Effect of Thallium(I) on Growth, Nutrient Absorption, Photosynthetic Pigments, and Antioxidant Response of Dittrichia Plants
Abstract
1. Introduction
2. Materials and Methods
2.1. Plant Materials, Growth Conditions, and Treatments
2.2. Determination of Tl and Mineral Content
2.3. Determination of the Soluble Amino Acid and Protein Contents
2.4. Determination of Photosynthetic Pigment Contents and Photosynthetic Efficiency
2.5. Determination of Lipid Peroxidation and Reactive Oxygen Species (O2.− and H2O2), NO, and H2S Contents, and SOD Activity
2.6. Determination of the Components and Antioxidant Enzymes of the AsA–GSH Cycle
2.7. Statistical Analyses
3. Results
3.1. Effect of Tl on the Growth, Accumulation of Mineral Elements, and Soluble Amino Acid and Protein Content of Dittrichia
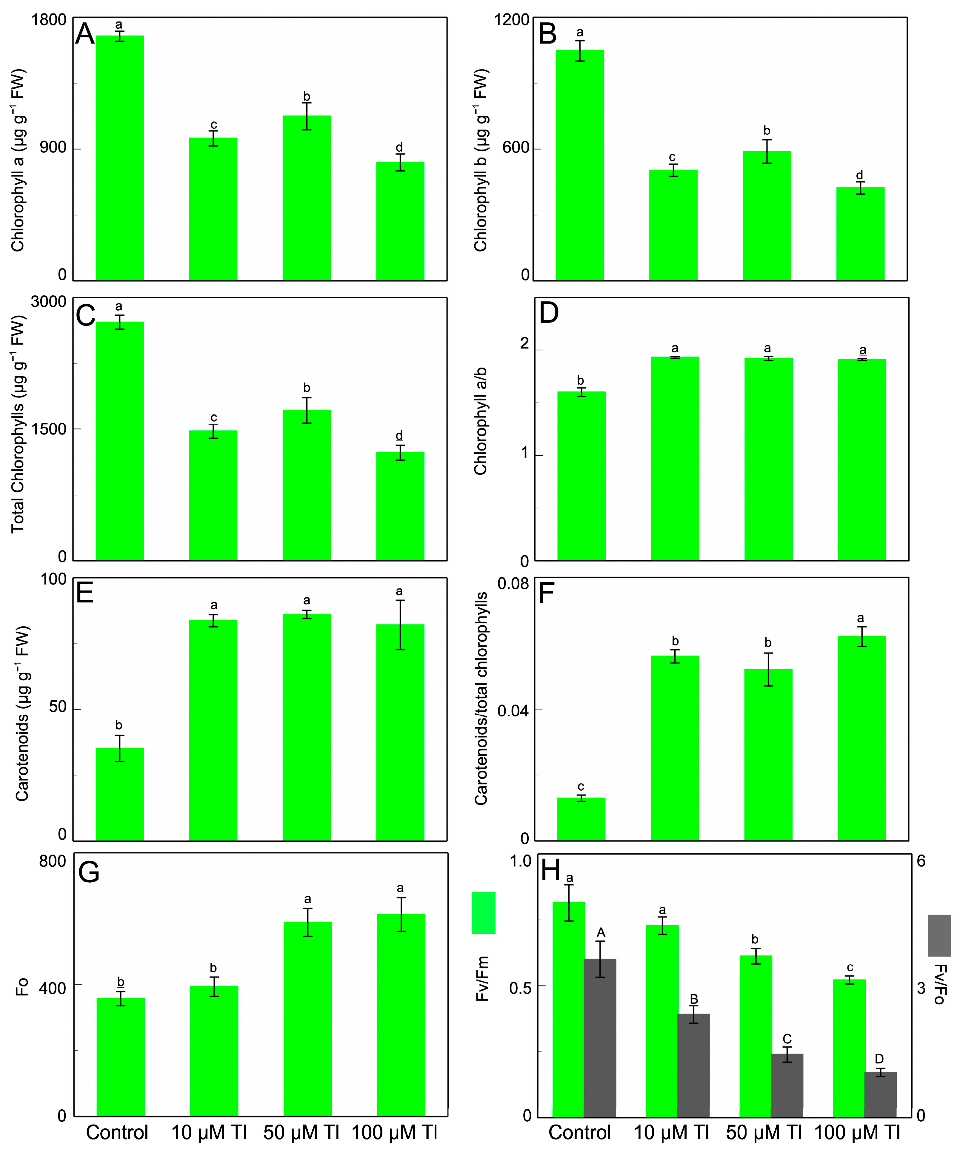
3.2. Effect of Tl on Photosynthetic Pigment Content and Photosynthetic Efficiency

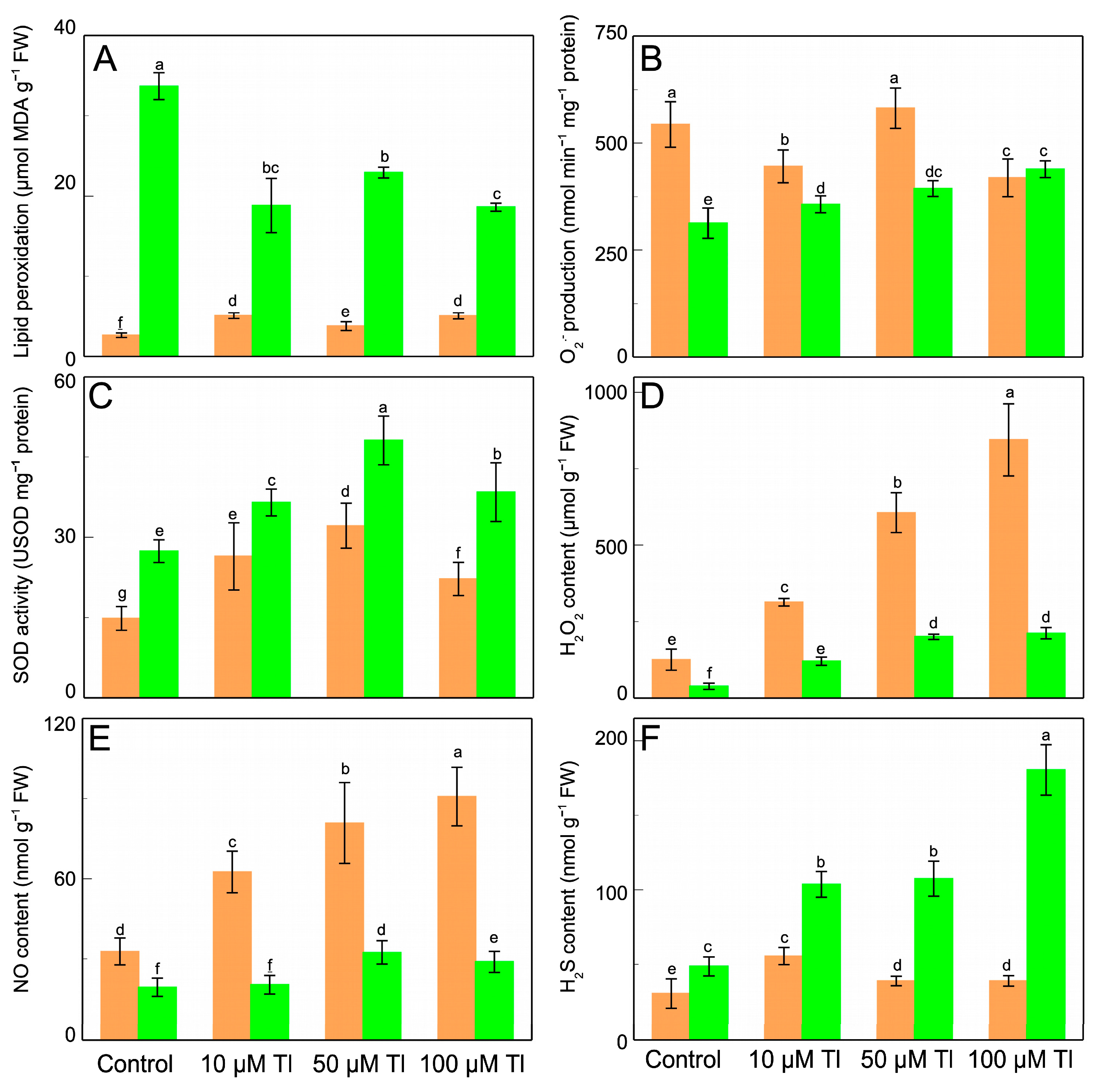
3.3. Lipid Peroxidation, Production of O2.− and SOD Activity, and H2O2, NO, and H2S Content

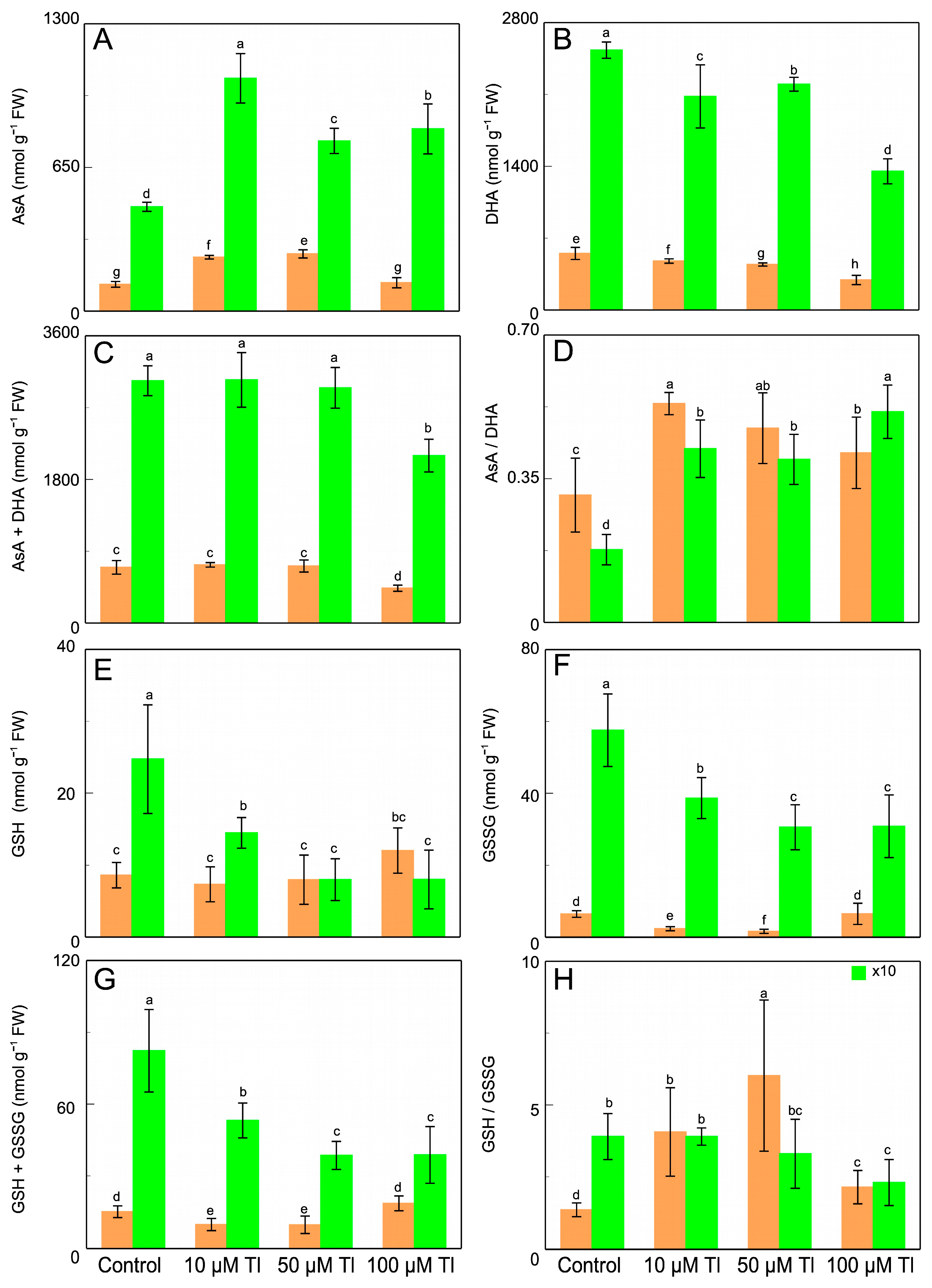
3.4. APX, DHAR, MDHAR, and GR, and Ascorbate and Glutathione Pool
4. Discussion
5. Conclusions
Supplementary Materials
Author Contributions
Funding
Institutional Review Board Statement
Informed Consent Statement
Data Availability Statement
Conflicts of Interest
References
- Corpas, F.J.; Leterrier, M.; Valderrama, R.; Airaki, M.; Chaki, M.; Palma, J.M.; Barroso, J.B. Nitric oxide imbalance provokes a nitrosative response in plants under abiotic stress. Plant Sci. 2011, 181, 604–611. [Google Scholar] [CrossRef]
- Foyer, C.H.; Noctor, G. Ascorbate and glutathione: The heart of the redox hub. Plant Physiol. 2011, 155, 2–18. [Google Scholar] [CrossRef] [PubMed]
- Das, K.; Roychoudhury, A. Reactive oxygen species (ROS) and response of antioxidants as ROS-scavengers during environmental stress in plants. Front. Environ. Sci. 2014, 2, 53. [Google Scholar] [CrossRef]
- Liu, H.; Wang, J.; Liu, J.; Liu, T.; Xue, S. Hydrogen sulfide (H2S) signaling in plant development and stress responses. Abiotech 2021, 2, 32–63. [Google Scholar] [CrossRef]
- Mittler, R. Oxidative stress, antioxidants and stress tolerance. Trends Plant Sci. 2002, 7, 405–410. [Google Scholar] [CrossRef] [PubMed]
- Zhang, F.-Q.; Wang, Y.-S.; Lou, Z.-P.; Dong, J.-D. Effect of heavy metal stress on antioxidative enzymes and lipid peroxidation in leaves and roots of two mangrove plant seedlings (Kandelia candel and Bruguiera gymnorrhiza). Chemosphere 2007, 67, 44–50. [Google Scholar] [CrossRef] [PubMed]
- Gill, S.S.; Tuteja, N. Reactive oxygen species and antioxidant machinery in abiotic stress tolerance in crop plants. Plant Physiol. Biochem. 2010, 48, 909–930. [Google Scholar] [CrossRef]
- Anjum, N.A.; Gill, S.S.; Gill, R.; Hasanuzzaman, M.; Duarte, A.C.; Pereira, E.; Ahmad, I.; Tuteja, R.; Tuteja, N. Metal/metalloid stress tolerance in plants: Role of ascorbate, its redox couple, and associated enzymes. Protoplasma 2014, 251, 1265–1283. [Google Scholar] [CrossRef]
- Khan, M.N.; Siddiqui, M.H.; AlSolami, M.A.; Alamri, S.; Hu, Y.; Ali, H.M.; Al-Amri, A.A.; Alsubaie, Q.D.; Al-Munqedhi, B.M.A.; Al-Ghamdi, A. Crosstalk of hydrogen sulfide and nitric oxide requires calcium to mitigate impaired photosynthesis under cadmium stress by activating defense mechanisms in Vigna radiata. Plant Physiol. Biochem. 2020, 156, 278–290. [Google Scholar] [CrossRef]
- Espinosa-Vellarino, F.L.; Garrido, I.; Ortega, A.; Casimiro, I.; Espinosa, F. Effects of Antimony on Reactive Oxygen and Nitrogen Species (ROS and RNS) and Antioxidant Mechanisms in Tomato Plants. Front. Plant Sci. 2020, 11, 674. [Google Scholar] [CrossRef]
- Espinosa-Vellarino, F.L.; Garrido, I.; Ortega, A.; Casimiro, I.; Espinosa, F. Response to Antimony Toxicity in Dittrichia viscosa Plants: ROS, NO, H2S, and the Antioxidant System. Antioxidants 2021, 27, 1698. [Google Scholar] [CrossRef] [PubMed]
- Qiao, W.; Li, C.; Fan, L.M. Cross-talk between nitric oxide and hydrogen peroxide in plant responses to abiotic stresses. Environ. Exp. Bot. 2014, 100, 84–93. [Google Scholar] [CrossRef]
- Correa-Aragunde, N.; Foresi, N.; Lamattina, L. Nitric oxide is a ubiquitous signal for maintaining redox balance in plant cells: Regulation of ascorbate peroxidase as a case study. J. Exp. Bot. 2015, 66, 2913–2921. [Google Scholar] [CrossRef]
- Rizwan, M.; Mostofa, M.G.; Ahmad, M.Z.; Imtiaz, M.; Mehmood, S.; Adeel, M.; Dai, Z.; Li, Z.; Aziz, O.; Zhang, Y.; et al. Nitric oxide induces rice tolerance to excessive nickel by regulating nickel uptake, reactive oxygen species detoxification and defense-related gene expression. Chemosphere 2018, 191, 23–35. [Google Scholar] [CrossRef]
