Scutellaria petiolata Hemsl. ex Lace & Prain (Lamiaceae).: A New Insight in Biomedical Therapies
Abstract
:1. Introduction
2. Materials and Methods
2.1. Apparatus and Reagents Used
2.2. Collection and Identification of Plant Samples
2.3. Plant Samples Processing
2.3.1. Crude Extract Preparation
2.3.2. Fractionation of Crude Extract
2.4. Stock Solution
2.5. Qualitative Assessment of Phytochemical Detection
2.5.1. Flavonoids
2.5.2. Phenols
2.5.3. Alkaloids
2.5.4. Carbohydrates
2.6. Analytical Determination of Flavonoids and Phenols
2.6.1. Quantification of Total Flavonoids Contents
2.6.2. Estimation of Total Phenolic Contents
2.7. ESI-LC-MS/MS Analysis
2.8. Biological Activities
2.8.1. In Vitro Activities
2.8.2. Antibacterial Evaluation
2.8.3. Antifungal Assessment
2.8.4. Antioxidant Determination
2.9. In Vivo Activities
2.9.1. Ethical Approval
2.9.2. Anti-Inflammatory Activities
2.9.3. Analgesic Activities
2.10. Statistical Analysis
3. Results and Discussion
3.1. Phytochemicals Qualitative Detection
3.2. Assessment of Total Flavonoids and Phenols
Flavonoids and Phenols Contents
3.3. ESI-LC-MS Assessment
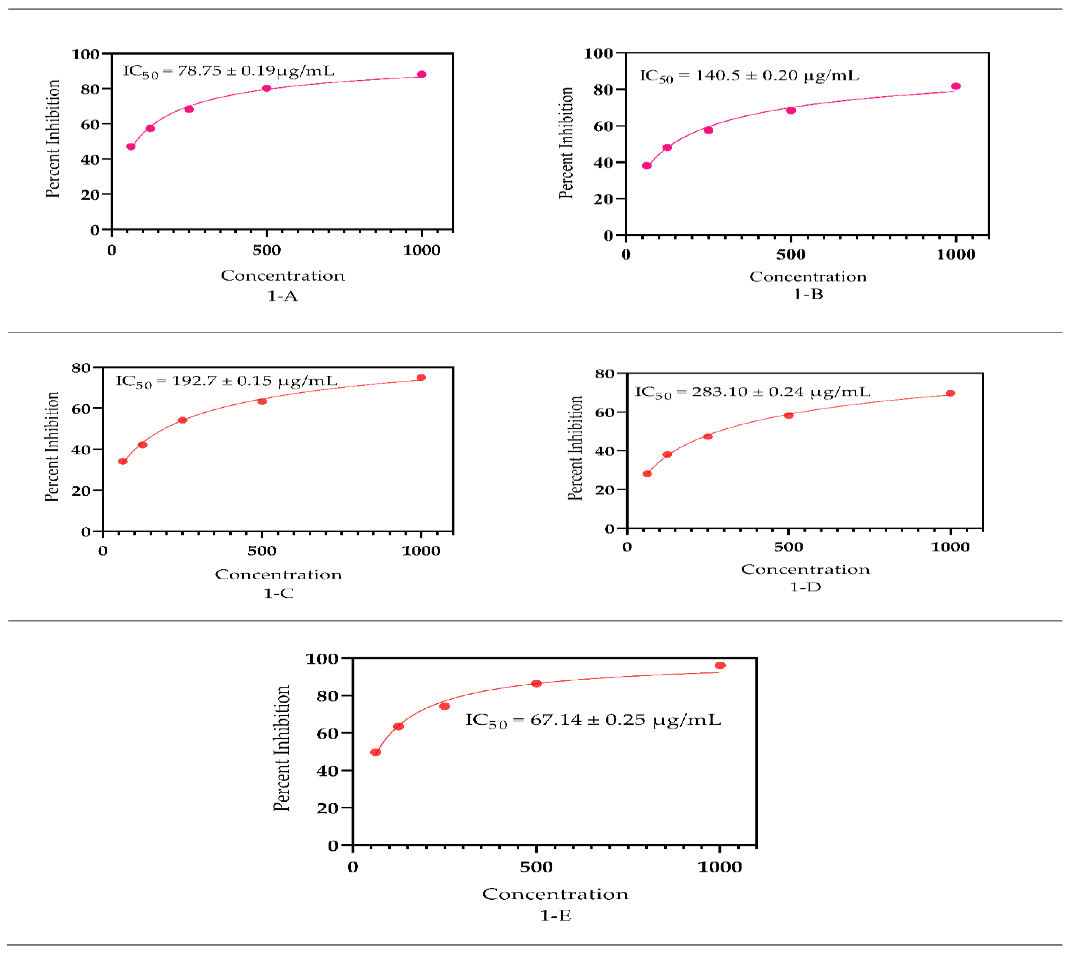
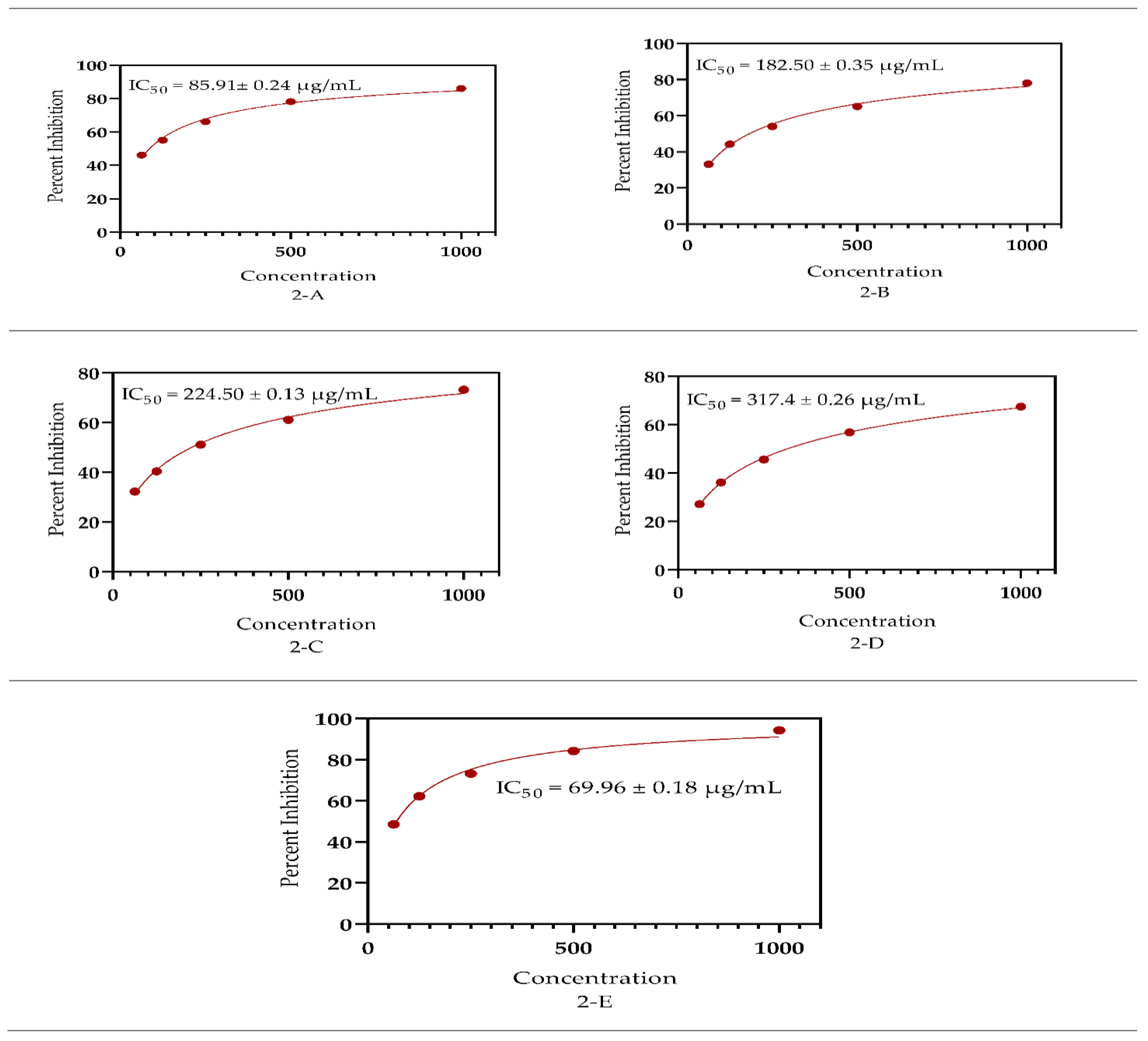
3.4. Antimicrobial Potential
3.4.1. Antibacterial Significance
3.4.2. Antifungal Significance
3.5. Antioxidant Capacity
3.6. In Vivo Activities
3.6.1. Anti-Inflammatory Significance
3.6.2. Analgesic Potential
4. Conclusions
Supplementary Materials
Author Contributions
Funding
Institutional Review Board Statement
Informed Consent Statement
Data Availability Statement
Acknowledgments
Conflicts of Interest
Sample Availability
References
- Kabir, M.T.; Rahman, M.H.; Shah, M.; Jamiruddin, M.R.; Basak, D.; Al-Harrasi, A.; Bhatia, S.; Ashraf, G.M.; Najda, A.; El-Kott, A.F. Therapeutic promise of carotenoids as antioxidants and anti-inflammatory agents in neurodegenerative disorders. Biomed. Pharmacother. 2022, 146, 112610. [Google Scholar] [CrossRef] [PubMed]
- Shah, M.; Murad, W.; Ur Rehman, N.; Halim, S.A.; Ahmed, M.; Rehman, H.; Zahoor, M.; Mubin, S.; Khan, A.; Nassan, M.A. Biomedical Applications of Scutellaria edelbergii Rech. f.: In vitro and in vivo Approach. Molecules 2021, 26, 3740. [Google Scholar] [CrossRef]
- Ullah, A.; Munir, S.; Badshah, S.L.; Khan, N.; Ghani, L.; Poulson, B.G.; Emwas, A.-H.; Jaremko, M. Important flavonoids and their role as a therapeutic agent. Molecules 2020, 25, 5243. [Google Scholar] [CrossRef]
- Soobrattee, M.A.; Neergheen, V.S.; Luximon-Ramma, A.; Aruoma, O.I.; Bahorun, T. Phenolics as potential antioxidant therapeutic agents: Mechanism and actions. Mut. Res. Fund. Mol. Mechan. Mutag. 2005, 579, 200–213. [Google Scholar] [CrossRef]
- A Rane, R.; Jain, K.; Shaikh, M.; Hampannavar, G.; Karpoormath, R. A recent perspective on discovery and development of diverse therapeutic agents inspired from isatin alkaloids. Curr. Top. Med. Chem. 2016, 16, 1262–1289. [Google Scholar] [CrossRef]
- Joshi, B.; Lekhak, S.; Sharma, A.J.S. Antibacterial property of different medicinal plants: Ocimum sanctum, Cinnamomum zeylanicum, Xanthoxylum armatum and Origanum majorana. Kathmandu Univ. J. Sci. Eng. Technol. 2009, 5, 143–150. [Google Scholar] [CrossRef] [Green Version]
- Okwu, D.E. Phytochemical and vitamin content of indigenous spices of South Eastern Nigeria. J. Sustain. Agric. Environ. 2004, 6, 30–34. [Google Scholar]
- Edeoga, H.; Eriata, D.O. Alkaloid, tannin and saponin contents of some Nigeria medicinal plants. J. Med. Aromatic. Plant Sci. 2001, 23, 344–349. [Google Scholar]
- Nazir, N.; Jan, M.R.; Ali, A.; Asif, M.; Idrees, M.; Nisar, M.; Zahoor, M.; Abd El-Salam, N.M.J. Prevalence of hepatitis-C virus genotypes and potential transmission risks in Malakand Khyber Pakhtunkhwa, Pakistan. Virol. J. 2017, 14, 1–9. [Google Scholar] [CrossRef] [Green Version]
