Abstract
Alzheimer’s disease (AD) is a widely recognized type of dementia that leads to progressive cognitive decline and memory loss, affecting a significant number of people and their families worldwide. Given the multifactorial nature of AD, multitarget-directed ligands (MTDLs) hold promise in developing effective drugs for AD. Phosphodiesterase-9 (PDE9) is emerging as a promising target for AD therapy. In this study, by combining a PDE9 inhibitor C33 with the antioxidant melatonin, we designed and discovered a series of pyrazolopyrimidinone derivatives that simultaneously inhibit PDE9 and possess antioxidant activities. Molecular docking, together with dynamics simulations, were applied to accelerate compound design and reduce synthetic work. Four out of the 14 compounds were validated as effective PDE9 inhibitors with comparable antioxidant activity. Notably, compounds 17b and 17d demonstrated IC50 values of 91 and 89 nM against PDE9, respectively, with good antioxidant activities (ORAC (Trolox) of 2.00 and 2.60). This work provides a new approach for designing MTDLs for the treatment of AD and offers insights for further structural modifications of PDE9 inhibitors with antioxidant capacities.
1. Introduction
Dementia, the seventh leading cause of death around the world, results from a variety of diseases and injuries that affect the brain. Alzheimer’s disease (AD) is a widely recognized type of dementia, characterized by age-related neurodegenerative disorders that lead to progressive cognitive decline and memory loss [1,2]. AD may contribute to 60–70% of dementia cases. As the population ages, the prevalence of AD continues to rise, making it a major public health challenge. According to open data from the World Health Organization (WHO), the number of people living with dementia worldwide is expected to increase from 55 million in 2019 to 139 million in 2050. The global costs associated with dementia are also expected to double, rising from $1.3 trillion per year in 2019 to $2.8 trillion by 2030 [3,4].
The pathogenesis of AD has been extensively studied for decades but remains unclear. It is generally believed that a combination of genetic, environmental, and biological factors leads to the progressive degeneration of brain cells in AD. Multiple biological factors, such as decreased acetylcholine levels, β-amyloid (Aβ) deposition, Tau-protein aggregation, and oxidative stress, have been judged important contributors to the pathophysiology of AD [4]. Unfortunately, there is no proven way to prevent or cure AD. Classical single-target drugs such as donepezil, rivastigmine, and memantine could only improve symptoms but not reverse the progression of AD patients [5]. Aducanumab and lecanemab are novel anti-AD biologics targeting and removing amyloid-beta (Aβ) plaques from the brain. However, these biologics are costly and have been subject to controversy regarding their efficacy and side effects [6,7].
Multitarget-directed ligands (MTDLs) are a class of compounds specifically designed to interact with multiple biological targets simultaneously. Given the multifactorial nature of AD, developing MTDLs for AD offers a promising alternative approach that has garnered significant attention from scientists [8,9]. Several MTDLs have progressed to clinical trials for treating AD, such as tramiprosate, which targets Aβ oligomers and Tau-protein aggregation simultaneously, ladostigil, a dual inhibitor against cholinesterase and monoamine oxidase, and blarcamesine, which functions as a sigma-1 receptor agonist and muscarinic receptor modulator [10].
Oxidative stress occurs when there is an imbalance between the production of reactive oxygen/nitrogen species (ROS/RNS) and the body’s ability to neutralize them with antioxidants. Due to their high metabolic activity, brain cells are particularly susceptible to oxidative damage, and this oxidative stress is believed to be a significant contributor to the progressive degeneration of brains in AD [11,12]. The antioxidant melatonin has been reported to reduce the levels of hydroxyl radicals in mitochondria, protect antioxidant enzyme activities, and prevent apoptosis of brain cells. However, there is currently insufficient evidence to substantiate the efficacy of any single antioxidant remedy in controlling the progression of AD in clinical research [13,14].
Phosphodiesterases (PDEs) represent a superfamily of enzymes that are responsible for the degradation of the second messengers-cyclic nucleotides [15,16]. Among them, PDE9 has the highest affinity for cyclic guanosine monophosphate (cGMP) and is widely distributed in the cortex, basal ganglia, hippocampus, and cerebellum of the brain [17]. Human PDE9 is encoded by a single gene that undergoes alternative splicing, resulting in the production of at least four isoforms (PDE9A1-PDE9A4) [18]. PDE9A is localized to the membrane in different organs except in the bladder, where it is found in the cytosol. PDE9A1 is the longest variant with restricted localization in the nucleus [19,20]. In humans, particularly in elderly individuals with dementia and a history of traumatic brain injury, the mRNA for PDE9A in the hippocampus was found to be elevated [19]. PDE9 inhibitors block the degradation of cGMP and amplify NO-cGMP-signaling, leading to enhancement in synaptic plasticity and long-term potentiation (LTP). Considering that PDE9 is specifically localized to regulate the nuclear and membrane-proximal pools of cGMP, inhibition of PDE9 for the enhancement of cGMP signaling in the brain could be a promising new therapeutic method for AD [21]. Additionally, PDE9 has been shown to regulate a cGMP pool that is independent of neuronal nitric oxide synthase (nNOS), which is involved in nitric oxide-cGMP signaling [22]. This indicates a novel mechanism for regulating cGMP levels, distinct from those of other PDEs. Edelinontrine and osoresnontrine, two PDE9 inhibitors approved for clinical trials, have shown positive cognitive effects in numerous preclinical studies [23]. For example, edelinontrine could increase rat cerebrospinal fluid (CSF) cGMP levels dose-dependently and improve memory performances in the social recognition tasks, object recognition tasks, and Morris water maze. In the amyloid precursor protein (APP) transgenic Tg2576 mice, edelinontrine is capable of regulating dendritic spine density in hippocampal neurons [24]. PDE9A inhibition with osoresnontrine increases cGMP levels in the brain, facilitates synaptic plasticity by enhancing both early and late LTP in hippocampus, and improves performance on cognitive tasks assessing working and episodic memory in rodents [25]. This differs from AChE inhibitors such as donepezil, which could only enhance short memory in the early LTP [26]. Thus, PDE9 inhibitors provide a novel means for the treatment of AD. Several MTDLs targeting PDE9 and other enzymes such as cholinesterases (AChE and BuChE) and histone deacetylases (HDACs) were also reported for the treatment of AD in recent years (Figure 1) [27,28].
Figure 1.
Current PDE9 inhibitors for research in AD.
Since oxidative stress and impaired neuronal signaling are two major contributors to AD pathology, combining PDE9 inhibitors with antioxidants may offer synergistic benefits in treating AD. However, there are few reports on the combined use of PDE9 inhibitors with antioxidants or on the development of MTDLs that simultaneously target PDE9 and oxidative stress. With our continuous interest in designing MTDLs for AD [29,30], herein, we report the design and discovery of a series of pyrazolopyrimidinone derivatives inspired by the PDE9 inhibitor C33 developed by our group [31] and the antioxidant melatonin. These derivatives were evaluated as potent PDE9 inhibitors with good antioxidant activities comparable to melatonin, which will benefit AD drug development.
2. Materials and Methods
2.1. Chemistry
2.1.1. General Remarks
All starting materials and reagents were purchased from commercial suppliers (Bide, Macklin, Aladdin, and Meryer) without further purification. For chromatography, chemical HG/T2354-92 silica gel (200−300 mesh, Haiyang) was used, and for the thin-layer chromatography analysis, silica gel plates with fluorescence F254 (0.25 mm, Huanghai) were used. NMR spectra were recorded at room temperature using either a Bruker Ascend TM 500 (Bruker, Berlin, Germany) or a Bruker Avance III (Bruker, Zurich, Switzerland). The following abbreviations are applied: s (singlet), br (broad signal), d (doublet), dd (doublet of doublets), t (triplet), q (quartet), and m (multiplet). Coupling constants are reported in hertz (Hz). The high-resolution mass spectra (HRMS) (SHIMADZU, Osaka, Japan) were recorded on a MAT-95. HPLC instrument (SHIMADZU, Osaka, Japan): SHIMADZU LC20AT [column: Hypersil BDS C18, 5.0 μm, 4.6 × 150 mm (Elite)]; detector: SPD-20A UV/vis detector, UV detection at 254 nm; elution, MeOH in water (80–100%, v/v); T = 25 °C; and flow rate = 1.0 mL/min.
