Addition of Vitamin C Mitigates the Loss of Antioxidant Capacity, Vitality and DNA Integrity in Cryopreserved Human Semen Samples
Abstract
1. Introduction
2. Materials and Methods
2.1. Materials
2.2. Semen Collection and Analysis
2.3. Evaluation of Sperm Motility
2.4. Cryopreservation and Thawing of Samples
2.5. Sample Preparation
2.5.1. Overall Impact of CPA
2.5.2. Analysis of the Protective Impact of Resveratrol
2.5.3. Impact of the Addition of Three Water-Soluble Antioxidants
2.5.4. Dose-Dependent Study of Vitamin C Addition Pre- and Post-Cryopreservation
2.6. Analytic Procedures
2.6.1. Flow Cytometric Analysis
2.6.2. Flow Cytometric Measurement of Cellular 4-Hydroxynonenal Adduction
2.6.3. Flow Cytometric Measurement of Malondialdehyde
2.6.4. Flow Cytometric Measurement of Mitochondrial ROS
2.6.5. Flow Cytometric Measurement of Cellular ROS
2.6.6. DNA Integrity: Sperm Chromatin Dispersion (HALO)
2.6.7. Antioxidant Capacity
2.7. Statistical Analysis
3. Results
3.1. Changes in Antioxidant Protection following Addition of CPA
3.2. Analysis of the Protective Impact of Resveratrol
3.3. Impact of the Addition of Three Water-Soluble Antioxidants
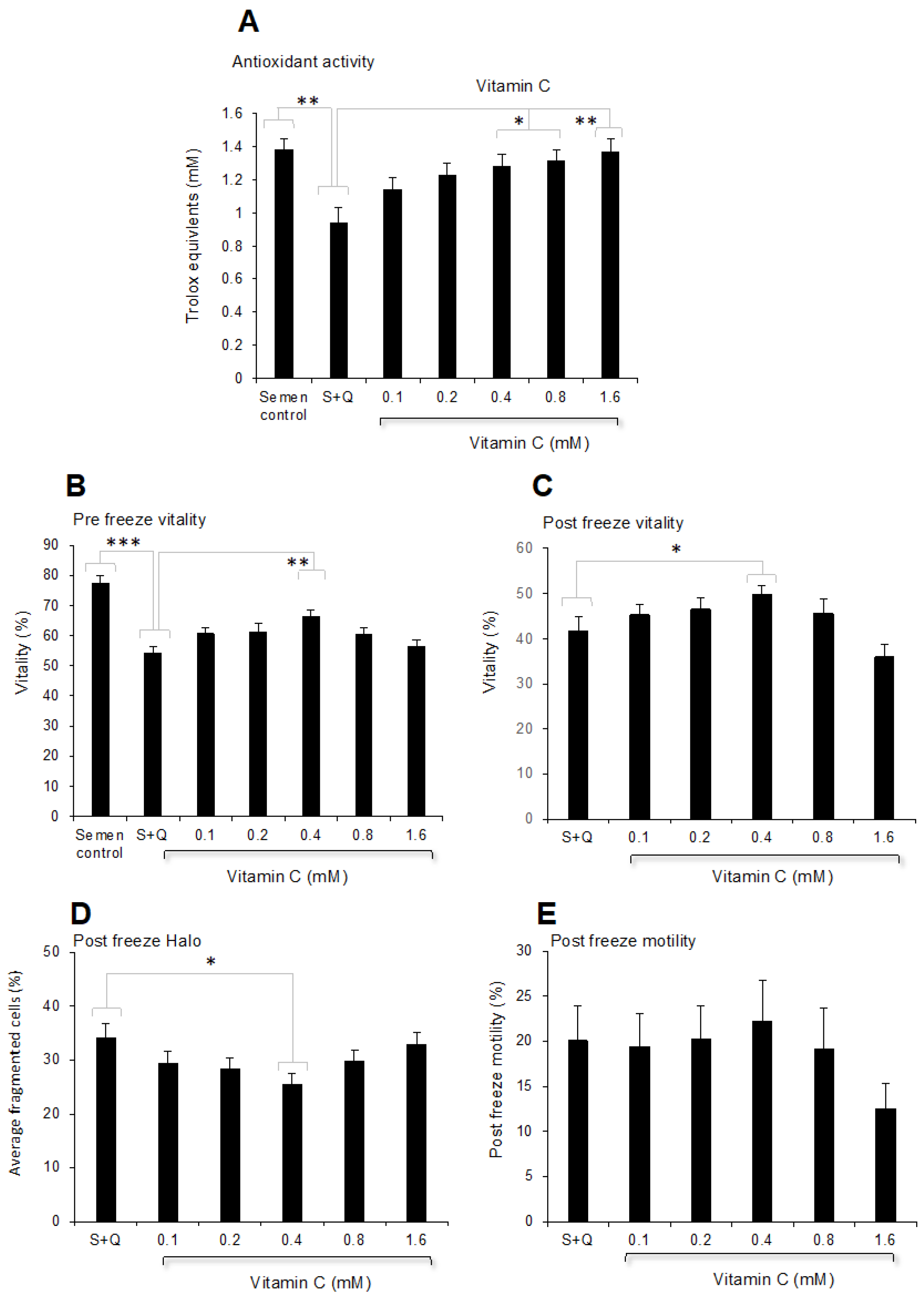
3.4. Dose-Dependent Study of the Addition of Water-Soluble Vitamin C Pre- and Post-Cryopreservation
4. Discussion
Limitations
5. Conclusions
Author Contributions
Funding
Institutional Review Board Statement
Informed Consent Statement
Data Availability Statement
Acknowledgments
Conflicts of Interest
Correction Statement
References
- Bártolo, A.; Reis, S.; Monteiro, S.; Leite, R.; Montenegro, N. Psychological adjustment of infertile men undergoing fertility treatments: An association with sperm parameters. Arch. Psychiatr. Nurs. 2016, 30, 521–526. [Google Scholar] [CrossRef] [PubMed]
- Checa Vizcaíno, M.A.; González-Comadran, M.; Jacquemin, B. Outdoor air pollution and human infertility: A systematic review. Fertil. Steril. 2016, 106, 897–904.e1. [Google Scholar] [CrossRef] [PubMed]
- Boivin, J.; Bunting, L.; Collins, J.A.; Nygren, K.G. International estimates of infertility prevalence and treatment-seeking: Potential need and demand for infertility medical care. Hum. Reprod. 2007, 22, 1506–1512. [Google Scholar] [CrossRef] [PubMed]
- Schmidt, L.; Münster, K.; Helm, P. Infertility and the seeking of infertility treatment in a representative population. Br. J. Obstet. Gynaecol. 1995, 102, 978–998. [Google Scholar] [CrossRef] [PubMed]
