The Role of Paraoxonase-1 Activity, Apolipoprotein B Levels, and Apolipoprotein B/Apolipoprotein A-I Ratio as Risk Markers for Aortic Stenosis in Patients with a Bicuspid Aortic Valve
Abstract
1. Introduction
2. Material and Methods
2.1. Group Characteritics
2.2. Echocardiographic Examination
2.3. Biochemical Analysis
2.4. Statistic Analysis
3. Results
3.1. Echocardiographic Characteristics of Groups
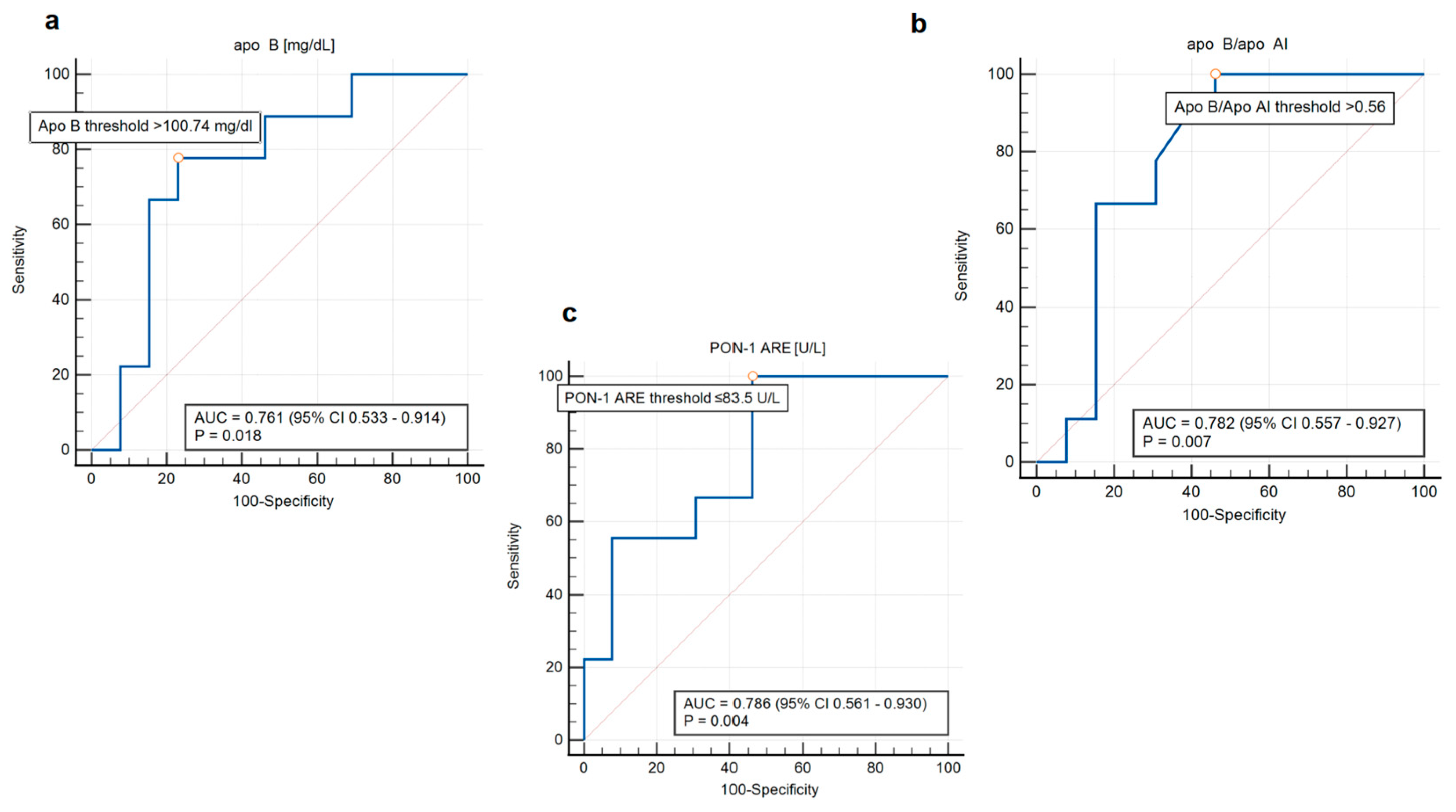
3.2. Biochemical Analysis
4. Discussion
5. Conclusions
Supplementary Materials
Author Contributions
Funding
Institutional Review Board Statement
Informed Consent Statement
Data Availability Statement
Conflicts of Interest
References
- Braverman, A.; Guven, H.; Beardslee, M.; Makan, M.; Kates, A.; Moon, M. The Bicuspid Aortic Valve. Curr. Probl. Cardiol. 2005, 30, 470–522. [Google Scholar] [CrossRef] [PubMed]
- Shah, S.Y.; Higgins, A.; Desai, M.Y. Bicuspid aortic valve: Basics and beyond. Cleve Clin. J. Med. 2018, 85, 779–784. [Google Scholar] [CrossRef] [PubMed]
- Michelena, H.I.; Desjardins, V.A.; Avierinos, J.F.; Russo, A.; Nkomo, V.T.; Sundt, T.M.; Pellikka, P.A.; Tajik, A.J.; Enriquez-Sarano, M. Natural history of asymptomatic patients with normally functioning or minimally dysfunctional bicuspid aortic valve in the community. Circulation 2008, 117, 2776–2784. [Google Scholar] [CrossRef]
- Siu, S.C.; Silversides, C.K. Bicuspid Aortic Valve Disease. J. Am. Coll. Cardiol. 2010, 55, 2789–2800. [Google Scholar] [CrossRef] [PubMed]
- Lindman, B.R.; Clavel, M.A.; Mathieu, P.; Iung, B.; Lancellotti, P.; Otto, C.M.; Pibarot, P. Calcific aortic stenosis. Nat. Rev. Dis. Prim. 2016, 2, 16006. [Google Scholar] [CrossRef]
- Beppu, S.; Suzuki, S.; Matsuda, H.; Ohmori, F.; Nagata, S.; Miyatake, K. Rapidity of progression of aortic stenosis in patients with congenital bicuspid aortic valves. Am. J. Cardiol. 1993, 71, 322–327. [Google Scholar] [CrossRef] [PubMed]
- Yuan, M.; Yuan, S.-M. The anatomopathology of bicuspid aortic valve. Folia Morphol. 2011, 70, 217–227. [Google Scholar]
- Mai, Z.; Guan, L.; Mu, Y. Association between bicuspid aortic valve phenotype and patterns of valvular dysfunction: A meta-analysis. Clin. Cardiol. 2021, 44, 1683. [Google Scholar] [CrossRef]
- Tzemos, N.; Therrien, J.; Yip, J.; Thanassoulis, G.; Tremblay, S.; Jamorski, M.T.; Webb, G.D.; Siu, S.C. Outcomes in Adults With Bicuspid Aortic Valves. JAMA 2008, 300, 1317–1325. [Google Scholar] [CrossRef] [PubMed]
