Optimal DL-Methionyl-DL-Methionine Supplementation Improved Intestinal Physical Barrier Function by Changing Antioxidant Capacity, Apoptosis and Tight Junction Proteins in the Intestine of Juvenile Grass Carp (Ctenopharyngodon idella)
Abstract
:1. Introduction
2. Materials and Methods
2.1. Diets, Animal and Experimental Design
2.2. Challenge Test and Sampling
2.3. Biochemical Analysis
2.4. mRNA Abundance Analysis
2.5. Statistical Analysis
3. Results
3.1. Effects of Supplemented Met-Met on Antioxidant-Related Parameters in Grass Carp Intestines
3.2. Effects of Supplemented Met-Met on Apoptosis-Related Parameters in Grass Carp Intestine
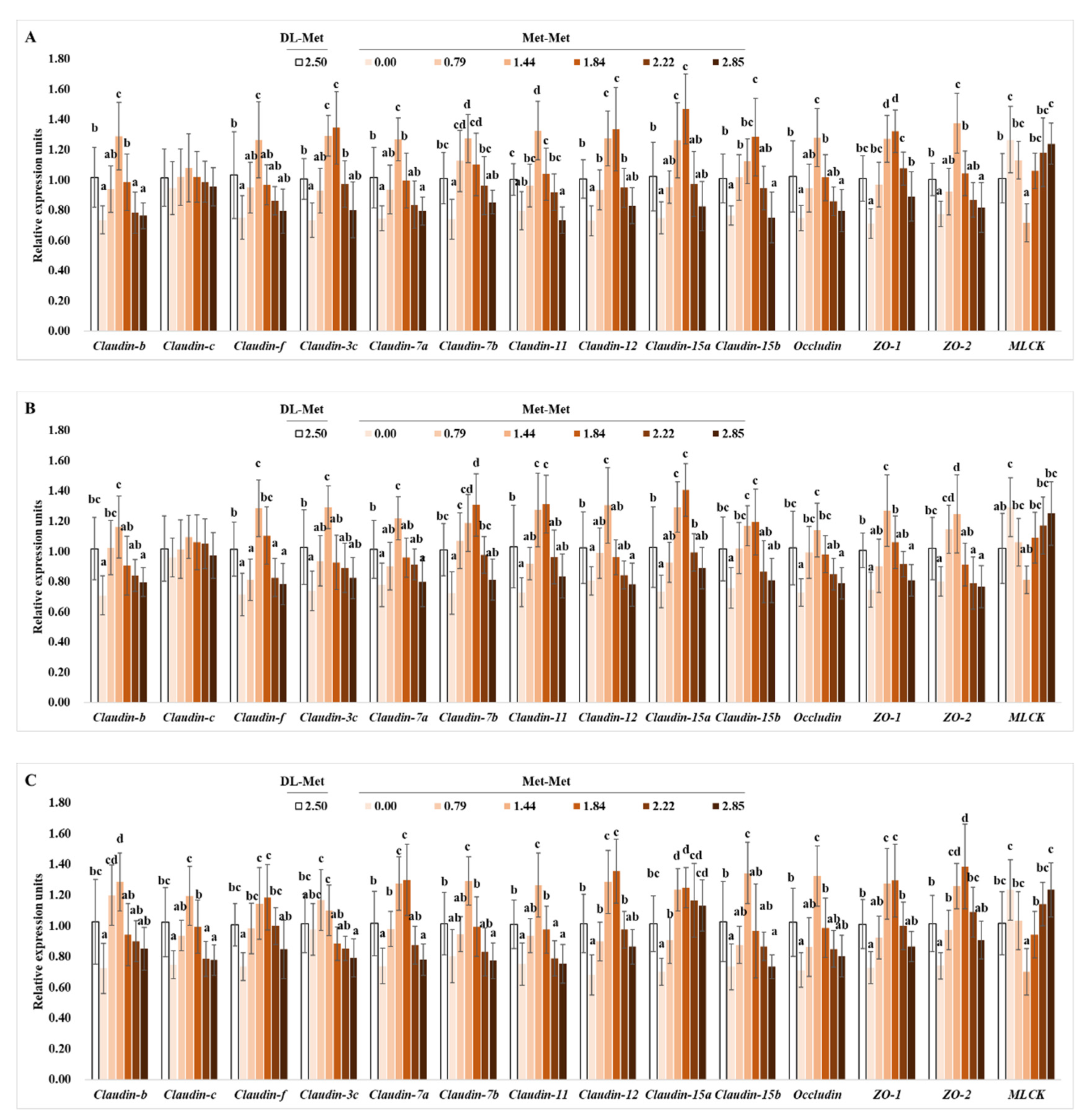
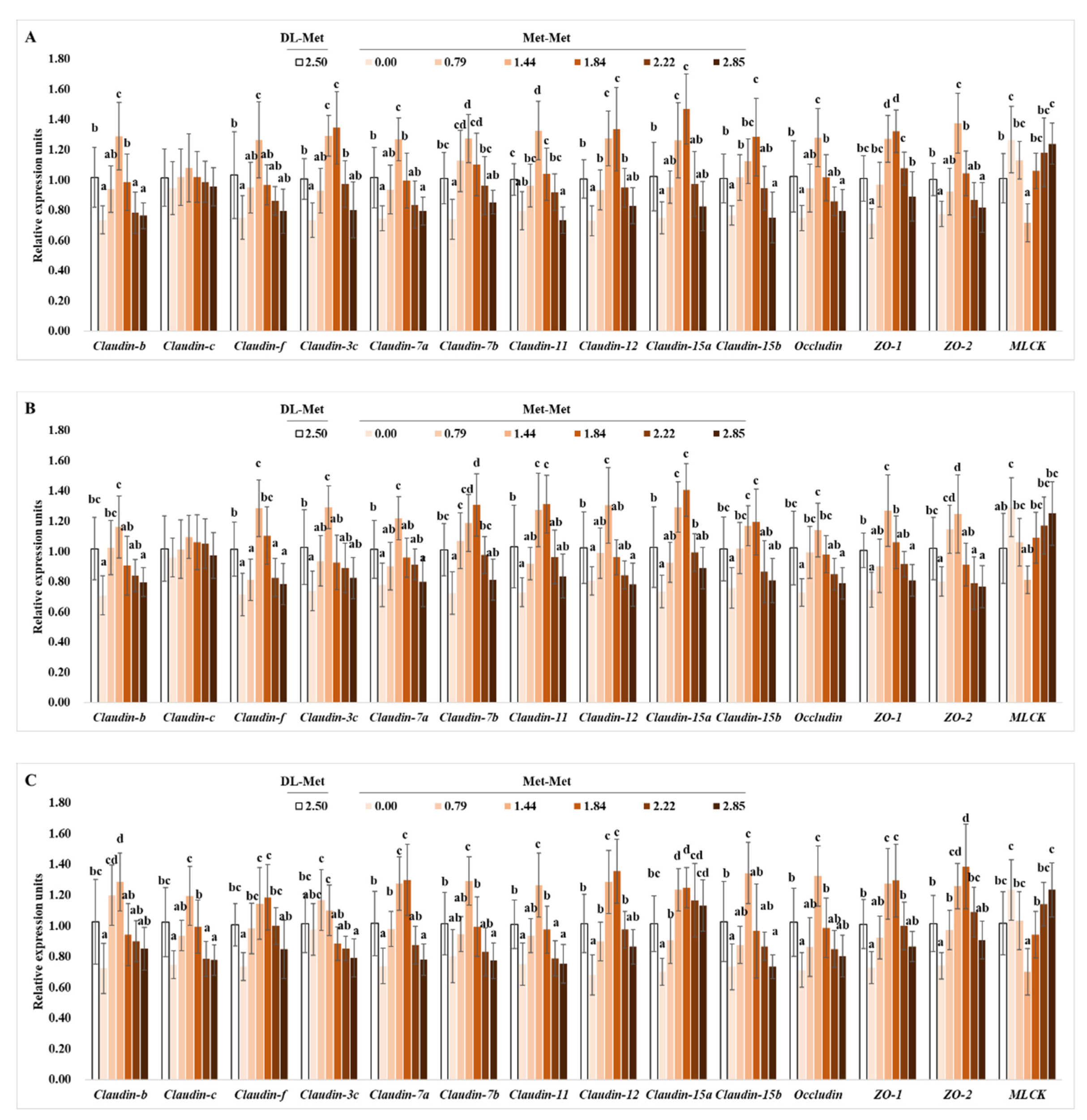
3.3. Effects of Supplemented Met-Met on the Relative Expression Levels of TJ Genes in Grass Carp Intestine
4. Discussion
4.1. Optimal Met-Met Supplementation Enhanced Antioxidant Capacity Partly Related to Nrf2 Signaling in Fish Gut
4.2. Optimum Met-Met Supplementation Inhibited Intestinal Apoptosis in Fish
4.3. Optimum Met-Met Strengthened the Tight Junction in Fish Intestines
4.4. The Comparison between the Influences of Met-Met and DL-Met on the Intestinal Physical Barrier in Fish
4.5. The Optimum Levels of Met-Met for Juvenile Grass Carp
5. Conclusions
Author Contributions
Funding
Institutional Review Board Statement
Informed Consent Statement
Data Availability Statement
Acknowledgments
Conflicts of Interest
References
- Belghit, I.; Skiba-Cassy, S.; Geurden, I.; Dias, K.; Surget, A.; Kaushik, S.; Panserat, S.; Seiliez, I. Dietary methionine availability affects the main factors involved in muscle protein turnover in rainbow trout (Oncorhynchus mykiss). Br. J. Nutr. 2014, 112, 493–503. [Google Scholar] [CrossRef] [PubMed]
- Acar, Ü.; Parrino, V.; Kesbiç, O.S.; Lo Paro, G.; Saoca, C.; Abbate, F.; Yılmaz, S.; Fazio, F. Effects of Different Levels of Pomegranate Seed Oil on Some Blood Parameters and Disease Resistance Against Yersinia ruckeri in Rainbow Trout. Front. Physiol. 2018, 9, 596. [Google Scholar] [CrossRef] [PubMed]
- Parrino, V.; Kesbic, O.S.; Acar, U.; Fazio, F. Hot pepper (Capsicum sp.) oil and its effects on growth performance and blood parameters in rainbow trout (Oncorhynchus mykiss). Nat. Prod. Res. 2020, 34, 3226–3230. [Google Scholar] [CrossRef] [PubMed]
- Zargar, A.; Rahimi Afzal, Z.; Soltani, E.; Taheri Mirghaed, A.; Ebrahimzadeh Mousavi, H.A.; Soltani, M.; Yuosefi, P. Growth performance, immune response and disease resistance of rainbow trout (Oncorhynchus mykiss) fed Thymus vulgaris essential oils. Aquac. Res. 2019, 50, 3097–3106. [Google Scholar] [CrossRef]
- He, Y.; Chi, S.; Tan, B.; Dong, X.; Yang, Q.; Liu, H.; Zhang, S.; Han, F.; Liu, D. DL-Methionine supplementation in a low-fishmeal diet affects the TOR/S6K pathway by stimulating ASCT2 amino acid transporter and insulin-like growth factor-I in the dorsal muscle of juvenile cobia (Rachycentron canadum). Br. J. Nutr. 2019, 122, 734–744. [Google Scholar] [CrossRef]
- Li, X.; Zheng, S.; Wu, G. Nutrition and Functions of Amino Acids in Fish. In Amino Acids in Nutrition and Health; Wu, G., Ed.; Springer: Cham, Switzerland, 2021; pp. 133–168. [Google Scholar]
- Wassef, E.A.; Saleh, N.E.; Ashry, A.M. Taurine or Sodium Diformate Supplementation to a Low Fishmeal Plant-Based Diet Enhanced Immunity and Muscle Cellularity of European Sea-Bass (Dicentrarchus labrax). J. FisheriesSciences.com 2021, 15, 026–028. [Google Scholar]
- Aoki, H.; Akimoto, A.; Watanabe, T. Periodical changes of plasma free amino acid levels and feed digesta in yellowtail after feeding non-fishmeal diets with or without supplemental crystalline amino acids. Fish. Sci. 2001, 67, 614–618. [Google Scholar] [CrossRef]
