Influence of Simulated In Vitro Gastrointestinal Digestion on the Phenolic Profile, Antioxidant, and Biological Activity of Thymbra spicata L. Extracts
Abstract
:1. Introduction
2. Materials and Methods
2.1. Reagents and Enzymes
Sources and Activities of Enzymes
- α-Amylase from human saliva (A0521-500 units/mg). α-Amylase catalyzes the hydrolysis of α-1,4 glycosidic linkage in oligosaccharides.
- Pancreatin from porcine pancreas (P3292-100G). Pancreatin contains enzymatic components including trypsin, amylase and lipase, ribonuclease, and protease, produced by the exocrine cells of the porcine pancreas.
- Pepsin from pig gastric mucosa (≈2500 units/mg protein). Pepsin is an aspartic endproteinase used for the unspecific hydrolysis of proteins and peptides in acidic media.
2.2. Plant Collection
2.3. In Vitro Simulated Digestion
2.3.1. Oral Digestion
2.3.2. Gastric Digestion
2.3.3. Intestinal Digestion
2.3.4. Extract Preparation
2.4. Total Carbohydrate Content (TCC)
2.5. Total Protein Content (TPrC)
2.6. Total Phenol Quantification (TPC)
2.7. Total Flavonoid Quantification (TFC)
2.8. Total Hydroxycinnamic Acid Content (THAC)
2.9. HPLC–MS Analysis
2.10. Radical Scavenging Activity Assays
2.11. Ferric Reducing Antioxidant Power (FRAP) Assay
2.12. Cell Culture
2.13. Cell Proliferation Assay
2.14. Quantification of ROS Production
2.15. Quantification of Nitrite/Nitrate Levels
2.16. Statistical Analysis
3. Results
3.1. Characterization of T. spicata Extracts before and after Simulated Digestion
3.2. HPLC–MS Characterization of the Phenolic Compounds
3.3. Effect of Simulated Digestion on Antioxidant Proprieties
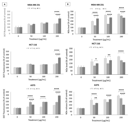
3.4. In Vivo Effects: Cytotoxic Activity and Oxidative Stress in Cancer Cells
4. Discussion
5. Conclusions
Author Contributions
Funding
Institutional Review Board Statement
Informed Consent Statement
Data Availability Statement
Acknowledgments
Conflicts of Interest
References
- Dillard, C.J.; German, J.B. Phytochemicals: Nutraceuticals and Human Health. J. Sci. Food Agric. 2000, 80, 1744–1756. [Google Scholar] [CrossRef]
- Bagherniya, M.; Nobili, V.; Blesso, C.N.; Sahebkar, A. Medicinal Plants and Bioactive Natural Compounds in the Treatment of Non-Alcoholic Fatty Liver Disease: A Clinical Review. Pharmacol. Res. 2018, 130, 213–240. [Google Scholar] [CrossRef] [PubMed]
- Medina-Remón, A.; Tresserra-Rimbau, A.; Pons, A.; Tur, J.A.; Martorell, M.; Ros, E.; Buil-Cosiales, P.; Sacanella, E.; Covas, M.I.; Corella, D.; et al. Effects of Total Dietary Polyphenols on Plasma Nitric Oxide and Blood Pressure in a High Cardiovascular Risk Cohort. The PREDIMED Randomized Trial. Nutr. Metab. Cardiovasc. Dis. 2015, 25, 60–67. [Google Scholar] [CrossRef] [PubMed]
- Wang, J.; Song, Y.; Gao, M.; Bai, X.; Chen, Z. Neuroprotective Effect of Several Phytochemicals and Its Potential Application in the Prevention of Neurodegenerative Diseases. Geriatrics 2016, 1, 29. [Google Scholar] [CrossRef]