- Ivert, T.; Hammar, N.; Talbäck, M.; Malmström, H.; Leander, K.; Walldius, G. Elevated Apolipoprotein B/A-1 Ratio is Associated With an Increased Risk of Aortic Stenosis: Experience From the AMORIS Cohort. Heart. Lung Circ. 2021, 30, 1050–1057. [Google Scholar] [CrossRef] [PubMed]
- Yan, A.T.; Koh, M.; Chan, K.K.; Guo, H.; Alter, D.A.; Austin, P.C.; Tu, J.V.; Wijeysundera, H.C.; Ko, D.T. Association Between Cardiovascular Risk Factors and Aortic Stenosis: The CANHEART Aortic Stenosis Study. J. Am. Coll. Cardiol. 2017, 69, 1523–1532. [Google Scholar] [CrossRef] [PubMed]
- Glavinovic, T.; Thanassoulis, G.; de Graaf, J.; Couture, P.; Hegele, R.A.; Sniderman, A.D. Physiological Bases for the Superiority of Apolipoprotein B Over Low-Density Lipoprotein Cholesterol and Non–High-Density Lipoprotein Cholesterol as a Marker of Cardiovascular Risk. J. Am. Heart Assoc. Cardiovasc. Cerebrovasc. Dis. 2022, 11, 25858. [Google Scholar] [CrossRef]
- Nagao, M.; Nakajima, H.; Toh, R.; Hirata, K.I.; Ishida, T. Cardioprotective Effects of High-Density Lipoprotein Beyond its Anti-Atherogenic Action. J. Atheroscler. Thromb. 2018, 25, 985. [Google Scholar] [CrossRef] [PubMed]
- Hofmanis, J.; Hofmane, D.; Svirskis, S.; Mackevics, V.; Tretjakovs, P.; Lejnieks, A.; Signorelli, S.S. HDL-C Role in Acquired Aortic Valve Stenosis Patients and Its Relationship with Oxidative Stress. Medicina 2019, 55, 416. [Google Scholar] [CrossRef]
- Barter, P.J.; Nicholls, S.; Rye, K.A.; Anantharamaiah, G.M.; Navab, M.; Fogelman, A.M. Antiinflammatory properties of HDL. Circ. Res. 2004, 95, 764–772. [Google Scholar] [CrossRef] [PubMed]
- Lommi, J.I.; Kovanen, P.T.; Jauhiainen, M.; Lee-Rueckert, M.; Kupari, M.; Helske, S. High-density lipoproteins (HDL) are present in stenotic aortic valves and may interfere with the mechanisms of valvular calcification. Atherosclerosis 2011, 219, 538–544. [Google Scholar] [CrossRef] [PubMed]
- Tsompanidi, E.M.; Brinkmeier, M.S.; Fotiadou, E.H.; Giakoumi, S.M.; Kypreos, K.E. HDL biogenesis and functions: Role of HDL quality and quantity in atherosclerosis. Atherosclerosis 2010, 208, 3–9. [Google Scholar] [CrossRef] [PubMed]
- Liu, C.; Dhindsa, D.; Almuwaqqat, Z.; Ko, Y.A.; Mehta, A.; Alkhoder, A.A.; Alras, Z.; Desai, S.R.; Patel, K.J.; Hooda, A.; et al. Association Between High-Density Lipoprotein Cholesterol Levels and Adverse Cardiovascular Outcomes in High-risk Populations. JAMA Cardiol. 2022, 7, 672–680. [Google Scholar] [CrossRef]