- Gibbs, D.J.; Conde, J.V.; Berckhan, S.; Prasad, G.; Mendiondo, G.M.; Holdsworth, M.J. Group VII ethylene response factors coordinate oxygen and nitric oxide signal transduction and stress responses in plants. Plant Physiol. 2015, 169, 23–31. [Google Scholar] [CrossRef] [PubMed]
- Leterrier, M.; Airaki, M.; Palma, J.M.; Chaki, M.; Barroso, J.B.; Corpas, F.J. Arsenic triggers the nitric oxide (NO) and S-nitrosoglutathione (GSNO) metabolism in Arabidopsis. Environ. Pollut. 2012, 166, 136–143. [Google Scholar] [CrossRef]
- Singh, P.K.; Indoliya, Y.; Chauhan, A.S.; Singh, S.P.; Singh, A.P.; Dwivedi, S.; Chakrabarty, D. Nitric oxide mediated transcriptional modulation enhances plant adaptive responses to arsenic stress. Sci. Rep. 2017, 7, 3592. [Google Scholar] [CrossRef]
- Yordanova, R.; Baydanova, V.; Peeva, V. Nitric oxide mediates the stress response induced by cadmium in maize plants. Genet. Plant Physiol. 2017, 7, 121–134. [Google Scholar]
- Sharma, A.; Soares, C.; Sousa, B.; Martins, M.; Kumar, V.; Shahzad, B.; Sidhu, G.P.; Bali, A.S.; Asgher, M.; Bhardwaj, R.; et al. Nitric oxide-mediated regulation of oxidative stress in plants under metal stress: A review on molecular and biochemical aspects. Physiol. Plant. 2019, 168, 318–344. [Google Scholar] [CrossRef]
- Khan, M.N.; Mobin, M.; Abbas, Z.K.; Siddiqui, M.H. Nitric oxide-induced synthesis of hydrogen sulfide alleviates osmotic stress in wheat seedlings through sustaining antioxidant enzymes, osmolyte accumulation and cysteine homeostasis. Nitric Oxide 2017, 68, 91–102. [Google Scholar] [CrossRef]
- Khan, M.N.; Mohammad, F.; Mobin, M.; Saqib, M.A. Tolerance of plants to abiotic stress: A role of nitric oxide and calcium. In Nitric Oxide in Plants: Metabolism and Role in Stress Physiology; Khan, M.N., Mohammad, F., Mobin, M., Corpas, F.J., Eds.; Springer International Publishing: Cham, Switzerland, 2014; pp. 225–242. [Google Scholar] [CrossRef]
- Khan, M.N.; Mobin, M.; Khorshid Abbas, Z. Nitric oxide and high temperature stress: A physiological perspective. In Nitric Oxide Action in Abiotic Stress Responses in Plants; Khan, M.N., Mohammad, F., Mobin, M., Corpas, F.J., Eds.; Springer International Publishing: Cham, Switzerland, 2015; pp. 77–92. [Google Scholar] [CrossRef]
- Siddiqui, M.H.; Alamri, S.; Nasir Khan, M.; Corpas, F.J.; Al-Amri, A.A.; Alsubaie, Q.D.; Ali, H.M.; Kalaji, H.M.; Ahmad, P. Melatonin and calcium function synergistically to promote the resilience through ROS metabolism under arsenic-induced stress. J. Hazard. Mater. 2020, 398, 122882. [Google Scholar] [CrossRef]
- Aroca, A.; Gotor, C.; Romero, L.C. Hydrogen Sulfide Signaling in Plants: Emerging Roles of Protein Persulfidation. Front Plant Sci. 2018, 9, 1369. [Google Scholar] [CrossRef]
- Corpas, F.J.; Palma, J.M. H2S signaling in plants and applications in agriculture. J. Adv. Res. 2020, 24, 131–137. [Google Scholar] [CrossRef] [PubMed]
- Corpas, F.J.; González-Gordo, S.; Palma, J.M. Nitric oxide and hydrogen sulfide modulate the NADPH-generating enzymatic system in higher plants. J. Exp. Bot. 2021, 72, 830–847. [Google Scholar] [CrossRef]
- Khan, M.J.; Mukhtiar, M.; Qureshi, M.M.; Jan, S.U.; Ullah, I.; Hussain, A.; Khan, M.F.; Gul, R.; Shahwani, N.A.; Rabbani, I. Spectrophotometric investigation of Glutathione modulation by Thallium chloride in aqueous médium. Pak. J. Pharm. Sci. 2018, 31, 1463–1467. [Google Scholar] [PubMed]
- Wang, H.R.; Che, Y.H.; Huang, D.; Ao, H. Hydrogen sul de mediated alleviation of cadmium toxicity in Phlox paniculata L. and establishment of a comprehensive evaluation model for corresponding strategy. Int. J. Phytoremed. 2020, 22, 1085–1095. [Google Scholar] [CrossRef] [PubMed]
- Mostofa, M.G.; Rahman, A.; Ansary, M.U.; Watanabe, A.; Fujita, M.; Tran, L.-S. Hydrogen sulfide modulates cadmium-induced physiological and biochemical responses to alleviate cadmium toxicity in rice. Sci. Rep. 2015, 5, 14078. [Google Scholar] [CrossRef] [PubMed]
- Jia, H.; Wang, X.; Dou, Y.; Liu, D.; Si, W.; Fang, H.; Zhao, C.; Chen, S.; Xi, J.; Li, J. Hydrogen sulfide—cysteine cycle system enhances cadmium tolerance through alleviating cadmium-induced oxidative stress and ion toxicity in Arabidopsis roots. Sci. Rep. 2016, 6, 39702. [Google Scholar] [CrossRef]
- Kushwaha, B.K.; Singh, V.P. Glutathione and hydrogen sulfide are required for sulfur-mediated mitigation of Cr(VI) toxicity in tomato, pea and brinjal seedlings. Physiol. Plant. 2019, 168, 406–421. [Google Scholar] [CrossRef]