- Zhou, X.Q.; Zhao, C.R.; Lin, Y. Compare the effect of diet supplementation with uncoated or coated lysine on juvenile Jian Carp (Cyprinus carpio Var. Jian). Aquac. Nutr. 2007, 13, 457–461. [Google Scholar] [CrossRef]
- Yuan, Y.; Gong, S.; Yang, H.; Lin, Y.; Yu, D.; Luo, Z. Effects of supplementation of crystalline or coated lysine and/or methionine on growth performance and feed utilization of the Chinese sucker, Myxocyprinus asiaticus. Aquaculture 2011, 316, 31–36. [Google Scholar] [CrossRef]
- Parker, S.F.; Funnell, N.P.; Shankland, K.; Kabova, E.A.; Häußner, T.; Hasselbach, H.; Braune, S.; Kobler, C.; Albers, P.W. Structure and spectroscopy of methionyl-methionine for aquaculture. Sci. Rep. 2021, 11, 458. [Google Scholar] [CrossRef]
- Su, Y.; Wu, P.; Feng, L.; Jiang, W.; Jiang, J.; Zhang, Y.; Figueiredo-Silva, C.; Zhou, X.; Liu, Y. The improved growth performance and enhanced immune function by DL methionyl-DL-methionine are associated with NF-κB and TOR signalling in intestine of juvenile grass carp (Ctenopharyngodon idella). Fish Shellfish Immunol. 2018, 74, 101–118. [Google Scholar] [CrossRef]
- Guo, T.; Zhao, W.; He, J.; Liao, S.; Xie, J.; Xie, S.; Masagounder, K.; Liu, Y.; Tian, L.; Niu, J. Dietary DL-methionyl-DL-methionine supplementation increased growth performance, antioxidant ability, the content of essential amino acids and improved the diversity of intestinal microbiota in Nile tilapia (Oreochromis niloticus). Br. J. Nutr. 2020, 123, 72–83. [Google Scholar] [CrossRef]
- Xie, J.J.; Lemme, A.; He, J.Y.; Yin, P.; Figueiredo-Silva, C.; Liu, Y.J.; Xie, S.W.; Niu, J.; Tian, L.X. Fishmeal levels can be successfully reduced in white shrimp (Litopenaeus vannamei) if supplemented with DL-Methionine (DL-Met) or DL-Methionyl-DL-Methionine (Met-Met). Aquac. Nutr. 2018, 24, 1144–1152. [Google Scholar] [CrossRef]
- Ji, R.; Wang, Z.; He, J.; Masagounder, K.; Xu, W.; Mai, K.; Ai, Q. Effects of DL-methionyl-DL-methionine supplementation on growth performance, immune and antioxidative responses of white leg shrimp (Litopenaeus vannamei) fed low fishmeal diet. Aquac. Rep. 2021, 21, 100785. [Google Scholar] [CrossRef]
- Niklasson, L.; Sundh, H.; Fridell, F.; Taranger, G.L.; Sundell, K. Disturbance of the intestinal mucosal immune system of farmed Atlantic salmon (Salmo salar), in response to long-term hypoxic conditions. Fish Shellfish Immunol. 2011, 31, 1072–1080. [Google Scholar] [CrossRef] [PubMed]
- Pijls, K.E.; Jonkers, D.M.; Elamin, E.E.; Masclee, A.A.; Koek, G.H. Intestinal epithelial barrier function in liver cirrhosis: An extensive review of the literature. Liver Int. 2013, 33, 1457–1469. [Google Scholar] [CrossRef]
- Yang, J.; Wang, C.; Xu, Q.; Zhao, F.; Liu, J.; Liu, H. Methionyl-Methionine Promotes α-s1 Casein Synthesis in Bovine Mammary Gland Explants by Enhancing Intracellular SubstrateAvailability and Activating JAK2-STAT5 and mTOR-Mediated Signaling Pathways. J. Nutr. 2015, 145, 1748–1753. [Google Scholar] [CrossRef]
- Sakai, I.; Kraft, A.S. The Kinase Domain of Jak2 Mediates Induction of Bcl-2 and Delays Cell Death in Hematopoietic Cells. J. Biol. Chem. 1997, 272, 12350–12358. [Google Scholar] [CrossRef]
- Zhong, C.; Tong, D.; Zhang, Y.; Wang, X.; Yan, H.; Tan, H.; Gao, C. DL-methionine and DL-methionyl-DL-methionine increase intestinal development and activate Wnt/b-catenin signaling activity in domestic pigeons (Columba livia). Poult. Sci. 2022, 101, 101644. [Google Scholar] [CrossRef]
- Pan, F.; Feng, L.; Jiang, W.; Jiang, J.; Wu, P.; Kuang, S.; Tang, L.; Tang, W.; Zhang, Y.; Zhou, X.; et al. Methionine hydroxy analogue enhanced fish immunity via modulation of NF-κB, TOR, MLCK, MAPKs and Nrf2 signaling in young grass carp (Ctenopharyngodon idella). Fish Shellfish Immunol. 2016, 56, 208–228. [Google Scholar] [CrossRef]