- Sökmen, E.; Çelik, M.; Sivri, S.; Güçlü, K. Relationship between Paraoxonase-1 and Arylesterase Enzyme Activities and SYNTAX I and II Scores in Patients with ST-Elevation Myocardial Infarction. J. Tehran Univ. Heart Cent. 2019, 14, 156. [Google Scholar] [CrossRef]
- Song, J.; Zheng, Q.; Ma, X.; Zhang, Q.; Xu, Z.; Zou, C.; Wang, Z. Expression levels of paraoxonase-1 in aortic valve tissue are associated with the progression of calcific aortic valve stenosis. J. Thorac. Dis. 2019, 11, 2890–2898. [Google Scholar] [CrossRef] [PubMed]
- O’Brien, K.D.; Reichenbach, D.D.; Marcovina, S.M.; Kuusisto, J.; Alpers, C.E.; Otto, C.M. Apolipoproteins B, (a), and E accumulate in the morphologically early lesion of “degenerative” valvular aortic stenosis. Arterioscler. Thromb. Vasc. Biol. 1996, 16, 523–532. [Google Scholar] [CrossRef] [PubMed]
- Gebhard, C.; Maafi, F.; Stähli, B.E.; Dang, J.; Nachar, W.; de Oliveira Moraes, A.B.; Kernaleguen, A.E.; Lavoie, V.; Mecteau, M.; Mihalache-Avram, T.; et al. Apolipoprotein A-I proteolysis in aortic valve stenosis: Role of cathepsin S. Basic Res. Cardiol. 2018, 113, 30. [Google Scholar] [CrossRef] [PubMed]
- Kaneva, A.M.; Potolitsyna, N.N.; Bojko, E.R.; Odland, J. The Apolipoprotein B/Apolipoprotein A-I Ratio as a Potential Marker of Plasma Atherogenicity. Dis. Markers 2015, 2015, 591454. [Google Scholar] [CrossRef] [PubMed]
- Zheng, K.H.; Arsenault, B.J.; Kaiser, Y.; Khaw, K.T.; Wareham, N.J.; Stroes, E.S.G.; Boekholdt, S.M. apoB/apoA-I Ratio and Lp(a) Associations With Aortic Valve Stenosis Incidence: Insights From the EPIC-Norfolk Prospective Population Study. J. Am. Heart Assoc. Cardiovasc. Cerebrovasc. Dis. 2019, 8, e013020. [Google Scholar] [CrossRef]
- Duran Karaduman, B.; Ayhan, H.; Keleş, T.; Bozkurt, E. Association between monocyte to high-density lipoprotein cholesterol ratio and bicuspid aortic valve degeneration. Turk. J. Med. Sci. 2020, 50, 1307–1313. [Google Scholar] [CrossRef]
- Endo, M.; Nabuchi, A.; Okuyama, H.; Muto, Y.; Hiranuma, S.; Miyazaki, T.; Hosokawa, J.; Enjoji, Y.; Shimura, Y.; Hashimoto, O. Differing relationship between hypercholesterolemia and a bicuspid aortic valve according to the presence of aortic valve stenosis or aortic valve regurgitation. Gen. Thorac. Cardiovasc. Surg. 2015, 63, 502–506. [Google Scholar] [CrossRef]
- Magni, P. Bicuspid aortic valve, atherosclerosis and changes of lipid metabolism: Are there pathological molecular links? J. Mol. Cell. Cardiol. 2019, 129, 231–235. [Google Scholar] [CrossRef] [PubMed]