- Pandey, A.K.; Gautam, A. Stress responsive gene regulation in relation to hydrogen sulfide in plants under abiotic stress. Physiol. Plant. 2020, 168, 511–525. [Google Scholar] [CrossRef]
- Da-Silva, C.; Fontes, E.; Modolo, L. Salinity-induced accumulation of endogenous H2S and NO is associated with modulation of the antioxidant and redox defense systems in Nicotiana tabacum L. cv. Havana. Plant Sci. 2017, 256, 148–159. [Google Scholar] [CrossRef] [PubMed]
- Mulkey, J.P.; Oehme, F.W. A review of thallium toxicity. Vet. Hum. Toxicol. 1993, 35, 445–453. [Google Scholar] [PubMed]
- Kaya, C.; Ashraf, M.; Alyemeni, M.N.; Ahmad, P. Responses of nitric oxide and hydrogen sulfide in regulating oxidative defence system in wheat plants grown under cadmium stress. Physiol. Plant. 2019, 168, 345–360. [Google Scholar] [CrossRef] [PubMed]
- Jia, H.; Wang, X.; Shi, C.; Guo, J.; Ma, P.; Ren, X.; Wei, T.; Liu, H.; Li, J. Hydrogen sulfide decreases Cd translocation from root to shoot through increasing Cd accumulation in cell wall and decreasing Cd2+ influx in Isatis indigotica. Plant Physiol. Biochem. 2020, 155, 605–612. [Google Scholar] [CrossRef]
- Sahay, S.; Gupta, M. An update on nitric oxide and its benign role in plant responses under metal stress. Nitric Oxide 2017, 67, 39–52. [Google Scholar] [CrossRef]
- Yao, Y.; Yang, R.; Liao, W.; Wang, Y.; Liu, W.; Huang, X.; Wang, X.; Zhang, P. Is Oxalic Acid Secretion A Detoxification Strategy for Rice Exposed to Tl(I) or Tl(III)? Bull. Environ. Contam. Toxicol. 2022, 109, 920–926. [Google Scholar] [CrossRef]
- Rader, S.T.; Maier, R.M.; Barton, M.D.; Mazdab, F.K. Uptake and Fractionation of Thallium by Brassica juncea in a Geogenic Thallium-Amended Substrate. Environ. Sci. Technol. 2019, 53, 2441–2449. [Google Scholar] [CrossRef]
- Galván-Arzate, S.; Santamaría, A. Thallium toxicity. Toxicol. Letters. 1998, 99, 1–13. [Google Scholar] [CrossRef]
- Pavoni, E.; Covellia, S.; Adamib, G.; Baracchinib, E.; Cattelanc, R.; Croserab, M.; Higuerasd, P.; Lenaza, D.; Petranicha, E. Mobility and fate of Thallium and other potentially harmful elements in drainage waters from a decommissioned Zn-Pb mine (North-Eastern Italian Alps). J. Geochem. Explor. 2018, 188, 1–10. [Google Scholar] [CrossRef]
- Sasmaz, M.; Öbekb, E.; Sasmaz, A. Bioaccumulation of cadmium and thallium in Pb-Zn tailing waste water by Lemna minor and Lemna gibba. Appl. Geochem. 2019, 100, 287–292. [Google Scholar] [CrossRef]
- Wei, X.; Zhoua, Y.; Tsangb, D.C.W.; Songc, L.; Zhangd, C.; Yina, M.; Liua, J.; Xiaoa, T.; Zhanga, G.; Wang, J. Hyperaccumulation and transport mechanism of thallium and arsenic in brake ferns (Pteris vittata L.): A case study from mining área. J. Hazard. Mate. 2020, 388, 121756. [Google Scholar] [CrossRef]
- Mazur, R.; Sadowska, M.; Kowalewska, L.; Abratowska, A.; Kalaji, H.M.; Mostowska, A.; Garstka, M.; Krasnodębska-Ostręga, B. Overlapping toxic effect of long term thallium exposure on white mustard (Sinapis alba L.) photosynthetic activity. BMC Plant Biol. 2016, 16, 191. [Google Scholar] [CrossRef]
- Chang, H.F.; Tseng, S.C.; Tang, M.T.; Hsiao, S.S.Y.; Lee, D.C.; Wang, S.L.; Yeh, K.C. Physiology and Molecular Basis of Thallium Toxicity and Accumulation in Arabidopsis thaliana. 2022. Available online: https://ssrn.com/abstract=4196841 (accessed on 8 November 2022).
- Corzo-Remigio, A.; Pošćić, F.; Nkrumah, P.N.; Edraki, M.; Spiers, K.M.; Brueckner, D.; Van der Ent, A. Comprehensive insights in thallium ecophysiology in the hyperaccumulator Biscutella laevigata. Sci. Total Environ. 2022, 838, 155899. [Google Scholar] [CrossRef]
- Wu, Q.; Leung, J.Y.; Huang, X.; Yao, B.; Yuan, X.; Ma, J.; Guo, S. Evaluation of the ability of black nightshade Solanum nigrum L. for phytoremediation of thallium-contaminated soil. Environ. Sci. Pollut. Res. Int. 2015, 22, 11478–11487. [Google Scholar] [CrossRef]
- Pu, G.; Zhang, D.; Zeng, D.; Xu, G.; Huang, Y. Physiological response of Arundo donax L. to thallium accumulation in a simulated wetland. Mar. Freshw. Res. 2017, 69, 714. [Google Scholar] [CrossRef]
- Radic, S.; Cvjetko, P.; Glavas, K.; Roje, V.; Pevalek-Zozlina, B.; Pavlica, M. Oxidative stress and DNA damage in broad vean (Vicia faba L.) seedlings induced by thallium. Environ. Toxicol. Chem. 2009, 28, 189–196. [Google Scholar] [CrossRef]
- Holubík, O.; Vaněk, A.; Mihaljevic, M.; Vejvodová, K. Tallium uptake/tolerance in a model (hyper)accumulating plant: Effect of extreme contaminant loads. Soil Water Res. 2021, 16, 129–135. [Google Scholar] [CrossRef]