- Liu, R.H. Potential Synergy of Phytochemicals in Cancer Prevention: Mechanism of Action. J. Nutr. 2004, 134, 3479S–3485S. [Google Scholar] [CrossRef]
- Khalil, M.; Rita Caponio, G.; Diab, F.; Shanmugam, H.; Di Ciaula, A.; Khalifeh, H.; Vergani, L.; Calasso, M.; De Angelis, M.; Portincasa, P. Unraveling the Beneficial Effects of Herbal Lebanese Mixture “Za’atar”. History, Studies, and Properties of a Potential Healthy Food Ingredient. J. Funct. Foods 2022, 90, 104993. [Google Scholar] [CrossRef]
- Heim, K.E.; Tagliaferro, A.R.; Bobilya, D.J. Flavonoid Antioxidants: Chemistry, Metabolism and Structure-Activity Relationships. J. Nutr. Biochem. 2002, 13, 572–584. [Google Scholar] [CrossRef]
- Lin, D.; Xiao, M.; Zhao, J.; Li, Z.; Xing, B.; Li, X.; Kong, M.; Li, L.; Zhang, Q.; Liu, Y.; et al. An Overview of Plant Phenolic Compounds and Their Importance in Human Nutrition and Management of Type 2 Diabetes. Molecules 2016, 21, 1374. [Google Scholar] [CrossRef]
- Dupont, D.; Alric, M.; Blanquet-Diot, S.; Bornhorst, G.; Cueva, C.; Deglaire, A.; Denis, S.; Ferrua, M.; Havenaar, R.; Lelieveld, J.; et al. Can Dynamic in Vitro Digestion Systems Mimic the Physiological Reality? Crit. Rev. Food Sci. Nutr. 2019, 59, 1546–1562. [Google Scholar] [CrossRef]
- Grgić, J.; Šelo, G.; Planinić, M.; Tišma, M.; Bucić-Kojić, A. Role of the Encapsulation in Bioavailability of Phenolic Compounds. Antioxidants 2020, 9, 923. [Google Scholar] [CrossRef]
- Carbonell-Capella, J.M.; Buniowska, M.; Barba, F.J.; Esteve, M.J.; Frígola, A. Analytical Methods for Determining Bioavailability and Bioaccessibility of Bioactive Compounds from Fruits and Vegetables: A Review. Compr. Rev. Food Sci. Food Saf. 2014, 13, 155–171. [Google Scholar] [CrossRef]
- Stanisavljević, N.; Samardžić, J.; Janković, T.; Šavikin, K.; Mojsin, M.; Topalović, V.; Stevanović, M. Antioxidant and Antiproliferative Activity of Chokeberry Juice Phenolics during in Vitro Simulated Digestion in the Presence of Food Matrix. Food Chem. 2015, 175, 516–522. [Google Scholar] [CrossRef]
- Ge, H.; Chen, Y.; Chen, J.; Tian, J.; Liang, X.; Chen, L. Evaluation of Antioxidant Activities of Ethanol Extract from Ligusticum Subjected to in-Vitro Gastrointestinal Digestion. Food Chem. Toxicol. 2018, 119, 417–424. [Google Scholar] [CrossRef]
- Khoury, M.; Stien, D.; Eparvier, V.; Ouaini, N.; El Beyrouthy, M. Report on the Medicinal Use of Eleven Lamiaceae Species in Lebanon and Rationalization of Their Antimicrobial Potential by Examination of the Chemical Composition and Antimicrobial Activity of Their Essential Oils. Evid. Based Complementary Altern. Med. 2016, 2016, 1–17. [Google Scholar] [CrossRef]