2.1.2. General Procedure for the Preparation of the Intermediates and Pyrazolopyrimidinone Derivatives
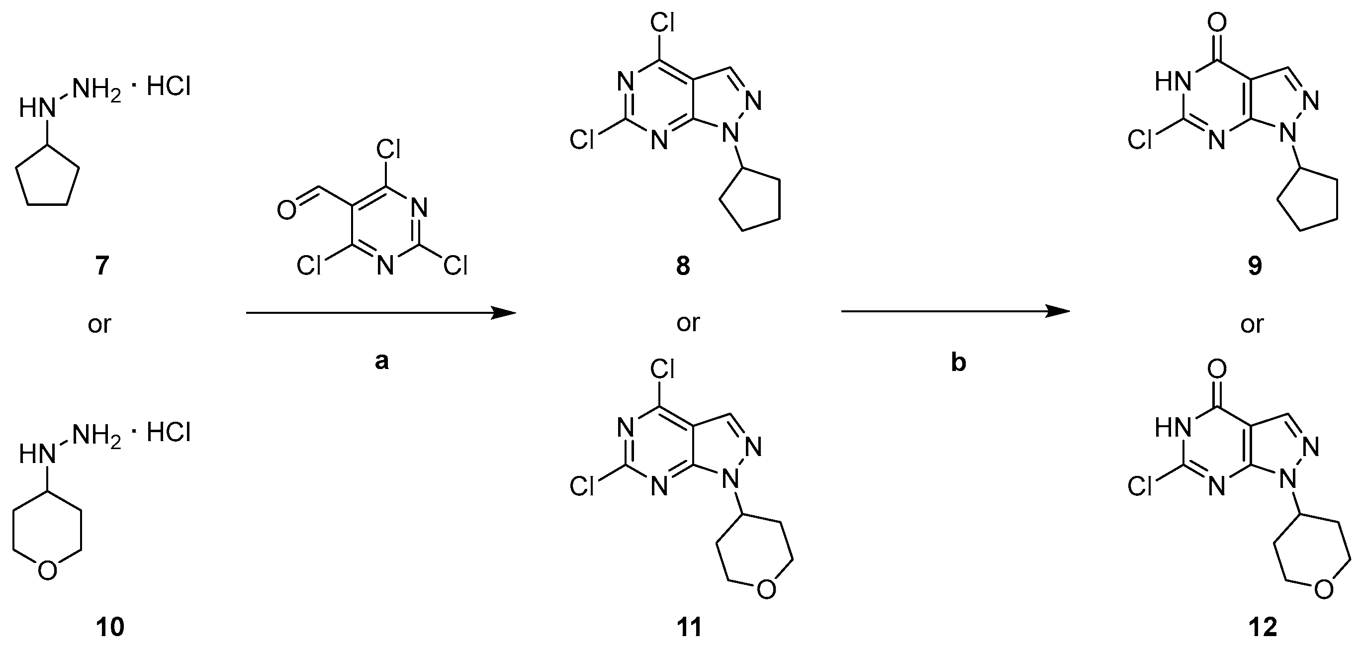
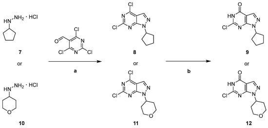
4,6-dichloro-1-cyclopentyl-1H-pyrazolo [3,4-d]pyrimidine (8). Cyclopentylhydrazine hydrochloride (7) (0.300 g, 2.2 mmol), 2,4,6-trichloropyrimidine-5-carbaldehyde (0.424 g, 2.0 mmol), and triethylamine (0.404 g, 4.0 mmol) were dissolved in ethanol (40 mL). The mixture was stirred at −78 °C for 2 h, heated to ambient temperature, and then stirred for another 8 h. After the reaction was finished, the mixture was diluted with water and extracted three times with ethyl acetate. The combined organic extracts were then dried over anhydrous Na2SO4 and concentrated to yield a crude product. This crude product was subsequently purified using silica gel column chromatography (DCM/MeOH) to afford intermediate 8 as a white solid (0.373 g, 73% yield). 1H NMR (400 MHz, CDCl3) δ 8.14 (s, 1H), 5.36–5.26 (m, 1H), 2.25–2.07 (m, 4H), 2.05–1.94 (m, 2H), 1.82–1.71 (m, 2H).
6-chloro-1-cyclopentyl-1,5-dihydro-4H-pyrazolo [3,4-d]pyrimidin-4-one (9). To a solution of sodium hydroxide in water (1 mol/L, 20 mL), intermediate 8 (0.257 g, 1 mmol) was added, and the mixture was stirred at 60 °C for 1 h. After the reaction was finished, the mixture was acidified with acetic acid to pH of 5–6. Then the solid was filtered, washed with water, and dried to get the white solid as intermediate 9 (0.410 g, 80% yield). 1H NMR (400 MHz, CDCl3) δ 8.10 (s, 1H), 5.15 (p, J = 7.5 Hz, 1H), 2.20–2.04 (m, 4H), 2.02–1.91 (m, 2H), 1.72 (ddd, J = 11.2, 7.8, 3.2 Hz, 2H).
4,6-dichloro-1-(tetrahydro-2H-pyran-4-yl)-1H-pyrazolo[3,4-d]pyrimidine (11). The title compound was synthesized from (tetrahydro-2H-pyran-4-yl)hydrazine hydrochloride (10) (0.727 g, 7.2 mmol) and 7 (0.763 g, 3.6 mmol) following the general procedure for the preparation of intermediate 8, affording a white solid as intermediate 11 (0.324 g, 66% yield). 1H NMR (400 MHz, CDCl3) δ 8.16 (s, 1H), 5.14–4.89 (m, 1H), 4.16 (dd, J = 11.5, 4.6 Hz, 2H), 3.63 (td, J = 12.1, 2.0 Hz, 2H), 2.48–2.25 (m, 2H), 1.98–1.93 (m, 2H).
6-chloro-1-(tetrahydro-2H-pyran-4-yl)-1,5-dihydro-4H-pyrazolo[3,4-d]pyrimidin-4-one (12). The title compound was synthesized from intermediate 11 (0.273 g, 4.0 mmol) following the general procedure for the preparation of intermediate 11, affording a white solid as intermediate 12 (0.209 g, 82% yield). 1H NMR (400 MHz, CDCl3) δ 8.13 (s, 1H), 4.89–4.83 (m, 1H), 4.19–4.15 (m, 2H), 3.66–3.59 (m, 2H), 2.44–2.34 (m, 2H), 1.99–1.92 (m, 2H).
5-amino-1-cyclopentyl-1H-pyrazole-4-carbonitrile (13). Cyclopentylhydrazine hydrochloride (7) (0.540 g, 4.0 mmol) was dissolved in ethanol (4 mL), followed by slow-paced addition of triethylamine (1.272 g, 12.6 mmol) at 0 °C. After stirring for 2 h, a solution of 2-(ethoxymethylene)malononitrile (439 mg, 3.6 mmol) in ethanol was added to the mixture dropwise. The mixture was then stirred at ambient temperature for 3 h, followed by refluxing at 80 °C for another 3 h. Upon completion of the reaction, water was added and the resulting precipitate formed. The brown precipitate was collected and then purified through recrystallization with the solvent composed of ether and hexane (1:1), affording intermediate 13 (0.539 g, 85% yield). 1H NMR (400 MHz, DMSO) d 8.11 (s, 1H), 5.51 (d, J = 6.8 Hz, 1H), 4.50–4.38 (m, 1H), 3.39 (s, 1H), 2.03–1.93 (m, 2H), 1.88–1.79 (m, 2H), 1.76–1.68 (m, 2H), 1.63–1.53 (m, 2H). 13C NMR (101 MHz, DMSO) d 157.33, 134.01, 114.78, 76.01, 62.18, 31.82, 23.64.
5-amino-1-cyclopentyl-1H-pyrazole-4-carboxamide (14). To a solution of intermediate 13 (0.528 g, 3.0 mmol) in ethanol (15 mL), 30% hydrogen peroxide (1.5 mL) and 25% aqueous ammonia (4.5 mL) were added sequentially. The mixture was stirred at ambient temperature for 1 h. Upon completion of the reaction, saturated sodium thiosulfate was added, and ethanol was evaporated to form an orange precipitate. The precipitate was filtered, washed with water, and dried under vacuum to afford intermediate 15 as a white solid (0.500 g, 86% yield). 1H NMR (400 MHz, DMSO) δ 7.63 (s, 1H), 7.16 (br s, 1H), 6.62 (br s, 1H), 6.13 (m, 1H), 4.57–4.45 (m, 1H), 3.39 (s, 1H), 2.00–1.87 (m, 2H), 1.87–1.72 (m, 4H), 1.63–1.50 (m, 2H). 13C NMR (101 MHz, DMSO) δ 165.73 (d, J = 0.8 Hz), 148.24 (t, J = 4.9 Hz), 136.27, 96.17 (d, J = 2.9 Hz), 55.30 (d, J = 1.5 Hz), 30.65, 23.48.
benzyl (R)-(1-(1-cyclopentyl-4-oxo-4,5-dihydro-1H-pyrazolo[3,4-d]pyrimidin-6-yl)ethyl)carbamate (15). To a solution of intermediate 14 (0.485 g, 2.5 mmol), (R)-ethyl-2-(((benzyloxy)carbonyl)amino)propanoate (2.5 g, 10 mmol) in anhydrous THF (10 mL), sodium hydride (60% dispersion in mineral oil, 0.400 g, 10 mmol) was added. The mixture was stirred overnight at ambient temperature. Then, water was added slowly to the mixture to quench the reaction. The mixture was then extracted with ethyl acetate, washed with brine, and dried over Na2SO4. After concentration, the residue was purified by silica gel chromatography (MeOH/CH2Cl2 1:100), yielding intermediate 15 in the form of a yellow oil (400 mg, 42% yield). 1H NMR (400 MHz, CDCl3) d 11.90 (s, 1H), 8.05 (s, 1H), 7.32–7.28 (m, 5H), 5.98 (d, J = 6.1 Hz, 1H), 5.23–5.05 (m, 3H), 4.98–4.83 (m, 1H), 2.10 (dd, J = 13.6, 6.9 Hz, 4H), 2.02–1.92 (m, 2H), 1.79–1.69 (m, 2H), 1.60 (d, J = 7.1 Hz, 3H). 13C NMR (101 MHz, CDCl3) d 160.26, 159.79, 155.83, 151.90, 136.12, 134.56, 128.50, 128.18, 104.41, 67.18, 57.89, 50.43, 32.47, 24.78, 20.56.
(R)-6-(1-aminoethyl)-1-cyclopentyl-1,5-dihydro-4H-pyrazolo[3,4-d]pyrimidin-4-one (16). To a solution of intermediate 15 (0.381 g, 1 mmol) in methanol, Pd/C (10%, 0.038 g) as a catalyst was added. The mixture was stirred at ambient temperature for 24 h under an atmospheric hydrogen pressure. The catalyst was filtered off, and the filtrate was concentrated. The residue was purified by silica gel chromatography (MeOH/CH2Cl2 1:50) to afford intermediate 16 as a white solid (128 mg, 52%). 1H NMR (400 MHz, CDCl3) δ 8.05 (s, 1H), 5.22–5.08 (m, 1H), 4.12 (q, J = 6.8 Hz, 1H), 2.20–2.03 (m, 4H), 2.01–1.91 (m, 2H), 1.76–1.67 (m, 2H), 1.53 (d, J = 6.9 Hz, 3H). 13C NMR (101 MHz, CDCl3) δ 162.65, 158.53, 152.48, 134.49, 104.72, 57.81, 49.70, 32.44, 32.32, 24.75, 23.15.