- Corzo-Remigio, A.; Nkrumah, P.; Pošćić, F.; Edraki, M.; Baker, A.; Ent, A. Thallium accumulation and distribution in Silene latifolia (Caryophyllaceae) grown in hydroponics. Plant Soil. 2022, 480, 213–226. [Google Scholar] [CrossRef]
- Poschenrieder, C.; Cabot, C.; Martos, S.; Gallego, B.; Barceló, J. Do toxic ions induce hormesis in plants? Plant Sci. 2013, 212, 15–25. [Google Scholar] [CrossRef] [PubMed]
- Salinitro, M.; Mattarello, G.; Guardigli, G.; Odajiu, M.; Tassoni, A. Induction of hormesis in plants by urban trace metal pollution. Sci. Rep. 2021, 11, 20329. [Google Scholar] [CrossRef] [PubMed]
- Pu, G.; Zhang, D.; Zeng, D.; Xu, G.; Huang, Y. Effects of Thallium Stress on Photosynthesis, Chlorophyll Fluorescence Parameters and Antioxidant Enzymes Activities of Coix lacryma-jobi. J. Environ. Sci. Eng. A 2017, 6, 15–21. [Google Scholar] [CrossRef]
- Yao, Y.; Wang, M.; Zhang, P.; Wang, X.; Huang, X.; Liu, W.; Wang, Z.; Yang, R. Different responses in metallothionein gene expression and antioxidative enzyme activity lead to more ROS accumulation and toxicity in rice exposed to Tl(III) than to Tl(I). Chemosphere 2020, 259, 127258. [Google Scholar] [CrossRef]
- Liu, T.; Deng, H.M.; Wang, Y.L.; Chen, Y.H.; Chen, M.C.; Wu, G.M.; Zeng, D.M.; Du, G.Y.; Gu, Y.S.; Xu, X.C. Growth Inhibition of Thallium(I)-nitrate on Duckweed (Lemna gibba L.) with Relation to Its Oxidative Stress. Asian J. Ecotoxicol. 2014, 6, 1112–1117. [Google Scholar] [CrossRef]
- Deng, H.M.; Chen, Y.H.; Liu, T.; Wu, C.Q.; Qiu, L.; Wu, G.M.; Zeng, D.M. Study on the translocation and accumulation of Tl in soil-plant system. Enviro. Chem. 2013, 32, 1749–1757. [Google Scholar]
- Parolin, P.; Ion Scotta, M.; Bresch, C. Biology of Dittrichia viscosa, a mediterranean ruderal plant: A review. Phyton Int. J. Exp. Bot. 2014, 83, 251–262. [Google Scholar]
- Murciego, A.M.; Sánchez, A.G.; González, M.R.; Gil, E.P.; Gordillo, C.T.; Fernández, J.C.; Triguero, T.B. Antimony distribution and mobility in topsoils and plants (Cytisus striatus, Cistus ladanifer and Dittrichia viscosa) from polluted Sb-mining areas in Extremadura (Spain). Environ. Pollut. 2007, 145, 15–21. [Google Scholar] [CrossRef]
- Pérez-Sirvent, C.; Martínez-Sánchez, M.J.; SMartínez-López, S.; Bech, J.; Bolan, N. Distribution and bioaccumulation of arsenic and antimony in Dittrichia viscosa growing in mining-affected semiarid soils in southeast Spain. J. Geochem. Explor. 2012, 123, 128–135. [Google Scholar] [CrossRef]
- Guarino, F.; Conte, B.; Improta, G.; Sciarrillo, R.; Castiglione, S.; Cicatelli, A.; Guarino, C. Genetic characterization, micropropagation, and potential use for arsenic phytoremediation of Dittrichia viscosa (L.) Greuter. Ecotoxicol. Environ. Saf. 2018, 148, 675–683. [Google Scholar] [CrossRef]
- Papadia, P.; Barozzi, F.; Angilé, F.; Migoni, D.; Piro, G.; Fanizzi, F.P.; Di Sansebastiano, G.-P. Evaluation of Dittrichia viscosa performance in substrates with moderately low levels of As and Cd contamination. Plant Biosyst. Int. J. Deal. All Asp. Plant Biol. 2020, 154, 983–989. [Google Scholar] [CrossRef]
- Garrido, I.; Ortega, A.; Hernández, M.; Fernández-Pozo, L.; Cabezas, J.; Espinosa, F. Effect of antimony in soils of an Sb mine on the photosynthetic pigments and antioxidant system of Dittrichia viscosa leaves. Environ. Geochem. Health 2021, 43, 1367–1383. [Google Scholar] [CrossRef]
- Jiménez, M.N.; Bacchetta, G.; Navarro, F.B.; Casti, M.; Fernández-Ondoño, E. Native Plant Capacity for Gentle Remediation in Heavily Polluted Mines. Appl. Sci. 2021, 11, 1769. [Google Scholar] [CrossRef]
- Smart, R.E.; Bingham, G.E. Rapid estimates of relative water content. Plant Physiol. 1974, 53, 258–260. [Google Scholar] [CrossRef] [PubMed]
- Lehotai, N.; Kolbert, Z.; Peto, A.; Feigl, G.; Ordog, O.; Kumar, D.; Tari, I.; Erdei, L. Selenite-induced hormonal and signalling mechanisms during root growth of Arabidopsis thaliana L. J. Exp. Bot. 2012, 65, 5677–5687. [Google Scholar] [CrossRef]
- Bradford, M.M. A rapid and sensitive method for the quantitation of microgram quantities of protein utiliz- ing the principle of protein-dye binding. Anal. Biochem. 1976, 72, 248–254. [Google Scholar] [CrossRef] [PubMed]
- Yemm, E.W.; Cooking, E.C. The determination of amino acids with ninhidrin. Analyst 1955, 80, 209–213. [Google Scholar] [CrossRef]
- Wellburn, A.R. The spectral determination of chlorophyll a and chlorophyll b, as well as total carotenoids, using various solvents with spectrophotometers of different resolution. J. Plant Physiol. 1994, 144, 307–313. [Google Scholar] [CrossRef]
- Fu, J.; Huang, B. Involvement of antioxidants and lipid peroxidation in the adaptation of two cool-season grasses to localized drought stress. Environ. Exp. Bot. 2001, 45, 105–114. [Google Scholar] [CrossRef] [PubMed]