- Shah, M.; Rahman, H.; Khan, A.; Bibi, S.; Ullah, O.; Ullah, S.; Ur Rehman, N.; Murad, W.; Al-Harrasi, A. Identification of α-Glucosidase Inhibitors from Scutellaria edelbergii: ESI-LC-MS and Computational Approach. Molecules 2022, 27, 1322. [Google Scholar] [CrossRef]
- Singh, R.; Sawhney, S. Advances in Frontier Areas of Plant Biochemistry; Prentice-Hall of India Private Limited: Hoboken, NJ, USA, 1988; p. 581-19200000. [Google Scholar]
- Rein, D.; Paglieroni, T.G.; Wun, T.; Pearson, D.A.; Schmitz, H.H.; Gosselin, R.; Keen, C.L.C. Cocoa inhibits platelet activation and function. Am. J. Clin. Res. 2000, 72, 30–35. [Google Scholar] [CrossRef] [PubMed] [Green Version]
- Farooq, U.; Waseem, B.; Muzaffar, R.; Tripathi, J.; Tharani, M.; Sharma, M. A comparative study of phytochemical investigation of Xanthium strumarium medicinal plant. Int. J. Res. Pharm. Chem. 2014, 4, 96–100. [Google Scholar]
- Osuagwu, G.; Okwulehie, I.; Emenike, J.J.S. Phytochemical and Mineral content of the leaves of four Nigerian Pterocarpus species. Int. J. Mol. Med. Adv. Sci. 2007, 3, 6–11. [Google Scholar]
- Okwu, D.J.G.P.; Sciences, A. Evaluation of chemical composition of indeginous species and flavouring agents. Glob. J. Pure Appl. Sci. 2001, 7, 455–460. [Google Scholar] [CrossRef]
- Kumar, M.; Prasad, S.K.; Hemalatha, S.J.P.R. A current update on the phytopharmacological aspects of Houttuynia cordata Thunb. Pharmacogn. Rev. 2014, 8, 22. [Google Scholar] [PubMed] [Green Version]
- Falcone, M.; Paterson, D. Spotlight on ceftazidime/avibactam: A new option for MDR Gram-negative infections. J. Antimicrob. Chemother. 2016, 71, 2713–2722. [Google Scholar] [CrossRef] [PubMed] [Green Version]
- Fair, R.; Tor, Y. Antibiotics and bacterial resistance in the 21st century. Perspect. Med. Chem. 2014, 6, 25–64. [Google Scholar] [CrossRef] [Green Version]
- Bakal, S.N.; Bereswill, S.; Heimesaat, M.M. Finding novel antibiotic substances from medicinal plants antimicrobial properties of Nigella sativa directed against multidrug resistant bacteria. Eur. J. Microbiol. Immunol. 2017, 7, 92–98. [Google Scholar] [CrossRef] [Green Version]
- Yu, M.; Gouvinhas, I.; Rocha, J.; Barros, A.I. Phytochemical and antioxidant analysis of medicinal and food plants towards bioactive food and pharmaceutical resources. Sci. Rep. 2021, 11, 1–14. [Google Scholar] [CrossRef]
- Akhtar, M.F.; Saleem, A.; Hamid, I.; Alsharif, K.F.; Abdel-Daim, M.M.; Rahman, M.H.; Shah, M.; Sohail, K.; Javaid, Z. Contemporary uses of old folks: The immunomodulatory and toxic potential of fenbufen. Cell. Mol. Biol. 2021, 67, 27–37. [Google Scholar] [CrossRef]
- Akhtar, M. Anti-inflammatory Medicinal Plants of Bangladesh–A Pharmacological Evaluation. Front. Pharmacol. 2022, 3, 464–467. [Google Scholar] [CrossRef] [PubMed]
- Chopra, H.; Dey, P.S.; Das, D.; Bhattacharya, T.; Shah, M.; Mubin, S.; Maishu, S.P.; Akter, R.; Rahman, M.; Karthika, C. Curcumin Nanoparticles as Promising Therapeutic Agents for Drug Targets. Molecules 2021, 26, 4998. [Google Scholar] [CrossRef]
- Attiq, A.; Jalil, J.; Husain, K.; Ahmad, W. Raging the war against inflammation with natural products. Front. Pharmacol. 2018, 9, 976–979. [Google Scholar] [CrossRef] [PubMed]
- Arulselvan, P.; Fard, M.T.; Tan, W.S.; Gothai, S.; Fakurazi, S.; Norhaizan, M.E.; Kumar, S.S. Role of antioxidants and natural products in inflammation. Oxid. Med. Cell. Longev. 2016, 2, 15–21. [Google Scholar] [CrossRef] [PubMed] [Green Version]
- Yilmaz, G.; Simsek, D.; Altanlar, N.; Cicek, M. Comparison of the antimicrobial activity of some Scutellaria orientalis L. taxa growing in Turkey. Int. J. Second. Metab. 2020, 7, 192–199. [Google Scholar] [CrossRef]
- Shi, G.-X.; Shao, J.; Wang, T.-M.; Wang, C.Z.M. New advance in studies on antimicrobal activity of Scutellaria baicalensis and its effective ingredients. China J. Chin. Mat. Med. 2014, 39, 3713–3718. [Google Scholar]