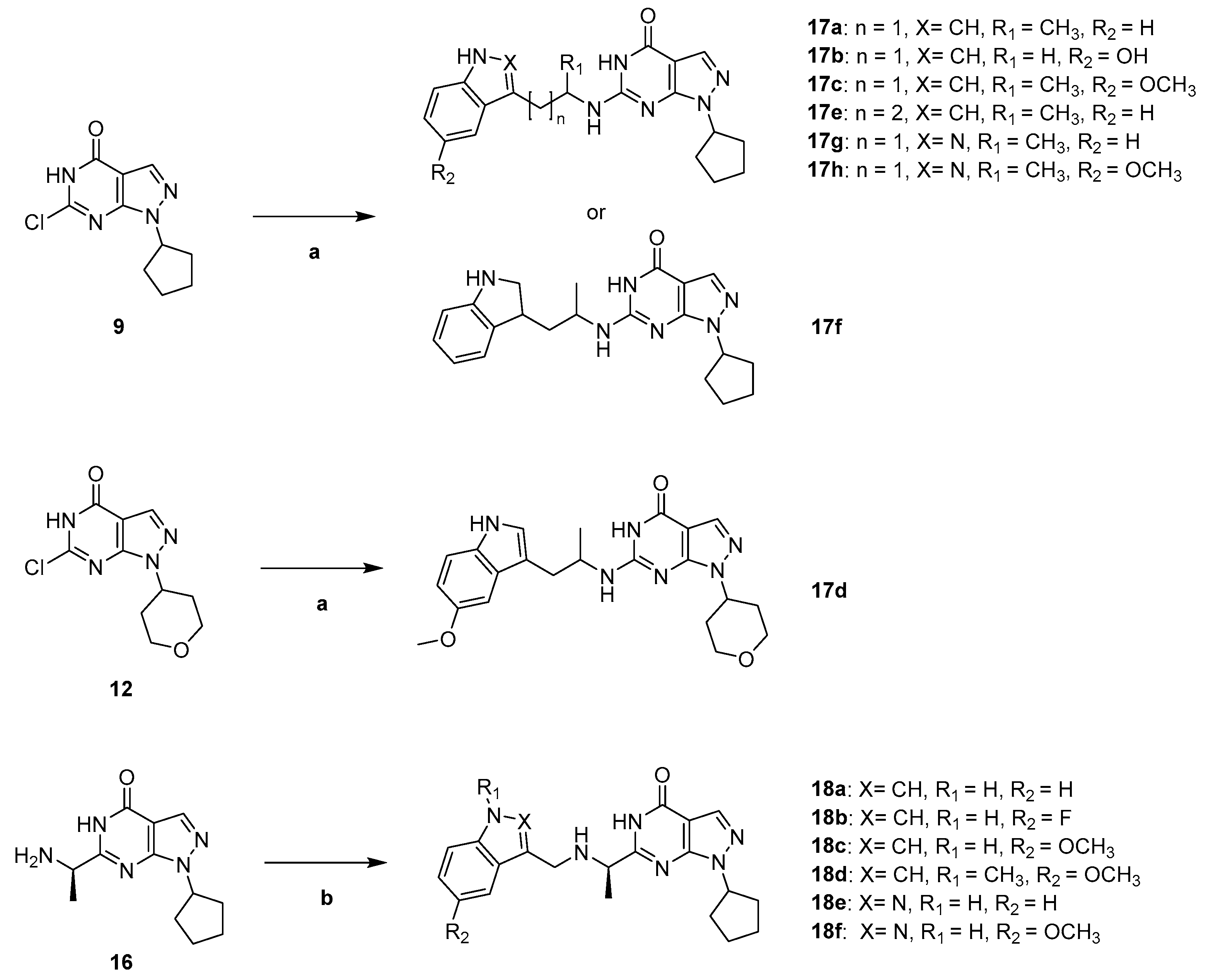
6-((1-(1H-indol-3-yl)propan-2-yl)amino)-1-cyclopentyl-1,5-dihydro-4H-pyrazolo[3,4-d]pyrimidin-4-one (17a). To a solution of intermediate 9 (48 mg, 0.20 mmol) in isopropanol (3 mL), 1-(1H-indol-3-yl)propan-2-amine (43 mg, 0.24 mmol), and triethylamine (40 mg, 0.40 mmol) were added. The mixture was refluxed overnight at 90 °C. After the reaction was finished, the mixture was cooled to ambient temperature. The solution was evaporated in a vacuum and the residue was purified by silica gel chromatography (MeOH/CH2Cl2 1:50) to afford 17a as a white solid (40 mg, 52% yield). 1H NMR (400 MHz, CDCl3) δ 8.08 (s, 1H), 7.77 (d, J = 9.6 Hz, 2H), 7.32 (d, J = 8.1 Hz, 1H), 7.17 (t, J = 7.4 Hz, 1H), 7.10 (m, 2H), 5.90 (d, J = 7.5 Hz, 1H), 5.11 (m, 1H), 4.51 (m, 1H), 3.21 (dd, J = 13.9, 4.8 Hz, 1H), 2.93 (dd, J = 14.1, 7.5 Hz, 1H), 2.12 (m, 4H), 1.97 (dt, J = 12.7, 7.4 Hz, 2H), 1.74 (m, 2H), 1.30 (d, J = 6.5 Hz, 3H). 13C NMR (101 MHz, Acetone) δ 157.95, 154.18, 152.75, 136.83, 133.73, 128.04, 123.43, 121.25, 118.72, 118.46, 111.57, 111.36, 100.08, 57.09, 47.18, 31.97, 31.80, 31.78, 24.49, 24.48, 19.37. HRMS (ESI-TOF) m/z [M + H]+ calcd for C21H24N6O 377.2084, found 377.2074.
1-cyclopentyl-6-((2-(5-hydroxy-1H-indol-3-yl)ethyl)amino)-1,5-dihydro-4H-pyrazolo[3,4-d]pyrimidin-4-one (17b). The title compound was synthesized from intermediate 9 (48 mg, 0.20 mmol) and 5-hydroxytryptamine hydrochloride (51 mg, 0.24 mmol) following the general procedure for the preparation of 17a, affording a white solid as the final product (51 mg, 67% yield). Purity = 96%. 1H NMR (400 MHz, MeOD) δ 7.79 (s, 1H), 7.16 (d, J = 8.6 Hz, 1H), 7.03 (s, 1H), 7.00 (d, J = 2.1 Hz, 1H), 6.67 (dd, J = 8.6, 2.2 Hz, 1H), 5.05 (m, 1H), 3.71 (t, J = 6.9 Hz, 2H), 3.00 (t, J = 6.9 Hz, 2H), 2.10 (m, 2H), 2.00 (m, 2H), 1.93 (m, 2H), 1.72 (m, 2H). 13C NMR (101 MHz, MeOD) δ 160.01, 154.46, 153.28, 149.81, 133.93, 131.80, 128.10, 123.09, 111.28, 111.00, 110.79, 102.23, 99.40, 57.38, 41.04, 31.41, 24.89, 24.29. HRMS (ESI-TOF) m/z [M + H]+ calcd for C20H22N6O2 379.1877, found 379.1884.
1-cyclopentyl-6-((1-(5-methoxy-1H-indol-3-yl)propan-2-yl)amino)-1,5-dihydro-4H-pyrazolo[3,4-d]pyrimidin-4-one (17c). The title compound was synthesized from intermediate 9 (48 mg, 0.20 mmol) and 5-methoxy-α-methyltryptamine (51 mg, 0.24 mmol) following the general procedure for the preparation of 17a, affording a white solid as the final product (53 mg, 66% yield). 1H NMR (400 MHz, CDCl3) δ 10.70 (s, 1H), 8.09 (s, 1H), 7.67 (s, 1H), 7.15 (d, J = 8.8 Hz, 1H), 7.10 (d, J = 2.1 Hz, 1H), 7.05 (d, J = 1.6 Hz, 1H), 6.79 (dd, J = 8.7, 2.3 Hz, 1H), 6.27 (d, J = 7.6 Hz, 1H), 5.10 (dd, J = 15.0, 7.5 Hz, 1H), 4.56 (dt, J = 13.1, 6.6 Hz, 1H), 3.81 (s, 3H), 3.06 (qd, J = 14.4, 6.0 Hz, 2H), 2.12 (m, 3H), 2.00 (m, 3H), 1.74 (m, 2H), 1.33 (d, J = 6.6 Hz, 3H). 13C NMR (101 MHz, CDCl3) δ 160.29, 154.66, 153.89, 152.40, 133.94, 131.49, 128.32, 123.85, 111.70, 111.65, 111.58, 101.44, 99.64, 57.43, 55.91, 46.94, 32.07, 31.95, 24.86, 20.34. HRMS (ESI-TOF) m/z [M + H]+ calcd for C22H26N6O2 407.2190, found 407.2197.
6-((1-(5-methoxy-1H-indol-3-yl)propan-2-yl)amino)-1-(tetrahydro-2H-pyran-4-yl)-1,5-dihydro-4H-pyrazolo[3,4-d]pyrimidin-4-one (17d). The title compound was synthesized from intermediate 12 (50 mg, 0.20 mmol) and 5-methoxy-α-methyltryptamine (51 mg, 0.24 mmol) following the general procedure for the preparation of 17a, affording a white solid as the final product (42 mg, 50% yield). Purity = 99%. 1H NMR (400 MHz, MeOD) δ 7.77 (s, 1H), 7.19 (d, J = 8.8 Hz, 1H), 7.04 (d, J = 2.1 Hz, 2H), 6.75 (s, 1H), 4.60 (m, 1H), 4.47 (dd, J = 12.9, 6.4 Hz, 1H), 4.04 (td, J = 11.5, 3.7 Hz, 2H), 3.74 (s, 3H), 3.58 (dd, J = 12.1, 1.8 Hz, 2H), 3.00 (ddd, J = 33.7, 14.3, 6.2 Hz, 2H), 2.21 (m, 2H), 1.79 (m, 2H), 1.28 (d, J = 6.7 Hz, 3H). 13C NMR (101 MHz, MeOD) δ 160.47, 154.24, 153.50, 152.82, 134.05, 132.01, 128.26, 123.79, 111.41, 110.67, 110.61, 100.58, 99.99, 66.62, 66.60, 54.85, 53.12, 31.56, 31.53, 19.10. HRMS (ESI-TOF) m/z [M + H]+ calcd for C22H26N6O3 423.2139, found 423.2147.