- Aggarwal, A.; Srivastava, S.; Velmurugan, M. Newer perspectives of coronary artery disease in young. World J. Cardiol. 2016, 8, 728. [Google Scholar] [CrossRef]
- Michos, E.D.; Choi, A.D. Coronary Artery Disease in Young Adults: A Hard Lesson But a Good Teacher. J. Am. Coll. Cardiol. 2019, 74, 1879–1882. [Google Scholar] [CrossRef] [PubMed]
- Vahanian, A.; Beyersdorf, F.; Praz, F.; Milojevic, M.; Baldus, S.; Bauersachs, J.; Capodanno, D.; Conradi, L.; De Bonis, M.; De Paulis, R.; et al. 2021 ESC/EACTS Guidelines for the management of valvular heart diseaseDeveloped by the Task Force for the management of valvular heart disease of the European Society of Cardiology (ESC) and the European Association for Cardio-Thoracic Surgery (EACTS). Eur. Heart J. 2022, 43, 561–632. [Google Scholar] [CrossRef]
- Friedewald, W.T.; Levy, R.I.; Fredrickson, D.S. Estimation of the Concentration of Low-Density Lipoprotein Cholesterol in Plasma, Without Use of the Preparative Ultracentrifuge. Clin. Chem. 1972, 18, 499–502. [Google Scholar] [CrossRef]
- Fukuyama, N.; Homma, K.; Wakana, N.; Kudo, K.; Suyama, A.; Ohazama, H.; Tsuji, C.; Ishiwata, K.; Eguchi, Y.; Nakazawa, H.; et al. Validation of the Friedewald Equation for Evaluation of Plasma LDL-Cholesterol. J. Clin. Biochem. Nutr. 2007, 43, 1–5. [Google Scholar] [CrossRef] [PubMed]
- Nakanishi, M.; Takanami, Y.; Maruyama, T.; Murata, M.; Motohashi, Y.; Nakano, S.; Uchida, K.; Maruyama, C.; Kyotani, S.; Tsushima, M. The ratio of serum paraoxonase/arylesterase activity using an improved assay for arylesterase activity to discriminate PON1(R192) from PON1(Q192). J. Atheroscler. Thromb. 2003, 10, 337–342. [Google Scholar] [CrossRef] [PubMed]
- Fenoglio, J.J.; McAllister, H.A.; DeCastro, C.M.; Davia, J.E.; Cheitlin, M.D. Congenital bicuspid aortic valve after age 20. Am. J. Cardiol. 1977, 39, 164–169. [Google Scholar] [CrossRef]
- Lewin, M.B.; Otto, C.M. The bicuspid aortic valve: Adverse outcomes from infancy to old age. Circulation 2005, 111, 832–834. [Google Scholar] [CrossRef] [PubMed]
- Perrin, N.; Ibrahim, R.; Dürrleman, N.; Basmadjian, A.; Leroux, L.; Demers, P.; Modine, T.; Ali, W. Ben Bicuspid Aortic Valve Stenosis: From Pathophysiological Mechanism, Imaging Diagnosis, to Clinical Treatment Methods. Front. Cardiovasc. Med. 2022, 8, 798949. [Google Scholar] [CrossRef]
