Oxidant and Antioxidant Parameters’ Assessment Together with Homocysteine and Muscle Enzymes in Racehorses: Evaluation of Positive Effects of Exercise
Abstract
1. Introduction
2. Materials and Methods
2.1. Animals and Experimental Design
2.2. Blood Sampling and Laboratory Analysis
2.3. Statistical Analysis
3. Results
4. Discussion
5. Conclusions
Author Contributions
Funding
Institutional Review Board Statement
Informed Consent Statement
Data Availability Statement
Conflicts of Interest
References
- Arfuso, F.; Giudice, E.; Panzera, M.; Rizzo, M.; Fazio, F.; Piccione, G. Interleukin-1ra (Il-1ra) and serum cortisol level relationship in horse as dynamic adaptive response during physical exercise. Vet. Immunol. Immunopathol. 2022, 243, 110368. [Google Scholar] [CrossRef] [PubMed]
- Arfuso, F.; Giannetto, C.; Giudice, E.; Fazio, F.; Piccione, G. Dynamic modulation of platelet aggregation, albumin and nonesterified fatty acids during physical exercise in thoroughbred horses. Res. Vet. Sci. 2016, 104, 86–91. [Google Scholar] [CrossRef] [PubMed]
- Ertelt, A.; Merle, R.; Stumpff, F.; Bollinger, L.; Liertz, S.; Weber, C.; Gehlen, H. Evaluation of Different Blood Parameters From Endurance Horses Competing at 160 km. J. Equine Vet. Sci. 2021, 104, 103687. [Google Scholar] [CrossRef] [PubMed]
- Arfuso, F.; Piccione, G.; Trimarchi, F.; Panzera, M.F.; Giannetto, C. Stress metabolic and serum muscle-derived enzymes response of horses employed in wooded area and field trekking courses. J. Equine Vet. Sci. 2022, 112, 103919. [Google Scholar] [CrossRef]
- Williams, C.A. Horse species symposium: The effect of oxidative stress during exercise in the horse. J. Anim. Sci. 2016, 94, 4067–4075. [Google Scholar] [CrossRef]
- White, A.; Estrada, M.; Walker, K.; Wisnia, P.; Filgueira, G.; Valdes, F.; Araneda, O.; Behn, C.; Martinez, R. Role of exercise and ascorbate on plasma antioxidant capacity in Thoroughbred racehorses. Comp. Biochem. Physiol. A 2001, 128, 99–104. [Google Scholar] [CrossRef]
- Marlin, D.J.; Fenn, K.; Smith, N.; Deaton, C.D.; Roberts, C.A.; Harris, P.A.; Dunster, C.; Kelly, F.J. Changes in circulatory antioxidant status in horses during prolonged exercise. J. Nutr. 2022, 132, 1622S–1627S. [Google Scholar] [CrossRef]
- Davies, K.J. Oxidative stress: The paradox of aerobic life. Biochem. Soc. Symp. 1995, 61, 1–31. [Google Scholar]