- Zeng, Y.Y.; Jiang, W.D.; Liu, Y.; Wu, P.; Zhao, J.; Jiang, J.; Kuang, S.Y.; Tang, L.; Tang, W.N.; Zhang, Y.A.; et al. Optimal dietary alpha-linolenic acid/linoleic acid ratio improved digestive and absorptive capacities and target of rapamycin gene expression of juvenile grass carp (Ctenopharyngodon idellus). Aquac. Nutr. 2016, 22, 1251–1266. [Google Scholar] [CrossRef]
- NRC. Nutrient Requirements of Fish and Shrimp; The National Academies Press: Washington, DC, USA, 2011. [Google Scholar]
- Hsu, C.; Chiu, Y. Ambient temperature influences aging in an annual fish (Nothobranchius rachovii). Aging Cell 2009, 8, 726–737. [Google Scholar] [CrossRef] [PubMed]
- Martínez-Álvarez, R.M.; Morales, A.E.; Sanz, A. Antioxidant defenses in fish: Biotic and abiotic factors. Rev. Fish Biol. Fish. 2005, 15, 75–88. [Google Scholar] [CrossRef]
- Lu, J.; Zhang, X.; Zhou, Q.; Cheng, Y.; Luo, J.; Masagounder, K.; He, S.; Zhu, T.; Yuan, Y.; Shi, B.; et al. Dietary DL-methionyl-DL-methionine supplementation could improve growth performance under low fishmeal strategies by modulating TOR signalling pathway of Litopenaeus vannamei. Aquac. Nutr. 2021, 27, 1921–1933. [Google Scholar] [CrossRef]
- Tiedge, M.; Lortz, S.; Drinkgern, J.; Lenzen, S. Relation between antioxidant enzyme gene expression and antioxidative defense status of insulin-producing cells. Diabetes 1997, 46, 1733–1742. [Google Scholar] [CrossRef]
- Casetta, J.; Ribeiro, R.P.; Lewandowski, V.; Khatlab, A.S.; de Oliveira, N.A.; Boscolo, W.R.; Gasparino, E. Expression of the PEPT1, CAT, SOD2 and GPX1 genes in the zebrafish intestine supplemented with methionine dipeptide under predation risk. J. Anim. Physiol. Anim. Nutr. 2021, 105, 1214–1225. [Google Scholar] [CrossRef]
- Zelko, I.N.; Mariani, T.J.; Folz, R.J. Superoxide dismutase multigene family: A comparison of the CuZn-SOD (SOD1), Mn-SOD (SOD2), and EC-SOD (SOD3) gene structures, evolution, and expression. Free Radic. Biol. Med. 2002, 33, 337–349. [Google Scholar] [CrossRef]
- Bender, A.; Hajieva, P.; Moosmann, B. Adaptive Antioxidant Methionine Accumulation in Respiratory Chain Complexes Explains the Use of a Deviant Genetic Code in Mitochondria. Proc. Natl. Acad. Sci. USA 2008, 105, 16496–16501. [Google Scholar] [CrossRef]
- Taguchi, K.; Maher, J.M.; Suzuki, T.; Kawatani, Y.; Motohashi, H.; Yamamoto, M. Genetic analysis of cytoprotective functions supported by graded expression of Keap1. Mol. Cell. Biol. 2010, 30, 3016–3026. [Google Scholar] [CrossRef]
- Shay, K.P.; Michels, A.J.; Li, W.; Kong, A.N.; Hagen, T.M. Cap-independent Nrf2 translation is part of a lipoic acid-stimulated detoxification stress response. Biochim. Biophys. Acta 2012, 1823, 1102–1109. [Google Scholar] [CrossRef]
- Bruewer, M.; Luegering, A.; Kucharzik, T.; Parkos, C.A.; Madara, J.L.; Hopkins, A.M.; Nusrat, A. Proinflammatory cytokines disrupt epithelial barrier function by apoptosis-independent mechanisms. J. Immunol. 2003, 171, 6164–6172. [Google Scholar] [CrossRef] [PubMed] [Green Version]
- Elmore, S. Apoptosis: A Review of Programmed Cell Death. Toxicol. Pathol. 2007, 35, 495–516. [Google Scholar] [CrossRef] [PubMed]
- Chasiotis, H.; Kelly, S.P. Effect of cortisol on permeability and tight junction protein transcript abundance in primary cultured gill epithelia from stenohaline goldfish and euryhaline trout. Gen. Comp. Endocrinol. 2011, 172, 494–504. [Google Scholar] [CrossRef] [PubMed]
- Chasiotis, H.; Kolosov, D.; Bui, P.; Kelly, S.P. Tight junctions, tight junction proteins and paracellular permeability across the gill epithelium of fishes: A review. Respir. Physiol. Neurobiol. 2012, 184, 269–281. [Google Scholar] [CrossRef] [PubMed]
