Lady’s Bedstraw as a Powerful Antioxidant for Attenuation of Doxorubicin-Induced Cardiotoxicity
Abstract
1. Introduction
2. Materials and Methods
2.1. Plant Material and Extract Preparation
2.2. Analysis of Individual Phenolic Compounds (LC-DAD-MS/MS Analysis)
2.3. Determination of the Total Phenolic and Flavonoid Contents and Evaluation of Antioxidant Activity
2.4. Ethics Statement
2.5. Experimental Animals
- CTRL—healthy untreated rats;
- DOX—rats treated with a single DOX injection;
- GVE + DOX—rats treated with G. verum extract dissolved in tap water and single DOX injection.
2.6. Drug Administration
2.7. Assessment of Ex Vivo Cardiac Function
2.8. Heart Tissue Preparation
2.9. Systemic Redox State
2.10. Histological Analysis
2.11. Statistical Analysis
3. Results
3.1. LC-DAD-MS/MS Analysis of GV Extracts
3.2. Total Phenolic and Total Flavonoid Content
3.3. Antioxidant Activity
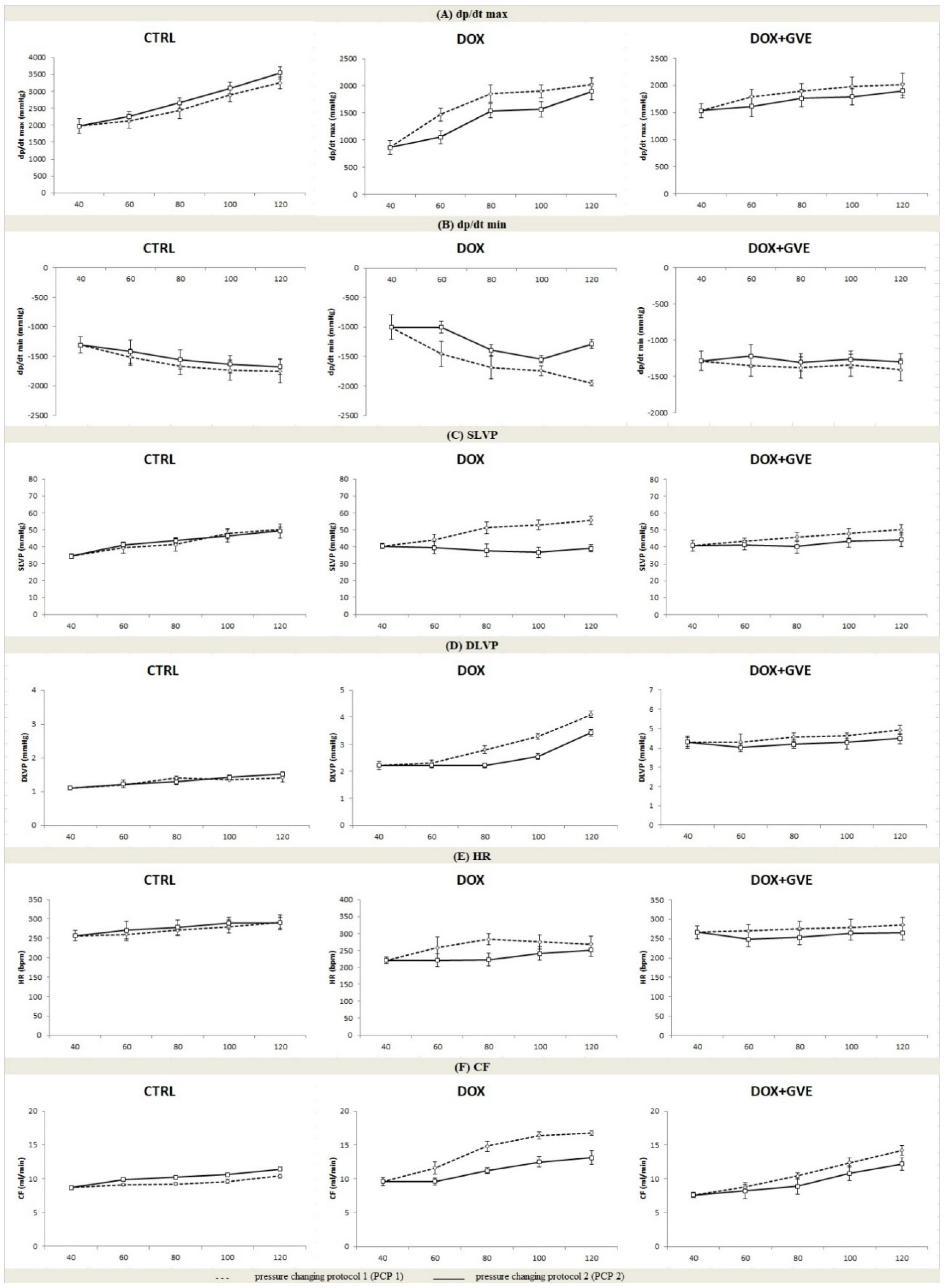
3.4. Ex Vivo Cardiac Function
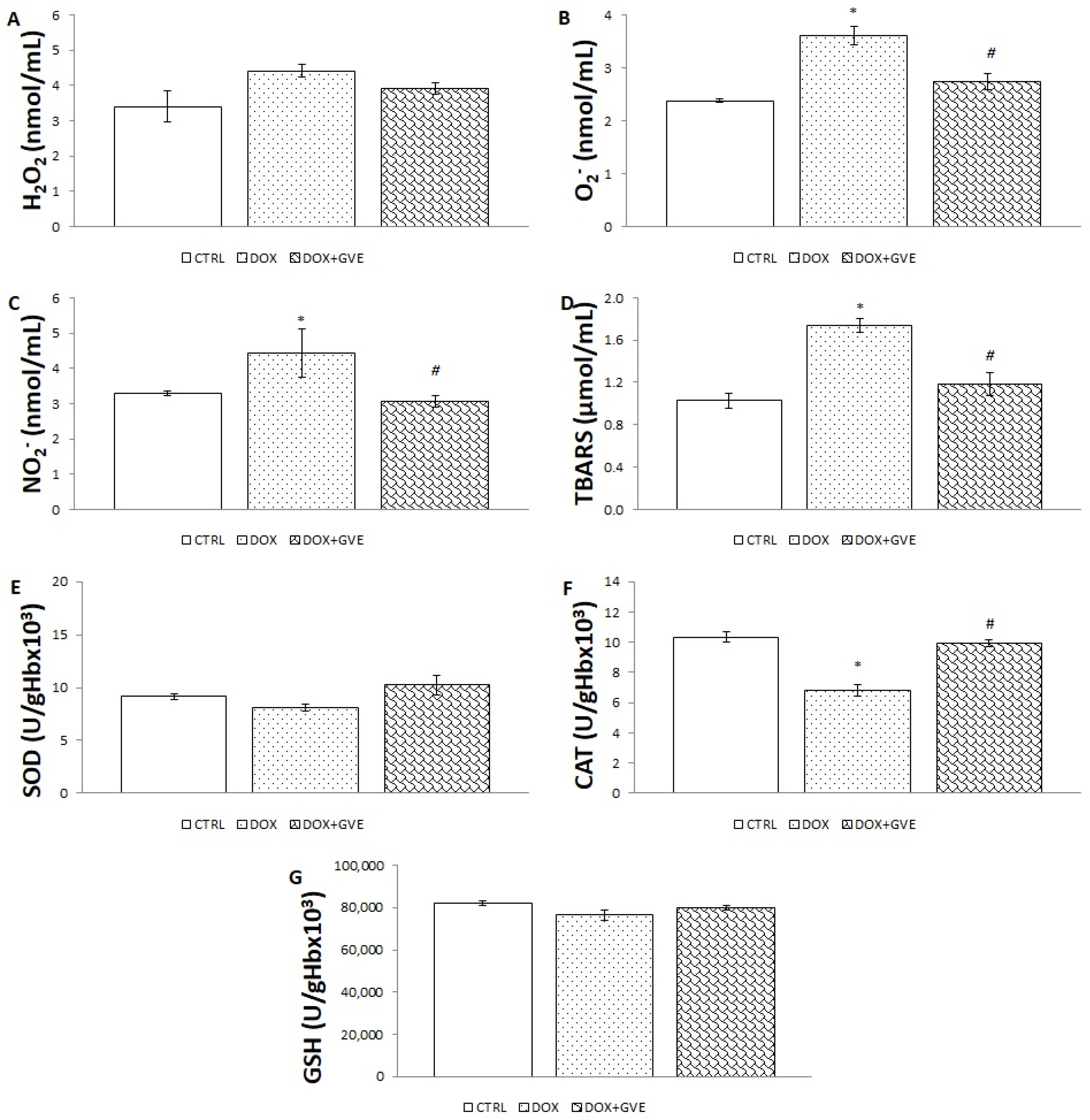
3.5. Systemic Redox State
3.6. Oxidative Stress in Cardiac Tissue
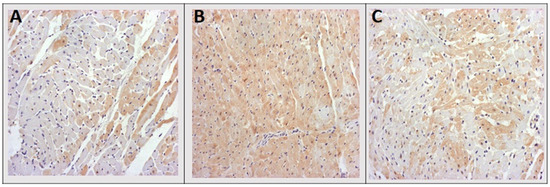
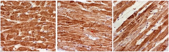
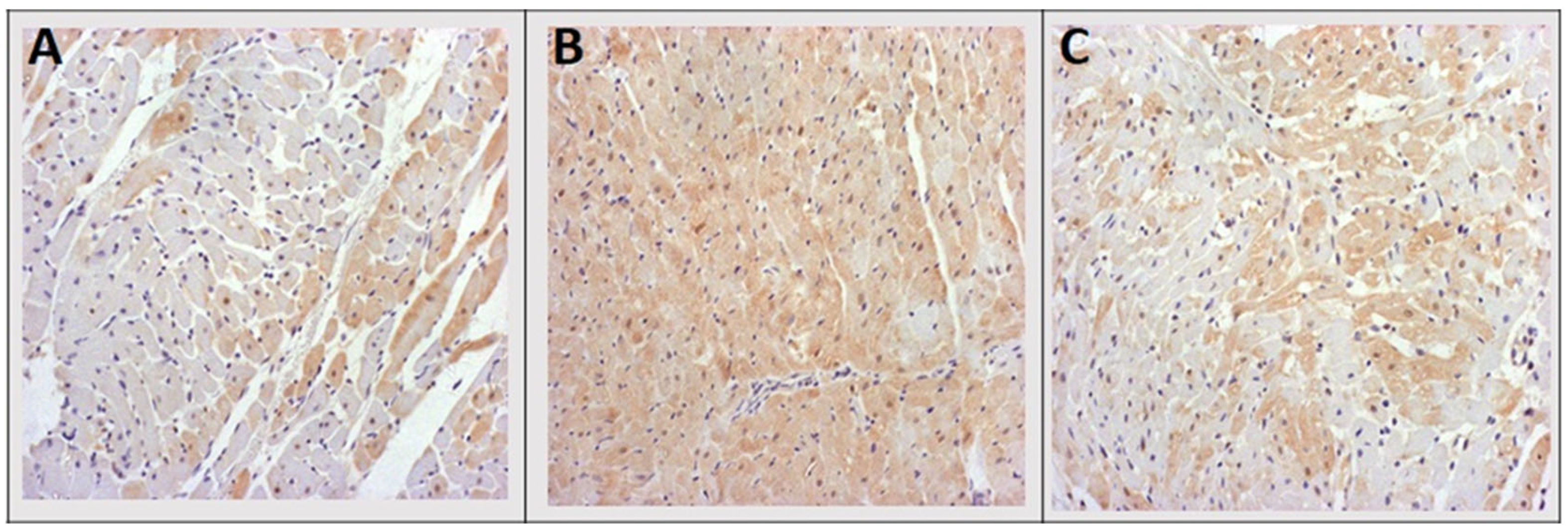
3.7. Histopathological Analysis
4. Discussion
5. Conclusions
Author Contributions
Funding
Institutional Review Board Statement
Informed Consent Statement
Data Availability Statement
Acknowledgments
Conflicts of Interest
References
- Chong, E.G.; Lee, E.H.; Sail, R.; Denham, L.; Nagaraj, G.; Hsueh, C.T. Anthracycline-induced cardiotoxicity: A case report and review of literature. World J. Cardiol. 2021, 13, 28–37. [Google Scholar] [CrossRef]
- Sergazy, S.; Shulgau, Z.; Fedotovskikh, G.; Chulenbayeva, L.; Nurgozhina, A.; Nurgaziyev, M.; Krivyh, E.; Kamyshanskiy, Y.; Kushugulova, A.; Gulyayev, A.; et al. Cardioprotective effect of grape polyphenol extract against doxorubicin induced cardiotoxicity. Sci. Rep. 2020, 10, 14720. [Google Scholar] [CrossRef] [PubMed]
- Schmidt, M.; Polednik, C.; Roller, J.; Hagen, R. Galium verum aqueous extract strongly inhibits the motility of head and neck cancer cell lines and protects mucosal keratinocytes against toxic DNA damage. Oncol. Rep. 2014, 32, 1296–1302. [Google Scholar] [CrossRef]