- Bruno, M.; Piozzi, F.; Rosselli, S. Natural and hemisynthetic neoclerodane diterpenoids from Scutellaria and their antifeedant activity. Nat. Prod. Rep. 2002, 19, 357–378. [Google Scholar] [CrossRef]
- Rahman, M.U.; Muhammad, Z.; Ullah, A.; Ullah, R.; Ullah, T.; Jelani, G.; Ali, S.G.; Khan, W.M.; Ali, H. Phytogeographical And Ecological Studies Of The Endemic Flora of Zaini Valley Chitral, Hindukush Range, Pakistan. Wulfania J. 2020, 27, 1–10. [Google Scholar]
- Khan, K.R.; Iqbal, Z.; Alam, J.; Farooq, M.; Shah, A.H.; Hussain, M.; Shah, G.M.; Ali, D. Comparative study on floristic diversity of protected and unprotected Forests of Sathan Gali, District Mansehra, KP, Pakistan. Acta Ecol. Sin. 2019, 39, 273–279. [Google Scholar] [CrossRef]
- Hussain, W.; Badshah, L.; Asghar, A.; Hussain, F. Vincetoxicum cardiostephanum a threatened sub-endemic species in Koh-e-Safaid range, Pakistan. Biol. Diver. Conser. 2019, 13, 19–26. [Google Scholar] [CrossRef]
- Shang, X.; He, X.; He, X.; Li, M.; Zhang, R.; Fan, P.; Zhang, Q.; Jia, Z. The genus Scutellaria an ethnopharmacological and phytochemical review. J. Ethnopharmacol. 2010, 128, 279–313. [Google Scholar] [CrossRef] [PubMed]
- Uritu, C.M.; Mihai, C.T.; Stanciu, G.-D.; Dodi, G.; Alexa-Stratulat, T.; Luca, A.; Leon-Constantin, M.-M.; Stefanescu, R.; Bild, V.; Melnic, S.J.P.R. Management, Medicinal plants of the family Lamiaceae in pain therapy: A review. Pain Res. Manag. 2018, 2018, 1–44. [Google Scholar] [CrossRef] [PubMed] [Green Version]
- Gupta, D.; Dubey, J.; Kumar, M. Phytochemical analysis and antimicrobial activity of some medicinal plants against selected common human pathogenic microorganisms. Asian Pac. J. Trop. Dis. 2016, 6, 15–20. [Google Scholar] [CrossRef]
- Ali, H.; Qaiser, M. The ethnobotany of Chitral valley, Pakistan with particular reference to medicinal plants. Pak. J. Bot. 2009, 41, 2009–2041. [Google Scholar]
- Auwal, M.S.; Saka, S.; Mairiga, I.A.; Sanda, K.A.; Shuaibu, A.; Ibrahim, A. In Preliminary phytochemical and elemental analysis of aqueous and fractionated pod extracts of Acacia nilotica (Thorn mimosa). Vet. Res. Forum Int. Quart. J. 2014, 2, 95. [Google Scholar]
- Gacem, M.A.; Telli, A.; Gacem, H.; Ould-El-Hadj-Khelil, A. Phytochemical screening, antifungal and antioxidant activities of three medicinal plants from Algerian steppe and Sahara (preliminary screening studies). Appl. Sci. 2019, 1, 1721. [Google Scholar] [CrossRef] [Green Version]
- Sankhalkar, S.; Vernekar, V. Quantitative and Qualitative analysis of Phenolic and Flavonoid content in Moringa oleifera Lam and Ocimum tenuiflorum L. Pharmacogn. Res. 2016, 8, 16. [Google Scholar] [CrossRef] [Green Version]
- Khan, I.; Rahman, H.; El-Salam, A.; Nasser, M.; Tawab, A.; Hussain, A.; Khan, T.A.; Khan, U.A.; Qasim, M.; Adnan, M. Punica granatum peel extracts: HPLC fractionation and LC-MS analysis to quest compounds having activity against multidrug resistant bacteria. BMC Complement. Altern. Med. 2017, 17, 1–6. [Google Scholar] [CrossRef]
- Cazella, L.N.; Glamoclija, J.; Sokovic, M.; Goncalves, J.E.; Linde, G.A.; Colauto, N.B.; Gazim, Z.C. Antimicrobial activity of essential oil of Baccharis dracunculifolia DC (Asteraceae) aerial parts at flowering period. Front. Plant Sci. 2019, 2, 27. [Google Scholar] [CrossRef] [Green Version]
- Shah, M.; Murad, W.; Ur Rehman, N.; Mubin, S.; Al-Sabahi, J.N.; Ahmad, M.; Zahoor, M.; Ullah, O.; Waqas, M.; Ullah, S. GC-MS Analysis and Biomedical Therapy of Oil from n-Hexane Fraction of Scutellaria edelbergii Rech. f.: In vitro, in vivo, and in silico approach. Molecules 2021, 26, 7676. [Google Scholar] [CrossRef]
- Kedare, S.B.; Singh, R. Genesis and development of DPPH method of antioxidant assay. J. Food Sci. Technol. 2011, 48, 412–422. [Google Scholar] [CrossRef] [Green Version]