6-((4-(1H-indol-3-yl)butan-2-yl)amino)-1-cyclopentyl-1,5-dihydro-4H-pyrazolo[3,4-d]pyrimidin-4-one (17e). The title compound was synthesized from intermediate 9 (48 mg, 0.20 mmol) and 4-(1H-indol-3-yl)butan-2-amine (47 mg, 0.24 mmol) following the general procedure for the preparation of 17a, affording a white solid as the final product (40 mg, 50% yield). 1H NMR (400 MHz, MeOD) δ 7.80 (s, 1H), 7.49 (d, J = 7.9 Hz, 1H), 7.32 (d, J = 8.1 Hz, 1H), 7.06 (t, J = 7.2 Hz, 1H), 7.02 (s, 1H), 6.93 (t, J = 7.2 Hz, 1H), 4.93 (m, 1H), 4.17 (dd, J = 13.3, 6.6 Hz, 1H), 2.87 (t, J = 7.5 Hz, 2H), 1.99 (dt, J = 20.7, 7.1 Hz, 6H), 1.90 (m, 2H), 1.68 (m, 2H), 1.30 (d, J = 6.5 Hz, 3H). 13C NMR (101 MHz, MeOD) δ 159.98, 154.39, 152.68, 136.79, 133.87, 127.32, 121.39, 120.78, 117.95, 117.84, 114.29, 110.79, 99.41, 57.62, 46.36, 36.87, 31.35, 31.26, 24.30, 21.33, 19.48. HRMS (ESI-TOF) m/z [M + H]+ calcd for C22H26N6O 391.2241, found 391.2248.
1-cyclopentyl-6-((1-(indolin-3-yl)propan-2-yl)amino)-1,5-dihydro-4H-pyrazolo[3,4-d]pyrimidin-4-one (17f). The title compound was synthesized from intermediate 9 (48 mg, 0.20 mmol) and 1-(indolin-3-yl)propan-2-amine (42 mg, 0.55 mmol) following the general procedure for the preparation of 17a, affording a white solid as the final product (34 mg, 47% yield). 1H NMR (400 MHz, MeOD) δ 7.86 (d, J = 4.6 Hz, 1H), 7.23 (dd, J = 41.2, 7.4 Hz, 1H), 7.05 (t, J = 7.4 Hz, 1H), 6.76 (m, 2H), 5.07 (m, 1H), 4.41 (m, 1H), 3.72 (dt, J = 14.1, 8.6 Hz, 1H), 3.42 (dd, J = 13.2, 5.6 Hz, 1H), 3.29 (ddd, J = 8.9, 7.0, 3.7 Hz, 1H), 2.16 (m, 2H), 2.09 (m, 2H), 2.02 (m, 2H), 1.78 (m, 2H), 1.37 (dd, J = 12.8, 6.6 Hz, 3H). 13C NMR (101 MHz, MeOD) δ 162.35, 156.85, 156.81, 155.27, 155.16, 153.70, 153.65, 136.44, 136.42, 135.57, 135.47, 129.63, 129.56, 126.18, 125.67, 121.29, 121.11, 112.73, 112.67, 101.97, 101.88, 60.10, 59.80, 55.84, 55.68, 47.68, 47.38, 43.99,43.71, 41.80, 41.64, 33.96, 33.95, 33.84, 33.70, 26.82, 26.80, 26.74, 26.71, 22.58, 22.43. HRMS (ESI-TOF) m/z [M + H]+ calcd for C21H26N6O 379.2241, found 379.2232.
6-((1-(1H-indazol-3-yl)propan-2-yl)amino)-1-cyclopentyl-1,5-dihydro-4H-pyrazolo[3,4-d]pyrimidin-4-one (17g). The title compound was synthesized from intermediate 9 (48 mg, 0.20 mmol) and 1-(1H-indazol-3-yl)propan-2-amine (42 mg, 0.36 mmol) following the general procedure for the preparation of 17a, affording a white solid as the final product (45 mg, 60% yield). 1H NMR (400 MHz, MeOD) δ 7.82 (d, J = 8.1 Hz, 1H), 7.76 (s, 1H), 7.45 (d, J = 8.4 Hz, 1H), 7.35 (t, J = 7.5 Hz, 1H), 7.10 (t, J = 7.4 Hz, 1H), 4.90 (m, 1H), 4.61 (dd, J = 13.0, 6.5 Hz, 1H), 3.29 (d, J = 6.2 Hz, 1H), 3.22 (m, 1H), 2.01 (m, 4H), 1.92 (m, 2H), 1.69 (m, 2H), 1.29 (d, J = 6.6 Hz, 3H). 13C NMR (101 MHz, MeOD) δ 159.84, 154.20, 152.57, 142.99, 141.20, 133.91, 126.46, 122.14, 119.83, 119.68, 109.85, 99.38, 57.29, 46.58, 33.29, 31.40, 31.23, 24.18, 24.15, 19.08. HRMS (ESI-TOF) m/z [M + H]+ calcd for C20H23N7O 378.2037, found 378.2026.
1-cyclopentyl-6-((1-(5-methoxy-1H-indazol-3-yl)propan-2-yl)amino)-1,5-dihydro-4H-pyrazolo[3,4-d]pyrimidin-4-one (17h). The title compound was synthesized from intermediate 9 (48 mg, 0.20 mmol) and 1-(5-methoxy-1H-indazol-3-yl)propan-2-amine (48 mg, 0.36 mmol) following the general procedure for the preparation of 17a, affording a white solid as the final product (56 mg, 46% yield). 1H NMR (400 MHz, MeOD) δ 7.75 (s, 1H), 7.33 (dd, J = 9.0, 0.5 Hz, 1H), 7.07 (d, J = 2.0 Hz, 1H), 7.01 (dd, J = 9.0, 2.3 Hz, 1H), 4.89 (m, 1H), 4.59 (dt, J = 11.8, 5.9 Hz, 1H), 3.74 (s, 3H), 3.32 (dd, J = 15.1, 5.0 Hz, 1H), 3.17 (dd, J = 14.2, 6.4 Hz, 1H), 1.99 (m, 4H), 1.91 (ddd, J = 11.4, 5.8, 3.4 Hz, 2H), 1.68 (m, 2H), 1.32 (d, J = 6.7 Hz, 3H). 13C NMR (101 MHz, MeOD) δ 159.75, 154.46, 154.22, 152.52, 142.10, 137.08, 133.83, 122.53, 118.53, 110.79, 99.39, 99.04, 57.36, 54.69, 46.51, 32.77, 31.43, 31.24, 24.21, 24.18, 19.20. HRMS (ESI-TOF) m/z [M + H]+ calcd for C21H25N7O2 408.2142, found 408.2132.
(R)-6-(1-(((1H-indol-3-yl)methyl)amino)ethyl)-1-cyclopentyl-1,5-dihydro-4H-pyrazolo[3,4-d]pyrimidin-4-one (18a). To a solution of intermediate 16 (48 mg, 0.20 mmol), indole-3-carboxaldehyde (29 mg, 0.20 mmol), anhydrous sodium acetate (44 mg, 0.54 mmol) in isopropanol (3 mL), sodium cyanoborohydride (23 mg, 0.36 mmol) was added. The mixture was stirred for 16 h at ambient temperature. The solution was evaporated in a vacuum and the residue was dissolved in ethyl acetate. Then the solution was sequentially washed with a saturated solution of NaHCO3 and brine three times, dried over anhydrous Na2SO4, and purified by silica gel chromatography to afford 18a as a white solid (15 mg, 19% yield). 1H NMR (400 MHz, CDCl3) δ 8.23 (s, 1H), 8.05 (s, 1H), 7.63 (d, J = 7.7 Hz, 1H), 7.36 (d, J = 8.0 Hz, 1H), 7.20 (t, J = 7.0 Hz, 1H), 7.15 (m, 2H), 5.17 (m, 1H), 3.95 (m, 3H), 2.11 (m, 4H), 1.98 (m, 2H), 1.72 (m, 2H), 1.44 (d, J = 6.9 Hz, 3H). 13C NMR (101 MHz, CDCl3) δ 161.90, 158.07, 152.48, 134.55, 126.65, 122.90, 122.43, 119.89, 118.43, 113.65, 111.36, 105.02, 99.98, 57.81, 56.46, 43.42, 32.47, 32.36, 24.75, 21.62. HRMS (ESI-TOF) m/z [M − H]− calcd for C21H24N6O 375.1939, found 375.1934.
(R)-1-cyclopentyl-6-(1-(((5-fluoro-1H-indol-3-yl)methyl)amino)ethyl)-1,5-dihydro-4H-pyrazolo[3,4-d]pyrimidin-4-one (18b). The title compound was synthesized from intermediate 16 (48 mg, 0.20 mmol) and 5-fluoroindole-3-carboxaldehyde (31 mg, 0.20 mmol) following the general procedure for the preparation of 18a, affording a white solid as the final product (39 mg, 49% yield). Purity = 96%. 1H NMR (400 MHz, CDCl3) δ 10.13 (s, 1H), 8.16 (s, 1H), 8.04 (s, 1H), 7.29 (d, J = 4.5 Hz, 1H), 7.25 (d, J = 2.2 Hz, 1H), 7.20 (d, J = 1.9 Hz, 1H), 6.95 (td, J = 9.0, 2.4 Hz, 1H), 5.17 (m, 1H), 3.91 (m, 3H), 2.12 (m, 4H), 1.98 (m, 2H), 1.72 (m, 2H), 1.44 (m, 3H). 13C NMR (101 MHz, CDCl3) δ 161.78, 158.11, 152.41, 134.51, 132.80, 124.68, 112.06, 111.97, 110.95, 110.69, 103.56, 103.32, 57.83, 56.57, 43.26, 32.44, 32.36, 24.74, 21.63. HRMS (ESI TOF) m/z [M − H]− calcd for C21H23FN6O 393.1845, found 393.1836.