- Khalil, M.; Khalifeh, H.; Baldini, F.; Salis, A.; Damonte, G.; Daher, A.; Voci, A.; Vergani, L. Antisteatotic and Antioxidant Activities of Thymbra Spicata L. Extracts in Hepatic and Endothelial Cells as in Vitro Models of Non-Alcoholic Fatty Liver Disease. J. Ethnopharmacol. 2019, 239, 111919. [Google Scholar] [CrossRef]
- Cam, M.E.; Hazar-Yavuz, A.N.; Yildiz, S.; Ertas, B.; Ayaz Adakul, B.; Taskin, T.; Alan, S.; Kabasakal, L. The Methanolic Extract of Thymus Praecox Subsp. Skorpilii Var. Skorpilii Restores Glucose Homeostasis, Ameliorates Insulin Resistance and Improves Pancreatic β-Cell Function on Streptozotocin/Nicotinamide-Induced Type 2 Diabetic Rats. J. Ethnopharmacol. 2019, 231, 29–38. [Google Scholar] [CrossRef]
- Khalil, M.; Khalifeh, H.; Baldini, F.; Serale, N.; Parodi, A.; Voci, A.; Vergani, L.; Daher, A. Antitumor Activity of Ethanolic Extract from Thymbra Spicata L. Aerial Parts: Effects on Cell Viability and Proliferation, Apoptosis Induction, STAT3, and NF-KB Signaling. Nutr. Cancer 2021, 73, 1193–1206. [Google Scholar] [CrossRef]
- Dorman, H.J.D.; Bachmayer, O.; Kosar, M.; Hiltunen, R. Antioxidant Properties of Aqueous Extracts from Selected Lamiaceae Species Grown in Turkey. J. Agric. Food Chem. 2004, 52, 762–770. [Google Scholar] [CrossRef]
- Hanci, S.; Sahin, S.; Yılmaz, L. Isolation of Volatile Oil from Thyme (Thymbra Spicata) by Steam Distillation. Nahrung/Food 2003, 47, 252–255. [Google Scholar] [CrossRef]
- Minekus, M.; Alminger, M.; Alvito, P.; Ballance, S.; Bohn, T.; Bourlieu, C.; Carrière, F.; Boutrou, R.; Corredig, M.; Dupont, D.; et al. A Standardised Static in Vitro Digestion Method Suitable for Food—An International Consensus. Food Funct. 2014, 5, 1113–1124. [Google Scholar] [CrossRef] [Green Version]
- Larsen, B.; Salem, D.M.S.A.; Sallam, M.A.E.; Mishrikey, M.M.; Beltagy, A.I. Characterization of the Alginates from Algae Harvested at the Egyptian Red Sea Coast. Carbohydr. Res. 2003, 338, 2325–2336. [Google Scholar] [CrossRef]
- Bradford, M.M. A Rapid and Sensitive Method for the Quantitation of Microgram Quantities of Protein Utilizing the Principle of Protein-Dye Binding. Anal. Biochem. 1976, 72, 248–254. [Google Scholar] [CrossRef]
- Silva, D.B.; Turatti, I.C.C.; Gouveia, D.R.; Ernst, M.; Teixeira, S.P.; Lopes, N.P. Mass Spectrometry of Flavonoid Vicenin-2, Based Sunlight Barriers in Lychnophora Species. Sci. Rep. 2015, 4, 4309. [Google Scholar] [CrossRef]
- Arvouet-Grand, A.; Vennat, B.; Pourrat, A.; Legret, P. Standardization of Propolis Extract and Identification of Principal Constituents. J. Pharm. Belg. 1994, 49, 462–468. [Google Scholar]
- Custódio, L.; Silvestre, L.; Rocha, M.I.; Rodrigues, M.J.; Vizetto-Duarte, C.; Pereira, H.; Barreira, L.; Varela, J. Methanol Extracts from Cystoseira Tamariscifolia and Cystoseira Nodicaulis Are Able to Inhibit Cholinesterases and Protect a Human Dopaminergic Cell Line from Hydrogen Peroxide-Induced Cytotoxicity. Pharm. Biol. 2016, 54, 1687–1696. [Google Scholar] [CrossRef]