- Weber, C.R.; Raleigh, D.R.; Su, L.; Shen, L.; Sullivan, E.A.; Wang, Y.; Turner, J.R. Epithelial myosin light chain kinase activation induces mucosal interleukin-13 expression to alter tight junction ion selectivity. J. Biol. Chem. 2010, 285, 12037–12046. [Google Scholar] [CrossRef]
- Ito, T.; Saitoh, D.; Takasu, A.; Kiyozumi, T.; Sakamoto, T.; Okada, Y. Serum cortisol as a predictive marker of the outcome in patients resuscitated after cardiopulmonary arrest. Resuscitation 2004, 62, 55–60. [Google Scholar] [CrossRef]
- Lis, M.T.; Crampton, R.F.; Matthews, D.M. Effect of dietary changes on intestinal absorption of L-methionine and L-methionyl-L-methionine in the rat. Br. J. Nutr. 1972, 27, 159–167. [Google Scholar] [CrossRef]
- Pan, Y.; Bender, P.K.; Akers, R.M.; Webb, K.J. Methionine-containing peptides can be used as methionine sources for protein accretion in cultured C2C12 and MAC-T cells. J. Nutr. 1996, 126, 232–241. [Google Scholar] [CrossRef]
- Jiang, W.; Deng, Y.; Liu, Y.; Qu, B.; Jiang, J.; Kuang, S.; Tang, L.; Tang, W.; Wu, P.; Zhang, Y.; et al. Dietary leucine regulates the intestinal immune status, immune-related signalling molecules and tight junction transcript abundance in grass carp (Ctenopharyngodon idella). Aquaculture 2015, 444, 134–142. [Google Scholar] [CrossRef]
- Deng, Y.; Jiang, W.; Liu, Y.; Jiang, J.; Kuang, S.; Tang, L.; Wu, P.; Zhang, Y.; Feng, L.; Zhou, X. Differential growth performance, intestinal antioxidant status and relative expression of Nrf2 and its target genes in young grass carp (Ctenopharyngodon idella) fed with graded levels of leucine. Aquaculture 2014, 434, 66–73. [Google Scholar] [CrossRef]
- Morales, L.E.; Higuchi, A. Is fish worth more than meat?—How consumers’ beliefs about health and nutrition affect their willingness to pay more for fish than meat. Food Qual. Prefer. 2018, 65, 101–109. [Google Scholar] [CrossRef]
- Baldissera, M.D.; Souza, C.F.; Zeppenfeld, C.C.; Velho, M.C.; Klein, B.; Abbad, L.B.; Ourique, A.F.; Wagner, R.; Da Silva, A.S.; Baldisserotto, B. Dietary supplementation with nerolidol nanospheres improves growth, antioxidant status and fillet fatty acid profiles in Nile tilapia: Benefits of nanotechnology for fish health and meat quality. Aquaculture 2020, 516, 734635. [Google Scholar] [CrossRef]





| Ingredients | Content (%) | Nutrients | Content (%) |
|---|---|---|---|
| Fish meal | 3.00 | Crude protein d | 32.64 |
| Soybean meal | 36.90 | Crude lipid d | 4.45 |
| Cottonseed meal | 22.72 | Methionine d | 0.43 |
| Fish oil | 2.75 | Cysteine d | 0.38 |
| Soybean oil | 1.25 | n-3 e | 1.05 |
| Wheat flour | 22.33 | n-6 e | 0.97 |
| Vitamin premix a | 1.00 | Available phosphorus f | 0.84 |
| Mineral premix b | 1.00 | ||
| Ca(H2PO4)2 | 2.98 | ||
| L-Lys (98.5%) | 0.35 | ||
| L-Thr (98.5%) | 0.17 | ||
| Carboxymethyl cellulose | 2.00 | ||
| Choline chloride (50%) | 0.50 | ||
| Ethoxyquin (30%) | 0.05 | ||
| Met-Met/DL-Met premix c | 3.00 |
| Target Gene | Primer Sequence FORWARD (5′→3′) | Primer Sequence Reverse (5′→3′) | Temperature (°C) | Accession Number |
|---|---|---|---|---|
| occludin | TATCTGTATCACTACTGCGTCG | CATTCACCCAATCCTCCA | 59.4 | KF193855 |
| ZO-1 | CGGTGTCTTCGTAGTCGG | CAGTTGGTTTGGGTTTCAG | 59.4 | KJ000055 |
| ZO-2 | TACAGCGGGACTCTAAAATGG | TCACACGGTCGTTCTCAAAG | 60.3 | KM112095 |
| claudin-b | GAGGGAATCTGGATGAGC | ATGGCAATGATGGTGAGA | 57.0 | KF193860 |
| claudin-c | GAGGGAATCTGGATGAGC | CTGTTATGAAAGCGGCAC | 59.4 | KF193859 |
| claudin-f | GCTGGAGTTGCCTGTCTTATTC | ACCAATCTCCCTCTTTTGTGTC | 57.1 | KM112097 |
| claudin-3c | ATCACTCGGGACTTCTA | CAGCAAACCCAATGTAG | 57.0 | KF193858 |
| claudin-7a | ACTTACCAGGGACTGTGGATGT | CACTATCATCAAAGCACGGGT | 59.3 | KT625604 |
| claudin-7b | CTAACTGTGGTGGTGATGAC | AACAATGCTACAAAGGGCTG | 59.3 | KT445866 |
| claudin-11 | TCTCAACTGCTCTGTATCACTGC | TTTCTGGTTCACTTCCGAGG | 62.3 | KT445867 |
