| Jss 1 (μg/cm2/h) | 0.241 ± 0.192 | 0.387 ± 0.267 | 0.077 ± 0.020 |
| Kp 2 (cm/h) × 103 | 0.737 ± 0.547 | 1.115 ± 0.600 | 0.248 ± 0.063 |
| Tlag 3 (h) | 1.498 ± 0.858 | 2.846 ± 0.667 | 1.894 ± 1.554 |
| D 4 (cm2 h−1) × 105 | 13.377 ± 7.662 | 6.141 ± 1.646 | 5.59 ± 10.936 |
| P 5 membrane/vehicle | 0.164 ± 0.035 | 0.550 ± 0.145 | 0.098 ± 0.096 |
| A 6 (µg/cm2) | 38.306 ± 4.057 | 35.452 ± 12.640 | 0.260 ± 0.000 |
| Formulation | x-Gum % (w/w) | Spreadability 1 (g cm/s) |
|---|---|---|
| ETWI gel | 0.5% | 23.33 ± 1.52 |
| 0.75% | 18.67 ± 0.58 | |
| 1% | 17.67 ± 0.58 | |
| ETEI gel | 0.5% | 24.01 ± 3.6 |
| 0.75% | 20.12 ± 1.0 | |
| 1% | 18.33 ± 1.0 |
| Formulation | DPPH IC50 (µg/mL) |
|---|---|
| ET-GOSEI | 6.77 ± 0.283 * |
| ET-GOSEI-0.5% gel | 10.625 ± 0.163 * |
| SOL-GOS | 7.435 ± 0.403 |
| SOL-AA | 1.20 ± 0.096 |
Disclaimer/Publisher’s Note: The statements, opinions and data contained in all publications are solely those of the individual author(s) and contributor(s) and not of MDPI and/or the editor(s). MDPI and/or the editor(s) disclaim responsibility for any injury to people or property resulting from any ideas, methods, instructions or products referred to in the content. |
© 2025 by the authors. Licensee MDPI, Basel, Switzerland. This article is an open access article distributed under the terms and conditions of the Creative Commons Attribution (CC BY) license (https://creativecommons.org/licenses/by/4.0/).
Share and Cite
Bondi, A.; Pula, W.; Benedusi, M.; Trinchera, G.; Baldisserotto, A.; Manfredini, S.; Ortore, M.G.; Pepe, A.; Mariani, P.; Stuart, M.C.A.; et al. Gossypin-Loaded Ethosome Gel for Cutaneous Administration: A Preliminary Study on Melanoma Cells. Antioxidants 2025, 14, 186. https://doi.org/10.3390/antiox14020186
Bondi A, Pula W, Benedusi M, Trinchera G, Baldisserotto A, Manfredini S, Ortore MG, Pepe A, Mariani P, Stuart MCA, et al. Gossypin-Loaded Ethosome Gel for Cutaneous Administration: A Preliminary Study on Melanoma Cells. Antioxidants. 2025; 14(2):186. https://doi.org/10.3390/antiox14020186
Chicago/Turabian StyleBondi, Agnese, Walter Pula, Mascia Benedusi, Giulia Trinchera, Anna Baldisserotto, Stefano Manfredini, Maria Grazia Ortore, Alessia Pepe, Paolo Mariani, Marc C. A. Stuart, and et al. 2025. "Gossypin-Loaded Ethosome Gel for Cutaneous Administration: A Preliminary Study on Melanoma Cells" Antioxidants 14, no. 2: 186. https://doi.org/10.3390/antiox14020186
APA StyleBondi, A., Pula, W., Benedusi, M., Trinchera, G., Baldisserotto, A., Manfredini, S., Ortore, M. G., Pepe, A., Mariani, P., Stuart, M. C. A., Valacchi, G., & Esposito, E. (2025). Gossypin-Loaded Ethosome Gel for Cutaneous Administration: A Preliminary Study on Melanoma Cells. Antioxidants, 14(2), 186. https://doi.org/10.3390/antiox14020186