- Aitken, R.J. The male is significantly implicated as the cause of unexplained infertility. Semin. Reprod. Med. 2020, 38, 3–20. [Google Scholar] [CrossRef]
- Di Santo, M.; Tarozzi, N.; Nadalini, M.; Borini, A. Human sperm cryopreservation: Update on techniques, effect on DNA integrity, and implications for ART. Adv. Urol. 2012, 2012, 854837. [Google Scholar] [CrossRef]
- Mazur, P. Cryobiology: The freezing of biological systems. Science 1970, 168, 939–949. [Google Scholar] [CrossRef]
- Royere, D.; Barthelemy, C.; Hamamah, S.; Lansac, J. Cryopreservation of spermatozoa: A 1996 review. Hum. Reprod. Update 1996, 2, 553–559. [Google Scholar] [CrossRef]
- Daudin, M.; Rives, N.; Walschaerts, M.; Drouineaud, V.; Szerman, E.; Koscinski, I.; Eustache, F.; Saïas-Magnan, J.; Papaxanthos-Roche, A.; Cabry-Goubet, R.; et al. Sperm cryopreservation in adolescents and young adults with cancer: Results of the French national sperm banking network (CECOS). Fertil. Steril. 2015, 103, 478–486.e1. [Google Scholar] [CrossRef]
- Donnelly, E.T.; McClure, N.; Lewis, S.E. Cryopreservation of human semen and prepared sperm: Effects on motility parameters and DNA integrity. Fertil. Steril. 2001, 76, 892–900. [Google Scholar] [CrossRef]
- Mandal, R.; Badyakar, D.; Jitamanyu, C. Role of membrane lipid fatty acids in sperm cryopreservation. Adv. Androl. 2014, 190524, 1–9. [Google Scholar] [CrossRef]
- Gholami, D.; Sharafi, M.; Esmaeili, V.; Nadri, T.; Alaei, L.; Riazi, G.; Shahverdi, A. Beneficial effects of trehalose and gentiobiose on human sperm cryopreservation. PLoS ONE 2023, 18, e0271210. [Google Scholar] [CrossRef]
- Liu, T.; Gao, J.; Zhou, N.; Mo, M.; Wang, X.; Zhang, X.; Yang, H.; Chen, Q.; Ao, L.; Liu, J.; et al. The effect of two cryopreservation methods on human sperm DNA damage. Cryobiology 2016, 72, 210–215. [Google Scholar] [CrossRef]
- Tamburrino, L.; Traini, G.; Marcellini, A.; Vignozzi, L.; Baldi, E.; Marchiani, S. Cryopreservation of human spermatozoa: Functional, molecular and clinical aspects. Int. J. Mol. Sci. 2023, 24, 4656. [Google Scholar] [CrossRef]
- Hungerford, A.; Bakos, H.W.; Aitken, R.J. Analysis of sperm separation protocols for isolating cryopreserved human spermatozoa. Reprod. Fertil. 2023, 4, e220133. [Google Scholar] [CrossRef]