| claudin-12 | CCCTGAAGTGCCCACAA | GCGTATGTCACGGGAGAA | 55.4 | KF998571 |
| claudin-15a | TGCTTTATTTCTTGGCTTTC | CTCGTACAGGGTTGAGGTG | 59.0 | KF193857 |
| claudin-15b | AGTGTTCTAAGATAGGAGGGGAG | AGCCCTTCTCCGATTTCAT | 62.3 | KT757304 |
| FasL | AGGAAATGCCCGCACAAATG | AACCGCTTTCATTGACCTGGAG | 61.4 | KT445873 |
| Bcl-2 | AGGAAAATGGAGGTTGGGAT | CTGAGCAAAAAAGGCGATG | 60.3 | JQ713862.1 |
| Mcl-1b | TGGAAAGTCTCGTGGTAAAGCA | ATCGCTGAAGATTTCTGTTGCC | 58.4 | KT757307 |
| Bax | CATCTATGAGCGGGTTCGTC | TTTATGGCTGGGGTCACACA | 60.3 | JQ793788.1 |
| Apaf-1 | AAGTTCTGGAGCCTGGACAC | AACTCAAGACCCCACAGCAC | 61.4 | KM279717 |
| IAP | CACAATCCTGGTATGCGTCG | GGGTAATGCCTCTGGTGCTC | 58.4 | FJ593503.1 |
| caspase-2 | CGCTGTTGTGTGTTTACTGTCTCA | ACGCCATTATCCATCTCCTCTC | 60.3 | KT757313 |
| caspase-3 | GCTGTGCTTCATTTGTTTG | TCTGAGATGTTATGGCTGTC | 55.9 | JQ793789 |
| caspase-7 | GCCATTACAGGATTGTTTCACC | CCTTATCTGTGCCATTGCGT | 57.1 | KT625601 |
| caspase-8 | ATCTGGTTGAAATCCGTGAA | TCCATCTGATGCCCATACAC | 59.0 | KM016991 |
| caspase-9 | CTGTGGCGGAGGTGAGAA | GTGCTGGAGGACATGGGAAT | 59.0 | JQ793787 |
| CuZnSOD | CGCACTTCAACCCTTACA | ACTTTCCTCATTGCCTCC | 61.5 | GU901214 |
| MnSOD | ACGACCCAAGTCTCCCTA | ACCCTGTGGTTCTCCTCC | 60.4 | GU218534 |
| CAT | GAAGTTCTACACCGATGAGG | CCAGAAATCCCAAACCAT | 58.7 | FJ560431 |
| GPx1a | GGGCTGGTTATTCTGGGC | AGGCGATGTCATTCCTGTTC | 61.5 | EU828796 |
| GPx1b | TTTTGTCCTTGAAGTATGTCCGTC | GGGTCGTTCATAAAGGGCATT | 60.3 | KT757315 |
| GPx4a | TACGCTGAGAGAGGTTTACACAT | CTTTTCCATTGGGTTGTTCC | 60.4 | KU255598 |
| GPx4b | CTGGAGAAATACAGGGGTTACG | CTCCTGCTTTCCGAACTGGT | 60.3 | KU255599 |
| GSTR | TCTCAAGGAACCCGTCTG | CCAAGTATCCGTCCCACA | 58.4 | EU107283 |
| GSTP1 | ACAGTTGCCCAAGTTCCAG | CCTCACAGTCGTTTTTTCCA | 59.3 | KM112099 |
| GSTP2 | TGCCTTGAAGATTATGCTGG | GCTGGCTTTTATTTCACCCT | 59.3 | KP125490 |
| GSTO1 | GGTGCTCAATGCCAAGGGAA | CTCAAACGGGTCGGATGGAA | 58.4 | KT757314 |
| GSTO2 | CTGCTCCCATCAGACCCATTT | TCTCCCCTTTTCTTGCCCATA | 61.4 | KU245630 |
| GR | GTGTCCAACTTCTCCTGTG | ACTCTGGGGTCCAAAACG | 59.4 | JX854448 |
| Nrf2 | CTGGACGAGGAGACTGGA | ATCTGTGGTAGGTGGAAC | 62.5 | KF733814 |
| Keap1a | TTCCACGCCCTCCTCAA | TGTACCCTCCCGCTATG | 63.0 | KF811013 |
| Keap1b | TCTGCTGTATGCGGTGGGC | CTCCTCCATTCATCTTTCTCG | 57.9 | KJ729125 |
| β-actin | GGCTGTGCTGTCCCTGTA | GGGCATAACCCTCGTAGAT | 61.4 | M25013 |
| DL-Met | Met-Met | ||||||
|---|---|---|---|---|---|---|---|
| 2.50 | 0.00 | 0.79 | 1.44 | 1.84 | 2.22 | 2.85 | |
| Proximal intestine | |||||||
| T-SOD | 16.65 ± 1.05 bc | 14.74 ± 0.82 a | 16.07 ± 0.62 b | 17.55 ± 0.88 cd | 18.64 ± 1.06 d | 17.29 ± 1.15 c | 16.51 ± 1.01 bc |
| CuZnSOD | 10.29 ± 0.89 | 10.05 ± 0.85 | 10.15 ± 0.74 | 10.83 ± 0.77 | 10.80 ± 0.85 | 10.45 ± 0.75 | 10.13 ± 0.84 |
| MnSOD | 6.36 ± 0.38 bc | 4.69 ± 0.39 a | 5.93 ± 0.35 b | 6.72 ± 0.45 c | 7.84 ± 0.66 d | 6.84 ± 0.56 c | 6.39 ± 0.56 bc |
| CAT | 2.46 ± 0.19 bc | 1.97 ± 0.18 a | 2.36 ± 0.14 b | 2.63 ± 0.20 c | 2.62 ± 0.13 c | 2.64 ± 0.26 c | 2.61 ± 0.16 c |
| GPx | 150.94 ± 11.12 c | 103.17 ± 7.81 a | 129.66 ± 8.18 b | 146.66 ± 8.46 c | 156.66 ± 9.80 c | 157.77 ± 8.17 c | 156.91 ± 9.00 c |
| GST | 59.26 ± 3.43 c | 42.35 ± 2.74 a | 58.59 ± 4.58 c | 64.34 ± 4.92 d | 57.61 ± 2.60 c | 54.68 ± 4.23 bc | 50.95 ± 3.19 b |
| GR | 51.07 ± 2.92 cd | 36.66 ± 2.32 a | 48.10 ± 2.91 bc | 58.05 ± 3.25 e | 62.93 ± 4.40 f | 52.53 ± 4.10 d | 46.15 ± 3.52 b |
| GSH | 7.05 ± 0.36 c | 4.06 ± 0.37 a | 6.38 ± 0.22 b | 7.90 ± 0.42 d | 6.98 ± 0.47 c | 6.24 ± 0.46 b | 6.01 ± 0.42 b |
| Mid intestine | |||||||
| T-SOD | 16.11 ± 0.65 c | 12.69 ± 0.79 a | 15.85 ± 0.64 c | 16.50 ± 0.90 c | 18.34 ± 0.81 d | 16.32 ± 0.77 c | 14.76 ± 0.75 b |
| CuZnSOD | 9.25 ± 0.54 | 8.99 ± 0.82 | 9.26 ± 0.67 | 9.57 ± 0.42 | 9.69 ± 0.49 | 9.64 ± 0.39 | 8.98 ± 0.69 |