- Lim, M.S.; Strange, G.; Playford, D.; Stewart, S.; Celermajer, D.S. Characteristics of Bicuspid Aortic Valve Disease and Stenosis: The National Echo Database of Australia. J. Am. Heart Assoc. Cardiovasc. Cerebrovasc. Dis. 2021, 10, e020785. [Google Scholar] [CrossRef]
- Otto, C.M. Calcification of bicuspid aortic valves. Heart 2002, 88, 321–322. [Google Scholar] [CrossRef] [PubMed]
- Faggiano, P.; Antonini-Canterin, F.; Baldessin, F.; Lorusso, R.; D’Aloia, A.; Dei Cas, L. Epidemiology and cardiovascular risk factors of aortic stenosis. Cardiovasc. Ultrasound 2006, 4, 27. [Google Scholar] [CrossRef] [PubMed]
- Sticchi, E.; Giusti, B.; Cordisco, A.; Gori, A.M.; Sereni, A.; Sofi, F.; Mori, F.; Colonna, S.; Fugazzaro, M.P.; Pepe, G.; et al. Role of lipoprotein (a) and LPA KIV2 repeat polymorphism in bicuspid aortic valve stenosis and calcification: A proof of concept study. Intern. Emerg. Med. 2019, 14, 45–50. [Google Scholar] [CrossRef]
- Alegret, J.M.; Masana, L.; Martinez-micaelo, N.; Heras, M.; Beltrán-debón, R. LDL cholesterol and apolipoprotein B are associated with ascending aorta dilatation in bicuspid aortic valve patients. QJM Int. J. Med. 2015, 108, 795–801. [Google Scholar] [CrossRef] [PubMed]
- Baigent, C.; Blackwell, L.; Emberson, J.; Holland, L.E.; Reith, C.; Bhala, N.; Peto, R.; Barnes, E.H.; Keech, A.; Simes, J.; et al. Efficacy and safety of more intensive lowering of LDL cholesterol: A meta-analysis of data from 170,000 participants in 26 randomised trials. Lancet 2010, 376, 1670–1681. [Google Scholar] [CrossRef]
- Smith, J.G.; Luk, K.; Schulz, C.A.; Engert, J.C.; Do, R.; Hindy, G.; Rukh, G.; Dufresne, L.; Almgren, P.; Owens, D.S.; et al. Association of Low-Density Lipoprotein Cholesterol–Related Genetic Variants With Aortic Valve Calcium and Incident Aortic Stenosis. JAMA 2014, 312, 1764. [Google Scholar] [CrossRef] [PubMed]
- Holmes, M.V.; Asselbergs, F.W.; Palmer, T.M.; Drenos, F.; Lanktree, M.B.; Nelson, C.P.; Dale, C.E.; Padmanabhan, S.; Finan, C.; Swerdlow, D.I.; et al. Mendelian randomization of blood lipids for coronary heart disease. Eur. Heart J. 2015, 36, 539–550. [Google Scholar] [CrossRef] [PubMed]
- Nazarzadeh, M.; Pinho-Gomes, A.C.; Bidel, Z.; Dehghan, A.; Canoy, D.; Hassaine, A.; Ayala Solares, J.R.; Salimi-Khorshidi, G.; Smith, G.D.; Otto, C.M.; et al. Plasma lipids and risk of aortic valve stenosis: A Mendelian randomization study. Eur. Heart J. 2020, 41, 3913–3920. [Google Scholar] [CrossRef] [PubMed]