- Clarkson, P.M.; Thompson, H.S. Antioxidants: What role do they play in physical activity and health? Am. J. Clin. Nutr. 2000, 72, 637S–646S. [Google Scholar] [CrossRef]
- Powers, S.K.; Duarte, J.; Kavazis, A.N.; Talbert, E.E. Reactive oxygen species are signalling molecules for skeletalmuscle adaptation. Exp. Physiol. 2010, 95, 1–9. [Google Scholar] [CrossRef]
- Hotamisligil, G.S. Inflammation and metabolic disorders. Nature 2006, 444, 860–867. [Google Scholar] [CrossRef] [PubMed]
- Radak, Z.; Chung, H.Y.; Goto, S. Systemic adaptation to oxidative challenge induced by regular exercise. Free Radic. Biol. Med. 2008, 44, 153–159. [Google Scholar] [CrossRef] [PubMed]
- Powers, S.K.; Talbert, E.E.; Adhihetty, P.J. Reactive oxygen and nitrogen species as intracellular signals in skeletal muscle. J. Physiol. 2011, 589, 2129–2138. [Google Scholar] [CrossRef] [PubMed]
- Zhang, X.; Huang, Z.; Xie, Z.; Chen, Y.; Zheng, Z.; Wei, X.; Huang, B.; Shan, Z.; Liu, J.; Fan, S.; et al. Homocysteine induces oxidative stress and ferroptosis of nucleus pulposus via enhancing methylation of GPX4. Free Radic. Biol. Med. 2020, 160, 552–565. [Google Scholar] [CrossRef]
- Vincent, H.K.; Bourguignon, C.; Vincent, K.R. Resistance training lowers exercise-induced oxidative stress and homocysteine levels in overweight and obese older adults. Obesity (Silver Spring) 2006, 11, 1921–1930. [Google Scholar] [CrossRef]
- Tyagi, N.; Sedoris, K.C.; Steed, M.; Ovechkin, A.V.; Moshal, K.S.; Tyagi, S.C. Mechanisms of homocysteine-induced oxidative stress. Am. J. Physiol. Heart Circ. Physiol. 2005, 289, H2649–H2656. [Google Scholar] [CrossRef] [PubMed]
- Joubert, L.M.; Manore, M.M. Exercise, nutrition, and homocysteine. Int. J. Sport Nutr. Exercise Met. 2006, 16, 341–361. [Google Scholar] [CrossRef]
- Maroto-Sánchez, B.; Lopez-Torres, O.; Palacios, G.; González-Gross, M. What do we know about homocysteine and exercise? A review from the literature. Clin. Chem. Lab. Med. 2016, 54, 1561–1577. [Google Scholar] [CrossRef]
- Hahn, L.G.; Gaughan, J.B.; Mader, T.L.; Eigenberg, R.A. American Society of Agricultural and Biological Engineers; Livestock Energetics, Thermal Environmental Management: St. Joseph, MI, USA, 2009; pp. 113–130. [Google Scholar]
- Iamele, L.; Fiocchi, R.; Vernocchi, A. Evaluation of an automated spectrophotometric assay for reactive oxygen metabolites in serum. Clin. Med. Lab. Med. 2002, 40, 673–676. [Google Scholar] [CrossRef]