| MnSOD | 6.86 ± 0.56 c | 3.70 ± 0.30 a | 6.60 ± 0.25 c | 6.93 ± 0.55 c | 8.65 ± 0.70 d | 6.67 ± 0.53 c | 5.79 ± 0.41 b |
| CAT | 3.60 ± 0.17 b | 3.00 ± 0.18 a | 3.66 ± 0.13 b | 3.57 ± 0.10 b | 3.63 ± 0.27 b | 3.63 ± 0.13 b | 3.60 ± 0.14 b |
| GPx | 146.70 ± 9.91 b | 108.59 ± 7.15 a | 137.27 ± 7.03 b | 158.61 ± 10.37 c | 179.94 ± 9.84 d | 147.05 ± 10.62 b | 136.25 ± 10.62 b |
| GST | 60.54 ± 2.18 e | 46.15 ± 3.24 a | 55.81 ± 1.47 c | 61.58 ± 3.12 e | 59.00 ± 2.50 de | 56.83 ± 1.16 cd | 52.92 ± 1.67 b |
| GR | 61.42 ± 3.39 d | 37.91 ± 2.15 a | 51.39 ± 4.35 bc | 67.91 ± 5.09 e | 60.48 ± 5.09 d | 55.83 ± 3.71 c | 49.70 ± 2.87 b |
| GSH | 7.73 ± 0.71 c | 4.81 ± 0.41 a | 5.91 ± 0.31 b | 7.40 ± 0.65 c | 7.93 ± 0.74 c | 6.24 ± 0.62 b | 5.84 ± 0.43 b |
| Distal intestine | |||||||
| T-SOD | 16.57 ± 0.79 bc | 14.35 ± 0.42 b | 16.31 ± 0.69 a | 17.54 ± 1.11 cd | 18.13 ± 0.37 d | 16.97 ± 0.84 bc | 16.13 ± 1.12 b |
| CuZnSOD | 9.54 ± 0.67 | 9.46 ± 0.41 | 9.55 ± 0.29 | 9.64 ± 0.51 | 9.60 ± 0.74 | 9.52 ± 0.47 | 9.47 ± 0.92 |
| MnSOD | 7.03 ± 0.32 bc | 4.89 ± 0.41 a | 6.76 ± 0.52 b | 7.90 ± 0.70 d | 8.53 ± 0.50 e | 7.45 ± 0.65 cd | 6.66 ± 0.48 b |
| CAT | 2.57 ± 0.22 bc | 2.30 ± 0.13 a | 2.55 ± 0.09 bc | 2.70 ± 0.14 c | 2.48 ± 0.19 ab | 2.44 ± 0.19 ab | 2.37 ± 0.14 ab |
| GPx | 126.59 ± 8.04 d | 98.11 ± 4.86 a | 117.42 ± 5.69 c | 137.53 ± 8.66 e | 128.77 ± 5.39 d | 117.85 ± 8.47 c | 107.95 ± 7.18 b |
| GST | 61.64 ± 4.96 c | 49.32 ± 1.59 a | 57.01 ± 1.11 b | 63.04 ± 1.56 c | 65.45 ± 3.67 c | 56.51 ± 3.79 b | 52.37 ± 3.43 a |
| GR | 51.98 ± 4.34 c | 38.98 ± 3.11 a | 47.14 ± 3.65 b | 57.81 ± 3.44 d | 64.57 ± 2.99 e | 52.42 ± 2.59 c | 46.32 ± 2.19 b |
| GSH | 7.15 ± 0.37 c | 3.81 ± 0.18 a | 4.92 ± 0.24 b | 7.44 ± 0.73 c | 8.33 ± 0.53 d | 6.99 ± 0.60 c | 5.41 ± 0.36 b |
| DL-Met | Met-Met | ||||||
|---|---|---|---|---|---|---|---|
| 2.50 | 0.00 | 0.79 | 1.44 | 1.84 | 2.22 | 2.85 | |
| CuZnSOD | 1.02 ± 0.20 | 0.99 ± 0.18 | 1.07 ± 0.15 | 1.08 ± 0.14 | 1.08 ± 0.16 | 1.05 ± 0.16 | 1.04 ± 0.11 |
| MnSOD | 1.02 ± 0.22 b | 0.71 ± 0.16 a | 0.95 ± 0.11 b | 1.27 ± 0.13 c | 1.29 ± 0.17 c | 1.00 ± 0.21 b | 0.84 ± 0.14 ab |
| CAT | 1.01 ± 0.11 bc | 0.71 ± 0.13 a | 0.88 ± 0.10 ab | 1.15 ± 0.25 c | 1.11 ± 0.22 c | 1.12 ± 0.13 c | 1.07 ± 0.19 bc |
| GPX1a | 1.01 ± 0.17 bc | 0.69 ± 0.13 a | 0.84 ± 0.16 ab | 1.04 ± 0.20 bc | 1.12 ± 0.17 c | 1.06 ± 0.16 c | 0.95 ± 0.13 bc |
| GPx1b | 1.01 ± 0.17 b | 0.71 ± 0.14 a | 1.00 ± 0.22 b | 1.12 ± 0.13 b | 1.13 ± 0.15 b | 1.09 ± 0.14 b | 0.95 ± 0.12 b |
| GPx4a | 1.02 ± 0.19 b | 0.75 ± 0.12 a | 0.96 ± 0.16 ab | 1.37 ± 0.27 c | 1.02 ± 0.19 b | 0.85 ± 0.13 ab | 0.74 ± 0.13 a |
| GPx4b | 1.01 ± 0.18 b | 0.73 ± 0.13 a | 0.93 ± 0.16 ab | 1.27 ± 0.29 c | 0.89 ± 0.16 ab | 0.81 ± 0.09 ab | 0.79 ± 0.13 a |
| GSTo1 | 1.02 ± 0.23 bc | 0.74 ± 0.14 a | 1.00 ± 0.12 bc | 1.29 ± 0.15 d | 1.34 ± 0.25 d | 1.16 ± 0.20 cd | 0.88 ± 0.17 ab |
| GSTo2 | 1.01 ± 0.17 b | 0.74 ± 0.14 a | 1.00 ± 0.23 b | 1.23 ± 0.17 c | 1.36 ± 0.25 c | 0.94 ± 0.18 ab | 0.83 ± 0.15 ab |
| GSTp1 | 1.01 ± 0.13 | 0.96 ± 0.13 | 1.04 ± 0.13 | 1.08 ± 0.20 | 1.02 ± 0.10 | 1.12 ± 0.15 | 1.09 ± 0.22 |
| GSTp2 | 1.02 ± 0.25 b | 0.73 ± 0.15 a | 0.93 ± 0.13 ab | 1.41 ± 0.12 c | 1.05 ± 0.22 b | 0.84 ± 0.16 ab | 0.79 ± 0.15 a |
| GSTR | 1.02 ± 0.20 b | 0.75 ± 0.14 a | 0.99 ± 0.23 ab | 1.35 ± 0.22 c | 1.06 ± 0.22 b | 0.98 ± 0.11 ab | 0.86 ± 0.16 ab |
| GR | 1.01 ± 0.17 bc | 0.72 ± 0.19 a | 0.89 ± 0.21 ab | 1.16 ± 0.29 c | 1.20 ± 0.21 c | 0.88 ± 0.14 ab | 0.79 ± 0.17 ab |
| Nrf2 | 1.02 ± 0.22 cd | 0.59 ± 0.10 a | 1.06 ± 0.17 cd | 1.16 ± 0.22 d | 1.04 ± 0.19 cd | 0.90 ± 0.17 bc | 0.79 ± 0.19 ab |
| Keap1a | 1.01 ± 0.17 ab | 1.58 ± 0.19 c | 1.02 ± 0.18 ab | 0.82 ± 0.19 a | 1.03 ± 0.20 ab | 1.12 ± 0.21 b | 1.22 ± 0.22 b |
| Keap1b | 1.01 ± 0.13 ab | 1.28 ± 0.15 c | 1.12 ± 0.17 bc | 0.85 ± 0.13 a | 1.03 ± 0.16 ab | 1.13 ± 0.13 bc | 1.20 ± 0.19 bc |