- Stanciulescu, L.A.; Scafa-Udriste, A.; Dorobantu, M. Exploring the Association between Low-Density Lipoprotein Subfractions and Major Adverse Cardiovascular Outcomes—A Comprehensive Review. Int. J. Mol. Sci. 2023, 24, 6669. [Google Scholar] [CrossRef]
- Galimberti, F.; Casula, M.; Olmastroni, E. Apolipoprotein B compared with low-density lipoprotein cholesterol in the atherosclerotic cardiovascular diseases risk assessment. Pharmacol. Res. 2023, 195, 106873. [Google Scholar] [CrossRef] [PubMed]
- Behbodikhah, J.; Ahmed, S.; Elyasi, A.; Kasselman, L.J.; De Leon, J.; Glass, A.D.; Reiss, A.B. Apolipoprotein B and Cardiovascular Disease: Biomarker and Potential Therapeutic Target. Metabolites 2021, 11, 690. [Google Scholar] [CrossRef]
- Walldius, G.; Jungner, I. Apolipoprotein A-I versus HDL cholesterol in the prediction of risk for myocardial infarction and stroke. Curr. Opin. Cardiol. 2007, 22, 359–367. [Google Scholar] [CrossRef] [PubMed]
- Deng, F.; Li, D.; Lei, L.; Yang, Q.; Li, Q.; Wang, H.; Deng, J.; Zheng, Q.; Jiang, W. Association between apolipoprotein B/A1 ratio and coronary plaque vulnerability in patients with atherosclerotic cardiovascular disease: An intravascular optical coherence tomography study. Cardiovasc. Diabetol. 2021, 20, 188. [Google Scholar] [CrossRef] [PubMed]
- Mach, F.; Baigent, C.; Catapano, A.L.; Koskina, K.C.; Casula, M.; Badimon, L.; Chapman, M.J.; De Backer, G.G.; Delgado, V.; Ference, B.A.; et al. 2019 ESC/EAS guidelines for the management of dyslipidaemias: Lipid modification to reduce cardiovascular risk. Atherosclerosis 2019, 290, 140–205. [Google Scholar] [CrossRef] [PubMed]
- Küçük, H.O.; Küçük, U.; Demirtaş, C.; Özdemir, M. Role of serum high density lipoprotein levels and functions in calcific aortic valve stenosis progression. Int. J. Clin. Exp. Med. 2015, 8, 22543. [Google Scholar]
- Endo, Y.; Fujita, M.; Ikewaki, K. HDL Functions—Current Status and Future Perspectives. Biomolecules 2023, 13, 105. [Google Scholar] [CrossRef] [PubMed]



| Age ≤ 45 | Age > 45 | p Value | |
|---|---|---|---|
| No (female) | 22 (6) | 54(15) | 0.812 * |
| Age | 39.5 (33–42) | 60.5 (52–68) | <0.001 ** |
| BMI [kg/m2] | 26.6 (23–29) | 27.8 (25–31) | 0.145 ** |
| Smoking | 5 (23%) | 19 (35%) | 0.431 * |
| Hypertension | 3 (14%) | 36 (67%) | <0.001 * |
| Diabetes mellitus | 1 (5%) | 8 (15%) | 0.387 * |
| Coronary artery disease | 1 (5%) | 19 (35%) | 0.014 * |