- Du Sert, N.P.; Ahluwalia, A.; Alam, S.; Avey, M.T.; Baker, M.; Browne, W.J.; Clark, A.; Cuthill, I.C.; Dirnagl, U.; Emerson, M. Reporting animal research: Explanation and elaboration for the ARRIVE guidelines 2.0. PLoS Biol. 2020, 18, 300–411. [Google Scholar]
- Hosseini, S.H.; Sadeghi, Z.; Hosseini, S.V.; Bussmann, R.W. Ethnopharmacological study of medicinal plants in Sarvabad, Kurdistan province, Iran. J. Ethnopharmacol. 2022, 2, 114985. [Google Scholar] [CrossRef] [PubMed]
- Goyal, A.; Sharma, A.; Kaur, J.; Kumari, S.; Garg, M.; Sindhu, R.K.; Rahman, M.H.; Akhtar, M.F.; Tagde, P.; Najda, A. Bioactive-Based Cosmeceuticals: An Update on Emerging Trends. Molecules 2022, 27, 828. [Google Scholar] [CrossRef] [PubMed]
- Phuyal, N.; Jha, P.K.; Raturi, P.P.; Rajbhandary, S. Total phenolic, flavonoid contents, and antioxidant activities of fruit, seed, and bark extracts of Zanthoxylum armatum DC. Sci. World J. 2020, 3, 20–24. [Google Scholar] [CrossRef] [PubMed] [Green Version]
- Yang, L.; Wen, K.-S.; Ruan, X.; Zhao, Y.-X.; Wei, F.; Wang, Q. Response of plant secondary metabolites to environmental factors. Molecules 2018, 23, 762. [Google Scholar] [CrossRef] [Green Version]
- Griesser, M.; Weingart, G.; Schoedl-Hummel, K.; Neumann, N.; Becker, M.; Varmuza, K.; Liebner, F.; Schuhmacher, R.; Forneck, A.J.P. Biochemistry, Severe drought stress is affecting selected primary metabolites, polyphenols, and volatile metabolites in grapevine leaves (Vitis vinifera cv. Pinot noir). Plant Physiol. Biochem. 2015, 88, 17–26. [Google Scholar] [CrossRef]
- Metlen, K.L.; Aschehoug, E.T.; Callaway, R.M. Plant behavioural ecology: Dynamic plasticity in secondary metabolites. Plant Cell Environ. 2009, 32, 641–653. [Google Scholar] [CrossRef]
- Stepanova, A.Y.; Solov’eva, A.I.; Malunova, M.V.; Salamaikina, S.A.; Panov, Y.M.; Lelishentsev, A.A. Hairy Roots of Scutellaria spp.(Lamiaceae) as Promising Producers of Antiviral Flavones. Molecules 2021, 26, 3927. [Google Scholar] [CrossRef]
- Liu, H.-L.; Kao, T.-H.; Shiau, C.-Y.; Chen, B.-H.J.J. Analysis of Functional components in Scutellaria barbata D. Don with anti-inflammatory activity on RAW 264.7 cells. J. Food Drug Anal. 2018, 26, 31–40. [Google Scholar] [CrossRef] [Green Version]
- Park, C.H.; Kim, Y.S.; Li, X.; Kim, H.H.; Arasu, M.V.; Al-Dhabi, N.A.; Lee, S.Y.; Park, S.U. Influence of different carbohydrates on flavonoid accumulation in hairy root cultures of Scutellaria baicalensis. Nat. Prod. Commun. 2016, 11, 578–625. [Google Scholar] [CrossRef] [Green Version]
- Chen, S.; Yuan, Y.; Luo, Y.; Huang, L.; Chen, P.; Li, X. Effects of light on flavonoids accumulation and related gene expression in suspension cultures of Scutellaria baicalensis. China J. Chin. Mat. Med. 2010, 35, 682–685. [Google Scholar]
- Li, Y.; Kong, D.; Fu, Y.; Sussman, M.R.; Wu, H. The effect of developmental and environmental factors on secondary metabolites in medicinal plants. Plant Physiol. Biochem. 2020, 148, 80–89. [Google Scholar] [CrossRef] [PubMed]
- Ghosh, P.; Mandal, A.; Chakraborty, P.; Rasul, M.; Chakraborty, M.; Saha, A. Triterpenoids from Psidium guajava with biocidal activity. Indian J. Pharm. Sci. 2010, 72, 504. [Google Scholar] [CrossRef] [PubMed] [Green Version]
- Tomimori, T.; Miyaichi, Y.; Imoto, Y.; Kizu, H.; Namba, T. Studies on the Nepese Crude Drugs. VI.: On the Flavonoid Constituents of the Root of Scutellaria discolor Colebr. Chem. Pharm. Bull. 1986, 34, 406–408. [Google Scholar] [CrossRef] [Green Version]
- Takagi, S.; Yamaki, M.; Inoue, K. Studies on the water-soluble constituents of the roots of Scutellaria baicalensis Georgi (Wogon). J. Pharm. Soc. Jpn. 1980, 100, 1220–1224. [Google Scholar] [CrossRef]
- Zhang, C.; Zhang, Y.; Chen, J.; Liang, X. Purification and characterization of baicalin-β-D-glucuronidase hydrolyzing baicalin to baicalein from fresh roots of Scutellaria viscidula Bge. Process Biochem. 2005, 40, 1911–1915. [Google Scholar] [CrossRef]