| DL-Met | Met-Met | ||||||
|---|---|---|---|---|---|---|---|
| 2.50 | 0.00 | 0.79 | 1.44 | 1.84 | 2.22 | 2.85 | |
| CuZnSOD | 1.02 ± 0.21 | 0.99 ± 0.13 | 1.07 ± 0.18 | 1.09 ± 0.16 | 1.02 ± 0.17 | 1.04 ± 0.24 | 1.03 ± 0.19 |
| MnSOD | 1.01 ± 0.12 b | 0.80 ± 0.06 a | 0.97 ± 0.20 ab | 1.26 ± 0.19 c | 0.91 ± 0.13 ab | 0.89 ± 0.13 ab | 0.81 ± 0.14 a |
| CAT | 1.02 ± 0.21 b | 0.71 ± 0.10 a | 0.91 ± 0.13 b | 0.96 ± 0.12 b | 1.07 ± 0.12 b | 1.02 ± 0.13 b | 1.07 ± 0.17 b |
| GPX1a | 1.03 ± 0.22 b | 0.74 ± 0.14 a | 0.86 ± 0.09 ab | 1.26 ± 0.18 c | 1.37 ± 0.24 c | 1.03 ± 0.19 b | 0.84 ± 0.11 ab |
| GPx1b | 1.01 ± 0.18 bc | 0.74 ± 0.09 a | 1.06 ± 0.17 bc | 1.21 ± 0.19 cd | 1.29 ± 0.18 d | 0.92 ± 0.18 ab | 0.77 ± 0.13 a |
| GPx4a | 1.01 ± 0.16 bc | 0.71 ± 0.14 a | 1.04 ± 0.21 bc | 1.22 ± 0.17 c | 1.10 ± 0.21 c | 0.85 ± 0.12 ab | 0.79 ± 0.12 a |
| GPx4b | 1.01 ± 0.16 bc | 0.71 ± 0.14 a | 0.83 ± 0.11 ab | 1.13 ± 0.20 c | 1.37 ± 0.16 d | 0.94 ± 0.13 bc | 0.85 ± 0.18 ab |
| GSTo1 | 1.01 ± 0.13 b | 0.73 ± 0.10 a | 1.02 ± 0.18 b | 1.27 ± 0.14 c | 1.30 ± 0.21 c | 1.03 ± 0.21 b | 0.84 ± 0.16 ab |
| GSTo2 | 1.02 ± 0.22 ab | 0.79 ± 0.15 a | 1.02 ± 0.16 ab | 1.14 ± 0.23 bc | 1.26 ± 0.15 c | 1.00 ± 0.20 ab | 0.83 ± 0.13 a |
| GSTp1 | 1.01 ± 0.20 | 0.99 ± 0.14 | 1.07 ± 0.20 | 1.09 ± 0.19 | 1.06 ± 0.20 | 1.02 ± 0.15 | 1.02 ± 0.13 |
| GSTp2 | 1.01 ± 0.18 bc | 0.73 ± 0.14 a | 0.99 ± 0.11 bc | 1.13 ± 0.23 c | 0.98 ± 0.13 bc | 0.87 ± 0.17 ab | 0.83 ± 0.11 ab |
| GSTR | 1.02 ± 0.19 b | 0.73 ± 0.12 a | 0.92 ± 0.16 ab | 1.30 ± 0.20 c | 1.38 ± 0.27 c | 0.99 ± 0.16 b | 0.82 ± 0.07 ab |
| GR | 1.02 ± 0.21 bc | 0.66 ± 0.13 a | 1.17 ± 0.19 cd | 1.31 ± 0.21 d | 1.00 ± 0.16 bc | 0.90 ± 0.14 b | 0.82 ± 0.11 ab |
| Nrf2 | 1.00 ± 0.10 bc | 0.74 ± 0.11 a | 1.14 ± 0.18 cd | 1.28 ± 0.18 d | 1.00 ± 0.10 bc | 0.92 ± 0.14 b | 0.86 ± 0.08 ab |
| Keap1a | 1.02 ± 0.26 bc | 1.36 ± 0.14 d | 0.85 ± 0.17 ab | 0.73 ± 0.12 a | 1.09 ± 0.12 c | 1.19 ± 0.16 cd | 1.21 ± 0.19 cd |
| Keap1b | 1.01 ± 0.19 ab | 1.27 ± 0.20 c | 0.97 ± 0.13 a | 0.88 ± 0.13 a | 1.20 ± 0.17 bc | 1.23 ± 0.22 c | 1.24 ± 0.16 c |
| DL-Met | Met-Met | ||||||
|---|---|---|---|---|---|---|---|
| 2.50 | 0.00 | 0.79 | 1.44 | 1.84 | 2.22 | 2.85 | |
| CuZnSOD | 1.03 ± 0.24 | 1.00 ± 0.20 | 1.07 ± 0.13 | 1.14 ± 0.23 | 1.06 ± 0.24 | 1.02 ± 0.20 | 1.01 ± 0.19 |
| MnSOD | 1.01 ± 0.18 b | 0.74 ± 0.12 a | 0.93 ± 0.08 ab | 1.29 ± 0.19 c | 0.94 ± 0.19 ab | 0.86 ± 0.15 ab | 0.83 ± 0.14 ab |
| CAT | 1.01 ± 0.15 ab | 0.86 ± 0.21 a | 1.00 ± 0.13 ab | 1.17 ± 0.22 bc | 1.27 ± 0.20 c | 0.93 ± 0.15 a | 0.84 ± 0.08 a |
| GPX1a | 1.01 ± 0.15 bc | 0.71 ± 0.12 a | 1.00 ± 0.16 bc | 1.18 ± 0.09 cd | 1.27 ± 0.22 d | 1.09 ± 0.17 cd | 0.82 ± 0.15 ab |
| GPx1b | 1.02 ± 0.22 bc | 0.74 ± 0.15 a | 1.00 ± 0.13 abc | 1.26 ± 0.32 c | 1.27 ± 0.19 c | 1.08 ± 0.25 bc | 0.86 ± 0.14 ab |
| GPx4a | 1.00 ± 0.11 c | 0.68 ± 0.10 a | 0.83 ± 0.14 ab | 1.26 ± 0.14 d | 1.01 ± 0.14 c | 0.89 ± 0.15 bc | 0.74 ± 0.13 ab |
| GPx4b | 1.01 ± 0.15 b | 0.74 ± 0.14 a | 0.92 ± 0.15 ab | 1.39 ± 0.27 c | 1.07 ± 0.17 b | 0.87 ± 0.16 ab | 0.77 ± 0.11 a |
| GSTo1 | 1.02 ± 0.23 b | 0.73 ± 0.13 a | 0.84 ± 0.13 ab | 1.28 ± 0.23 c | 0.99 ± 0.19 b | 0.81 ± 0.20 ab | 0.73 ± 0.12 a |
| GSTo2 | 1.02 ± 0.23 bc | 0.78 ± 0.15 a | 1.03 ± 0.13 bc | 1.23 ± 0.12 cd | 1.25 ± 0.23 d | 0.97 ± 0.16 ab | 0.80 ± 0.15 a |
| GSTp1 | 1.01 ± 0.18 | 1.02 ± 0.14 | 1.05 ± 0.16 | 1.10 ± 0.20 | 1.00 ± 0.14 | 1.06 ± 0.21 | 0.98 ± 0.15 |
| GSTp2 | 1.01 ± 0.18 bc | 0.77 ± 0.18 a | 0.95 ± 0.15 ab | 1.20 ± 0.21 c | 0.98 ± 0.15 b | 0.83 ± 0.13 ab | 0.75 ± 0.11 a |
| GSTR | 1.02 ± 0.19 b | 0.75 ± 0.15 a | 0.91 ± 0.14 ab | 1.27 ± 0.16 c | 1.06 ± 0.19 b | 0.86 ± 0.14 ab | 0.78 ± 0.11 a |