| Statin therapy | 4 (18%) | 27 (50%) | 0.021 * |
| Age ≤ 45 | Age > 45 | |||||
|---|---|---|---|---|---|---|
| No AS | AS | p Value | No AS | AS | p Value | |
| No (female) | 13 (2) | 9 (4) | 0.309 * | 19 (3) | 35 (12) | 0.258 * |
| Age | 39 (31–41) | 40 (34–43) | 0.378 *** | 55 (49–61) | 65 (59–69) | 0.002 ** |
| BMI [kg/m2] | 27 (24–32) | 25 (23–27) | 0.190 *** | 27 (25–30) | 28 (26–31) | 0.340 *** |
| Smoking | 3 (23%) | 2 (22%) | 0.638 * | 7 (37%) | 12 (34%) | 0.912 * |
| Hypertension | 2 (15%) | 1 (11%) | 0.730 * | 13 (68%) | 23 (66%) | 0.920 * |
| Diabetes mellitus | 1(8%) | 0 | 0.845 * | 2 (10%) | 6 (17%) | 0.801 * |
| Coronary artery disease | 0 | 1(11%) | 0.845 * | 6 (32%) | 13 (37%) | 0.912 * |
| Statin therapy | 3 (2%) | 1(11%) | 0.878 * | 5 (26%) | 22 (63%) | 0.023 * |
| Age ≤ 45 | Age > 45 | p Value | |
|---|---|---|---|
| LVEF [%] | 60 (35–65) | 60 (55–64) | 0.951 ** |
| AS | 9 (41%) | 35 (65%) | 0.097 * |
| AR | 13 (59%) | 14 (26%) | 0.013 * |
| Aortopathy | 13 (59%) | 37 (69%) | 0.604 * |
| Age ≤ 45 | Age > 45 | |||||
|---|---|---|---|---|---|---|
| No AS | AS | p Value | No AS | AS | p Value | |
| LEVF [%] | 60 (40–64) | 60 (32–70) | 1.000 ** | 60 (55–64) | 60 (51–64) | 0.926 ** |
| AR | 7 (54%) | 6 (67%) | 0.873 * | 9 (47%) | 5 (14%) | 0.020 * |
| Aortopathy | 8 (61%) | 5 (56%) | 0.873 * | 17 (89%) | 27 (77%) | 0.455 * |
| Age ≤ 45 + AS | Age > 45 + AS | p Value | |
|---|---|---|---|
| AVA | 1.3 (0.9–1.4) | 0.9 (0.8–1.2) | 0.023 ** |
| AV Vmax | 3.5 (2.8–4.1) | 3.9 (3.4–4.4) | 0.161 * |
| AV PGmean | 32 (16–46) | 40 (25–46) | 0.457 * |
| Age ≤45 | Age > 45 | |||||
|---|---|---|---|---|---|---|
| No AS | AS | p Value | No AS | AS | p Value | |
| Apo AI [mg/dL] | 150 (126–168) | 144 (131–151) | 0.371 * | 167 (139–184) | 156 (146–173) | 0.306 * |
| Apo B [mg/dL] | 95 (77–101) | 110 (102–132) | 0.044 ** | 100 (93–114) | 83 (77–106) | 0.144 * |
| Apo B/Apo AI | 0.6 (0.5–0.7) | 0.8 (0.7–1) | 0.029 ** | 0.6 (0.5–0.7) | 0.6 (0.5–0.7) | 0.096 * |
| TC [mg/dL] | 153 (139–166) | 150 (126–164) | 0.640 ** | 144 (124–167) | 128 (113–147) | 0.065 ** |
| HDL-C [mg/dL] | 51 (47–54) | 48 (45–52) | 0.344 * | 51 (47–61) | 50 (42–58) | 0.492 * |
| LDL-C [mg/dL] | 101 (98–114) | 107 (94–111) | 0.358 ** | 99 (91–120) | 86 (80–106) | 0.056 ** |
| LDL-C/HDL-C | 2.1 (1.7–2.3) | 2.2 (1.9–2.3) | 0.860 * | 1.9 (1.7–2.2) | 1.8 (1.5–2.2) | 0.322 ** |
| non HDL-C/HDL-C | 2.1 (1.6–2.4) | 2.0 (1.9–2.4) | 0.874 * | 1.7 (1.4–2.2) | 1.6 (1.4–2) | 0.259 * |