- Hungerford, A.; Bakos, H.W.; Aitken, R.J. Sperm cryopreservation: Current status and future developments. Reprod. Fertil. Dev. 2023, 35, 265–281. [Google Scholar] [CrossRef]
- Zhu, Z.; Fan, X.; Pan, Y.; Lu, Y.; Zeng, W. Trehalose improves rabbit sperm quality during cryopreservation. Cryobiology 2017, 75, 45–51. [Google Scholar] [CrossRef]
- Iqbal, S.; Andrabi, S.M.H.; Riaz, A.; Durrani, A.Z.; Ahmad, N. Trehalose improves semen antioxidant enzymes activity, post-thaw quality, and fertility in Nili Ravi buffaloes (Bubalus bubalis). Theriogenology 2016, 85, 954–959. [Google Scholar] [CrossRef]
- Sapanidou, V.; Taitzoglou, I.; Tsakmakidis, Ι.; Kourtzelis, I.; Fletouris, D.; Theodoridis, A.; Zervos, I.; Tsantarliotou, M. Antioxidant effect of crocin on bovine sperm quality and in vitro fertilization. Theriogenology 2015, 84, 1273–1282. [Google Scholar] [CrossRef] [PubMed]
- Lee, S.H.; Lee, S. Effects of melatonin and silymarin on reactive oxygen species, nitric oxide production, and sperm viability and motility during sperm freezing in pigs. Animals 2023, 13, 1705. [Google Scholar] [CrossRef] [PubMed]
- Ofosu, J.; Qazi, I.H.; Fang, Y.; Zhou, G. Use of melatonin in sperm cryopreservation of farm animals: A brief review. Anim. Reprod. Sci. 2021, 233, 106850. [Google Scholar] [CrossRef]
- Whaley, D.; Damyar, K.; Witek, R.P.; Mendoza, A.; Alexander, M.; Lakey, J.R. Cryopreservation: An overview of principles and cell-specific considerations. Cell Transplant. 2021, 30, 963689721999617. [Google Scholar] [CrossRef]
- Morrell, J.M.; Johannisson, A.; Dalin, A.M.; Hammar, L.; Sandebert, T.; Rodriguez-Martinez, H. Sperm morphology and chromatin integrity in Swedish warmblood stallions and their relationship to pregnancy rates. Acta Vet. Scand. 2008, 50, 2. [Google Scholar] [CrossRef]
- Oseguera-López, I.; Ruiz-Díaz, S.; Ramos-Ibeas, P.; Pérez-Cerezales, S. Novel Techniques of Sperm Selection for Improving IVF and ICSI Outcomes. Front. Cell Dev. Biol. 2019, 7, 298. [Google Scholar] [CrossRef] [PubMed]
- Yildiz, C.; Fleming, C.; Ottaviani, P.; McKerlie, C. Fresh and frozen-thawed sperm quality, nuclear DNA integrity, invitro fertility, embryo development, and live-born offspring of N-ethyl-N-nitrosourea (ENU) mice. Cryobiology 2008, 57, 156–162. [Google Scholar] [CrossRef]
- World Health Organization. WHO Laboratory Manual for the Examination and Processing of Human Semen, 5th ed.; World Health Organization: Geneva, Switzerland, 2010.