- Bradic, J.; Zivkovic, V.; Srejovic, I.; Jakovljevic, V.; Petkovic, A.; Turnic, T.N.; Jeremic, J.; Jeremic, N.; Mitrovic, S.; Sobot, T.; et al. Protective Effects of Galium verum L. Extract against Cardiac Ischemia/Reperfusion Injury in Spontaneously Hypertensive Rats. Oxid. Med. Cell. Longev. 2019, 2019, 4235405. [Google Scholar] [CrossRef] [PubMed]
- Zaichikova, S.G.; Bokov, D.O.; Kiselevskii, M.V.; Antsyshkina, A.M.; Bondar, A.A.; Prostodusheva, T.V.; Shchepochkina OYu Gegechkori, V.I. Determination of the Chemical Composition of Lady’s Bedstraw (Galium verum L.) Herb Extract by GC-MS. Pharmacogn. J. 2020, 12, 857–863. [Google Scholar] [CrossRef]
- Hijazi, A.; Al Masri, D.S.; Farhan, H.; Nasser, M.; Rammal, H.; Annan, H. Effect of Different Ethanol Concentrations, Using Different Extraction Techniques, on the Antioxidant Capacity of Lebanese Eryngium creticum. JPCBS 2015, 3, 262–271. [Google Scholar]
- Orčić, D.; Francišković, M.; Bekvalac, K.; Svirčev, E.; Beara, I.; Lesjak, M.; Mimica-Dukić, N. Quantitative determination of plant phenolics in Urtica dioica extracts by high-performance liquid chromatography coupled with tandem mass spectrometric detection. Food Chem. 2014, 143, 48–53. [Google Scholar] [CrossRef]
- Singleton, V.; Orthofer, R.; Lamuela-Raventos, R.M. Analysis of total phenols and other oxidation substrates and antioxidants by means of Folin-Ciocalteu reagent. Methods Enzymol. 1999, 299, 152–178. [Google Scholar] [CrossRef]
- Brighente, I.M.C.; Dias, M.; Verdi, L.G.; Pizzolatti, M.G. Antioxidant activity and total phenolic content of some Brazilian species. Pharm. Biol. 2007, 45, 156–161. [Google Scholar] [CrossRef]
- Beara, I.N.; Lesjak, M.M.; Jovin, E.D.; Balog, K.J.; Anackov, G.T.; Orcić, D.Z.; Mimica-Dukić, N.M. Plantain (Plantago L.) species as novel sources of flavonoid antioxidants. J. Agric. Food Chem. 2009, 57, 9268–9273. [Google Scholar] [CrossRef]
- Orčić, D.Z.; Mimica-Dukić, N.M.; Francišković, M.M.; Petrović, S.S.; Jovin, E.D. Antioxidant activity relationship of phenolic compounds in Hypericum perforatum L. Chem. Cent. J. 2011, 5, 34. [Google Scholar] [CrossRef] [PubMed]
