Low Levels of Vitamin C during Pregnancy; a Risk Marker of Progression of Diabetic Retinopathy in Type 1 Diabetic Women?
Abstract
1. Introduction
2. Materials and Methods
2.1. Ophthalmological Examination
2.2. Vitamin C Measurements
2.3. Data Editing and Statistical Analysis
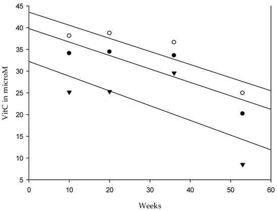
3. Results
4. Discussion
5. Conclusions
Author Contributions
Funding
Institutional Review Board Statement
Informed Consent Statement
Data Availability Statement
Conflicts of Interest
References
- The Diabetes Control and Complications Trial Research Group. Effect of pregnancy on microvascular complications in the diabetes control and complications trial. Diabetes Care 2000, 23, 1084–1091. [Google Scholar] [CrossRef] [PubMed]
- Klein, R.; Klein, B.E.; Moss, S.E.; Davis, M.D.; DeMets, D.L. The Wisconsin epidemiologic study of diabetic retinopathy. II. Prevalence and risk of diabetic retinopathy when age at diagnosis is less than 30 years. Arch. Ophthalmol. 1984, 102, 520–526. [Google Scholar] [CrossRef]
- Hainsworth, D.P.; Aiello, I.B.L.P.; Sivitz, W.; Gubitosi-Klug, R.; Malone, J.; White, N.H.; Danis, R.; Wallia, A.; Gao, X.; Barkmeier, A.J.; et al. Risk Factors for Retinopathy in Type 1 Diabetes. Diabetes Care 2019, 42, 875–882. [Google Scholar] [CrossRef]
- Klein, B.E.; Moss, S.E.; Klein, R. Effect of Pregnancy on Progression of Diabetic Retinopathy. Diabetes Care 1990, 13, 34–40. [Google Scholar] [CrossRef]
- Rahman, W.; Rahman, F.Z.; Yassin, S.; Al-Suleiman, S.; Rahman, J. Progression of retinopathy during pregnancy in type 1 diabetes mellitus. Clin. Exp. Opthalmol. 2007, 5, 231–236. [Google Scholar] [CrossRef]
- Kaaja, R.; Loukovaara, S. Progression of retinopathy in type 1 diabetic women during pregnancy. Review. Curr. Diabetes Rev. 2007, 3, 85–93. [Google Scholar] [CrossRef] [PubMed]
- Morrison, J.L.; Hodgson, L.A.; Lim, L.; Al-Quereshi, S. Diabetic retinopathy in pregnancy: A review. Clin. Exp. Ophthalmol. 2016, 44, 321–334. [Google Scholar] [CrossRef] [PubMed]
- Phelps, R.L.; Sakol, P.; Metzger, B.E.; Jampol, L.M.; Freinkel, N. Changes in diabetic retinopathy during pregnancy correlations with regulation of hyperglycemia. Arch. Opthalmol. 1986, 104, 1806–1810. [Google Scholar] [CrossRef]
- Temple, R.C.; Aldrigde, V.A.; Sampson, M.J.; Greenwood, R.H.; Heyburn, P.J.; Glenn, A. Impact of pregnancy on the progression of diabetic retinopathy in Type 1 diabetes. Diabetes Care 2000, 23, 1084–1091. [Google Scholar] [CrossRef]
- May, J.M.; Jayagopal, A.; Qu, Z.; Parker, W.H. Ascorbic acid prevents high glucose-induced apoptosis in human brain pericytes. Biochem. Biophys. Res. Commun. 2014, 452, 112–117. [Google Scholar] [CrossRef]
- Frei, B.; Stocker, R.; England, L.; Ames, B.N. Ascorbate: The most effective antioxidant in human blood plasma. Ad. Exp. Med. Biol. 1990, 264, 155–163. [Google Scholar] [CrossRef]
- Lopes de Jesus, C.C.; Atallah, Á.N.; Valente, O.; Fernandes, M.T.V. Vitamin C and superoxide dismutase (SOD) for diabetic retinopathy. Cochrane Database Syst. Rev. 2008, 1, CD006695. [Google Scholar] [CrossRef]