- Velikova, V.; Yordanov, I.; Edreva, A. Oxidative stress and some antioxidant system in acid rain-treated bean plants: Protective role of exogenous polyamines. Plant Sci. 2000, 151, 59–66. [Google Scholar] [CrossRef]
- Misra, H.P.; Fridovich, I. The role of superoxide anion in the autoxidation of epinephrine and a simple assay for superoxide dismutase. J. Biol. Chem. 1972, 247, 3170–3175. [Google Scholar] [CrossRef]
- Beauchamp, C.; Fridovich, I. Superoxide dismutase: Improved assays and an assay applicable to acryl-amide gels. Anal. Biochem. 1971, 44, 276–287. [Google Scholar] [CrossRef]
- Zhou, B.; Guo, Z.; Xing, J.; Huang, B. Nitric oxide is involved in abscisic acid-induced antioxidant activities in Stylosanthes guianensis. J. Exp. Bot. 2005, 56, 3223–3228. [Google Scholar] [CrossRef]
- Li, Z.G. Quantification of hydrogen sulfide concentration using methylene blue and 5,5’-dithiobis(2-nitrobenzoic acid) methods in plants. Methods Enzymol. 2015, 554, 101–110. [Google Scholar] [CrossRef]
- De Pinto, M.C.; Francis, D.; De Gara, L. The redox state of ascorbate-dehydroascorbate pair as a specific sensor of cell division in tobacco TBY-2 cells. Protoplasma. 1999, 209, 90–97. [Google Scholar] [CrossRef] [PubMed]
- Rao, M.V.; Paliyath, G.; Ormrod, D.P. Ultraviolet-B- and ozone-induced biochemical changes in antioxidant enzymes of Arabidopsis thaliana. Plant Physiol. 1996, 110, 125–136. [Google Scholar] [CrossRef]
- De Gara, L.; De Pinto, M.C.; Moliterni, V.M.C.; D’Égidio, M.G. Redox regulation and storage processes during maturation in kernels of Triticum durum. J. Exp. Bot. 2003, 54, 249–258. [Google Scholar] [CrossRef] [PubMed]
- Hossain, M.A.; Nakano, Y.; Asada, K. Monodehydroascorbate Reductase in Spinach Chloroplasts and Its Participation in Regeneration of Ascorbate for Scavenging Hydrogen Peroxide. Plant Cell Physiol. 1984, 25, 385–395. [Google Scholar] [CrossRef]
- Naumann, B.; Eberius, M.; Appenroth, K.J. Growth rate based dose-response relationships and EC-values of ten heavy metals using the duckweed growth inhibition test (ISO 20079) with Lemna minor L. clone St. J. Plant Physiol. 2007, 164, 1656–1664. [Google Scholar] [CrossRef]
- Babić, M.; Radić, S.; Cvjetko, P.; Roje, V.; Pevalek-Kozlina, B.; Pavlica, M. Antioxidative response of Lemna minor plants exposed to thallium(I)-acetate. Aquat. Bot. 2009, 91, 166–172. [Google Scholar] [CrossRef]
- Vanek, A.; Komárek, M.; Chrastny, V.; Becka, D.; Mihaljevic, M.; Sebek, O.; Panusková, G.; Schusterová, Z. Thallium uptake by white mustard (Sinapis alba L.) grown on moderately contaminated soils-Agro-environmental implications. J. Hazard. Mater. 2010, 182, 303–308. [Google Scholar] [CrossRef]
- He, S.; Yang, X.; He, Z.; Baligar, V.C. Morphological and physiological responses of plants to cadmium toxicity: A review. Pedosphere 2017, 27, 421–438. [Google Scholar] [CrossRef]
- Naeem, A.; Zafar, M.; Khalid, H.; Zia-ur-Rehman, M.; Ahmad, Z.; Ashar Ayub, M.; Qayyum, M.F. Chapter 12–Cadmium-Induced Imbalance in Nutrient and Water Uptake by Plants. In Cadmium Toxicity and Tolerance in Plants; Hasanuzzaman, M., Prasad, M.N.V., Fujita, M., Eds.; Academic Press: Cambridge, MA, USA, 2019; pp. 299–326. [Google Scholar] [CrossRef]
- Kaya, C.; Akram, N.A.; Ashraf, M.; Alyemeni, M.N.; Ahmad, P. Exogenously supplied silicon (Si) improves cadmium tolerance in pepper (Capsicum annuum L.) by up-regulating the synthesis of nitric oxide and hydrogen sulfide. J. Biotechnol. 2020, 10, 35–45. [Google Scholar] [CrossRef] [PubMed]
- Pu, G.; Zhang, D.; Zeng, D.; Xu, G.; Huang, Y. Accumulation of cadmium and its effects on physiological characteristics in Coix lacryma-jobi l. Bangladesh J. Bot. 2017, 46, 1071–1077. [Google Scholar]
- Kim, D.J.; Kang, B.S.; Le, J.H. Comparative Uptake and Translocation of Thallium in Selected Plant Species Grown in Artificially Contaminated Soils. Korean Soc. Soil Sci. Fert. 2021, 54, 347–358. [Google Scholar] [CrossRef]
- Buendía-Valverde, M.; Gómez-Merino, F.C.; Corona-Torres, T.; Cruz-Izquierdo, S.; Mateo-Nava, R.A.; Trejo-Tellez, L.I. Thallium Differentially Affects Macronutrients Concentration and Stoichiometric Ratios with Nitrogen in the Leaves of Chili Pepper Varieties. Water Air Soil Pollut. 2022, 233, 201. [Google Scholar] [CrossRef]
- Rehman, S.; Abbas, G.; Shahid, M.; Saqib, M.; Umer Farooq, A.B.; Hussain, M.; Murtaza, B.; Amjad, M.; Naeem, M.A.; Farooq, A. Effect of salinity on cadmium toler- ance, ionic homeostasis and oxidative stress responses in conocarpus exposed to cadmium stress: Implications for phytoremediation. Ecotoxicol. Environ. Saf. 2019, 171, 146–153. [Google Scholar] [CrossRef] [PubMed]