(R)-1-cyclopentyl-6-(1-(((5-methoxy-1H-indol-3-yl)methyl)amino)ethyl)-1,5-dihydro-4H-pyrazolo[3,4-d]pyrimidin-4-one (18c). To a solution of intermediate 16 (48 mg, 0.20 mmol), 5-methoxyindole-3-carboxaldehyde (32 mg, 0.20 mmol), anhydrous sodium acetate (44 mg, 0.54 mmol) in isopropanol (5 mL), sodium cyanoborohydride (23 mg, 0.36 mmol) was added. The title compound was synthesized according to the general procedure for the preparation of 18a, affording a white solid as the final product (47 mg, 63% yield). 1H NMR (400 MHz, CDCl3) δ 10.20 (s, 1H), 8.05 (s, 1H), 8.01 (s, 1H), 7.26 (d, J = 8.5 Hz, 1H), 7.13 (s, 1H), 7.06 (s, 1H), 6.88 (d, J = 8.8 Hz, 1H), 5.17 (p, J = 7.4 Hz, 1H), 3.92 (m, 6H), 2.11 (td, J = 13.0, 6.5 Hz, 4H), 1.97 (m, 2H), 1.73 (m, 2H), 1.44 (m, 3H). 13C NMR (101 MHz, CDCl3) δ 161.89,157.90, 154.44, 152.52, 134.61, 131.45, 127.07, 123.62, 113.43, 112.81, 112.13, 105.07, 100.20, 57.75, 56.40, 55.99, 43.54, 32.47, 32.41, 24.77, 21.70. HRMS (ESI-TOF) m/z [M + H]+ calcd for C22H26N6O2 407.2190, found 407.2180.
(R)-1-cyclopentyl-6-(1-(((5-methoxy-1-methyl-1H-indol-3-yl)methyl)amino)ethyl)-1,5-dihydro-4H-pyrazolo[3,4-d]pyrimidin-4-one (18d). The title compound was synthesized from intermediate 16 (48 mg, 0.20 mmol) and 5-methoxy-1-methylindole-3-carbaldehyde (38 mg, 0.20 mmol) following the general procedure for the preparation of 18a, affording a white solid as the final product (55 mg, 65% yield). Purity = 91%. 1H NMR (400 MHz, CDCl3) δ 10.19 (s, 1H), 8.05 (s, 1H), 7.18 (d, J = 8.8 Hz, 1H), 7.04 (s, 1H), 6.97 (s, 1H), 6.90 (d, J = 8.8 Hz, 1H), 5.16 (m, 1H), 3.90 (m, 6H), 3.72 (s, 3H), 2.11 (m, 4H), 1.98 (m, 2H), 1.73 (m, 2H), 1.44 (d, J = 6.8 Hz, 3H). 13C NMR (101 MHz, CDCl3) δ 161.95, 157.90, 154.21, 134.53, 132.50, 128.24, 127.46, 112.27, 111.50, 110.24, 105.01, 100.41, 57.77, 56.18, 55.79, 43.35, 32.82, 32.45, 32.38, 29.68, 24.75, 21.61. HRMS (ESI-TOF) m/z [M − H]− calcd for C23H28N6O2 419.2201, found 419.2205.
(R)-6-(1-(((1H-indazol-3-yl)methyl)amino)ethyl)-1-cyclopentyl-1,5-dihydro-4H-pyrazolo[3,4-d]pyrimidin-4-one (18e). The title compound was synthesized from intermediate 16 (48 mg, 0.20 mmol) and 1H-indazole-3-aldehyde (30 mg, 0.20 mmol) following the general procedure for the preparation of 18a, affording a white solid as the final product (32 mg, 41% yield). 1H NMR (400 MHz, CDCl3) δ 11.62 (s, 1H), 7.83 (s, 1H), 7.55 (d, J = 7.9 Hz, 1H), 7.35 (d, J = 8.4 Hz, 1H), 7.14 (t, J = 7.6 Hz, 1H), 6.91 (t, J = 7.2 Hz, 1H), 5.01 (dd, J = 13.8, 6.9 Hz, 1H), 4.39 (d, J = 14.8 Hz, 1H), 4.19 (d, J = 14.9 Hz, 1H), 3.95 (m, 1H), 2.06 (m, 4H), 1.97 (m, 2H), 1.73 (m, 2H), 1.45 (d, J = 6.4 Hz, 3H). 13C NMR (101 MHz, CDCl3) δ 162.57, 158.90, 151.56, 144.48, 140.71, 134.02, 126.79, 121.11, 120.58, 119.38, 110.28, 103.91, 58.26, 57.60, 44.46, 32.54, 32.27, 24.79, 21.66. HRMS (ESI-TOF) m/z [M − H]− calcd for C20H23N7O 376.1891, found 376.1886.
(R)-1-cyclopentyl-6-(1-(((5-methoxy-1H-indazol-3-yl)methyl)amino)ethyl)-1,5-dihydro-4H-pyrazolo[3,4-d]pyrimidin-4-one (18f). The title compound was synthesized from intermediate 16 (48 mg, 0.20 mmol) and 5-methoxy-1H-indazole-3-carboxyaldehyde (35 mg, 0.20 mmol) following the general procedure for the preparation of 18a, affording a white solid as the final product (40 mg, 49% yield). 1H NMR (400 MHz, CDCl3) δ 11.57 (s, 1H), 7.91 (s, 1H), 7.24 (d, J = 8.8 Hz, 1H), 6.89 (d, J = 8.8 Hz, 2H), 4.99 (dd, J = 13.7, 7.0 Hz, 1H), 4.30 (dd, J = 14.6, 3.7 Hz, 1H), 4.13 (d, J = 14.6 Hz, 1H), 3.94 (q, J = 6.7 Hz, 1H), 3.83 (s, 3H), 2.05 (m, 4H), 1.96 (m, 2H), 1.70 (m, 2H), 1.45 (dd, J = 6.7, 3.2 Hz, 3H). 13C NMR (101 MHz, CDCl3) δ 162.45, 158.92, 154.50, 151.79, 143.50, 136.67, 134.09, 121.58, 119.05, 111.26, 104.25, 98.56, 57.67, 57.15, 55.57, 44.51, 32.40, 32.14, 24.71, 21.69. HRMS (ESI-TOF) m/z [M − H]− calcd for C21H25N7O2 406.1997, found 406.1989.
2.2. In Vitro Assay for Potential PDE9 Inhibitors
2.2.1. Expression and Purification of PDE9 Protein
The expression and purification protocols of PDE9 recombinant catalytic domain (amino acid 181–506) were similar to our previously reported works [32]. In brief, E. coli strain BL21 (Codonplus), which carrying with recombinant pET-PDE9A2 plasmid, was grown in LB medium (containing 100 μg/mL ampicillin and 0.4% glucose) at 37 °C until an OD600 achieved 0.6–0.8. Then, the temperature was turned down to 15 °C, and 0.1 mM iso-propyl-b-D-thiogalactopyranoside was added to LB medium to induce the expression of PDE9A2 protein. Bacteria were induced for 20 h and collected for purified PDE9A2 recombinant protein by a Ni-NTA column (Qiagen, Venlo, The Netherlands). The purification batch yielded 60–120 mg of PDE9A2 protein from a 1 L cell culture, with purity exceeding 90%.
2.2.2. Enzymatic Assays Against PDE9
As for the enzymatic assays, 3H-cGMP (20,000–30,000 cpm, GE Healthcare), the substrate for enzymatic assays against PDE9A2, were diluted in an assay buffer (containing 50 mM Tris-HCl (pH 8.0), 10 mM MgCl2, and 1 mM DTT). And then, the substrate 3H-cGMP, catalytic domain of PDE9A2, and different concentrations of tested compounds were incubated at room temperature for 15 min. To terminate the reaction, 0.2 M ZnSO4 and 0.2 N Ba(OH)2 were added to the mixture, leaving unreacted 3H-cGMP in the supernatant. The radioactivity of the supernatant was measured using the PerkinElmer 2910 liquid scintillator counter (PerkinElmer, Waltham, MA, USA) for the calculated inhibition rates. Each compound was measured at a minimum of eight concentrations for the IC50 calculation and repeated at least three times. 1-Cyclopentyl-6-(((R)-1-((S)-3-fluoropyrrolidin-1-yl)-1-oxopropan-2-yl)amino)-1,5-dihydro-4H-pyrazolo [3,4-d]-pyrimidin-4-one, synthesized by our group, was used as the reference compound with around 50% inhibition against PDE9 at a concentration of 10 nM [32].
2.3. Antioxidant Activity Assay
The modified Oxygen Radical Absorbance Capacity Fluorescein (ORAC-FL) method was used for antioxidant activity test [33,34]. In brief, the mixture of test compounds (20 μL) and fluorescein (120 μL, final concentration of 150 nM) was added into a black 96-well plate and incubated for 15 min at 37 °C. Then, 60 μL of 2,2′-azobis(2-amidinopropane) dihydrochloride (AAPH) solution (12 mM) was added rapidly to induce the reaction. The fluorescence with an excitation wavelength of 485 nm and emission at 535 nm was measured in Spectrafluor Plus plate reader (Tecan, Crailsheim, Germany) every minute for 4 h. Integration of the area under the curve (AUC) was Final concentration 1 to 8 μM Trolox was used as a standard. Each compound was tested at 1–10 μM at least in three independent assays. The ORAC-FL values of each compound were calculated according to Equation (1) and expressed as Trolox equivalents.