- Gutteridge, J.M.C. Lipid peroxidation and antioxidants as biomarkers of tissue damage. Clin. Chem. 1995, 41, 1819–1828. [Google Scholar] [CrossRef]
- Trotti, R.; Carratelli, M.; Barbieri, G.; Miceli, D.; Bosone, M.; Rondanelli, P.B.O. Oxidative stress and thrombophilic condition in alcoholics without severe liver disease. Haematologica 2001, 86, 85–91. [Google Scholar] [PubMed]
- Piccione, G.; Fazio, F.; Giannetto, C.; Assenza, A.; Caola, G. Oxidative stress in thoroughbreds during official 1800-metre races. Vet. Arhiv 2007, 77, 219–227. [Google Scholar]
- Deneke, S.M. Thiol-based antioxidants. Curr. Top. Cell. Reg. 2000, 36, 151–180. [Google Scholar]
- Andriichuck, A.; Tkachenko, H.; Kurhaluk, N. Gender Differences of Oxidative Stress Biomarkers and Erythrocyte Damage in Well-Trained Horses during Exercise. J. Equine Vet. Sci. 2014, 34, 978–985. [Google Scholar] [CrossRef]
- Kirschvink, N.; de Moffarts, B.; Lekeux, P. The oxidant/antioxidant equilibrium in horses. Vet. J. 2008, 177, 178–191. [Google Scholar] [CrossRef] [PubMed]
- Fisher-Wellman, K.; Bloomer, R.J. Acute exercise and oxidative stress: A 30 year history. Dyn. Med. 2009, 8, 1. [Google Scholar] [CrossRef]
- De Sousa, C.V.; Sales, M.M.; Rosa, T.S.; Lewis, J.E.; de Andrade, R.V.; Simões, H.G. The Antioxidant Effect of Exercise: A Systematic Review and Meta-Analysis. Sports Med. 2017, 47, 277–293. [Google Scholar] [CrossRef] [PubMed]
- Flaminio, M.J.; Rush, B.R. Fluid and electrolyte balance in endurance horses. Vet. Clin. N. Am. Equine Pract. 1998, 14, 147–158. [Google Scholar] [CrossRef]
- Kaneko, J.J.; Harvey, J.W.; Bruss, M.L. Clinical Biochemistry of Domestic Animals, 6th ed.; Academic Press: San Diego, CA, USA, 2008; p. 928. [Google Scholar]
- Shono, S.; Gin, A.; Minowa, F.; Okubo, K.; Mochizuki, M. The oxidative stress markers of horses-the comparison with other animals and the influence of exercise and disease. Animals 2020, 10, 617. [Google Scholar] [CrossRef]
- Fazio, F.; Casella, S.; Giannetto, C.; Caola, G.; Piccione, G. Serum homocysteine and oxidative stress evaluation during exercise in horse. Pol. J. Vet. Sci. 2009, 12, 169–174. [Google Scholar]
- Herrmann, M.; Schorr, H.; Obeid, R.; Scharhag, J.; Urhausen, A.; Kindermann, W.; Herrmann, W. Homocysteine increases during endurance exercise. Clin. Chem. Lab. Med. 2003, 41, 1518–1524. [Google Scholar] [CrossRef] [PubMed]