- Lechner, J.; O’Leary, O.E.; Stitt, A.W. The pathology associated with diabetic retinopathy. Vis. Res. 2017, 139, 7–14. [Google Scholar] [CrossRef] [PubMed]
- Park, S.W.; Ghim, W.; Oh, S.; Kim, Y.; Park, U.C.; Kang, J.; Yu, H.G. Association of vitreous vitamin C depletion with diabetic macular ischemia in proliferative diabetic retinopathy. PLoS ONE 2019, 14, e0218433. [Google Scholar] [CrossRef] [PubMed]
- Jacob, R.A.; Otradovec, C.L.; Russell, R.M.; Munro, H.N.; Hartz, S.C.; McGandy, R.B.; Morrow, F.D.; Sadowski, J.A. Vitamin C status and nutrient interactions in a healthy elderly population. Am. J. Clin. Nutr. 1988, 48, 1436–1442. [Google Scholar] [CrossRef]
- Sinclair, A.J.; Girling, A.J.; Gray, L.; Le Guen, C.; Lunec, J.; Barnett, A.H. Disturbed handling of ascorbic acid in diabetic patients with and without microangiopathy during high dose ascorbate supplementation. Diabetologia 1991, 34, 171–175. [Google Scholar] [CrossRef]
- Harding, A.-H.; Wareham, N.J.; Bingham, S.A.; Khaw, K.T.; Luben, R.; Welch, A.; Forouhi, N.G. Plasma Vitamin C Level, Fruit and Vegetable Consumption, and the Risk of New-Onset Type 2 Diabetes Mellitus: The European prospective investigation of cancer—Norfolk prospective study. Arch. Intern. Med. 2008, 168, 1493–1499. [Google Scholar] [CrossRef] [PubMed]
- Will, J.C.; Ford, E.S.; Bowman, B.A. Serum vitamin C concentrations and diabetes: Findings from the Third National Health and Nutrition Examination Survey, 1988-1994. Am. J. Clin. Nutr. 1999, 70, 49–52. [Google Scholar] [CrossRef]
- Will, J.C.; Byers, T. Does diabetes mellitus increase the requirement for vitamin C? Nutr. Rev. 1996, 54, 193–202. [Google Scholar] [CrossRef]
- Wang, Y.Z.; Ren, W.H.; Liao, W.Q.; Zhang, G.Y. Concentrations of antioxidant vitamins in maternal and cord serum and their effect on birth outcomes. J. Nutr. Sci. Vitaminol. 2009, 55, 1–8. [Google Scholar] [CrossRef]
- Scaife, A.R.; McNeill, G.; Campbell, D.M.; Martindale, S.; Devereux, G.; Seaton, A. Maternal intake of antioxidant vitamins in pregnancy in relation to maternal and fetal levels at delivery. Br. J. Nutr. 2006, 95, 771–778. [Google Scholar] [CrossRef] [PubMed]
- Mason, M.; Rivers, J.M. Plasma ascorbic levels in pregnancy. Am. J. Obstet. Gynecol. 1971, 109, 960–961. [Google Scholar] [CrossRef] [PubMed]
- Juhl, B.; Lauszus, F.F.; Lykkesfeldt, J. Is Diabetes Associated with Lower Vitamin C Status in Pregnant Women? A Prospective Study. Int. J. Vitam. Nutr. Res. 2016, 86, 184–189. [Google Scholar] [CrossRef]
- McCance, D.R.; Holmes, V.A.; Maresh, M.; Patterson, C.C.; Walker, J.D.; Pearson, D.; Young, I.S. Vitamin C and E for prevention of pre-eclampsia in women with type 1 diabetes (DAPIT): A randomized placebo-controlled trial. Lancet 2010, 376, 259–266. [Google Scholar] [CrossRef] [PubMed]