- Tomovic, M.T.; Cupara, S.M.; Popovic-Milenkovic, M.T.; Ljujic, B.T.; Kostic, M.; Jankovic, S.M. Antioxidant and anti-inflammatory activity of Potentilla reptans L. Acta Pol. Pharm. 2015, 72, 137–145. [Google Scholar] [PubMed]
- Rankovic, M.; Draginic, N.; Jeremic, J.; Samanovic, A.M.; Stojkov, S.; Mitrovic, S.; Jeremic, N.; Radonjic, T.; Srejovic, I.; Bolevich, S.; et al. Protective Role of Vitamin B1 in Doxorubicin-Induced Cardiotoxicity in Rats: Focus on Hemodynamic, Redox, and Apoptotic Markers in Heart. Front. Physiol. 2021, 12, 690619. [Google Scholar] [CrossRef] [PubMed]
- Jakovljevic, V.; Milic, P.; Bradic, J.; Jeremic, J.; Zivkovic, V.; Srejovic, I.; Nikolic Turnic, T.; Milosavljevic, I.; Jeremic, N.; Bolevich, S.; et al. Standardized Aronia melanocarpa Extract as Novel Supplement against Metabolic Syndrome: A Rat Model. Int. J. Mol. Sci. 2018, 20, 6. [Google Scholar] [CrossRef] [PubMed]
- Bradic, J.; Jeremic, N.; Petkovic, A.; Jeremic, J.; Zivkovic, V.; Srejovic, I.; Sretenovic, J.; Matic, S.; Jakovljevic, V.; Tomovic, M. Cardioprotective effects of Galium verum L. extract against myocardial ischemia-reperfusion injury. Arch. Physiol. Biochem. 2020, 126, 408–415. [Google Scholar] [CrossRef]
- Andjić, M.; Draginić, N.; Kočović, A.; Jeremić, J.; Vučićević, K.; Jeremić, N.; Krstonošić, V.; Božin, B.; Kladar, N.; Čapo, I.; et al. Immortelle essential oil-based ointment improves wound healing in a diabetic rat model. Biomed. Pharm. 2022, 150, 112941. [Google Scholar] [CrossRef] [PubMed]
- Malik, S.; Sharma, A.K.; Bharti, S.; Nepal, S.; Bhatia, J.; Nag, T.C.; Narang, R.; Arya, D.S. In vivo cardioprotection by pitavastatin from ischemic-reperfusion injury through suppression of IKK/NF-κB and upregulation of pAkt-e-NOS. J. Cardiovasc. Pharm. 2011, 58, 199–206. [Google Scholar] [CrossRef]
- Shabaan, D.A.; Mostafa, N.; El-Desoky, M.M.; Arafat, E.A. Coenzyme Q10 protects against doxorubicin-induced cardiomyopathy via antioxidant and anti-apoptotic pathway. Tissue Barriers 2023, 11, 2019504. [Google Scholar] [CrossRef] [PubMed]