- Konig, D.; Bisse, E.; Deibert, P.; Muller, H.M.; Wieland, H.; Berg, A. Influence of training volume and acute physical exercise on the homocysteine levels in endurance-trained men: Interactions with plasma folate and vitamin B12. Ann. Nutr. Metab. 2003, 47, 114–118. [Google Scholar] [CrossRef] [PubMed]
- Randeva, H.S.; Lewandowski, K.C.; Drzewoski, J.; Brooke-Wavell, K.; O’Callaghan, C.; Czupryniak, L.; Hillhouse, E.W.; Prelevic, G.M. Exercise decreases plasma total homocysteine in overweight young women with polycystic ovary syndrome. J. Clin. Endocrinol. Metab. 2002, 87, 4496–4501. [Google Scholar] [CrossRef] [PubMed]
- Choi, J.K.; Moon, K.M.; Jung, S.Y.; Kim, J.Y.; Choi, S.H.; Kim, D.Y.; Kang, S.; Chu, C.W.; Kwon, S.M. Regular exercise training increases the number of endothelial progenitor cells and decreases homocysteine levels in healthy peripheral blood. Korean J. Physiol. Pharmacol. 2014, 18, 163–168. [Google Scholar] [CrossRef] [PubMed]
- Balogh, N.; Gaal, T.; Ribiczeyne, P.S.; Petri, A. Biochemical and antioxidant changes in plasma and erythrocytes of pentathlon horses before and after exercise. Vet. Clin. Pathol. 2001, 30, 214–218. [Google Scholar] [CrossRef] [PubMed]
- Piccione, G.; Fazio, F.; Giudice, E. Oxidative stress in standardbred horses during official races of 1600 and 2000 meters. Med. Wet. 2007, 63, 1554–1557. [Google Scholar]
- Ostaszewski, P.; Kowalska, A.; Szarska, E.; Szpotanski, P.; Cywinska, A.P.; Bałasinska, B.; Sadkowski, T. Effects of ß- hydroxy-ß-methylbutyrate and oryzanol on blood biochemical markers in exercising Thoroughbred race horses. J. Equine Vet. Sci. 2012, 32, 542–551. [Google Scholar] [CrossRef]
- Chiaradia, E.; Avellini, L.; Rueca, F.; Spaterna, A.; Porciello, F.; Antonioni, M.T.; Gaiti, A. Physical exercise, oxidative stress and muscle damage in racehorses. Comp. Biochem. Physiol. B Biochem. Mol. Biol. 1998, 119, 833–836. [Google Scholar] [CrossRef]
- Close, G.L.; Ashton, T.; Mcardle, A.; Maclaren, D.P.M. The emerging role of free radicals in delayed onset muscle soreness and contration-induced muscle injury. Comp. Biochem. Physiol. A Mol. Integr. Physiol. 2005, 142, 257–266. [Google Scholar] [CrossRef]







| Days of Week | Gait | Duration (minutes) | ||
|---|---|---|---|---|
| Group 1 | Group 2 | Group 3 | ||
| I, III and V | Walk | 5 | 5 | 5 |
| Trot | 15 | 10 | 10 | |
| Canter (360 m/min) | 20 | 25 | 30 | |