- Biggers, J.D.; Whitten, W.K.; Whittingham, D.G. The culture of mouse embryos in vitro. In Methods in Mammalian Embryology; Daniel, J.C., Ed.; W.H. Freeman: San Francisco, CA, USA, 1971; pp. 86–116. [Google Scholar]
- Aitken, R.J.; Smith, T.B.; Lord, T.; Kuczera, L.; Koppers, A.J.; Naumovski, N.; Connaughton, H.; Baker, M.A.; De Iuliis, G.N. On methods for the detection of reactive oxygen species generation by human spermatozoa: Analysis of the cellular responses to catechol oestrogen, lipid aldehyde, menadione and arachidonic acid. Andrology 2013, 1, 192–205. [Google Scholar] [CrossRef]
- Arnao, M.B.; Cano, A.; Hernández-Ruiz, J.; García-Cánovas, F.; Acosta, M. Inhibition by L-ascorbic acid and other antioxidants of the 2.2’-azino-bis(3-ethylbenzthiazoline-6-sulfonic acid) oxidation catalyzed by peroxidase: A new approach for determining total antioxidant status of foods. Anal. Biochem. 1996, 236, 255–261. [Google Scholar] [CrossRef] [PubMed]
- Miller, N.J.; Sampson, J.; Candeias, L.P.; Bramley, P.M.; Rice-Evans, C.A. Antioxidant activities of carotenes and xanthophylls. FEBS Lett. 1996, 384, 240–242. [Google Scholar] [CrossRef] [PubMed]
- Aitken, R.J.; Bromfield, E.G.; Gibb, Z. Oxidative stress and reproductive function: The impact of oxidative stress on reproduction: A focus on gametogenesis and fertilization. Reproduction 2022, 164, F79–F94. [Google Scholar] [CrossRef]
- Gadea, J.; Molla, M.; Selles, E.; Marco, M.A.; Garcia-Vazquez, F.A.; Gardon, J.C. Reduced glutathione content in human sperm is decreased after cryopreservation: Effect of the addition of reduced glutathione to the freezing and thawing extenders. Cryobiology 2011, 62, 40–46. [Google Scholar] [CrossRef]
- Alvarez, J.G.; Storey, B.T. Role of glutathione peroxidase in protecting mammalian spermatozoa from loss of motility caused by spontaneous lipid peroxidation. Gamete Res. 1989, 23, 77–90. [Google Scholar] [CrossRef] [PubMed]
- Alvarez, J.G.; Touchstone, J.C.; Blasco, L.; Storey, B.T. Spontaneous lipid peroxidation and production of hydrogen peroxide and superoxide in human spermatozoa. Superoxide dismutase as major enzyme protectant against oxygen toxicity. J. Androl. 1987, 8, 338–348. [Google Scholar] [CrossRef] [PubMed]
- Rhemrev, J.P.; van Overveld, F.W.; Haenen, G.R.; Teerlink, T.; Bast, A.; Vermeiden, J.P. Quantification of the nonenzymatic fast and slow TRAP in a postaddition assay in human seminal plasma and the antioxidant contributions of various seminal compounds. J. Androl. 2000, 21, 913–920. [Google Scholar] [CrossRef] [PubMed]
- Aitken, R.J.; Gibb, Z.; Baker, M.A.; Drevet, J.; Gharagozloo, P. Causes and consequences of oxidative stress in spermatozoa. Reprod. Fertil. Dev. 2016, 28, 1–10. [Google Scholar] [CrossRef] [PubMed]
- Thomson, L.K.; Fleming, S.D.; Aitken, R.J.; De Iuliis, G.N.; Zieschang, J.A.; Clark, A.M. Cryopreservation-induced human sperm DNA damage is predominantly mediated by oxidative stress rather than apoptosis. Hum. Reprod. 2009, 24, 2061–2070. [Google Scholar] [CrossRef]