2.4. Molecular Docking
The crystal structure of PDE9A complexed with a highly selective inhibitor 1-Cyclopentyl-6-(((R)-1-((S)-3-fluoropyrrolidin-1-yl)-1-oxopropan-2-yl)amino)-1,5-dihydro-4H-pyrazolo [3,4-d]-pyrimidin-4-one (PDB ID: 6A3N) was used in this study [32]. Molecular docking was conducted using Surflex-dock, a component of Tripos Sybyl (version X2.0, Tripos Software, Inc., El Cerrito, CA, USA) [35]. Two metal ions present within this crystal structure were retained due to their critical role in the catalytic activities of PDEs. All but a few water molecules were removed from this crystal structure. The exception is for those water molecules located adjacent to the metal ions. Hydrogen atoms were added, and the ionizable residues were protonated to reflect neutral pH conditions. The protomol represents a group of molecular fragments selected from CH4, C=O, and N–H, and was placed in PDE9’s pocket by identifying empty 1 Å voxels between marked residues using the bound ligand as the reference. It was then automatically optimized locally by 3D Gaussian smoothing for placement, with high-scoring fragments retained, constituting the docking site. The parameters proto_thresh and proto_bloat indicate the extent to which the protomol can be buried within the protein and the permissible outward extension beyond the cavity, respectively. The proto_thresh was set to 0.5, while the proto_bloat was designated as 0. After preparing the protomol, molecular docking was conducted. The parameter of “Maximum Number of Poses per Ligand” was set to 10, resulting in at most 10 top-ranked docked conformations retained. CScore calculations were performed to obtain docking scores between each conformation and PDE9. All designed molecules were docked to the prepared PDE9 protein, and the top 20 molecules possessing both higher docking scores and suitable binding patterns were selected for subsequent MD simulations, followed by binding free energy calculations.
2.5. Molecular Dynamics Simulations
The MM-GBSA approach [36] was utilized for calculating binding-free energies according to 100 snapshots taken from the eighth nanosecond of every MD simulation trajectory, as previously reported [29,30]. The electrostatic contribution to the solvation-free energy was calculated by the PBSA program embedded in the Amber 16 suite, with a grid size of 0.5 Å. The interior and exterior dielectric constants for the solute and solvent were set to 1 and 80, respectively. The optimized atomic radii provided in Amber 16 were applied. The entropy contributions were omitted to enhance computational efficiency without significantly sacrificing accuracy.
2.6. Prediction of Pharmacokinetic Properties
Pharmacokinetic properties, such as lipophilicity, solubility, blood-brain barrier (BBB) permeant, and inhibition of cytochrome P450 proteins were estimated using the online web tool SwissADME (http://www.swissadme.ch (accessed on 14 November 2024)).
3. Results and Discussion
3.1. Multitarget-Directed Ligand Design Strategy
We have previously reported pyrazolopyrimidinone derivatives as effective PDE9 inhibitors exemplified by C33 (IC50 = 16 nM) [31]. The X-ray cocrystal structure of PDE9 with C33 shows that the pyrazolopyrimidinone core is sandwiched by Phe456 and Leu420, forming strong hydrophobic interaction and π-π stacking. Hydrogen bonds can be observed between the core of C33 and Gln453. Since the pyrazolopyrimidinone core plays a crucial role in PDE9 recognition, it was retained for further design. The 6-((1-(4-chlorophenyl)ethyl)amino) group of C33 stretches into a large solvent-exposed region of PDE9, providing space for the introduction of substituents with antioxidant activities. Therefore, compounds with both PDE9 inhibitory activities and antioxidant capacities were designed by attaching different melatonin-derived fragments to the pyrazolopyrimidinone core at the C6-position (Figure 2). Molecular docking and dynamics simulations were performed before chemical synthesis and bioassay. The binding free energies were predicted by the MM-GBSA method ranging from −40 to −31 kcal/mol, indicating that all these compounds have strong interactions with PDE9.
Figure 2.
MTDL design strategy combining PDE9 inhibition and antioxidant capacities. The R1, R2, and R3 represent alternative groups. The X represents carbon or nitrogen, and the n represents 1 or 2.
3.2. Chemistry
The preparation route of intermediates 9 and 12 is displayed in Scheme 1. Intermediates 8 and 11 were synthesized using substituted hydrazine hydrochloride and 2,4,6-trichloropyrimidine-5-carbaldehyde. Subsequently, 8 or 11 experienced hydrolysis reactions using sodium hydroxide as the base to afford intermediates 9 and 12.
Scheme 1.
Synthetic route for intermediates 9 and 12. Reagents and conditions: (a) triethylamine, EtOH, −78 °C, 2 h, heated to r. t., 8 h; (b) 4% NaOH, 60 °C, 1 h.
The preparation route of intermediate 16 is displayed in Scheme 2. Intermediate 13 were synthesized using cyclopentylhydrazine hydrochloride (7) and 2-(ethoxymethylene)malononitrile. Subsequently, the cyano group of 13 underwent a hydrolytic process in the presence of hydrogen peroxide to afford 14 containing an amide group. Intermediate 14 was then reacted with (R)-ethyl-2-(((benzyloxy)carbonyl)amino)propanoate under basic condition to afford 15. The benzyloxyl group was left by hydrogenation in hydrogen atmosphere with Pd/C as the catalyst, affording intermediate 16.
Scheme 2.
Synthetic route for intermediate 16. Reagents and conditions: (a) triethylamine, EtOH, 0 °C, 2 h, then reflux, 3 h; (b) 25% NH3·H2O, 30% H2O2, EtOH, r.t., 1 h; (c) 60% NaH, anhydrous THF, r.t., 8 h; (d) MeOH, Pd/C, H2, r.t., 24 h.
The preparation route of pyrazolopyrimidinone derivatives 17a–h, 18a–f is displayed in Scheme 3. Different amines were reacted with intermediates 9 and 12, respectively, to afford 17a–h in moderate to high yields. Different aldehydes were reacted with intermediate 16, resulting in the formation of 18a–f in moderate to high yields.
Scheme 3.
Synthetic route for compounds 17a–h and 18a–f. Reagents and conditions: (a) isopropanol, triethylamine, refluxed, 8 h; (b) anhydrous AcONa, isopropanol, NaBH3CN, r.t., 16 h.
3.3. Biological Evaluation of Designed Compounds
The enzymatic assay of designed compounds against PDE9 was performed in vitro. The antioxidant activity test was also performed by the ORAC method. The inhibitory and antioxidant activities of these compounds are summarized in Table 1 and Table 2.
Table 1.
Predicted binding free energies, inhibitory activities against PDE9, and oxygen radical absorbance capacity (ORAC) of compounds 17a–h.
Table 2.
Predicted binding free energies, inhibitory activities against PDE9, and oxygen radical absorbance capacity (ORAC) of compounds 18a–f.
3.3.1. Inhibition of Designed Compounds Against PDE9
In vitro enzymatic assays for PDE9 inhibition of designed compounds combining the pharmacophore features of PDE9 inhibitors and antioxidant fragments were performed, and most of the targeted compounds showed moderate to high inhibition against PDE9 (Table 1 and Table 2). There were 10 compounds with over 50% inhibition at a concentration of 0.1 μM, while seven compounds showed over 50% inhibition at a concentration of 0.01 μM. Among these compounds, 17c showed an excellent IC50 value of 1.8 nM, indicating that 17c is a potent PDE9 inhibitor.
Overall, compounds 17a–h showed stronger inhibition against PDE9 compared with compounds 18a–f. A methyl group (R1 position) on the side chain linked to the C6-position of the pyrazolopyrimidinone core benefits the inhibitory activity, since compound 17b showed only 16% inhibition (at a centration of 0.01 μM, the same below), much weaker than other compounds such as 17a, 17c, and 17e–h. For compounds 17a–f containing an indole ring at the C6-position of the core, the substituent groups on indole affected the inhibitory activity. For example, 17c with 5-methoxyl-1H-indol-3-yl (84% inhibition) demonstrated enhanced inhibition than 17a with 1H-indol-3-yl (68% inhibition). On the other hand, changing the C6 substituent from (1-(1H-indol-3-yl)propan-2-yl)amino to (4-(1H-indol-3-yl)butan-2-yl)amino led to compound 17e (67% inhibition) with comparable inhibitory activity to 17a, indicating that the chain between indole and the core could be lengthened appropriately. However, when the indole ring in 17a was replaced with an indoline one, there was a sight loss in potency of 17f (59% inhibition). A similar decrease in potency can be seen from compound 17c (84% inhibition) to 17h (65% inhibition) with an indazole ring, indicating that the indole is a preferable substituent in the C6-position of the core. Unexpectedly, compound 17d displayed a dramatic loss in potency (13% inhibition) compared to 17c, indicating that tetrahydropyran at the N1-position of the pyrazolo[3,4-d]pyrimidin-4-one core was unfavorable.
As opposed to the above, introducing a methoxyl at C5-position of the indole or indazole ring in compounds 18a and 18e (around 50% inhibition, at a concentration of 0.1 μM, the same below) failed to improve the inhibitory activity for compounds 18c and 18f (less than 30% inhibition). However, introducing a fluoro group at this position led to compound 18b (76% inhibition) with a remarkable increase in potency compared to 18a. In addition, introducing a methyl on the N1-position of the indole ring led to 18d with a slight decrease in potency compared to 18c (IC50 from 194 nM to 214 nM).
3.3.2. Antioxidant Activity of Designed Compounds by the ORAC Method
ORAC-FL is a widely used method for assessing the antioxidant activities of hydrophilic antioxidants. In this study, we evaluated the antioxidant activities of compounds 17a-h and 18a-f using the ORAC-FL method. The results are presented as Trolox equivalents in Table 1 and Table 2. Among the 14 pyrazolopyrimidinone derivatives, compounds 17d, 18c, and 18d with a methoxyl group on the indole ring resembling the fragment of melatonin demonstrated good ORAC values of 2.60-, 1.61-, and 1.09-fold Trolox equivalents. Besides, compound 17b with a hydroxyl group on the indole ring also demonstrated good ORAC values of 2.00-fold Trolox equivalents. Compounds lacking in a methoxyl or a hydroxyl group on the indole or indoline ring (17a, 17e–f, 18a–b) demonstrated low ORAC values. Similarly, compounds with an indazole ring instead of an indole one (17g–h, 18e–f) exhibited low ORAC values. Unexpectedly, compound 17c with a fragment of melatonin displayed low antioxidant activity with an ORAC value of 0.32-fold Trolox equivalents.