- Tomimori, T.; Miyaichi, Y.; Kizu, H. On the flavonoid constituents from the roots of Scutellaria baicalensis Georgi. I. J. Pharm. Soc. Jpn. 1982, 102, 388–391. [Google Scholar] [CrossRef] [Green Version]
- Dehkordi, F.J.; Kharazian, N.; Lorigooini, Z. Characterization of flavonoid components in Scutellaria L. Species (Lamiaceae) using finger-printing analysis. Acta Biol. Crac. Bot. 2020, 3, 79–96. [Google Scholar]
- Kikuchi, Y.; Miyaichi, Y.; Tomimori, T. Studies on the Nepalese Crude Drugs. XIII. On the Flavonoid and Iridoid Constituents of the Root of Scutellaria grossa Wall. Chem. Pharm. Bull. 1991, 39, 1051–1054. [Google Scholar] [CrossRef] [Green Version]
- Dai, S.-J.; Tao, J.-Y.; Liu, K.; Jiang, Y.T.; Shen, L. Neo-Clerodane diterpenoids from Scutellaria barbata with cytotoxic activities. Phytochemistry 2006, 67, 1326–1330. [Google Scholar] [CrossRef] [PubMed]
- Shen, X.; Liu, Y.; Luo, X.; Yang, Z. Advances in biosynthesis, pharmacology, and pharmacokinetics of pinocembrin, a promising natural small-molecule drug. Molecules 2019, 24, 2323. [Google Scholar] [CrossRef] [PubMed] [Green Version]
- Wang, J.-F.; Liu, S.-S.; Song, Z.-Q.; Xu, T.-C.; Liu, C.-S.; Hou, Y.-G.; Huang, R.; Wu, S.-H. Naturally occurring flavonoids and isoflavonoids and their microbial transformation: A review. Molecules 2020, 25, 5112. [Google Scholar] [CrossRef] [PubMed]
- Mangoyi, R.; Midiwo, J.; Mukanganyama, S. Isolation and characterization of an antifungal compound 5-hydroxy-7, 4’-dimethoxyflavone from Combretum zeyheri. BMC Complement. Altern. Med. 2015, 15, 405. [Google Scholar] [CrossRef] [Green Version]
- Esquivel, B.; Flores, E.; Hernandez-Ortega, S.; Toscano, R.A. Neo-clerodane diterpenoids from Scutellaria drummondii. Phytochemistry 1995, 38, 175–179. [Google Scholar] [CrossRef]
- Bruno, M.; Piozzi, F.; Maggio, A.M.; Simmonds, M.S. Antifeedant activity of neoclerodane diterpenoids from two Sicilian species of Scutellaria. Biochem. Syst. Ecol. 2002, 8, 793–799. [Google Scholar] [CrossRef]
- Bardakci, H.; Skaltsa, H.; Milosevic-Ifantis, T.; Lazari, D.; Hadjipavlou-Litina, D.; Yeşilada, E.; Kırmızıbekmez, H. Antioxidant activities of several Scutellaria taxa and bioactive phytoconstituents from Scutellaria hastifolia L. Indus. Crops Prod. 2015, 77, 196–203. [Google Scholar] [CrossRef]
- Kasaian, J.; Alesheikh, P.; Mohammadi, A. Chemical Compositions and Biological Activities of Scutellaria genus Essential Oils (Lamiaceae). Jundishapur J. Nat. Pharm. Prod. 2020, 15, 21–27. [Google Scholar] [CrossRef]
- Ma, S.C.; Du, J.; But, P.P.-H.; Deng, X.L.; Zhang, Y.W.; Ooi, V.E.-C.; Xu, H.-X.; Lee, S.H.S.; Lee, S.F. Antiviral Chinese medicinal herbs against respiratory syncytial virus. J. Ethnopharm. 2002, 79, 205–211. [Google Scholar] [CrossRef]
- Krishna, P.M.; Knv, R.; Banji, D. A review on phytochemical, ethnomedical and pharmacological studies on genus Sophora, Fabaceae. Rev. Bras. De Farmacogn. 2012, 22, 1145–1154. [Google Scholar] [CrossRef] [Green Version]
- Liu, Y.; Xu, Y.; Ji, W.; Li, X.; Sun, B.; Gao, Q.; Su, C. Anti-tumor activities of matrine and oxymatrine: Literature review. Tumor Biol. 2014, 35, 5111–5119. [Google Scholar] [CrossRef] [PubMed]
- Gao, Y.; Li, G.; Li, C.; Zhu, X.; Li, M.; Fu, C.; Li, B. Anti-nociceptive and anti-inflammatory activity of sophocarpine. J. Ethnopharmacol. 2009, 125, 324–329. [Google Scholar] [CrossRef] [PubMed]
- Zhou, Z.H.; Zhang, Y.J.; Yang, C.-R. New flavonoid glycosides from Scutellaria amoena. Stud. Plant Sci. 1999, 6, 305–310. [Google Scholar]
- Calis, I.; Kirmizibekmez, H.; Beutler, J.A.; Donmez, A.A.; Yalçin, F.N.; Kilic, E.; Ozalp, M.; Ruedi, P.; Tasdemir, D. Secondary metabolites of Phlomis viscosa and their biological activities. Turk. J. Chem. 2005, 29, 71–82. [Google Scholar]
- Li, Y.; Chen, L.; Pu, R.; Zhou, L.; Zhou, X.; Li, X. Effects of a matrine-and sophoridine-containing herbal compound medicine (AH-05) on liver cancer. Nat. Prod. Commun. 2020, 15, 209–352. [Google Scholar] [CrossRef]