- Turcov, D.; Barna, A.S.; Trifan, A.; Blaga, A.C.; Tanasă, A.M.; Suteu, D. Antioxidants from Galium verum as Ingredients for the Design of New Dermatocosmetic Products. Plants 2022, 11, 2454. [Google Scholar] [CrossRef]
- Laanet, P.R.; Saar-Reismaa, P.; Jõul, P.; Bragina, O.; Vaher, M. Phytochemical Screening and Antioxidant Activity of Selected Estonian Galium Species. Molecules 2023, 28, 2867. [Google Scholar] [CrossRef]
- Radonjic, T.; Rankovic, M.; Ravic, M.; Zivkovic, V.; Srejovic, I.; Jeremic, J.; Jeremic, N.; Sretenovic, J.; Matic, S.; Jakovljevic, V.; et al. The Effects of Thiamine Hydrochloride on Cardiac Function, Redox Status and Morphometric Alterations in Doxorubicin-Treated Rats. Cardiovasc. Toxicol. 2020, 20, 111–120. [Google Scholar] [CrossRef] [PubMed]
- Tian, W.; Yang, L.; Liu, Y.; He, J.; Yang, L.; Zhang, Q.; Liu, F.; Li, J.; Liu, J.; Sumi, S.; et al. Resveratrol attenuates doxorubicin-induced cardiotoxicity in rats by up-regulation of vascular endothelial growth factor B. J. Nutr. Biochem. 2020, 79, 108132. [Google Scholar] [CrossRef]
- Dantas, D.; Pereira, A.G.; Fujimori, A.S.S.; Ribeiro, A.P.D.; de Almeida Silva, C.C.V.; Monte, M.G.; Corrêa, C.R.; Fernandes, A.A.; Bazan, S.G.Z.; Azevedo, P.S.; et al. Doxycycline Attenuates Doxorubicin-Induced Cardiotoxicity by Improving Myocardial Energy Metabolism in Rats. J. Cardiovasc. Dev. Dis. 2022, 9, 254. [Google Scholar] [CrossRef]
- Rawat, P.S.; Jaiswal, A.; Khurana, A.; Bhatti, J.S.; Navik, U. Doxorubicin-induced cardiotoxicity: An update on the molecular mechanism and novel therapeutic strategies for effective management. Biomed. Pharm. 2021, 139, 111708. [Google Scholar] [CrossRef] [PubMed]
- Syahputra, R.A.; Harahap, U.; Dalimunthe, A.; Nasution, M.P.; Satria, D. The Role of Flavonoids as a Cardioprotective Strategy against Doxorubicin-Induced Cardiotoxicity: A Review. Molecules 2022, 27, 1320. [Google Scholar] [CrossRef]
- Liu, T.J.; Yeh, Y.C.; Ting, C.T.; Lee, W.L.; Wang, L.C.; Lee, H.W.; Wang, K.Y.; Lai, H.C.; Lai, H.C. Ginkgo biloba extract 761 reduces doxorubicin-induced apoptotic damage in rat hearts and neonatal cardiomyocytes. Cardiovasc. Res. 2008, 80, 227–235. [Google Scholar] [CrossRef]