| TG [mg/dL] | 98 (47–113) | 63 (52–108) | 0.738 ** | 105 (69–138) | 87 (68–113) | 0.269 * |
| PON-1 ASE [U/L] | 70 (55–151) | 127 (39–163) | 0.894 ** | 89 (53–154) | 59 (47–147) | 0.484 ** |
| PON-1 ARE [U/L] | 85 (70–102) | 63 (52–80) | 0.012 * | 82 (71–99) | 79 (59–88) | 0.126 ** |
Disclaimer/Publisher’s Note: The statements, opinions and data contained in all publications are solely those of the individual author(s) and contributor(s) and not of MDPI and/or the editor(s). MDPI and/or the editor(s) disclaim responsibility for any injury to people or property resulting from any ideas, methods, instructions or products referred to in the content. |
© 2025 by the authors. Licensee MDPI, Basel, Switzerland. This article is an open access article distributed under the terms and conditions of the Creative Commons Attribution (CC BY) license (https://creativecommons.org/licenses/by/4.0/).
Share and Cite
Kwiatkowska, M.; Mickiewicz, A.; Krzesińska, A.; Kuchta, A.; Jankowski, M.; Gruchała, M.; Fijałkowski, M. The Role of Paraoxonase-1 Activity, Apolipoprotein B Levels, and Apolipoprotein B/Apolipoprotein A-I Ratio as Risk Markers for Aortic Stenosis in Patients with a Bicuspid Aortic Valve. Antioxidants 2025, 14, 167. https://doi.org/10.3390/antiox14020167
Kwiatkowska M, Mickiewicz A, Krzesińska A, Kuchta A, Jankowski M, Gruchała M, Fijałkowski M. The Role of Paraoxonase-1 Activity, Apolipoprotein B Levels, and Apolipoprotein B/Apolipoprotein A-I Ratio as Risk Markers for Aortic Stenosis in Patients with a Bicuspid Aortic Valve. Antioxidants. 2025; 14(2):167. https://doi.org/10.3390/antiox14020167
Chicago/Turabian StyleKwiatkowska, Maria, Agnieszka Mickiewicz, Aleksandra Krzesińska, Agnieszka Kuchta, Maciej Jankowski, Marcin Gruchała, and Marcin Fijałkowski. 2025. "The Role of Paraoxonase-1 Activity, Apolipoprotein B Levels, and Apolipoprotein B/Apolipoprotein A-I Ratio as Risk Markers for Aortic Stenosis in Patients with a Bicuspid Aortic Valve" Antioxidants 14, no. 2: 167. https://doi.org/10.3390/antiox14020167
APA StyleKwiatkowska, M., Mickiewicz, A., Krzesińska, A., Kuchta, A., Jankowski, M., Gruchała, M., & Fijałkowski, M. (2025). The Role of Paraoxonase-1 Activity, Apolipoprotein B Levels, and Apolipoprotein B/Apolipoprotein A-I Ratio as Risk Markers for Aortic Stenosis in Patients with a Bicuspid Aortic Valve. Antioxidants, 14(2), 167. https://doi.org/10.3390/antiox14020167