3.4. Pharmacokinetic Properties
Pharmacokinetic properties of compounds 17b and 17d were estimated using the online web tool SwissADME. Both 17b and 17d have slightly larger molecular weights from 370 to 430. They exhibit favorable lipophilicity, with LogP values ranging from 2 to 4, and show moderate to good solubility. Furthermore, 17d shows no inhibition against CYP2C9, 2C19, 2D6, and 3A4, indicating a lower likelihood of drug-drug interactions and reduced risk of side effects. However, both 17b and 17d are deduced to be P-glycoprotein substrates and possess poor BBB permeant. While the above findings provide valuable insights for MTDLs that target AD through computational and biochemical approaches, the lack of experimental validation in biological systems limits the ability to fully assess the efficacy, safety, and pharmacokinetics of 17b and 17d. This limitation should be carefully considered when performing further structural optimization and before proceeding with pharmacokinetic studies, such as cell-based assays and animal model experiments.
3.5. Structure-Activity Relationship Analysis Based on Molecular Docking
Molecular docking, together with dynamics simulations, were performed in the initial design to reduce synthetic work, and the structure-activity relationship was analyzed aided by the calculation results to explain the differences in inhibitory activity among the targeted compounds. From the binding patterns of typical compounds including 17b–d and 18c with PDE9 (Figure 3), two crucial hydrogen bonds were formed between each compound and Gln453. Besides, π-π stacking was also observed between the pyrazolo [3,4-d]pyrimidin-4-one core and Phe456. These interactions have been validated as important for the recognition of inhibitors and PDE9. Furthermore, an additional hydrogen bond was observed between Ala452 and the amino group of the side chain in compounds 17b–d, which was not observed between compound 18c and PDE9. Thus, this hydrogen bond with Ala452 was recognized as an important contributive factor to the potency of these inhibitors. The methyl group in the side chain of 17c occupied a small pocket composed of Leu420, Tyr424, Phe441, and Ala452, leading to the indole ring forming “T-shaped” π-π stacking with Phe456. However, due to a lack of this methyl group in 17b, the indole ring at the end of the C6-substituent stretched directly into the solvent region of PDE9 and could not form π-π stacking with Phe456. This could explain the potency loss from 17c to 17b.
Figure 3.
Proposed binding patterns of compounds 17b (A), 17c (B), 17d (C), and 18c (D) with PDE9 (PDB ID: 6A3N). A small hydrophobic pocket is composed of Ala452, Leu420, Tyr424, and Phe441, which are labeled as blue. Hydrogen bonds are depicted in blue dashed lines. Unfavorable electric repulsion is depicted in red dashed lines.
The decreased inhibition of compound 17d compared with 17c may be due to electric repulsion between the oxygen of the tetrahydropyran ring of 17d and the nitrogen of the imidazole ring of His252. Although compound 17c could also form “T-shaped” π-π stacking with Phe456, steric hindrance rather than hydrogen bonding was formed with Ala452, leading to its decreased potency to 17c.
4. Conclusions
In summary, a series of pyrazolo [3,4-d]pyrimidin-4-one derivatives were designed and synthesized as multitarget-directed anti-AD ligands. With the aid of molecular docking and dynamics simulations, compounds that combine the pharmacophore features of PDE9 inhibitors with the antioxidant melatonin were evaluated to be novel PDE9 inhibitors with moderate to high potency and remarkable antioxidant activities. Among them, compounds 17b and 17d demonstrated IC50 values of 91 and 89 nM against PDE9, respectively. They also showed good antioxidant activity with ORAC values of 2.00- and 2.60-fold Trolox equivalents, respectively. Molecular docking-based binding patterns between inhibitors and PDE9 disclosed several important interactions with Gln453, Phe456, and Ala452, which enriched the structure-activity relationship. We believe this MTDL designing strategy is useful for further structural modification of potent PDE9 inhibitors with enhanced antioxidant activities, which could be utilized for further research in AD in the near future.
5. Patents
The work reported in this manuscript has been patented (Patent Number: CN106977518A).
Supplementary Materials
The following supporting information can be downloaded at: https://www.mdpi.com/article/10.3390/antiox14020123/s1. The spectra of 1H-NMR, 13C-NMR, and HRMS for the target compounds are included in the uploaded file of supporting information [36,37,38,39,40,41].
Author Contributions
Conceptualization, Y.W. and C.Z.; Methodology, Q.Z., X.-N.W. and W.-H.L.; Validation, Q.Z., X.-N.W. and W.-H.L.; Formal analysis, W.-H.L., X.-N.W., and Q.-H.H.; Investigation, Q.Z., X.-N.W., W.-H.L., Q.-H.H. and L.-L.F.; Writing—original draft preparation, Q.Z., X.-N.W. and W.-H.L.; Writing—review and editing, Y.W. and C.Z.; Visualization, W.-H.L. and X.-N.W.; Supervision, Y.W. and C.Z.; Project administration, Y.W.; Funding acquisition, Y.W. and C.Z. All authors have read and agreed to the published version of the manuscript.
Funding
This research was funded by the Natural Science Foundation of China, grant numbers 82003652, 22370192, and 21977127.
Institutional Review Board Statement
Not applicable.
Informed Consent Statement
Not applicable.
Data Availability Statement
The data presented in this study are available within the article and Supplementary Materials.
Acknowledgments
We cordially thank the anonymous reviewers’ valuable comments and kind proofreading of the manuscript. We cordially thank H.K. from the Department of Biochemistry and Biophysics at the University of North Carolina, Chapel Hill, for his assistance with the molecular cloning, expression, purification, determination of the crystal structures, and bioassay of PDEs.
Conflicts of Interest
The authors declare no conflicts of interest.
References
- Livingston, G.; Huntley, J.; Sommerlad, A.; Ames, D.; Ballard, C.; Banerjee, S.; Brayne, C.; Burns, A.; Cohen-Mansfield, J.; Cooper, C.; et al. Dementia prevention, intervention, andcare: 2020 report of theLancet Commission. Lancet 2020, 396, 413–446, Erratum in Lancet 2023, 402, 1132. [Google Scholar] [CrossRef]
- Holtzman, D.M.; Morris, J.C.; Goate, A.M. Alzheimer’s Disease: The Challenge of the Second Century. Sci. Transl. Med. 2011, 3, 77sr1. [Google Scholar] [CrossRef]
- 2024 Alzheimer’s disease facts and figures. Alzheimers Dement. 2024, 20, 3708–3821. [CrossRef] [PubMed]
- Scheltens, P.; De Strooper, B.; Kivipelto, M.; Holstege, H.; Chetelat, G.; Teunissen, C.E.; Cummings, J.; van der Flier, W.M. Alzheimer’s disease. Lancet 2021, 397, 1577–1590. [Google Scholar] [CrossRef] [PubMed]
- Herrmann, N.; Chau, S.A.; Kircanski, I.; Lanctôt, K.L. Current and Emerging Drug Treatment Options for Alzheimer’s Disease A Systematic Review. Drugs 2011, 71, 2031–2065. [Google Scholar] [CrossRef]
- Reardon, S. FDA approves Alzheimer’s drug lecanemab amid safety concerns. Nature 2023, 613, 227–228. [Google Scholar] [CrossRef] [PubMed]
- Söderberg, L.; Johannesson, M.; Nygren, P.; Laudon, H.; Eriksson, F.; Osswald, G.; Möller, C.; Lannfelt, L. Lecanemab, Aducanumab, and Gantenerumab—Binding Profiles to Different Forms of Amyloid-Beta Might Explain Efficacy and Side Effects in Clinical Trials for Alzheimer’s Disease. Neurotherapeutics 2023, 20, 195–206. [Google Scholar] [CrossRef] [PubMed]
- Turgutalp, B.; Kizil, C. Multi-target drugs for Alzheimer’s disease. Trends Pharmacol. Sci. 2024, 45, 628–638. [Google Scholar] [CrossRef] [PubMed]
- Gong, C.X.; Dai, C.L.; Liu, F.; Iqbal, K. Multi-Targets: An Unconventional Drug Development Strategy for Alzheimer’s Disease. Front. Aging Neurosci. 2022, 14, 837649. [Google Scholar] [CrossRef] [PubMed]
- Zhang, J.F.; Zhang, Y.L.; Wang, J.X.; Xia, Y.L.; Zhang, J.X.; Chen, L. Recent advances in Alzheimer’s disease: Mechanisms, clinical trials and new drug development strategies. Signal Transduct. Target. Ther. 2024, 9, 211. [Google Scholar] [CrossRef] [PubMed]
- Olufunmilayo, E.O.; Gerke-Duncan, M.B.; Holsinger, R.M.D. Oxidative Stress and Antioxidants in Neurodegenerative Disorders. Antioxidants 2023, 12, 517. [Google Scholar] [CrossRef]