- Amidi, F.; Pazhohan, A.; Shabani Nashtaei, M.; Khodarahmian, M.; Nekoonam, S. The role of antioxidants in sperm freezing: A review. Cell Tissue Bank. 2016, 17, 745–756. [Google Scholar] [CrossRef]
- Polge, C.; Smith, A.U.; Parkes, A.S. Revival of spermatozoa after vitrification and dehydration at low temperatures. Nature 1949, 164, 666. [Google Scholar] [CrossRef]
- McLaughlin, E.A.; Ford, W.C.; Hull, M.G. The contribution of the toxicity of a glycerol-egg yolk-citrate cryopreservative to the decline in human sperm motility during cryopreservation. J. Reprod. Fertil. 1992, 95, 749–754. [Google Scholar] [CrossRef][Green Version]
- Lin, H.H.; Mermillod, P.; Grasseau, I.; Brillard, J.P.; Gérard, N.; Reynaud, K.; Chen, L.R.; Blesbois, E.; Carvalho, A.V. Is glycerol a good cryoprotectant for sperm cells? New exploration of its toxicity using avian model. Anim. Reprod. Sci. 2023, 258, 107330. [Google Scholar] [CrossRef]
- Crisóstomo, L.; Alves, M.G.; Calamita, G.; Sousa, M.; Oliveira, P.F. Glycerol and testicular activity: The good, the bad and the ugly. Mol. Hum. Reprod. 2017, 23, 725–737. [Google Scholar] [CrossRef]
- Belenky, M.; Itzhakov, D.; Freger, V.; Roseman, O.; Abehsera, S.; Miller, N.; Berkovitz, A. Optimizing the protocol for vitrification of individual spermatozoa by adjusting equilibration time. Syst. Biol. Reprod. Med. 2020, 66, 223–228. [Google Scholar] [CrossRef]
- Li, S.J.; Su, W.D.; Qiu, L.J.; Wang, X.; Liu, J. Resveratrol protects human sperm against cryopreservation-induced injury. Zhonghua Nan Ke Xue 2018, 24, 499–503. [Google Scholar]
- Garcez, M.E.; dos Santos Branco, C.; Lara, L.V.; Pasqualotto, F.F.; Salvador, M. Effects of resveratrol supplementation on cryopreservation medium of human semen. Fertil. Steril. 2010, 94, 2118–2121. [Google Scholar] [CrossRef]
- Angulo, C.; Maldonado, R.; Pulgar, E.; Mancilla, H.; Córdova, A.; Villarroel, F.; Castro, M.A.; Concha, I.I. Vitamin C and oxidative stress in the seminiferous epithelium. Biol. Res. 2011, 44, 169–180. [Google Scholar] [CrossRef]
- Mangoli, E.; Talebi, A.R.; Anvari, M.; Taheri, F.; Vatanparast, M.; Rahiminia, T.; Hosseini, A. Vitamin C attenuates negative effects of vitrification on sperm parameters, chromatin quality, apoptosis and acrosome reaction in neat and prepared normozoospermic samples. Taiwan J. Obstet. Gynecol. 2018, 57, 200–204. [Google Scholar] [CrossRef]
- Ramesh, P.M.; Vickram, A.S.; Sridharan, T.B.; Parameswari, R.; Archana, K.; Nithya, S.; Mishika, A. Optimization of human semen extender components for cryopreservation using statistical tools. Cryo. Lett. 2017, 38, 434–444. [Google Scholar]
- Li, Z.; Lin, Q.; Liu, R.; Xiao, W.; Liu, W. Protective effects of ascorbate and catalase on human spermatozoa during cryopreservation. J. Androl. 2010, 31, 437–444. [Google Scholar] [CrossRef] [PubMed]
- Samuni, A.; Aronovitch, J.; Godinger, D.; Chevion, M.; Czapski, G. On the cytotoxicity of vitamin C and metal ions. A site-specific Fenton mechanism. Eur. J. Biochem. 1983, 137, 119–124. [Google Scholar] [CrossRef] [PubMed]