- Rai, V. Role of Amino Acids in Plant Responses to Stresses. Biol. Plant. 2002, 45, 481–487. [Google Scholar] [CrossRef]
- Sharma, S.S.; Dietz, K.J. The significance of amino acids and amino acid-derived molecules in plant responses and adaptation to heavy metal stress. J. Exp. Bot. 2006, 57, 711–726. [Google Scholar] [CrossRef]
- Hildebrandt, T.M. Synthesis versus degradation: Directions of amino acid metabolism during Arabidopsis abiotic stress response. Plant Mol. Biol. 2018, 98, 121–135. [Google Scholar] [CrossRef] [PubMed]
- Khan, N.; Ali, S.; Zandi, P.; Mehmood, A.; Ullah, S.; Ikram, M.; Ismail, M.A.S.; Babar, M.A. Role of sugars, amino acids and organic acids in improving plant abiotic stress tolerance. Pakistan J. Bot. 2020, 52, 355–363. [Google Scholar] [CrossRef]
- Hou, W.; Chen, X.; Song, G.; Wang, Q.; Chi Chang, C. Effects of copper and cadmium on heavy metal polluted waterbody restoration by duckweed (Lemna minor). Plant Physiol. Biochem. 2007, 45, 62–69. [Google Scholar] [CrossRef]
- El-Amier, Y.; Elhindi, K.; El-Hendawy, S.; Al-Rashed, S.; Abd-ElGawad, A. Antioxidant System and Biomolecules Alteration in Pisum sativum under Heavy Metal Stress and Possible Alleviation by 5-Aminolevulinic Acid. Molecules 2019, 24, 4194. [Google Scholar] [CrossRef]
- Bari, M.A.; Prity, S.A.; Das, U.; Akther, M.S.; Sajib, S.A.; Reza, M.A.; Kabir, A.H. Silicon induces phytochelatin and ROS scavengers facilitating cadmium detoxification in rice. Plant Biol. 2020, 22, 472–479. [Google Scholar] [CrossRef]
- Umer Chattha, M.; Arif, W.; Khan, I.; Soufan, W.; Bilal Chattha, M.; Hassan, M.U.; Ullah, N.; Sabagh, A.E.; Qari, S.H. Mitigation of Cadmium Induced Oxidative Stress by Using Organic Amendments to Improve the Growth and Yield of Mash Beans [Vigna mungo (L.)]. Agronomy 2021, 11, 2152. [Google Scholar] [CrossRef]
- Simkin, A.J.; Moreau, H.; Kuntz, M.; Pagny, G.; Lin, C.; Tanksley, S.; McCarthy, J. An investigation of carotenoid biosynthesis in Coffea canephora and Coffea arabica. J. Plant Physiol. 2008, 165, 1087–1106. [Google Scholar] [CrossRef] [PubMed]
- Di Toppi, L.S.; Castagna, A.; Andreozzi, E.; Careri, M.; Predieri, G.; Vurro, E.; Ranieri, A. Occurrence of differentinter-varietal and inter-organ defence strategies towards supra-optimal zinc concentrations in two cultivars of Triticum aestivum L. Environ. Exp. Bot. 2009, 66, 220–229. [Google Scholar] [CrossRef]
- Chai, L.Y.; Wang, Y.; Yang, Z.H.; Mubarak, H.; Mirza, N. Physiological characteristics of Ficus tikoua under antimony stress. T. Nonferr. Metal Soc. 2017, 27, 939–945. [Google Scholar] [CrossRef]
- Palm, E.; Nissim, W.G.; Giordano, C.; Mancuso, S.; Azzarello, E. Root potassium and hydrogen flux rates as potential indicators of plant response to zinc, copper and nickel stress. Environ. Exp. Bot. 2017, 143, 38–50. [Google Scholar] [CrossRef]
- Zhou, X.; Sun, C.; Zhu, P.; Liu, F. Effects of antimony stress on photosynthesis and growth of Acorus calamus. Front. Plant Sci. 2018, 9, 579. [Google Scholar] [CrossRef]
- Murchie, E.H.; Lawson, T. Chlorophyll fluorescence analysis: A guide to good practice and understanding some new applications. J. Exp. Bot. 2013, 64, 3983–3998. [Google Scholar] [CrossRef]
- Yamada, M.; Hidaka, T.; Fukamachi, H. Heat tolerance in leaves of tropical fruit crops as measured by chlorophyll fluorescence. Sci. Hortic. 1996, 67, 39–48. [Google Scholar] [CrossRef]
- Puteh, A.; Saragih, A.A.; Ismail, M.R.; Mondal, M.M.A. Chlorophyll fluorescence parameters of cultivated (Oryza sativa L. ssp. indica) and weedy rice (Oryza sativa L. var. nivara) genotypes under water stress. Aust. J. Crop Sci. 2013, 7, 1277–1283. [Google Scholar]
- Roháček, K. Chlorophyll fluorescence parameters: The definitions, photosynthetic meaning, and mutual relationships. Photosynthetica 2002, 40, 13–29. [Google Scholar] [CrossRef]
- Tezera, W.; Mitchell, V.; Driscoll, S.P.; Lawlor, D.W. Effects of water deficit and its interaction with CO2 supply on the biochemistry and physiology of photosynthesis in sunflower. J. Exp. Bot. 2002, 53, 1781–1791. [Google Scholar] [CrossRef] [PubMed]
- Borkowska, B. Growth and photosynthetic activity of micropropagated strawberry plants inoculated with endomycorrhizal fungi (AMF) and growing under drought stress. Acta. Physiol. Plant. 2002, 24, 365–370. [Google Scholar] [CrossRef]
- Šírová, K.; Vaculík, M. Toxic effects of cadmium on growth of Aloe ferox Mill. S. Afr. J. Bot. 2022, 147, 1181–1187. [Google Scholar] [CrossRef]