- Early Treatment for Diabetic Retinopathy Study Group. Fundus photographic risk factors for progression of diabetic retinopathy. Ophthalmology 1991, 98, 823–833. [Google Scholar] [CrossRef]
- Wilkinson, C.P.; Ferris, F.L., III; Klein, R.E.; Lee, P.P.; Agardh, C.D.; Davis, M.; Dills, D.; Kampik, A.; Pararajasegaram, R.; Verdaguer, J.; et al. Proposed international clinical diabetic retinopathy and diabetic macular edema disease severity scales. Ophthalmology 2003, 110, 1677–1682, Presented at the American Academy of Ophthalmology Annual Meeting: International Clinical Classification of Diabetic Retinopathy, Orlando, Florida, October 2002. Global Diabetic Retinopathy Project Group. [Google Scholar] [CrossRef]
- Lee, W.; Hamernyik, P.; Hutchinson, M.; Raisys, V.A.; Labbé, R.F. Ascorbic acid in lymphocytes: Cell preparation and liquid-chromatographic assay. Clin. Chem. 1982, 28, 2165–2169. [Google Scholar] [CrossRef] [PubMed]
- Gorkom, G.; van Gijs, B.; Ververs, E.-J.; Molla, A.H.; Sarodnik, C.; Riess, C.; Wodzig, W.; Bos, G.; Van Elssen, C. Easy-to-Use HPLC methods to measure intracellular ascorbic acid in human peripheral blood mononuclear cells and in plasma. Antioxidants 2022, 11, 134. [Google Scholar] [CrossRef] [PubMed]
- Diabetes Control and Complications Trial/Epidemiology of Diabetes Interventions and Complications Research Group; Lachin, J.; Genuth, S.; Cleary, P.; Davis, M.; Nathan, D. Clinical Trial Retinopathy and nephropathy in patients with type 1 diabetes four years after a trial of intensive therapy. N. Engl. J. Med. 2000, 342, 381–389. [Google Scholar]
- Juhl, B.; Klein, F.; Christiansen, J.S. Vitamin C treatment reduces transcapillary escape rate of albumin in type 1 diabetes. Eur. J. Intern. Med. 2004, 15, 428–435. [Google Scholar] [CrossRef] [PubMed]
- Mrugacz, M.; Bryl, A.; Zorena, K. Retinal Vascular Endothelial Cell Dysfunction and Neuroretinal Degeneration in Diabetic patient. J. Clin. Med. 2021, 10, 458. [Google Scholar] [CrossRef] [PubMed]
- McMillan, D.E. Development of vascular complications in diabetes. Vasc. Med. 1997, 2, 32–42. [Google Scholar] [CrossRef]
- Drexler, H. Nitric oxide and coronary endothelial dysfunction in humans. Cardiovasc. Res. 1999, 43, 572–579. [Google Scholar] [CrossRef] [PubMed]
- Timimi, F.K.; Ting, H.H.; Haley, E.A.; Roddy, M.A.; Ganz, P.; Creager, M.A. Vitamin C improves endothelium-dependent vasodilation in patients with insulin-dependent diabetes mellitus. J. Am. Coll. Cardiol. 1998, 31, 552–557. [Google Scholar] [CrossRef]
- Nakagawa, T.; Sato, W.; Sautin, Y.Y.; Glushakova, O.; Croker, B.; Atkinson, M.A.; Tisher, C.C.; Johnson, R.J. Uncoupling of vascular endothelial growth factor with nitric oxide as a mechanism for diabetic vasculopathy. J. Am. Soc. Nephrol. 2006, 17, 736–745. [Google Scholar] [CrossRef]
- Muller-Delp, J.M. Ascorbic acid and tetrahydrobiopterin: Looking beyond nitric oxide bioavailability. Cardiovasc. Res. 2009, 84, 178–179. [Google Scholar] [CrossRef] [PubMed]