- Aitken, R.J.; Finnie, J.M.; Muscio, L.; Whiting, S.; Connaughton, H.S.; Kuczera, L.; Rothkirch, T.B.; De Iuliis, G.N. Potential importance of transition metals in the induction of DNA damage by sperm preparation media. Hum. Reprod. 2014, 29, 2136–2147. [Google Scholar] [CrossRef] [PubMed]
- Kwenang, A.; Kroos, M.J.; Koster, J.F.; van Eijk, H.G. Iron, ferritin and copper in seminal plasma. Hum. Reprod. 1987, 2, 387–388. [Google Scholar] [CrossRef] [PubMed]
- Schmid, T.E.; Grant, P.G.; Marchetti, F.; Weldon, R.H.; Eskenazi, B.; Wyrobek, A.J. Elemental composition of human semen is associated with motility and genomic sperm defects among older men. Hum. Reprod. 2013, 28, 274–282. [Google Scholar] [CrossRef]
- Khodayari Naeini, Z.; Hassani Bafrani, H.; Nikzad, H. Evaluation of ebselen supplementation on cryopreservation medium in human semen. Iran. J. Reprod. Med. 2014, 12, 249–256. [Google Scholar] [PubMed]
- Branco, C.S.; Garcez, M.E.; Pasqualotto, F.F.; Erdtman, B.; Salvador, M. Resveratrol and ascorbic acid prevent DNA damage induced by cryopreservation in human semen. Cryobiology 2010, 60, 235–237. [Google Scholar] [CrossRef] [PubMed]
- Najafi, L.; Halvaei, I.; Movahedin, M. Canthaxanthin protects human sperm parameters during cryopreservation. Andrologia 2019, 51, e13389. [Google Scholar] [CrossRef] [PubMed]
- Santonastaso, M.; Mottola, F.; Iovine, C.; Colacurci, N.; Rocco, L. Protective effects of curcumin on the outcome of cryopreservation in human sperm. Reprod. Sci. 2021, 28, 2895–2905. [Google Scholar] [CrossRef]
- Zhang, W.; Li, F.; Cao, H.; Li, C.; Du, C.; Yao, L.; Mao, H.; Lin, W. Protective effects of l-carnitine on astheno- and normozoospermic human semen samples during cryopreservation. Zygote 2016, 24, 293–300. [Google Scholar] [CrossRef] [PubMed]
- Alqawasmeh, O.A.; Zhao, M.; Chan, C.P.; Leung, M.B.; Chow, K.C.; Agarwal, N.; Mak, J.S.; Wang, C.C.; Pang, C.P.; Li, T.C.; et al. Green tea extract as a cryoprotectant additive to preserve the motility and DNA integrity of human spermatozoa. Asian J. Androl. 2021, 23, 150–156. [Google Scholar] [CrossRef]
- Moubasher, A.E.; El Din, A.M.; Ali, M.E.; El-sherif, W.T.; Gaber, H.D. Catalase improves motility, vitality and DNA integrity of cryopreserved human spermatozoa. Andrologia 2013, 45, 135–139. [Google Scholar] [CrossRef] [PubMed]
- Bateni, Z.; Azadi, L.; Tavalaee, M.; Kiani-Esfahani, A.; Fazilati, M.; Nasr-Esfahani, M.H. Addition of Tempol in semen cryopreservation medium improves the post-thaw sperm function. Syst. Biol Reprod. Med. 2014, 60, 245–250. [Google Scholar] [CrossRef]
- Shaygannia, E.; Ghandehari-Alavijeh, R.; Tavalaee, M.; Nasr-Esfahani, M.H. The protective effects of alpha lipoic acid on human sperm function during freezing-thawing. Cryo. Lett. 2020, 41, 344–350. [Google Scholar]
- Kalthur, G.; Raj, S.; Thiyagarajan, A.; Kumar, S.; Kumar, P.; Adiga, S.K. Vitamin E supplementation in semen-freezing medium improves the motility and protects sperm from freeze-thaw-induced DNA damage. Fertil. Steril. 2011, 95, 1149–1151. [Google Scholar] [CrossRef]
- Banihani, S.A.; Alawneh, R.F. Human semen samples with high antioxidant reservoir may exhibit lower post-cryopreservation recovery of sperm motility. Biomolecules 2019, 9, 111. [Google Scholar] [CrossRef]