| GR | 1.03 ± 0.24 b | 0.73 ± 0.11 a | 0.95 ± 0.11 ab | 1.29 ± 0.25 cd | 1.42 ± 0.27 d | 1.08 ± 0.14 bc | 0.88 ± 0.16 ab |
| Nrf2 | 1.01 ± 0.16 b | 0.64 ± 0.11 a | 1.13 ± 0.16 bc | 1.27 ± 0.21 c | 1.04 ± 0.16 b | 0.81 ± 0.12 a | 0.77 ± 0.09 a |
| Keap1a | 1.01 ± 0.16 ab | 1.29 ± 0.25 c | 1.11 ± 0.19 bc | 0.85 ± 0.17 a | 1.11 ± 0.18 bc | 1.16 ± 0.22 bc | 1.23 ± 0.20 bc |
| Keap1b | 1.01 ± 0.15 ab | 1.27 ± 0.17 c | 0.96 ± 0.14 a | 0.89 ± 0.11 a | 1.17 ± 0.15 bc | 1.21 ± 0.21 c | 1.23 ± 0.16 c |
| Parameters | Regression Equation | R2 | p | Optimal Level of Met-Met (g/kg) | |
|---|---|---|---|---|---|
| PI | MDA | y = 4.0114x2 − 13.377x + 29.711 | 0.9158 | 0.02 | 1.67 |
| PC | y = 0.3073x2 − 1.0392x + 2.7039 | 0.9172 | 0.03 | 1.69 | |
| ROS | y = 19.303x2 − 70.801x + 160.04 | 0.9382 | 0.02 | 1.83 | |
| AHR | y = −3.5705x2 + 11.776x + 34.574 | 0.8519 | 0.06 | 1.65 | |
| ASA | y = −13.701x2 + 52.013x + 71.432 | 0.8589 | 0.05 | 1.90 | |
| T-AOC | y = −0.2453x2 + 0.8498x + 1.1529 | 0.8986 | 0.03 | 1.73 | |
| MI | MDA | y = 3.3909x2 − 11.155x + 24.489 | 0.8824 | 0.04 | 1.64 |
| PC | y = 0.2155x2 − 0.7092x + 2.252 | 0.8987 | 0.03 | 1.65 | |
| ROS | y = 19.117x2 − 55.073x + 137.57 | 0.8445 | 0.06 | 1.44 | |
| AHR | y = −4.1452x2 + 13.877x + 36.22 | 0.9220 | 0.02 | 1.67 | |
| ASA | y = −24.882x2 + 81.343x + 107.02 | 0.9583 | 0.01 | 1.67 | |
| T-AOC | y = −0.3335x2 + 1.0892x + 1.3004 | 0.9701 | 0.01 | 1.63 | |
| DI | MDA | y = 3.4159x2 − 11.569x + 27.058 | 0.9293 | 0.02 | 1.69 |
| PC | y = 0.156x2 − 0.5145x + 2.3605 | 0.8855 | 0.04 | 1.65 | |
| ROS | y = 25.517x2 − 75.992x + 153.41 | 0.8690 | 0.05 | 1.49 | |
| AHR | y = −4.4182x2 + 14.862x + 36.781 | 0.9305 | 0.02 | 1.68 | |
| ASA | y = −16.465x2 + 52.281x + 73.494 | 0.8724 | 0.05 | 1.59 | |
| T-AOC | y = −0.2413x2 + 0.7319x + 1.5154 | 0.8167 | 0.08 | 1.52 |
Publisher’s Note: MDPI stays neutral with regard to jurisdictional claims in published maps and institutional affiliations. |
© 2022 by the authors. Licensee MDPI, Basel, Switzerland. This article is an open access article distributed under the terms and conditions of the Creative Commons Attribution (CC BY) license (https://creativecommons.org/licenses/by/4.0/).
Share and Cite
Wu, P.; Su, Y.; Feng, L.; Jiang, W.; Kuang, S.; Tang, L.; Jiang, J.; Liu, Y.; Zhou, X. Optimal DL-Methionyl-DL-Methionine Supplementation Improved Intestinal Physical Barrier Function by Changing Antioxidant Capacity, Apoptosis and Tight Junction Proteins in the Intestine of Juvenile Grass Carp (Ctenopharyngodon idella). Antioxidants 2022, 11, 1652. https://doi.org/10.3390/antiox11091652
Wu P, Su Y, Feng L, Jiang W, Kuang S, Tang L, Jiang J, Liu Y, Zhou X. Optimal DL-Methionyl-DL-Methionine Supplementation Improved Intestinal Physical Barrier Function by Changing Antioxidant Capacity, Apoptosis and Tight Junction Proteins in the Intestine of Juvenile Grass Carp (Ctenopharyngodon idella). Antioxidants. 2022; 11(9):1652. https://doi.org/10.3390/antiox11091652
Chicago/Turabian StyleWu, Pei, Yuening Su, Lin Feng, Weidan Jiang, Shengyao Kuang, Ling Tang, Jun Jiang, Yang Liu, and Xiaoqiu Zhou. 2022. "Optimal DL-Methionyl-DL-Methionine Supplementation Improved Intestinal Physical Barrier Function by Changing Antioxidant Capacity, Apoptosis and Tight Junction Proteins in the Intestine of Juvenile Grass Carp (Ctenopharyngodon idella)" Antioxidants 11, no. 9: 1652. https://doi.org/10.3390/antiox11091652
APA StyleWu, P., Su, Y., Feng, L., Jiang, W., Kuang, S., Tang, L., Jiang, J., Liu, Y., & Zhou, X. (2022). Optimal DL-Methionyl-DL-Methionine Supplementation Improved Intestinal Physical Barrier Function by Changing Antioxidant Capacity, Apoptosis and Tight Junction Proteins in the Intestine of Juvenile Grass Carp (Ctenopharyngodon idella). Antioxidants, 11(9), 1652. https://doi.org/10.3390/antiox11091652