- Mortensen, A.; Lykkesfeldt, J. Does vitamin C enhance nitric oxide bioavailability in a tetrahydrobiopterin-dependent manner? In vitro, in vivo and clinical studies. Nitric Oxide 2014, 36, 51–57. [Google Scholar] [CrossRef]
- Singh, R.; Barden, A.; Mori, T.; Beilin, L. Advanced glycation end-products: A review. Diabetologia 2001, 44, 129–146. [Google Scholar] [CrossRef]
- Meredith, M.E.; Qu, Z.; May, J.M. Ascorbate reverses high glucose- and RAGE-induced leak of the endothelial permeability barrier. Biochem. Biophys Res. Commun. 2014, 445, 30–35. [Google Scholar] [CrossRef]
- Obrosova, I.G.; Minchenko, A.G.; Fathallah, L.; Kennedy, A.; Stockert, C.M.; Frank, R.N.; Stevens, M.J. Antioxidants attenuate early up regulation of retinal vascular endothelial growth factor in streptozocin-diabetic rats. Diabetologia 2001, 44, 1102–1110. [Google Scholar] [CrossRef]
- Ulker, E.; Parker, W.H.; Raj, A.; Qu, Z.; May, J.M. Ascorbic acid prevents VEGF-induced increases in endothelial barrier permeability. Mol. Cell. Biochem. 2016, 412, 73–79. [Google Scholar] [CrossRef]
- Witmer, A.N.; Vrensen, G.; Van Noorden, C.; Schlingemann, R.O. Vascular endothelial growth factors and angiogenesis in eye disease. Prog. Retin. Eye Res. 2003, 22, 1–29. [Google Scholar] [CrossRef] [PubMed]
- Wirostko, B.; Tien, Y.; Wong, T.Y.; Simo, R. Vascular endothelial growth factor and diabetic complications. Prog. Retin. Eye Res. 2008, 27, 608–621. [Google Scholar] [CrossRef] [PubMed]
- Cheung, N.; Mitchell, P.; Wong, T.Y. Diabetic retinopathy. Lancet 2010, 376, 124–136. [Google Scholar] [CrossRef] [PubMed]
- May, J.M. Ascorbic acid repletion: A possible therapy for diabetic macular edema? Free Radic Biol. Med. 2016, 94, 47–54. [Google Scholar] [CrossRef] [PubMed]

| Variable | n | Value |
|---|---|---|
| Age (y) | 29 | 29.3 (4.2) |
| Parity (n) | 29 | 1.5 (1–3.45) |
| Weight in 1st trimester (kg) | 29 | 64.5 (55.0–99.8) |
| Ht (cm) | 29 | 167.6 (6.2) |
| BMI in 1st trimester (kg/m2) | 29 | 24.0 (20.0–33.6) |
| Diabetes duration (y) | 29 | 13.3 (8.0) |
| Onset (y) | 29 | 15.9 (7.8) |
| HbA1c in 1st trimester (%) | 29 | 7.3 (0.9) |
| HbA1c in 3rd trimester (%) | 29 | 7.4 (1.2) |
| HbA1c 3 months postpartum (%) | 25 | 8.6 (1.4) |
| Creatinine Clearance at entry (mL/min) | 29 | 125.5 (24.0) |
| Creatinin Clearance 3rd trimester (mL/min) | 29 | 114.0 (26.9) |
| Retinopathy grade 0, 1, 2, 3, 4 entry (n) | 29 | 12/14/2/1/0 |
| Retinopathy grade 0, 1, 2, 3, 4 postpartum (n) | 29 | 8/15/6/0/0 |
| Systolic blood pressure at entry (mmHg) | 29 | 121.6 (9.3) |
| Diastolic blood pressure at entry (mmHg) | 29 | 72:5 (7.0) |
| Systolic blood pressure 3rd trimester (mmHg) | 29 | 125.4 (11.8) |
| Diastolic blood pressure 3rd trimester (mmHg) | 29 | 74.0 (64.2–92.2) |
| Systolic blood pressure 3rd trimester (mmHg) # | 25 | 122.0 (8.2) |
| Diastolic blood pressure 3rd trimester (mmHg) # | 25 | 74.6 (6.5) |
| Urine-albumin 1st trimester (mg/24 h) | 29 | 13.0 (4.6–721.8) |
| Urine-albumin 3rd trimester (mg/24 h) | 29 | 13.5 (5–959) |