- Srinivasan, R.; Chandrasekar, M.J.N.; Nanjan, M.J.; Suresh, B. Antioxidant Activity of Caesalpinia Digyna Root. J. Ethnopharmacol. 2007, 113, 284–291. [Google Scholar] [CrossRef]
- Re, R.; Pellegrini, N.; Proteggente, A.; Pannala, A.; Yang, M.; Rice-Evans, C. Antioxidant Activity Applying an Improved ABTS Radical Cation Decolorization Assay. Free Radic. Biol. Med. 1999, 26, 1231–1237. [Google Scholar] [CrossRef]
- Firuzi, O.; Lacanna, A.; Petrucci, R.; Marrosu, G.; Saso, L. Evaluation of the Antioxidant Activity of Flavonoids by “Ferric Reducing Antioxidant Power” Assay and Cyclic Voltammetry. Biochim. Biophys. Acta-Gen. Subj. 2005, 1721, 174–184. [Google Scholar] [CrossRef]
- Hussain, R.F.; Nouri, A.M.E.; Oliver, R.T.D. A New Approach for Measurement of Cytotoxicity Using Colorimetric Assay. J. Immunol. Methods 1993, 160, 89–96. [Google Scholar] [CrossRef]
- Halliwell, B.; Whiteman, M. Measuring Reactive Species and Oxidative Damage in Vivo and in Cell Culture: How Should You Do It and What Do the Results Mean? Br. J. Pharmacol. 2004, 142, 231–255. [Google Scholar] [CrossRef]
- Green, L.C.; Wagner, D.A.; Glogowski, J.; Skipper, P.L.; Wishnok, J.S.; Tannenbaum, S.R. Analysis of Nitrate, Nitrite, and [15N]Nitrate in Biological Fluids. Anal. Biochem. 1982, 126, 131–138. [Google Scholar] [CrossRef]
- Habtemariam, S. Molecular Pharmacology of Rosmarinic and Salvianolic Acids: Potential Seeds for Alzheimer’s and Vascular Dementia Drugs. Int. J. Mol. Sci. 2018, 19, 458. [Google Scholar] [CrossRef] [PubMed]
- Guo, R.; Chang, X.; Guo, X.; Brennan, C.S.; Li, T.; Fu, X.; Liu, R.H. Phenolic Compounds, Antioxidant Activity, Antiproliferative Activity and Bioaccessibility of Sea Buckthorn (Hippophaë Rhamnoides L.) Berries as Affected by in Vitro Digestion. Food Funct. 2017, 8, 4229–4240. [Google Scholar] [CrossRef]
- Karaś, M.; Jakubczyk, A.; Szymanowska, U.; Złotek, U.; Zielińska, E. Digestion and Bioavailability of Bioactive Phytochemicals. Int. J. Food Sci. Technol. 2017, 52, 291–305. [Google Scholar] [CrossRef]
- Celep, E.; İnan, Y.; Akyüz, S.; Yesilada, E. The Bioaccessible Phenolic Profile and Antioxidant Potential of Hypericum Perfoliatum L. after Simulated Human Digestion. Ind. Crops Prod. 2017, 109, 717–723. [Google Scholar] [CrossRef]
- İnan, Y.; Kurt-Celep, I.; Akyüz, S.; Barak, T.H.; Celep, E.; Yesilada, E. An Investigation on the Enzyme Inhibitory Activities, Phenolic Profile and Antioxidant Potentials of Salvia Virgata Jacq. S. Afr. J. Bot. 2021, 143, 350–358. [Google Scholar] [CrossRef]
- Scrob, T.; Hosu, A.; Cimpoiu, C. The Influence of in Vitro Gastrointestinal Digestion of Brassica Oleracea Florets on the Antioxidant Activity and Chlorophyll, Carotenoid and Phenolic Content. Antioxidants 2019, 8, 212. [Google Scholar] [CrossRef]