| Gallop (600 m/min) | 6 | 5 | 5 | |
| Walk | 5 | 5 | 5 | |
| II, IV and VI | Walk | 5 | 5 | 5 |
| Trot | 15 | 20 | 20 | |
| Canter (360 m/min) | 15 | 20 | 20 | |
| Gallop (600 m/min) | 3 | 3 | 3 | |
| Walk | 5 | 5 | 5 | |
| VII | Rest | - | - | - |
| Parameters | |||||||
|---|---|---|---|---|---|---|---|
| GROUP 1 | Hcy | SHp | Oxy-ads | CK | LDH | AST | |
| (μmol/L) | (μmol/L) | (μmol/L) | (U/L) | (U/L) | (U/L) | ||
| dROMs (U Carr) | 1WB | r = −0.09 | r = −0.003 | r = −0.04 | r = 0.27 | r = 0.26 | r = 0.53 |
| p = 0.80 | p = 0.99 | p = 0.93 | p = 0.46 | p = 0.47 | p = 0.11 | ||
| TPRE | r = −0.40 | r = 0.24 | r = −0.22 | r = −0.26 | r = −0.002 | r = 0.34 | |
| p = 0.26 | p = 0.51 | p = 0.54 | p = 0.47 | p = 0.99 | p = 0.34 | ||
| TPOST | r = 0.90 | r = 0.72 | r = 0.87 | r = 0.13 | r = 0.03 | r = 0.10 | |
| p = 0.004 | p = 0.02 | p = 0.001 | p = 0.72 | p = 0.94 | p = 0.78 | ||
| TPOST30 | r = 0.86 | r = 0.85 | r = 0.64 | r = 0.35 | r = 0.16 | r = 0.15 | |
| p = 0.001 | p = 0.002 | p = 0.04 | p = 0.34 | p = 0.66 | p = 0.67 | ||
| TPOST120 | r = 0.98 | r = 0.98 | r = 0.87 | r = 0.22 | r = −0.20 | r = 0.27 | |
| p < 0.0001 | p < 0.0001 | p = 0.001 | p = 0.54 | p = 0.58 | p = 0.45 | ||
| GROUP 2 | Hcy | SHp | Oxy−ads | CK | LDH | AST | |
| (μmol/L) | (μmol/L) | (μmol/L) | (U/L) | (U/L) | (U/L) | ||
| dROMs (U Carr) | 1WB | r = −0.43 | r = 0.04 | r = 0.58 | r = 0.20 | r = 0.33 | r = 0.25 |
| p = 0.22 | p = 0.92 | p = 0.08 | p = 0.57 | p = 0.35 | p = 0.48 | ||
| TPRE | r = −0.33 | r = 0.35 | r = −0.32 | r = −0.53 | r = −0.43 | r = 0.42 | |
| p = 0.35 | p = 0.33 | p = 0.36 | p = 0.09 | p = 0.21 | p = 0.23 | ||
| TPOST | r = 0.69 | r = 0.77 | r = 0.68 | r = −0.04 | r = −0.20 | r = −0.16 | |
| p = 0.03 | p = 0.009 | p = 0.03 | p = 0.91 | p = 0.57 | p = 0.67 | ||
| TPOST30 | r = 0.93 | r = 0.73 | r = 0.91 | r = −0.07 | r = 0.08 | r = 0.38 | |
| p = 0.0001 | p = 0.02 | p = 0.0002 | p = 0.84 | p = 0.82 | p = 0.27 | ||
| TPOST120 | r = 0.99 | r = 0.97 | r = 0.95 | r = 0.13 | r = −0.21 | r = −0.22 | |
| p < 0.0001 | p < 0.0001 | p < 0.0001 | p = 0.73 | p = 0.56 | p = 0.57 | ||
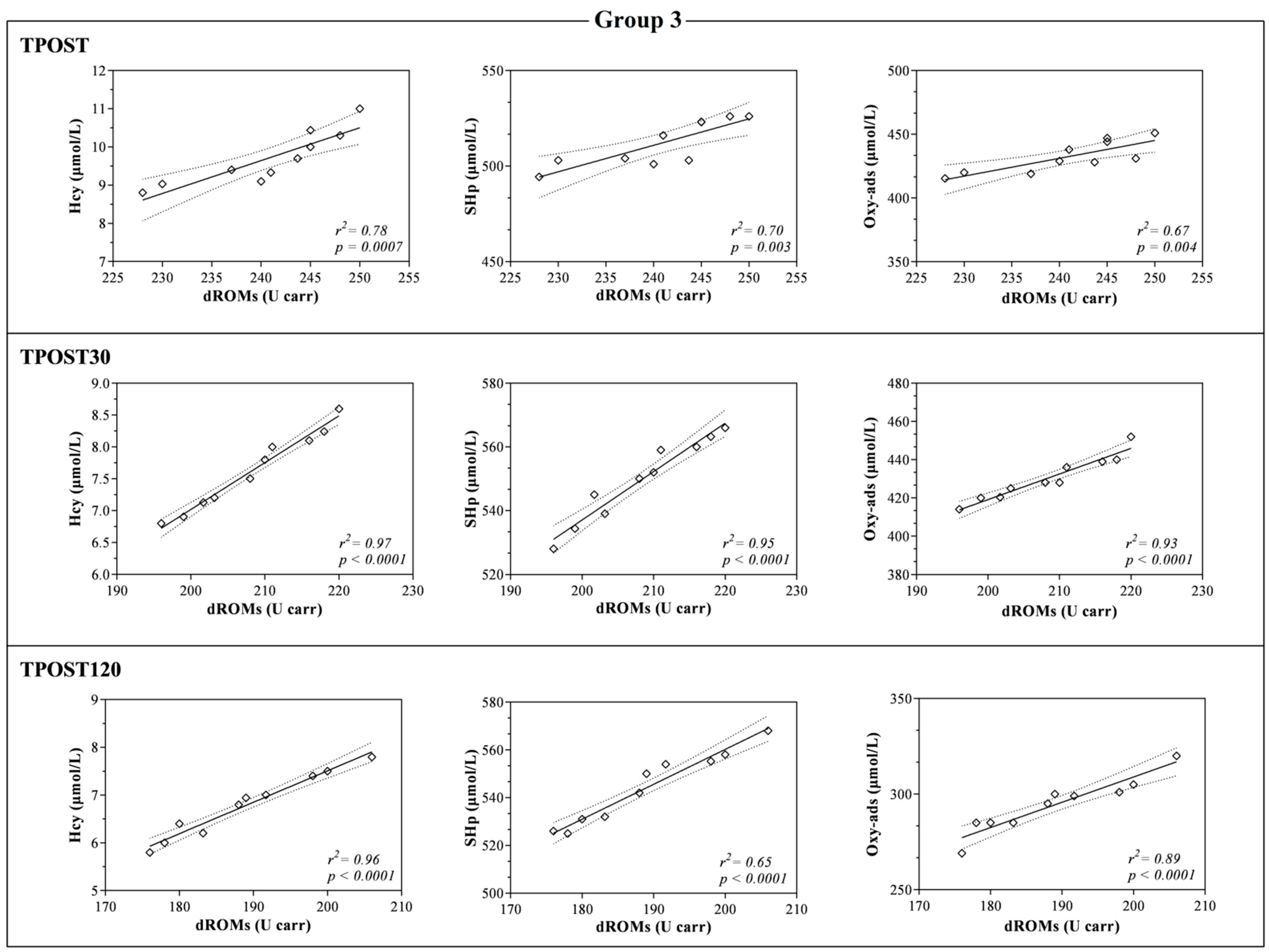
| GROUP 3 | Hcy | SHp | Oxy−ads | CK | LDH | AST | |
| (μmol/L) | (μmol/L) | (μmol/L) | (U/L) | (U/L) | (U/L) | ||
| dROMs (U Carr) | 1WB | r = −0.24 | r = −0.37 | r = −0.08 | r = 0.51 | r = 0.44 | r = 0.37 |
| p = 0.50 | p = 0.30 | p = 0.83 | p = 0.13 | p = 0.21 | p = 0.30 | ||