- Corkidi, G.; Montoya, F.; Hernández-Herrera, P.; Ríos-Herrera, W.A.; Müller, M.F.; Treviño, C.L.; Darszon, A. Are there intracellular Ca2+ oscillations correlated with flagellar beating in human sperm? A three vs. two-dimensional analysis. Mol. Hum. Reprod. 2017, 23, 583–593. [Google Scholar] [CrossRef]
- McLaughlin, E.A.; Ford, W.C. Effects of cryopreservation on the intracellular calcium concentration of human spermatozoa and its response to progesterone. Mol. Reprod. Dev. 1994, 37, 241–246. [Google Scholar] [CrossRef] [PubMed]
- Pons-Rejraji, H.; Bailey, J.L.; Leclerc, P. Cryopreservation affects bovine sperm intracellular parameters associated with capacitation and acrosome exocytosis. Reprod. Fertil. Dev. 2009, 21, 525–537. [Google Scholar] [CrossRef] [PubMed]
- Naresh, S.; Atreja, S.K. The protein tyrosine phosphorylation during in vitro capacitation and cryopreservation of mammalian spermatozoa. Cryobiology 2015, 70, 211–216. [Google Scholar] [CrossRef] [PubMed]
- Williams, K.M.; Ford, W.C. The motility of demembranated human spermatozoa is inhibited by free calcium ion activities of 500 nmol/L or more. Int. J. Androl. 2001, 24, 216–224. [Google Scholar] [CrossRef] [PubMed]
- Sadeghi, N.; Boissonneault, G.; Tavalaee, M.; Nasr-Esfahani, M.H. Oxidative versus reductive stress: A delicate balance for sperm integrity. Syst. Biol. Reprod. Med. 2023, 69, 20–31. [Google Scholar] [CrossRef] [PubMed]









Disclaimer/Publisher’s Note: The statements, opinions and data contained in all publications are solely those of the individual author(s) and contributor(s) and not of MDPI and/or the editor(s). MDPI and/or the editor(s) disclaim responsibility for any injury to people or property resulting from any ideas, methods, instructions or products referred to in the content. |
© 2024 by the authors. Licensee MDPI, Basel, Switzerland. This article is an open access article distributed under the terms and conditions of the Creative Commons Attribution (CC BY) license (https://creativecommons.org/licenses/by/4.0/).
Share and Cite
Hungerford, A.J.; Bakos, H.W.; Aitken, R.J. Addition of Vitamin C Mitigates the Loss of Antioxidant Capacity, Vitality and DNA Integrity in Cryopreserved Human Semen Samples. Antioxidants 2024, 13, 247. https://doi.org/10.3390/antiox13020247
Hungerford AJ, Bakos HW, Aitken RJ. Addition of Vitamin C Mitigates the Loss of Antioxidant Capacity, Vitality and DNA Integrity in Cryopreserved Human Semen Samples. Antioxidants. 2024; 13(2):247. https://doi.org/10.3390/antiox13020247
Chicago/Turabian StyleHungerford, Alena J., Hassan W. Bakos, and Robert J. Aitken. 2024. "Addition of Vitamin C Mitigates the Loss of Antioxidant Capacity, Vitality and DNA Integrity in Cryopreserved Human Semen Samples" Antioxidants 13, no. 2: 247. https://doi.org/10.3390/antiox13020247
APA StyleHungerford, A. J., Bakos, H. W., & Aitken, R. J. (2024). Addition of Vitamin C Mitigates the Loss of Antioxidant Capacity, Vitality and DNA Integrity in Cryopreserved Human Semen Samples. Antioxidants, 13(2), 247. https://doi.org/10.3390/antiox13020247