- Hussain, H.; Ahmad, V.U.; Anwar, S.; Miana, G.A.; Krohn, K. Chemical constituents of Scutellaria linearis. Biochem. Syst. Ecol. 2008, 5, 490–492. [Google Scholar] [CrossRef]
- Cushnie, T.T.; Lamb, A.J. Antimicrobial activity of flavonoids. Int. J. Antimicrob. Agents 2005, 26, 343–356. [Google Scholar] [CrossRef]
- Górniak, I.; Bartoszewski, R.; Kroliczewski, J. Comprehensive review of antimicrobial activities of plant flavonoids. Phytochem. Rev. 2019, 18, 241–272. [Google Scholar] [CrossRef] [Green Version]
- Cueva, C.; Moreno-Arribas, M.V.; Martín-Álvarez, P.J.; Bills, G.; Vicente, M.F.; Basilio, A.; Rivas, C.L.; Requena, T.; Rodríguez, J.M.; Bartolomé, B. Antimicrobial activity of phenolic acids against commensal, probiotic and pathogenic bacteria. Res. Microbiol. 2010, 161, 372–382. [Google Scholar] [CrossRef]
- Leach, F.S. Anti-microbial properties of Scutellaria baicalensis and Coptis chinensis, two traditional Chinese medicines. Biosci. Horiz. 2011, 4, 119–127. [Google Scholar] [CrossRef] [Green Version]
- Arituluk, Z.C.; Ozkul Kocak, C.; Renda, G.; Ekizoglu, M.; Ezer, N. Antimicrobial activity of three Scutellaria L. species from Turkey. J. Res. Pharm. 2019, 23, 552–558. [Google Scholar] [CrossRef] [Green Version]
- Ordon, M.; Nawrotek, P.; Stachurska, X.; Schmidt, A.; Mizielińska, M. Mixtures of Scutellaria baicalensis and Glycyrrhiza L. Extracts as Antibacterial and Antiviral Agents in Active Coatings. Coatings 2021, 11, 1438. [Google Scholar] [CrossRef]
- Simonetti, G.; Brasili, E.; Pasqua, G. Antifungal activity of phenolic and polyphenolic compounds from different matrices of Vitis vinifera L. Against human pathogens. Molecules 2020, 25, 3748. [Google Scholar] [CrossRef] [PubMed]
- Galeotti, F.; Barile, E.; Curir, P.; Dolci, M.; Lanzotti, V. Flavonoids from carnation (Dianthus caryophyllus) and their antifungal activity. Phytochem. Lett. 2008, 1, 44–48. [Google Scholar] [CrossRef]
- Da, X.; Nishiyama, Y.; Tie, D.; Hein, K.Z.; Yamamoto, O.; Morita, E. Antifungal activity and mechanism of action of Ou-gon (Scutellaria root extract) components against pathogenic fungi. Sci. Rep. 2019, 9, 1–12. [Google Scholar] [CrossRef]
- Zhao, T.; Tang, H.; Xie, L.; Zheng, Y.; Ma, Z.; Sun, Q.; Li, X. Scutellaria baicalensis Georgi.(Lamiaceae): A review of its traditional uses, botany, phytochemistry, pharmacology and toxicology. J. Pharm. Pharmacol. 2019, 71, 1353–1369. [Google Scholar] [CrossRef] [Green Version]
- Yakoub, A.R.B.; Abdehedi, O.; Jridi, M.; Elfalleh, W.; Nasri, M.; Ferchichi, A. Flavonoids, phenols, antioxidant, and antimicrobial activities in various extracts from Tossa jute leave (Corchorus olitorus L.). Indus. Crops Prod. 2018, 118, 206–213. [Google Scholar] [CrossRef]
- Malikov, V.; Yuldashev, M. Phenolic compounds of plants of the Scutellaria L. genus. Distribution, structure, and properties. Chem. Nat. Compd. 2002, 38, 358–406. [Google Scholar] [CrossRef]
- Pei, T.; Yan, M.; Huang, Y.; Wei, Y.; Martin, C.; Zhao, Q. Specific Flavonoids and Their Biosynthetic Pathway in Scutellaria baicalensis. Front. Plant Sci. 2022, 13, 866282. [Google Scholar] [CrossRef]
- Imeneo, V.; Romeo, R.; De Bruno, A.; Piscopo, A. Green-sustainable extraction techniques for the recovery of antioxidant compounds from “Citrus Limon” by-products. J. Environ. Sci. Health 2022, 2, 1–13. [Google Scholar] [CrossRef]
- Giuffrè, A.M. Bergamot (Citrus bergamia, Risso): The effects of cultivar and harvest date on functional properties of juice and cloudy juice. Antioxidants 2019, 8, 221. [Google Scholar] [CrossRef] [PubMed] [Green Version]
- Kodama, D.H.; Goncalves, A.E.S.; Lajolo, F.M.; Genovese, M.I. Flavonoids, total phenolics and antioxidant capacity: Comparison between commercial green tea preparations. Food Sci. Technol. 2010, 30, 1077–1082. [Google Scholar] [CrossRef] [Green Version]