| TPRE | r = 0.10 | r = −0.12 | r = −0.18 | r = 0.002 | r = −0.35 | r = 0.22 | |
| p = 0.79 | p = 0.73 | p = 0.62 | p = 0.99 | p = 0.31 | p = 0.54 | ||
| TPOST | r = 0.88 | r = 0.83 | r = 0.81 | r = 0.03 | r = 0.58 | r = 0.31 | |
| p = 0.0007 | p = 0.003 | p = 0.004 | p = 0.93 | p = 0.08 | p = 0.39 | ||
| TPOST30 | r = 0.99 | r = 0.97 | r = 0.96 | r = 0.60 | r = −0.04 | r = 0.40 | |
| p < 0.0001 | p < 0.0001 | p < 0.0001 | p = 0.07 | p = 0.90 | p = 0.25 | ||
| TPOST120 | r = 0.98 | r = 0.97 | r = 0.94 | r = −0.05 | r = −0.14 | r = 0.08 | |
| p < 0.0001 | p < 0.0001 | p < 0.0001 | p = 0.90 | p = 0.70 | p = 0.83 | ||
Publisher’s Note: MDPI stays neutral with regard to jurisdictional claims in published maps and institutional affiliations. |
© 2022 by the authors. Licensee MDPI, Basel, Switzerland. This article is an open access article distributed under the terms and conditions of the Creative Commons Attribution (CC BY) license (https://creativecommons.org/licenses/by/4.0/).
Share and Cite
Arfuso, F.; Rizzo, M.; Giannetto, C.; Giudice, E.; Cirincione, R.; Cassata, G.; Cicero, L.; Piccione, G. Oxidant and Antioxidant Parameters’ Assessment Together with Homocysteine and Muscle Enzymes in Racehorses: Evaluation of Positive Effects of Exercise. Antioxidants 2022, 11, 1176. https://doi.org/10.3390/antiox11061176
Arfuso F, Rizzo M, Giannetto C, Giudice E, Cirincione R, Cassata G, Cicero L, Piccione G. Oxidant and Antioxidant Parameters’ Assessment Together with Homocysteine and Muscle Enzymes in Racehorses: Evaluation of Positive Effects of Exercise. Antioxidants. 2022; 11(6):1176. https://doi.org/10.3390/antiox11061176
Chicago/Turabian StyleArfuso, Francesca, Maria Rizzo, Claudia Giannetto, Elisabetta Giudice, Roberta Cirincione, Giovanni Cassata, Luca Cicero, and Giuseppe Piccione. 2022. "Oxidant and Antioxidant Parameters’ Assessment Together with Homocysteine and Muscle Enzymes in Racehorses: Evaluation of Positive Effects of Exercise" Antioxidants 11, no. 6: 1176. https://doi.org/10.3390/antiox11061176
APA StyleArfuso, F., Rizzo, M., Giannetto, C., Giudice, E., Cirincione, R., Cassata, G., Cicero, L., & Piccione, G. (2022). Oxidant and Antioxidant Parameters’ Assessment Together with Homocysteine and Muscle Enzymes in Racehorses: Evaluation of Positive Effects of Exercise. Antioxidants, 11(6), 1176. https://doi.org/10.3390/antiox11061176