- Rosini, M.; Simoni, E.; Milelli, A.; Minarini, A.; Melchiorre, C. Oxidative Stress in Alzheimer’s Disease: Are We Connecting the Dots? J. Med. Chem. 2014, 57, 2821–2831. [Google Scholar] [CrossRef]
- Cardinali, D.P. Melatonin: Clinical Perspectives in Neurodegeneration. Front. Endocrinol. 2019, 10, 480. [Google Scholar] [CrossRef] [PubMed]
- Roy, J.; Wong, K.Y.; Aquili, L.; Uddin, M.S.; Heng, B.C.; Tipoe, G.L.; Wong, K.H.; Fung, M.L.; Lim, L.W. Role of melatonin in Alzheimer’s disease: From preclinical studies to novel melatonin-based therapies. Front. Neuroendocrinol. 2022, 65, 100986. [Google Scholar] [CrossRef] [PubMed]
- Bender, A.T.; Beavo, J.A. Cyclic nucleotide phosphodiesterases: Molecular regulation to clinical use. Pharmacol. Rev. 2006, 58, 488–520. [Google Scholar] [CrossRef] [PubMed]
- Beavo, J.A.; Brunton, L.L. Cyclic nucleotide research—Still expanding after half a century. Nat. Rev. Mol. Cell Biol. 2002, 3, 710–718. [Google Scholar] [CrossRef] [PubMed]
- Lakics, V.; Karran, E.H.; Boess, F.G. Quantitative comparison of phosphodiesterase mRNA distribution in human brain and peripheral tissues. Neuropharmacology 2010, 59, 367–374. [Google Scholar] [CrossRef] [PubMed]
- Guipponi, M.; Scott, H.S.; Kudoh, J.; Kawasaki, K.; Shibuya, K.; Shintani, A.; Asakawa, S.; Chen, H.M.; Lalioti, M.D.; Rossier, C.; et al. Identification and characterization of a novel cyclic nucleotide phosphodiesterase gene that maps to 21q22.3: Alternative splicing of mRNA transcripts, genomic structure and sequence. Hum. Genet. 1998, 103, 386–392. [Google Scholar] [CrossRef]
- Patel, N.S.; Klett, J.; Pilarzyk, K.; Lee, D.I.; Kass, D.; Menniti, F.S.; Kelly, M.P. Identification of new PDE9A isoforms and how their expression and subcellular compartmentalization in the brain change across the life span. Neurobiol. Aging 2018, 65, 217–234. [Google Scholar] [CrossRef]
- Wang, P.; Wu, P.; Egan, R.W.; Billah, M.M. Identification and characterization of a new human type 9 eGMP-specific phosphodiesterase splice variant (PDE9A5)—Differential tissue distribution and subcellular localization of PDE9A variants. Gene 2003, 314, 15–27. [Google Scholar] [CrossRef]
- Schmidt, C.J.; Harms, J.F.; Tingley, F.D.; Schmidt, K.; Adamowicz, W.O.; Romegialli, A.; Kleiman, R.J.; Barry, C.J.; Coskran, T.M.; O’Neill, S.M.; et al. PDE9A-mediated regulation of cGMP: Developing a biomarker for a novel therapy for Alzheimer’s disease. Alzheimers Dement. 2009, 5, 331. [Google Scholar] [CrossRef]
- Harms, J.F.; Menniti, F.S.; Schmidt, C.J. Phosphodiesterase 9A in Brain Regulates cGMP Signaling Independent of Nitric-Oxide. Front. Neurosci. 2019, 13, 837. [Google Scholar] [CrossRef] [PubMed]
- García-Osta, A.; Cuadrado-Tejedor, M.; García-Barroso, C.; Oyarzábal, J.; Franco, R. Phosphodiesterases as Therapeutic Targets for Alzheimer’s Disease. ACS Chem. Neurosci. 2012, 3, 832–844. [Google Scholar] [CrossRef]
- Hutson, P.H.; Finger, E.N.; Magliaro, B.C.; Smith, S.M.; Converso, A.; Sanderson, P.E.; Mullins, D.; Hyde, L.A.; Eschle, B.K.; Turnbull, Z.; et al. The selective phosphodiesterase 9 (PDE9) inhibitor PF-04447943 (6-[(3,4)-4-methyl-1-(pyrimidin-2-ylmethyl)pyrrolidin-3-yl]-1-(tetrahydro-2-pyran-4-yl)-1,5-dihydro-4-pyrazolo[3,4-]pyrimidin-4-one) enhances synaptic plasticity and cognitive function in rodents. Neuropharmacology 2011, 61, 665–676. [Google Scholar] [PubMed]
- Rosenbrock, H.; Giovannini, R.; Schänzle, G.; Koros, E.; Runge, F.; Fuchs, H.; Marti, A.; Reymann, K.G.; Schröder, U.H.; Fedele, E.; et al. The Novel Phosphodiesterase 9A Inhibitor BI 409306 Increases Cyclic Guanosine Monophosphate Levels in the Brain, Promotes Synaptic Plasticity, and Enhances Memory Function in Rodents. J. Pharmacol. Exp. Ther. 2019, 371, 633–641. [Google Scholar] [CrossRef] [PubMed]
- Kroker, K.S.; Rast, G.; Giovannini, R.; Marti, A.; Dorner-Ciossek, C.; Rosenbrock, H. Inhibition of acetylcholinesterase and phosphodiesterase-9A has differential effects on hippocampal early and late LTP. Neuropharmacology 2012, 62, 1964–1974. [Google Scholar] [CrossRef]
- Jankowska, A.; Wesolowska, A.; Pawlowski, M.; Chlon-Rzepa, G. Multifunctional Ligands Targeting Phosphodiesterase as the Future Strategy for the Symptomatic and Disease-Modifying Treatment of Alzheimer’s Disease. Curr. Med. Chem. 2020, 27, 5351–5373. [Google Scholar] [CrossRef]
- Rabal, O.; Sánchez-Arias, J.A.; Cuadrado-Tejedor, M.; de Miguel, I.; Pérez-González, M.; García-Barroso, C.; Ugarte, A.; de Mendoza, A.E.H.; Sáez, E.; Espelosin, M.; et al. Multitarget Approach for the Treatment of Alzheimer’s Disease: Inhibition of Phosphodiesterase 9 (PDE9) and Histone Deacetylases (HDACs) Covering Diverse Selectivity Profiles. ACS Chem. Neurosci. 2019, 10, 4076–4101. [Google Scholar] [CrossRef] [PubMed]
- Su, T.; Zhang, T.H.; Xie, S.S.; Yan, J.; Wu, Y.N.; Li, X.S.; Huang, L.; Luo, H.B. Discovery of novel PDE9 inhibitors capable of inhibiting Aβ aggregation as potential candidates for the treatment of Alzheimer’s disease. Sci. Rep. 2016, 6, 21826. [Google Scholar] [CrossRef]
- Jiang, M.Y.; Han, C.A.; Zhang, C.; Zhou, Q.; Zhang, B.; Le, M.L.; Huang, M.X.; Wu, Y.N.; Luo, H.B. Discovery of effective phosphodiesterase 2 inhibitors with antioxidant activities for the treatment of Alzheimer’s disease. Bioorg. Med. Chem. Lett. 2021, 41, 128016. [Google Scholar] [CrossRef] [PubMed]
- Huang, M.N.; Shao, Y.X.; Hou, J.Y.; Cui, W.J.; Liang, B.B.; Huang, Y.C.; Li, Z.; Wu, Y.N.; Zhu, X.H.; Liu, P.Q.; et al. Structural Asymmetry of Phosphodiesterase-9A and a Unique Pocket for Selective Binding of a Potent Enantiomeric Inhibitor. Mol. Pharmacol. 2015, 88, 836–845. [Google Scholar] [CrossRef]
- Wu, Y.N.; Zhou, Q.; Zhang, T.H.; Li, Z.; Chen, Y.P.; Zhang, P.; Yu, Y.F.; Geng, H.J.; Tian, Y.J.; Zhang, C.; et al. Discovery of Potent, Selective, and Orally Bioavailable Inhibitors against Phosphodiesterase-9, a Novel Target for the Treatment of Vascular Dementia. J. Med. Chem. 2019, 62, 4218–4224. [Google Scholar] [CrossRef] [PubMed]
- Ou, B.; Hampsch-Woodill, M.; Prior, R.L. Development and validation of an improved oxygen radical absorbance capacity assay using fluorescein as the fluorescent probe. J. Agric. Food Chem. 2001, 49, 4619–4626. [Google Scholar] [CrossRef] [PubMed]
- Dávalos, A.; Gomez-Cordoves, C.; Bartolome, B. Extending applicability of the oxygen radical absorbance capacity (ORAC-fluorescein) assay. J. Agric. Food Chem. 2004, 52, 48–54. [Google Scholar] [CrossRef]
- Jain, A.N. Surflex: Fully automatic flexible molecular docking using a molecular similarity-based search engine. J. Med. Chem. 2003, 46, 499–511. [Google Scholar] [CrossRef] [PubMed]
- Hou, T.J.; Wang, J.M.; Li, Y.Y.; Wang, W. Assessing the Performance of the MM/PBSA and MM/GBSA Methods. 1. The Accuracy of Binding Free Energy Calculations Based on Molecular Dynamics Simulations. J. Chem. Inf. Model. 2011, 51, 69–82. [Google Scholar] [CrossRef] [PubMed]
- Case, D.A.; Cerutti, D.S.; Cheatham, T.E., III; Darden, T.A.; Duke, R.E.; Giese, T.J.; Gohlke, H.; Goetz, A.W.; Greene, D.; Homeyer, N.; et al. Amber16; University of California: San Francisco, CA, USA, 2016. [Google Scholar]
- Frisch, M.J.; Trucks, G.W.; Schlegel, H.B.; Scuseria, G.E.; Robb, M.A.; Cheeseman, J.R.; Montgomery, J.A.; Vreven, T.; Kudin, K.N.; Burant, J.C.; et al. Gaussian 03, Revision E.01; Gaussian, Inc.: Pittsburgh, PA, USA, 2004. [Google Scholar]
- Stote, R.H.; Karplus, M. Zinc binding in proteins and solution: A simple but accurate nonbonded representation. Proteins 1995, 23, 12–31. [Google Scholar] [CrossRef]
- Essmann, U.P.L.; Berkowitz, M.L.; Darden, T.; Lee, H.; Pedersen, L.G. A smooth particle mesh Ewald method. J. Chem. Phys. 1995, 103, 8577–8593. [Google Scholar] [CrossRef]
- Forester, T.R.; Smith, W. SHAKE, rattle, and roll: Efficient constraint algorithms for linked rigid bodies. J. Comput. Chem. 2000, 21, 157. [Google Scholar] [CrossRef]
Disclaimer/Publisher’s Note: The statements, opinions and data contained in all publications are solely those of the individual author(s) and contributor(s) and not of MDPI and/or the editor(s). MDPI and/or the editor(s) disclaim responsibility for any injury to people or property resulting from any ideas, methods, instructions or products referred to in the content. |
© 2025 by the authors. Licensee MDPI, Basel, Switzerland. This article is an open access article distributed under the terms and conditions of the Creative Commons Attribution (CC BY) license (https://creativecommons.org/licenses/by/4.0/).
