- Zhao, H.; Guan, J.; Liang, Q.; Zhang, X.; Hu, H.; Zhang, J. Effects of cadmium stress on growth and physiological characteristics of sassafras seedlings. Sci. Rep. 2021, 11, 1–11. [Google Scholar] [CrossRef]
- Yeboah, A.; Lu, J.; Gu, S.; Liu, H.; Shi, Y.; Amoanimaa-Dede, H.; Agyenim-Boateng, K.G.; Payne, J.; Yin, X. Evaluation of two wild castor (Ricinus communis L.) accessions for cadmium tolerance in relation to antioxidant systems and lipid peroxidation. Environ. Sc.i Pollut. Res. 2021, 28, 55634–55642. [Google Scholar] [CrossRef]
- Corpas, F.J.; González-Gordo, S.; Cañas, A.; Palma, J.M. Nitric oxide and hydrogen sulfide in plants: Which comes first? J. Exp. Bot. 2019, 70, 4391–4404. [Google Scholar] [CrossRef] [PubMed]
- Muñoz-Vargas, M.A.; González-Gordo, S.; Palma, J.M.; Corpas, F.J. Inhibition of NADP-malic enzyme activity by H2S and NO in sweet pepper (Capsicum annuum L.) fruits. Physiol. Plant. 2020, 168, 278–288. [Google Scholar] [CrossRef]
- Ortega, A.; Garrido, I.; Casimiro, I.; Espinosa, F. Effects of antimony on redox activities and antioxidant defence systems in sunflower (Helianthus annuus L.) plants. PLoS ONE 2017, 12, e0183991. [Google Scholar] [CrossRef]
- Rodríguez-Serrano, M.; Romero-Puertas, M.C.; Pazmiño, D.M.; Testillano, P.S.; Risueño, M.C.; Del Río, L.A.; Sandalio, L.M. Cellular response of pea plants to cadmium toxicity: Cross talk between reactive oxygen species, nitric oxide, and calcium. Plant Physiol. 2009, 150, 229–243. [Google Scholar] [CrossRef]
- Rodríguez-Ruiz, M.; Aparicio-Chacón, M.V.; Palma, J.M.; Corpas, F.J. Arsenate disrupts ion balance, sulfur and nitric oxide metabolisms in roots and leaves of pea (Pisum sativum L.) plants. Environ. Exp. Bot. 2019, 161, 143–156. [Google Scholar] [CrossRef]
- Wei, L.; Zhang, M.; Wei, S.; Zhang, J.; Wang, C.; Liao, W. Roles of nitric oxide in heavy metal stress in plants: Cross-talk with phytohormones and protein S-nitrosylation. Environ. Pollut. 2020, 259, 113943. [Google Scholar] [CrossRef]
- Fang, H.; Liu, Z.; Long, Y.; Liang, Y.; Jin, Z.; Zhang, L.; Liu, D.; Li, H.; Zhai, J.; Pei, Y. The Ca2+ /calmodulin2-binding transcription factor TGA3 elevates LCD expression and H2 S production to bolster Cr6+ tolerance in Arabidopsis. Plant J. 2017, 91, 1038–1050. [Google Scholar] [CrossRef] [PubMed]
- Arif, M.S.; Yasmeen, T.; Abbas, Z.; Ali, S.; Rizwan, M.; Aljarba, N.H.; Alkahtani, S.; Abdel-Daim, M.M. Role of Exogenous and Endogenous Hydrogen Sulfide (H2S) on Functional Traits of Plants Under Heavy Metal Stresses: A Recent Perspective. Front Plant Sci. 2021, 11, 545453. [Google Scholar] [CrossRef] [PubMed]
- Nanda, R.; Agrawal, V. Elucidation of zinc and copper induced oxidative stress, DNA damage and activation of defence system during seed germination in Cassia angustifolia Vahl. Environ. Exp. Bot. 2016, 125, 31–41. [Google Scholar] [CrossRef]
- Noctor, G.; Reichheld, J.P.; Foyer, C.H. ROS-related redox regulation and signaling in plants. Semin. Cell Dev. Biol. 2018, 80, 3–12. [Google Scholar] [CrossRef] [PubMed]
- Begara-Morales, J.C.; Sánchez-Calvo, B.; Chaki, M.; Valderrama, R.; Mata-Pérez, C.; López-Jaramillo, J.; Padilla, M.N.; Carreras, A.; Corpas, F.J.; Barroso, J.B. Dual regulation of cytosolic ascorbate peroxidase (APX) by tyrosine nitration and S-nitrosylation. J. Exp. Bot. 2014, 65, 527–538. [Google Scholar] [CrossRef]
- Palma, J.M.; Mateos, R.M.; López-Jaramillo, J.; Rodríguez-Ruiz, M.; González-Gordo, S.; Lechuga-Sancho, A.; Corpas, F.J. Plant catalases as NO and H2S targets. Redox Biol. 2020, 34, 101525. [Google Scholar] [CrossRef]
- Kaya, C.; Ashraf, M.; Alyemeni, M.N.; Corpas, F.J.; Ahmad, P. Salicylic acid-induced nitric oxide enhances arsenic toxicity tolerance in maize plants by upregulating the ascorbate-glutathione cycle and glyoxalase system. J. Hazard. Mater. 2020, 399, 123020. [Google Scholar] [CrossRef]
- Hasanuzzaman, M.; Nahar, K.; Anee, T.I.; Fujita, M. Exogenous Silicon Attenuates Cadmium-Induced Oxidative Stress in Brassica napus L. by Modulating AsA-GSH Pathway and Glyoxalase System. Front. Plant Sci. 2017, 8, 1061. [Google Scholar] [CrossRef] [PubMed]
- Prasad, K.V.S.K.; Paradha Saradhi, P.; Sharmila, P. Concerted action of antioxidant enzymes and curtailed growth under zinc toxicity in Brassica juncea. Environ. Exp. Bot. 1999, 42, 1–10. [Google Scholar] [CrossRef]
- Kocsy, G.; Brunold, C. Role of glutathione in adaptation and signalling during chilling and cold acclimation in plants. Physiol. Plant. 2001, 113, 158–164. [Google Scholar] [CrossRef] [PubMed]


| Treatments | Length (cm) | FW (g) | DW (g) | % DW | ||||
|---|---|---|---|---|---|---|---|---|