- Tene, K.; Kalyan Kumar, M.; Basveshwar, G.; Eswara Rao, P.; Jagadeesh Kumar, G.; Kumar, P.; Pemmaraju, D.B.; Murty, U.S.N.; Gogoi, R.; Naidu, V.G.M. Polyphenolic-Rich Compounds From Dillenia pentagyna (Roxb.) Attenuates the Doxorubicin-Induced Cardiotoxicity: A High-Frequency Ultrasonography Assisted Approach. Front. Pharmacol. 2021, 12, 624706. [Google Scholar] [CrossRef] [PubMed]
- Cote, B.; Carlson, L.J.; Rao, D.A.; Alani, A.W.G. Combinatorial resveratrol and quercetin polymeric micelles mitigate doxorubicin induced cardiotoxicity in vitro and in vivo. J. Control. Release 2015, 213, 128–133. [Google Scholar] [CrossRef]
- Gao, L.; Yuan, P.; Wei, Y.; Fu, Y.; Hou, Y.; Li, P.; Chen, Y.; Ruan, Y.; Zhou, N.; Zheng, X.; et al. Total flavonoids of Selaginella tamariscina (P.Beauv.) Spring ameliorates doxorubicin-induced cardiotoxicity by modulating mitochondrial dysfunction and endoplasmic reticulum stress via activating MFN2/PERK. Phytomedicine 2022, 100, 154065. [Google Scholar] [CrossRef] [PubMed]
- Cebova, M.; Pechanova, O. Protective Effects of Polyphenols against Ischemia/Reperfusion Injury. Molecules 2020, 25, 3469. [Google Scholar] [CrossRef]
- Li, D.; Liu, X.; Pi, W.; Zhang, Y.; Yu, L.; Xu, C.; Sun, Z.; Jiang, J. Fisetin Attenuates Doxorubicin-Induced Cardiomyopathy In Vivo And In Vitro by Inhibiting Ferroptosis through SIRT1/Nrf2 Signaling Pathway Activation. Front. Pharm. 2022, 12, 808480. [Google Scholar] [CrossRef] [PubMed]
- Omóbòwálé, T.O.; Oyagbemi, A.A.; Folasire, A.M.; Ajibade, T.O.; Asenuga, E.R.; Adejumobi, O.A.; Ola-Davies, O.E.; Oyetola, O.; James, G.; Adedapo, A.A.; et al. Ameliorative effect of gallic acid on doxorubicin-induced cardiac dysfunction in rats. J. Basic Clin. Physiol. Pharm. 2018, 29, 19–27. [Google Scholar] [CrossRef]
- Abu Gazia, M.; El-Magd, M.A. Ameliorative Effect of Cardamom Aqueous Extract on Doxorubicin-Induced Cardiotoxicity in Rats. Cells Tissues Organs 2018, 206, 62–72. [Google Scholar] [CrossRef] [PubMed]
- Zhao, L.; Zhang, B. Doxorubicin induces cardiotoxicity through upregulation of death receptors mediated apoptosis in cardiomyocytes. Sci. Rep. 2017, 7, 44735. [Google Scholar] [CrossRef] [PubMed]