- Thomas-Valdés, S.; Theoduloz, C.; Jiménez-Aspee, F.; Burgos-Edwards, A.; Schmeda-Hirschmann, G. Changes in Polyphenol Composition and Bioactivity of the Native Chilean White Strawberry (Fragaria Chiloensis Spp. Chiloensis f. Chiloensis) after in Vitro Gastrointestinal Digestion. Food Res. Int. 2018, 105, 10–18. [Google Scholar] [CrossRef]
- Pérez-Jiménez, J.; Díaz-Rubio, M.E.; Saura-Calixto, F. Non-Extractable Polyphenols, a Major Dietary Antioxidant: Occurrence, Metabolic Fate and Health Effects. Nutr. Res. Rev. 2013, 26, 118–129. [Google Scholar] [CrossRef]
- Saura-Calixto, F.; Serrano, J.; Goñi, I. Intake and Bioaccessibility of Total Polyphenols in a Whole Diet. Food Chem. 2007, 101, 492–501. [Google Scholar] [CrossRef]
- Ketnawa, S.; Reginio, F.C.; Thuengtung, S.; Ogawa, Y. Changes in Bioactive Compounds and Antioxidant Activity of Plant-Based Foods by Gastrointestinal Digestion: A Review. Crit. Rev. Food Sci. Nutr. 2021, 62, 4684–4705. [Google Scholar] [CrossRef]
- Xiao, Z.; Liu, W.; Mu, Y.; Zhang, H.; Wang, X.; Zhao, C.; Chen, J.; Liu, P. Pharmacological Effects of Salvianolic Acid B Against Oxidative Damage. Front. Pharmacol. 2020, 11, 572373. [Google Scholar] [CrossRef]
- Wen, L.; Zhao, Y.; Jiang, Y.; Yu, L.; Zeng, X.; Yang, J.; Tian, M.; Liu, H.; Yang, B. Identification of a Flavonoid C -Glycoside as Potent Antioxidant. Free Radic. Biol. Med. 2017, 110, 92–101. [Google Scholar] [CrossRef]
- Bacchetti, T.; Morresi, C.; Bellachioma, L.; Ferretti, G. Antioxidant and Pro-Oxidant Properties of Carthamus Tinctorius, Hydroxy Safflor Yellow A, and Safflor Yellow A. Antioxidants 2020, 9, 119. [Google Scholar] [CrossRef]
- Xia, W.; Lin, Y.; Gong, E.; Li, T.; Lian, F.; Zheng, B.; Liu, R. Wild Pink Bayberry Fruit: The Effect of in Vitro Gastrointestinal Digestion on Phytochemical Profiles, and Antioxidant and Antiproliferative Activities. Food Funct. 2021, 12, 2126–2136. [Google Scholar] [CrossRef]






| Volume (mL) | |||||||
|---|---|---|---|---|---|---|---|
| Simulated Digestion Fluid | pH | KCl (0.5 M) | KH2PO4 (0.5 M) | NaHCO3 (1 M) | NaCl (1.5 M) | MgCl2(H2O)6 (0.15 M) | Na2CO3 (0.5 M) |
| SSF | 7 | 15.1 | 3.7 | 6.8 | - | 0.5 | 0.06 |
| SGF | 3 | 6.9 | 0.9 | 12.5 | 11.8 | 0.4 | 0.5 |
| SIF | 7 | 6.6 | 0.8 | 42.5 | 9.6 | 1.1 | - |
| (A): Ethanolic Extract (TE) | ||||||||
| a | RT (min) | Measured m/z | MS/MS Fragments | Proposed Compound | TE Area (%) | TE-Dig Area (%) | TE Peak Area | TE-Dig Peak Area |
| 1 | 14.1 | 593 | 575, 503, 473, 383, 353 | Vicinin 2 | 0.34 | 2.89 | 46 | 137 |
| 2 | 14.5 | 303 | 285, 177, 125 | Dihydroquercetin (taxifolin) | 7.19 | 1.87 | 982 | 89 |
| 3 | 17.1 | 417 | 371, 287, 263 | Eriodictyol derivative | 8.69 | 2.84 | 1187 | 135 |
| 4 | 18.5 | 609 | 301 | Rutin | 2.04 | 4.04 | 278 | 192 |
| 5 | 19.1 | 359 | 223, 197, 179, 161, 133 | Rosmarinic acid | 5.73 | 10.53 | 782 | 500 |
| 6 | 19.7 | 287 | 269, 151, 135, 107 | Eriodictyol | 6.09 | 4.07 | 831 | 193 |