| Roots | Shoots | Roots | Shoots | Roots | Shoots | Roots | Shoots | |
| Control | 46.29 ± 2.33a | 17.21 ± 1.89a | 2.135 ± 0.332a | 4.603 ± 0.495a | 0.181 ± 0.010a | 0.690 ± 0.047a | 6.47 ± 0.15b | 11.78 ± 0.29c |
| 10 µM Tl | 18.10 ± 2.08b | 6.55 ± 0.81b | 0.532 ± 0.077b | 1.267 ± 0.132b | 0.079 ± 0.004b | 0.237 ± 0.032b | 10.05 ± 0.38a | 18.03 ± 0.50b |
| 50 µM Tl | 19.90 ± 1.32b | 6.27 ± 0.50b | 0.520 ± 0.075b | 1.094 ± 0.113c | 0.072 ± 0.008b | 0.230 ± 0.031b | 9.81 ± 0.73a | 17.62 ± 0.87b |
| 100 µM Tl | 19.25 ± 1.68b | 5.67 ± 0.43b | 0.500 ± 0.053b | 0.845 ± 0.055d | 0.046 ± 0.009c | 0.183 ± 0.036c | 7.20 ± 0.97b | 22.16 ± 1.07a |
| Treatments | Tl (mg kg−1 DW) | BF | TF | ||
|---|---|---|---|---|---|
| Roots | Shoots | Roots | Shoots | ||
| Control | 1.9d | nd | nd | nd | nd |
| 10 µM Tl | 2286.0 ± 378.2c | 374.7 ± 48.9b | 571a | 93a | 0.163a |
| 50 µM Tl | 7991.2 ± 786.0b | 623.9 ± 89.5a | 399b | 31b | 0.078b |
| 100 µM Tl | 14,035.7 ± 634.9a | 601.1 ± 121.0a | 351b | 15c | 0.043c |
| Treatments | K (mg kg−1 DW) | Mg (mg kg−1 DW) | Ca (mg kg−1 DW) | |||||
| Roots | Shoots | Roots | Shoots | Roots | Shoots | |||
| Control | 84,014.1 ± 27,699.2a | 96,366.0 ± 31,295.4a | 34,884.6 ± 2213.3a | 6093.3 ± 1696.1a | 44,796.5 ± 10,631.2ab | 14,465.0 ± 3990.8a | ||
| 10 µM Tl | 75,916.4 ± 29,047.9a | 61,058.8 ± 17,123.4a | 11,205.2 ± 4113.9b | 4863.9 ± 782.5b | 21,418.2 ± 5794.7c | 15,267.4 ± 3134.7a | ||
| 50 µM Tl | 58,217.0 ± 20,738.0b | 61,336.0 ± 21,882.6a | 12,748.7 ± 5783.5b | 4729.2 ± 918.6b | 35,963.2 ± 10626.0b | 14,249.8 ± 2799.5a | ||
| 100 µM Tl | 50,594.4 ± 21,353.5b | 72,777.5 ± 32,277.6a | 13,252.0 ± 4551.0b | 5813.6 ± 1731.1a | 57413.1 ± 10,935.5a | 16,019.9 ± 5930.9a | ||
| Treatments | Fe (mg kg−1 DW) | Mn (mg kg−1 DW) | Cu (mg kg−1 DW) | Zn (mg kg−1 DW) | ||||
| Roots | Shoots | Roots | Shoots | Roots | Shoots | Roots | Shoots | |
| Control | 5466.5 ± 3559.0a | 134.9 ± 68.2a | 882.2 ± 131.3c | 55.3 ± 5.0c | 45.7 ± 12.5 | 12.1 ± 2.8a | 52.7 ± 20.7b | 38.7 ± 7.8 |
| 10 µM Tl | 2530.1 ± 1131.4b | 151.2 ± 75.8a | 1450.3 ± 694.1a | 225.9 ± 93.9a | 41.9 ± 12.5 | 8.4 ± 2.6b | 83.2 ± 35.8ab | 51.2 ± 17.9a |
| 50 µM Tl | 3031.6 ± 1149.0b | 111.6 ± 69.0b | 1083.1 ± 128.5b | 144.6 ± 69.8b | 51.2 ± 17.3 | 8.3 ± 4.0b | 103.0 ± 32.6a | 47.0 ± 23.9ab |
| 100 µM Tl | 4134.8 ± 1034.3a | 84.1 ± 39.5b | 1345.4 ± 17.3a | 172.6 ± 72.3a | 74.4 ± 15.5a | 8.3 ± 2.6b | 161.7 ± 56.5a | 53.8 ± 23.4a |
| Treatments | Total Soluble Amino Acids (mg g−1 FW) | Total Proteins (mg g−1 FW) | ||
|---|---|---|---|---|
| Roots | Leaves | Roots | Leaves | |
| Control | 2.375 ± 0.517b | 2.540 ± 0.236b | 2.12 ± 0.18a | 2.82 ± 0.43a |
| 10 µM Tl | 4.176 ± 0.461a | 10.816 ± 1.628a | 2.39 ± 0.07a | 1.60 ± 0.17c |
| 50 µM Tl | 4.439 ± 0.665a | 10.171 ± 0.920a | 1.77 ± 0.16b | 1.90 ± 0.12b |
| 100 µM Tl | 4.459 ± 0.759a | 11.192 ± 1.015a | 1.25 ± 0.28c | 1.82 ± 0.21b |
Disclaimer/Publisher’s Note: The statements, opinions and data contained in all publications are solely those of the individual author(s) and contributor(s) and not of MDPI and/or the editor(s). MDPI and/or the editor(s) disclaim responsibility for any injury to people or property resulting from any ideas, methods, instructions or products referred to in the content. |
© 2023 by the authors. Licensee MDPI, Basel, Switzerland. This article is an open access article distributed under the terms and conditions of the Creative Commons Attribution (CC BY) license (https://creativecommons.org/licenses/by/4.0/).
Share and Cite
Espinosa, F.; Ortega, A.; Espinosa-Vellarino, F.L.; Garrido, I. Effect of Thallium(I) on Growth, Nutrient Absorption, Photosynthetic Pigments, and Antioxidant Response of Dittrichia Plants. Antioxidants 2023, 12, 678. https://doi.org/10.3390/antiox12030678
Espinosa F, Ortega A, Espinosa-Vellarino FL, Garrido I. Effect of Thallium(I) on Growth, Nutrient Absorption, Photosynthetic Pigments, and Antioxidant Response of Dittrichia Plants. Antioxidants. 2023; 12(3):678. https://doi.org/10.3390/antiox12030678
Chicago/Turabian StyleEspinosa, Francisco, Alfonso Ortega, Francisco L. Espinosa-Vellarino, and Inmaculada Garrido. 2023. "Effect of Thallium(I) on Growth, Nutrient Absorption, Photosynthetic Pigments, and Antioxidant Response of Dittrichia Plants" Antioxidants 12, no. 3: 678. https://doi.org/10.3390/antiox12030678
APA StyleEspinosa, F., Ortega, A., Espinosa-Vellarino, F. L., & Garrido, I. (2023). Effect of Thallium(I) on Growth, Nutrient Absorption, Photosynthetic Pigments, and Antioxidant Response of Dittrichia Plants. Antioxidants, 12(3), 678. https://doi.org/10.3390/antiox12030678