- Guo, L.; Zheng, X.; Wang, E.; Jia, X.; Wang, G.; Wen, J. Irigenin treatment alleviates doxorubicin (DOX)-induced cardiotoxicity by suppressing apoptosis, inflammation and oxidative stress via the increase of miR-425. Biomed. Pharm. 2020, 125, 109784. [Google Scholar] [CrossRef] [PubMed]
- Ferenczyova, K.; Kalocayova, B.; Bartekova, M. Potential Implications of Quercetin and its Derivatives in Cardioprotection. Int. J. Mol. Sci. 2020, 21, 1585. [Google Scholar] [CrossRef] [PubMed]
- Jeremic, J.N.; Jakovljevic, V.L.; Zivkovic, V.I.; Srejovic, I.M.; Bradic, J.V.; Bolevich, S.; Nikolic Turnic, T.R.; Mitrovic, S.L.; Jovicic, N.U.; Tyagi, S.C.; et al. The cardioprotective effects of diallyl trisulfide on diabetic rats with ex vivo induced ischemia/reperfusion injury. Mol. Cell. Biochem. 2019, 460, 151–164. [Google Scholar] [CrossRef] [PubMed]
- Buğra, A.; Daş, T. The Role of Immunohistochemical Markers in the Diagnosis of Early Myocardial Infarction. Cureus 2022, 14, e22391. [Google Scholar] [CrossRef]
- Zerikiotis, S.; Angelidis, C.; Dhima, I.; Naka, K.K.; Kasioumi, P.; Kalfakakou, V.; Peschos, D.; Vezyraki, P. The increased expression of the inducible Hsp70 (HSP70A1A) in serum of patients with heart failure and its protective effect against the cardiotoxic agent doxorubicin. Mol. Cell. Biochem. 2019, 455, 41–59. [Google Scholar] [CrossRef]
- Liu, P.; Bao, H.Y.; Jin, C.C.; Zhou, J.C.; Hua, F.; Li, K.; Lv, X.X.; Cui, B.; Hu, Z.W.; Zhang, X.W. Targeting Extracellular Heat Shock Protein 70 Ameliorates Doxorubicin-Induced Heart Failure through Resolution of Toll-Like Receptor 2-Mediated Myocardial Inflammation. J. Am. Heart Assoc. 2019, 8, e012338. [Google Scholar] [CrossRef]
- Singh, K.; Bhori, M.; Kasu, Y.A.; Bhat, G.; Marar, T. Antioxidants as precision weapons in war against cancer chemotherapy induced toxicity-Exploring the armoury of obscurity. Saudi Pharm. J. 2018, 26, 177–190. [Google Scholar] [CrossRef] [PubMed]
- Shen, B.Y.; Chen CXu, Y.F.; Shen, J.J.; Guo, H.M.; Li, H.F.; Li, X.N.; Kang, D.; Shao, Y.H.; Zhu, Z.P.; Yin, X.X.; et al. Is the combinational administration of doxorubicin and glutathione a reasonable proposal? Acta Pharmacol. Sin. 2019, 40, 699–709. [Google Scholar] [CrossRef] [PubMed]