- Bazzaz, B.F.; Khayat, M.H.; Emami, S.A.; Asili, J.; Sahebkar, A.; Neishabory, E.J. Antioxidant and antimicrobial activity of methanol, dichloromethane, and ethyl acetate extracts of Scutellaria litwinowii. Sci. Asia 2011, 37, 327–334. [Google Scholar] [CrossRef]
- Georgieva, Y.; Katsarova, M.; Stoyanov, P.; Mladenov, R.; Denev, P.; Teneva, D.; Plotnikov, E.; Bozov, P.; Dimitrova, S. Metabolite profile and antioxidant activity of some species of Genus Scutellaria growing in Bulgaria. Plants 2020, 10, 45. [Google Scholar] [CrossRef]
- Saboura, A.; Ahmadi, A.; Zeinali, A.; Parsa, M. Comparison between the contents of phenolic and flavonoid compounds and aerial part antioxidant activity in Scutellaria pinnatifida in two NorthIranian populations. J. Rafsanjan Univ. Med. Sci. 2014, 13, 249–266. [Google Scholar]
- Lu, C.L.; Zhu, W.; Wang, M.; Xu, X.; Lu, C.J. Antioxidant and anti-inflammatory activities of phenolic-enriched extracts of Smilax glabra. Evid. Based Complement. Altern. Med. 2014, 2014, 910438. [Google Scholar] [CrossRef]
- Clavin, M.; Gorzalczany, S.; Macho, A.; Munoz, E.; Ferraro, G.; Acevedo, C.; Martino, V. Anti-inflammatory activity of flavonoids from Eupatorium arnottianum. J. Ethnopharmacol. 2007, 112, 585–589. [Google Scholar] [CrossRef]
- Lee, J.-K.; Song, Y.-K.; Lim, H.-H. Analgesic and anti-inflammatory effect of Scutellaria baicalensis. J. Korean Med. 2007, 28, 124–135. [Google Scholar]
- Varmuzova, K.; Matulova, M.E.; Gerzova, L.; Cejkova, D.; Gardan-Salmon, D.; Panhéleux, M.; Robert, F.; Sisak, F.; Havlickova, H.; Rychlik, I. Curcuma and Scutellaria plant extracts protect chickens against inflammation and Salmonella enteritidis infection. Poult. Sci. 2015, 94, 2049–2058. [Google Scholar] [CrossRef]
- Han, Q.-T.; Ren, Y.; Li, G.-S.; Xiang, K.-L.; Dai, S.J. Flavonoid alkaloids from Scutellaria moniliorrhiza with anti-inflammatory activities and inhibitory activities against aldose reductase. Phytochemistry 2018, 152, 91–96. [Google Scholar] [CrossRef]
- Yimam, M.; Brownell, L.; Hodges, M.; Jia, Q. Analgesic effects of a standardized bioflavonoid composition from Scutellaria baicalensis and Acacia catechu. J. Diet. Suppl. 2012, 9, 155–165. [Google Scholar] [CrossRef] [PubMed] [Green Version]
- Delazar, A.; Asl, B.H.; Mohammadi, O.; Afshar, F.H.; Nahar, L.; Modarresi, M.; Nazemiyeh, H.; Sarker, S.D. Evaluation of analgesic activity of Eremostachys laciniata in mice. J. Nat. Remedies 2009, 9, 1–7. [Google Scholar]
- Borges, C.V.; Minatel, I.O.; Gomez, H.A.; Lima, G.P.P. Medicinal plants: Influence of environmental factors on the content of secondary metabolites. Med. Plants Environ. Chall. 2017, 2, 259–277. [Google Scholar]





| Extracts Used | Flavonoids | Phenols | Alkaloids | Carbohydrates |
|---|---|---|---|---|
| SPM | + | - | + | + |
| SPDCM | + | + | + | - |
| SPNH | + | + | - | - |
| SPAQ | + | + | + | + |
| Extracts Used | TFC (mg QE/mg) Dry Fractions Mean ± SEM | TPC (mg GAE/g) Dry Fractions Mean ± SEM |
|---|---|---|
| SPM | 78.2 ± 0.22 ** | 66.2 ± 0.33 ** |
| SPDCM | 67.4 ± 0.15 ** | 61.5 ± 0.66 ** |
| SPNH | 46.2 ± 0.66 ** | 38.4 ± 0.33 ** |
| SPAQ | 49.4 ± 0.37 ** | 41.3 ± 0.33 ** |
| Numbering | RT (min) | [M−H]−/ [M+H]+ (m/z) | Tentative Identification | Reference Species | Classification |
|---|---|---|---|---|---|
| 1 | 4.10 | 247.08 | Sophoridine | S. flavescens [76] | Alkaloid |
| 2 | 4.22 | 255.25 | Pinocembrin | S. altissima [56] | Flavonoid |
| 3 | 4.35 | 263.08 | Oxymatrine | S. flavescens [70] | Alkaloid |
| 4 | 4.59 | 287.17 | (tans)-5,7,2′,6′-Tetrahydroxyflavanols | S. baicalensis [57] | Flavonoid |
| 5 | 4.62 | 247.08 | Sophocarpine | S. flavescens [70] | Alkaloid |
| 6 | 4.71 | 297.25 | 5-Hydroxy-7,8-dimethoxyflavone | S. barbata [58] | Flavonoid |