| 7 | 21.5 | 329 | 314 | Thymusin | 21.20 | 14.64 | 2894 | 695 |
| 8 | 23 | 285 | 257, 243, 151 | Apiginin | 0.85 | 0.63 | 116 | 30 |
| 9 | 22.8 | 269 | 201, 181, 149 | Luteolin | 6.64 | 2.40 | 906 | 114 |
| 10 | 23.3 | 343 | 328, 313, 300, 285 | Unknown | 0.97 | 0.93 | 132 | 44 |
| 11 | 24 | 165 | 149 | P-Cymene-2,3-diol | 2.23 | 1.14 | 305 | 54 |
| 12 | 24.3 | 343 | 328, 313 | Cirsilineol | 1.38 | 0.82 | 189 | 39 |
| 13 | 25.7 | – | – | Carvacrol | 34.81 | 52.94 | 4752 | 2513 |
| 14 | 27.3 | 329 | 314, 299, 286, 271 | 3,4,3′,4′-Tetrahydroxy-5,5′-diisopropyl-2,2′-dimethylbiphenyl | 1.85 | 0.25 | 253 | 12 |
| (B): Aqueous Extract (TW) | ||||||||
| a | RT (min) | Measured m/z | MS/MS fragments | Proposed Compound | TW Area (%) | TW-Dig Area (%) | TW Peak Area | TW-Dig Peak Area |
| 1 | 8.1 | 305 | 225 | Gallocatechin | 2.35 | 1.16 | 114 | 33 |
| 2 | 12.2 | 387 | 369, 225, 207, 163 | Tuberonic acid glucoside | 0.00 | 0.00 | 0 | 0 |
| 3 | 14 | 593 | 575, 503, 473, 383, 353 | Vicenin 2 | 5.68 | 8.40 | 275 | 239 |
| 4 | 15 | 637 | 461, 351, 285 | Luteolin-O-diglucuronide | 0.00 | 0.00 | 0 | 0 |
| 5 | 15.4 | 537 | 493, 339 | Salvalonic acid I | 19.51 | 42.27 | 945 | 1203 |
| 6 | 15.7 | 477 | 397, 373, 343, 301 | Quercetin-glucuronide | 0.00 | 0.00 | 0 | 0 |
| 7 | 16.3 | 595 | 473, 429, 287 | Eriodictyol-rutinoside | 0.62 | 2.14 | 30 | 61 |
| 8 | 16.5 | 623 | 433, 287 | Luteolin-glucuronide-hexoside | 0.23 | 0.88 | 11 | 25 |
| 9 | 17 | 717 | 537, 519, 475, 365, 339 | Salvalonic acid E\B | 1.94 | 3.34 | 94 | 95 |
| 10 | 17.4 | 461 | 285 | Luteolin 7-O-glucuronide | 0.00 | 0.00 | 0 | 0 |
| 11 | 17.6 | 593 | 285 | Luteolin-O-rutioside | 0.00 | 0.00 | 0 | 0 |
| 12 | 17.9 | 441 | 418, 405, 373, 305, 225, 175 | Unknown | 0.00 | 0.00 | 0 | 0 |
| 13 | 18.1 | 521 | 359, 179, 161 | Rosmarinic acid-glucoside | 0.00 | 0.00 | 0 | 0 |
| 14 | 18.5 | 609 | 301 | Rutin | 7.80 | 7.48 | 378 | 213 |
| 15 | 19.1 | 359 | 223, 197, 179, 161, 133 | Rosmarinic acid | 57.41 | 18.80 | 2781 | 535 |
| 16 | 19.7 | 549 | 387 | Tuberonic acid derivate | 1.09 | 1.09 | 53 | 31 |
| 17 | 19.8 | 607 | 559, 427, 299, 284 | Methyl kaempferol O-rutinoside | 1.03 | 1.65 | 50 | 47 |
| 18 | 21.6 | 491 | 443, 311, 267 | Salvalonic acid C | 1.09 | 2.57 | 53 | 73 |
| 19 | 25.7 | – | – | Carvacrol | 1.24 | 10.22 | 60 | 291 |
| (A) Radical Scavenging Assays | |||||||
| Assays | DPPH | ABTS | FRAP | TPC | |||
| Samples | Trolox Equivalent ± SD | Trolox Equivalent/TPC ± SD/TPC | Trolox Equivalent ± SD | Trolox Equivalent/TPC ± SD/TPC | Trolox Equivalent ± SD | Trolox Equivalent/TPC ± SD/TPC | |
| TW (total) | 90 ± 12.3 | 0.447 ± 0.061 | 210.6 ± 32.4 | 1.046 ± 0.161 | 73.5 ± 15.6 | 0.365 ± 0.077 | 201.4 |
| TW < 3.5 kDa | 90.8 ± 9.8 | 0.295 ± 0.032 | 234 ± 25.9 | 0.761 ± 0.084 | 146.1 ± 18.9 | 0.475 ± 0.061 | 307.4 |