| Name of Compound | G. verum Extract | Retention Time [tR] | Name of Compound | G. verum Extract | Retention Time [tR] |
|---|---|---|---|---|---|
| Ursolic acid | 8900 ± 66 | 9.5 | p-Hydroxybenzoic acid | 8.1 ± 0.8 | 1.08 |
| Chlorogenic acid | 15,562 ± 780 | 0.8 | Kaempferol | 7.5 ± 0.9 | 4.55 |
| Isoquercetin | 6871 ± 211 | 2.25 | Hesperetin | 14.2 | 4.44 |
| Cynaroside | 9611 ± 293 | 2.13 | Rhamnetin | <4.79 | 5.84 |
| Quercetin | 179.2 ± 53.6 | 3.74 | Diosmetin | 12.3 | 5.02 |
| p-Coumaric acid | 54.2 ± 4.7 | 1.69 | Rosmarinic acid | 0.28 | 2.43 |
| Astragalin | 93.6 ± 3.6 | 2.8 | Alizarin | <2.55 | 5.95 |
| Caffeic acid | 19.7 ± 1.2 | 1.18 | Epicatechin | <0.60 | 0.95 |
| Ferulic acid | 17.6 ± 1.4 | 1.9 | Glycyrrhizin | <0.14 | 7.41 |
| Luteolin | 33.8 ± 1.7 | 4.03 | Hyperoside | <0.32 | 2.16 |
| Isorhamnetin | 60.1 ± 3.2 | 4.79 | Catechin | <0.60 | 0.74 |
| Apigetrin | 45.3 ± 2.4 | 2.81 | Myricetin | <19.51 | 2.67 |
| Vanillic acid | 14.5 ± 4.6 | 1.24 | Ellagic acid | <0.30 | 2.61 |
| Extract | Total Phenolic Content (mg GAE/g DE) | Total Flavonoid Content (mg QE/g DE) |
|---|---|---|
| G. verum extract | 27.58 ± 2.09 | 66.97 ± 4.17 |
| DPPH Radical Scavenging Activity (IC50 a (µg/mL)) | ||
|---|---|---|
| Sample | BHT | G. verum Extract |
| 8.66 ± 0.12 | 11.78 ± 1.18 | |
| CPP | CTRL | DOX | DOX + GVE | CPP | CTRL | DOX | DOX + GVE |
|---|---|---|---|---|---|---|---|
| dp/dt max | dp/dt min | ||||||
| 60 | 6,20 | −28,55 | −9,81 | 60 | −5,08 | −31,15 | −8,13 |
| 80 | 7,24 | −17,78 | −7,55 | 80 | −5,91 | −17,28 | −6,85 |
| 100 | 6,98 | −13,71 | −9,26 | 100 | −5,31 | −12,23 | −8,34 |
| 120 | 6,23 | −9,77 | −6,98 | 120 | −3,18 | −26,03 | −5,36 |
| SLVP | DLVP | ||||||
| 60 | 4,57 | −11,85 | −5,03 | 60 | 1,67 | −3,48 | −6,46 |
| 80 | 5,33 | −35,77 | −12,23 | 80 | −5,86 | −20,71 | −8,05 |
| 100 | −2,93 | −43,88 | −9,41 | 100 | 3,97 | −22,73 | −7,34 |
| 120 | −1,60 | −42,93 | −13,12 | 120 | 3,80 | −16,10 | −9,11 |
| HR | CF | ||||||
| 60 | 4,27 | −14,43 | −7,92 | 60 | 8,79 | −17,24 | −6,82 |