| 7 | 4.86 | 301.08 | 3,5,7,2,6-Pentahydroxy flavone | S.baicalensis [59] | Flavonoid |
| 8 | 5.20 | 331.25 | Myricetin-3’-methyl ether | S.multicaulis [60] | Flavonoid |
| 9 | 5.32 | 393.30 | 2-Hydroxyajugarin V | S. drummondii [66] | Terpenoid |
| 10 | 6.00 | 489.50 | Scutegrossin A | S. rubicunda [67] | Terpenoid |
| 11 | 6.10 | 505.42 | Scutecyprol B | S. rubicunda [67] | Terpenoid |
| 12 | 6.36 | 359.20 | 5,6,2-Trihydroxy-7,8,6-trimethoxy flavone | S. prostrata [32] | Flavonoid |
| 13 | 6.62 | 531.50 | Scuterivulactone C2 | S. barbata [62] | Terpenoid |
| 14 | 7.18 | 567.50 | Lupulin B | S. linearis [77] | Terpenoid |
| 15 | 7.55 | 575.50 | Barbatin A | S. barbata [62] | Flavonoid |
| 16 | 7.80 | 595.50 | Scutellarein-7-O-neohesperidoside | S. multicaulis [60] | Flavonoid |
| 17 | 7.89 | 611.58 | Quercetin-3-O-rutinoside | S. patonii [60] | Flavonoid |
| 18 | 8.06 | 495.33 | Scutellaprostin F | S. prostrata [61] | Flavonoid |
| 19 | 8.24 | 639.58 | Leucosceptoside A | S. baicalensis [74] | Phenol |
| Treatments | Change in Paw Diameter (Mean ± SEM) | |||||
|---|---|---|---|---|---|---|
| Dose Conc. | after 1 h | after 2 h | after 3 h | Aver. Reading | % Inhibition | |
| Carrag. | 1 mL | 1.11± 0.03 | 1.33 ± 0.01 | 1.66 ± 0.02 | 1.36 ± 0.12 | |
| NS | 1 mL | 1.10 ± 0.02 | 1.31 ± 0.03 | 1.65 ± 0.01 | 1.35± 0.02 | ----- |
| DS | 50 (mg/kg) | 0.50 ± 0.02 | 0.34 ± 0.05 | 0.18 ± 0.03 | 0.34 ± 0.02 | 70.58 |
| SPM | 50 | 0.91 ± 0.06 | 0.75 ± 0.03 | 0.62 ± 0.01 | 0.76 ± 0.03 * | 44.11 |
| 100 | 0.74 ± 0.03 | 0.61 ± 0.02 | 0.49 ± 0.03 | 0.61 ± 0.02 * | 55.14 | |
| SPDCM | 50 | 0.89 ± 0.07 | 0.81 ± 0.01 | 0.70 ± 0.05 | 0.80 ± 0.05 * | 41.17 |
| 100 | 0.76 ± 0.04 | 0.63 ± 0.02 | 0.51 ± 0.06 | 0.63 ± 0.04 * | 53.67 | |
| SPNH | 50 | 0.94 ± 0.02 | 0.88 ± 0.02 | 0.82 ± 0.03 | 0.88 ± 0.02 * | 35.29 |
| 100 | 0.87 ± 0.03 | 0.80 ± 0.02 | 0.76 ± 0.01 | 0.81 ± 0.02 * | 40.44 | |
| SPAQ | 50 | 0.97 ± 0.02 | 0.92 ± 0.02 | 0.87 ± 0.03 | 0.92 ± 0.05 * | 32.35 |
| 100 | 0.88 ± 0.03 | 0.84 ± 0.02 | 0.79 ± 0.01 | 0.83 ± 0.02 * | 38.97 | |
| Treatments | Dose Conc. | Writhes No. Mean ± SEM | % Reduction in Writhings |
|---|---|---|---|
| AA | 1.5 ml | 28.3 ± 0.03 | |
| Aspirin | 1 ml | 10.7 ± 0.02 | 62.19 |
| SPM | 50 (mg/kg) | 19.5 ± 0.07 ** | 31.09 |
| 100 | 13.9 ± 0.04 ** | 50.88 | |
| SPDCM | 50 | 20.5 ± 0.02 ** | 27.56 |
| 100 | 15.1 ± 0.04 ** | 46.64 | |
| SPNH | 50 | 21.6 ± 0.02 ** | 23.67 |
| 100 | 16.4 ± 0.03 ** | 42.04 | |
| SPAQ | 50 | 22.2 ± 0.04 ** | 21.55 |
| 100 | 17.3 ± 0.05 ** | 38.86 |
Publisher’s Note: MDPI stays neutral with regard to jurisdictional claims in published maps and institutional affiliations. |
© 2022 by the authors. Licensee MDPI, Basel, Switzerland. This article is an open access article distributed under the terms and conditions of the Creative Commons Attribution (CC BY) license (https://creativecommons.org/licenses/by/4.0/).
Share and Cite
Mubin, S.; Rehman, N.U.; Murad, W.; Shah, M.; Al-Harrasi, A.; Afza, R. Scutellaria petiolata Hemsl. ex Lace & Prain (Lamiaceae).: A New Insight in Biomedical Therapies. Antioxidants 2022, 11, 1446. https://doi.org/10.3390/antiox11081446
Mubin S, Rehman NU, Murad W, Shah M, Al-Harrasi A, Afza R. Scutellaria petiolata Hemsl. ex Lace & Prain (Lamiaceae).: A New Insight in Biomedical Therapies. Antioxidants. 2022; 11(8):1446. https://doi.org/10.3390/antiox11081446
Chicago/Turabian StyleMubin, Sidra, Najeeb Ur Rehman, Waheed Murad, Muddaser Shah, Ahmed Al-Harrasi, and Rabia Afza. 2022. "Scutellaria petiolata Hemsl. ex Lace & Prain (Lamiaceae).: A New Insight in Biomedical Therapies" Antioxidants 11, no. 8: 1446. https://doi.org/10.3390/antiox11081446
APA StyleMubin, S., Rehman, N. U., Murad, W., Shah, M., Al-Harrasi, A., & Afza, R. (2022). Scutellaria petiolata Hemsl. ex Lace & Prain (Lamiaceae).: A New Insight in Biomedical Therapies. Antioxidants, 11(8), 1446. https://doi.org/10.3390/antiox11081446