| Urine-albumin 3rd trimmester (mg/24 h) # | 25 | 12.5 (5–677) |
| VitC in 1st trimester (µmol/L) | 29 | 34.1 (14.5) |
| VitC in 2nd trimester (µmol/L) | 25 | 30.9 (15.0–91.4) |
| VitC in late pregnancy (µmol/L) | 16 | 33.6 (13.8) |
| VitC mean of 1st and 2nd trimester (µmol/L) | 25 | 28.8 (16.4–73.0) |
| VitC mean of 1st, 2nd, 3rd trimester (µmol/L) | 16 | 33.6 (13.2) |
| VitC postpartum (µmol/L) | 7 | 10.9 (3.3–69.6) |
| VitC nonpregnant (µmol/L) @@ | 15 | 40.0 (17.8) |
| Smoker (n = yes/no) | 29 | 9/20 |
| Independent Variable | OR (95% CI) | n | p Value |
|---|---|---|---|
| VitC in 1st trimester | 1.6 (1.06–3.2) | 29 | 0.03 |
| VitC in combined 1st and 2nd trimester | 3.1 (0.97–5.3) | 25 | 0.06 |
| VitC in the whole pregnancy | 2.2 (0.89–5.78) | 16 | 0.08 |
| VitC Mean(SD) µmol/L | Progression of Retinopathy | No-Progression | p Value |
|---|---|---|---|
| 1st trimeter (n = 9/20) | 25.2 (10.3) | 38.1 (14.4) | 0.023 |
| Combined 1st and 2nd trimester (n = 7/18) | 24.8 (5.9) | 38.7 (15.6) | 0.033 |
| Mean of the whole pregnancy (n = 7/9) | 25.7 (7.8) # | 40.6 (15.5) | 0.036 |
| Postpartum (n = 2/5) | 8.5 (3.4) | 24.9 (26.7) | NS |
| Median vitC (31.1 µmol/L) | Progression | All Women | Fisher’s Exact Test | |
|---|---|---|---|---|
| Yes (n) | No (n) | |||
| Above ≥ | 2 | 13 | 15 | |
| Below < | 7 | 7 | 14 | |
| Total (n) | 9 | 20 | 29 | p = 0.05 |
Disclaimer/Publisher’s Note: The statements, opinions and data contained in all publications are solely those of the individual author(s) and contributor(s) and not of MDPI and/or the editor(s). MDPI and/or the editor(s) disclaim responsibility for any injury to people or property resulting from any ideas, methods, instructions or products referred to in the content. |
© 2023 by the authors. Licensee MDPI, Basel, Switzerland. This article is an open access article distributed under the terms and conditions of the Creative Commons Attribution (CC BY) license (https://creativecommons.org/licenses/by/4.0/).
Share and Cite
Juhl, B.; Klein, F.; Bek, T.; Petersen, L. Low Levels of Vitamin C during Pregnancy; a Risk Marker of Progression of Diabetic Retinopathy in Type 1 Diabetic Women? Antioxidants 2023, 12, 576. https://doi.org/10.3390/antiox12030576
Juhl B, Klein F, Bek T, Petersen L. Low Levels of Vitamin C during Pregnancy; a Risk Marker of Progression of Diabetic Retinopathy in Type 1 Diabetic Women? Antioxidants. 2023; 12(3):576. https://doi.org/10.3390/antiox12030576
Chicago/Turabian StyleJuhl, Bente, Flemming Klein, Toke Bek, and Line Petersen. 2023. "Low Levels of Vitamin C during Pregnancy; a Risk Marker of Progression of Diabetic Retinopathy in Type 1 Diabetic Women?" Antioxidants 12, no. 3: 576. https://doi.org/10.3390/antiox12030576
APA StyleJuhl, B., Klein, F., Bek, T., & Petersen, L. (2023). Low Levels of Vitamin C during Pregnancy; a Risk Marker of Progression of Diabetic Retinopathy in Type 1 Diabetic Women? Antioxidants, 12(3), 576. https://doi.org/10.3390/antiox12030576