| 80 | 2,58 | −21,46 | −8,20 | 80 | 10,87 | −24,32 | −13,62 |
| 100 | 3,21 | −12,42 | −5,44 | 100 | 10,42 | −23,78 | −12,90 |
| 120 | −0,68 | −6,41 | −6,19 | 120 | 9,62 | −22,02 | −13,08 |
| Groups | Score |
|---|---|
| CTRL | 0.8 |
| DOX | 3.5 |
| DOX + GVE | 2.5 |
Disclaimer/Publisher’s Note: The statements, opinions and data contained in all publications are solely those of the individual author(s) and contributor(s) and not of MDPI and/or the editor(s). MDPI and/or the editor(s) disclaim responsibility for any injury to people or property resulting from any ideas, methods, instructions or products referred to in the content. |
© 2023 by the authors. Licensee MDPI, Basel, Switzerland. This article is an open access article distributed under the terms and conditions of the Creative Commons Attribution (CC BY) license (https://creativecommons.org/licenses/by/4.0/).
Share and Cite
Bradic, J.; Andjic, M.; Novakovic, J.; Kocovic, A.; Tomovic, M.; Petrovic, A.; Nikolic, M.; Mitrovic, S.; Jakovljevic, V.; Pecarski, D. Lady’s Bedstraw as a Powerful Antioxidant for Attenuation of Doxorubicin-Induced Cardiotoxicity. Antioxidants 2023, 12, 1277. https://doi.org/10.3390/antiox12061277
Bradic J, Andjic M, Novakovic J, Kocovic A, Tomovic M, Petrovic A, Nikolic M, Mitrovic S, Jakovljevic V, Pecarski D. Lady’s Bedstraw as a Powerful Antioxidant for Attenuation of Doxorubicin-Induced Cardiotoxicity. Antioxidants. 2023; 12(6):1277. https://doi.org/10.3390/antiox12061277
Chicago/Turabian StyleBradic, Jovana, Marijana Andjic, Jovana Novakovic, Aleksandar Kocovic, Marina Tomovic, Anica Petrovic, Marina Nikolic, Slobodanka Mitrovic, Vladimir Jakovljevic, and Danijela Pecarski. 2023. "Lady’s Bedstraw as a Powerful Antioxidant for Attenuation of Doxorubicin-Induced Cardiotoxicity" Antioxidants 12, no. 6: 1277. https://doi.org/10.3390/antiox12061277
APA StyleBradic, J., Andjic, M., Novakovic, J., Kocovic, A., Tomovic, M., Petrovic, A., Nikolic, M., Mitrovic, S., Jakovljevic, V., & Pecarski, D. (2023). Lady’s Bedstraw as a Powerful Antioxidant for Attenuation of Doxorubicin-Induced Cardiotoxicity. Antioxidants, 12(6), 1277. https://doi.org/10.3390/antiox12061277