| TW > 3.5 kDa | 80.3 ± 7.9 | 0.540 ± 0.053 | 250 ± 32.4 | 1.681 ± 0.218 | 78.5 ± 10.8 | 0.528 ± 0.073 | 148.7 |
| TW dig | 83.8 ± 9.5 | * 0.603 ± 0.068 | 173.7 ± 19.1 | 1.251 ± 0.138 | 62.8 ± 9.2 | 0.452 ± 0.066 | 138.9 |
| TW Dig < 3.5 kDa | 86.4 ± 11.1 | 0.302 ± 0.039 | 182.4 ± 17.5 | 0.637 ± 0.061 | 140.9 ± 16.1 | 0.492 ± 0.056 | 286.3 |
| TW Dig > 3.5 kDa | 65.1 ± 7.9 | * 0.798 ± 0.097 | 250 ± 32.4 | * 3.063 ± 0.397 | 42.3 ± 7.6 | 0.518 ± 0.093 | 81.6 |
| TE | 89.5 ± 12.1 | 0.254 ± 0.034 | 250 ± 32.4 | 0.708 ± 0.092 | 92.2 ± 6.1 | 0.261 ± 0.017 | 353 |
| TE dig | 94 ± 12.4 | * 0.376 ± 0.05 | 210.7 ± 23.9 | 0.843 ± 0.096 | 88.3 ± 7.9 | * 0.353 ± 0.032 | 250 |
| (B) Pearson Correlation (Two-Tailed) | |||||||
| TFC | THAC | TPC | ABTS | DPPH | FRAP | ||
| TFC | 0.6797 | 0.6274 | 0.3923 | 0.5646 | ** 0.8985 | ||
| THAC | 0.6797 | *** 0.9375 | 0.4215 | 0.6726 | ** 0.8913 | ||
| TPC | 0.6274 | *** 0.9375 | 0.5867 | * 0.7612 | * 0.7755 | ||
| Cell Lines | TE | TE-Dig | CVL |
|---|---|---|---|
| MDA-MB 231 | 58.447 | 112.103 | 23.278 |
| HCT116 | 110.238 | 147.51 | 59.625 |
| A375 | 31.443 | 107.067 | 19.912 |
Publisher’s Note: MDPI stays neutral with regard to jurisdictional claims in published maps and institutional affiliations. |
© 2022 by the authors. Licensee MDPI, Basel, Switzerland. This article is an open access article distributed under the terms and conditions of the Creative Commons Attribution (CC BY) license (https://creativecommons.org/licenses/by/4.0/).
Share and Cite
Diab, F.; Khalil, M.; Lupidi, G.; Zbeeb, H.; Salis, A.; Damonte, G.; Bramucci, M.; Portincasa, P.; Vergani, L. Influence of Simulated In Vitro Gastrointestinal Digestion on the Phenolic Profile, Antioxidant, and Biological Activity of Thymbra spicata L. Extracts. Antioxidants 2022, 11, 1778. https://doi.org/10.3390/antiox11091778
Diab F, Khalil M, Lupidi G, Zbeeb H, Salis A, Damonte G, Bramucci M, Portincasa P, Vergani L. Influence of Simulated In Vitro Gastrointestinal Digestion on the Phenolic Profile, Antioxidant, and Biological Activity of Thymbra spicata L. Extracts. Antioxidants. 2022; 11(9):1778. https://doi.org/10.3390/antiox11091778
Chicago/Turabian StyleDiab, Farah, Mohamad Khalil, Giulio Lupidi, Hawraa Zbeeb, Annalisa Salis, Gianluca Damonte, Massimo Bramucci, Piero Portincasa, and Laura Vergani. 2022. "Influence of Simulated In Vitro Gastrointestinal Digestion on the Phenolic Profile, Antioxidant, and Biological Activity of Thymbra spicata L. Extracts" Antioxidants 11, no. 9: 1778. https://doi.org/10.3390/antiox11091778
APA StyleDiab, F., Khalil, M., Lupidi, G., Zbeeb, H., Salis, A., Damonte, G., Bramucci, M., Portincasa, P., & Vergani, L. (2022). Influence of Simulated In Vitro Gastrointestinal Digestion on the Phenolic Profile, Antioxidant, and Biological Activity of Thymbra spicata L. Extracts. Antioxidants, 11(9), 1778. https://doi.org/10.3390/antiox11091778

