A Functional Orange Juice Fortified with Beetroot By-Products Attenuates Hyperlipidemia and Obesity Induced by A High-Fat Diet
Abstract
:1. Introduction
2. Materials and Methods
2.1. Materials
2.2. Juice Preparation
2.3. Physicochemical Analysis
2.4. Proximate Chemical Composition
2.5. Minerals Content
2.6. Vitamin B Content
2.7. Bioactive Components
2.7.1. Total Phenolic Content (TP)
2.7.2. Total Flavonoids (TF)
2.7.3. Betalain Content
2.8. Antioxidant Activity
2.8.1. DPPH Free Radical Scavenging Assay
2.8.2. ABTS Radical Scavenging Activity
2.9. Phenolics Profile
2.10. Sensory Evaluation
2.11. Feeding Experiment
2.11.1. Experimental Design
2.11.2. Weight Gaining
2.11.3. Blood Parameters Analysis
2.12. Statistical Analysis
3. Results and Discussion
3.1. Physicochemical Analysis
3.2. Proximate Chemical Analysis
3.3. Minerals Content
3.4. Vitamin B Content
3.5. Bioactive Components
3.5.1. Total Phenolics (TP)
3.5.2. Total Flavonoids (TF)
3.5.3. Betalain
3.6. Antioxidant Activity
3.7. Phenolics Profile of Beetroot LS Juice
3.8. Sensory Evaluation
3.9. Weight Gaining
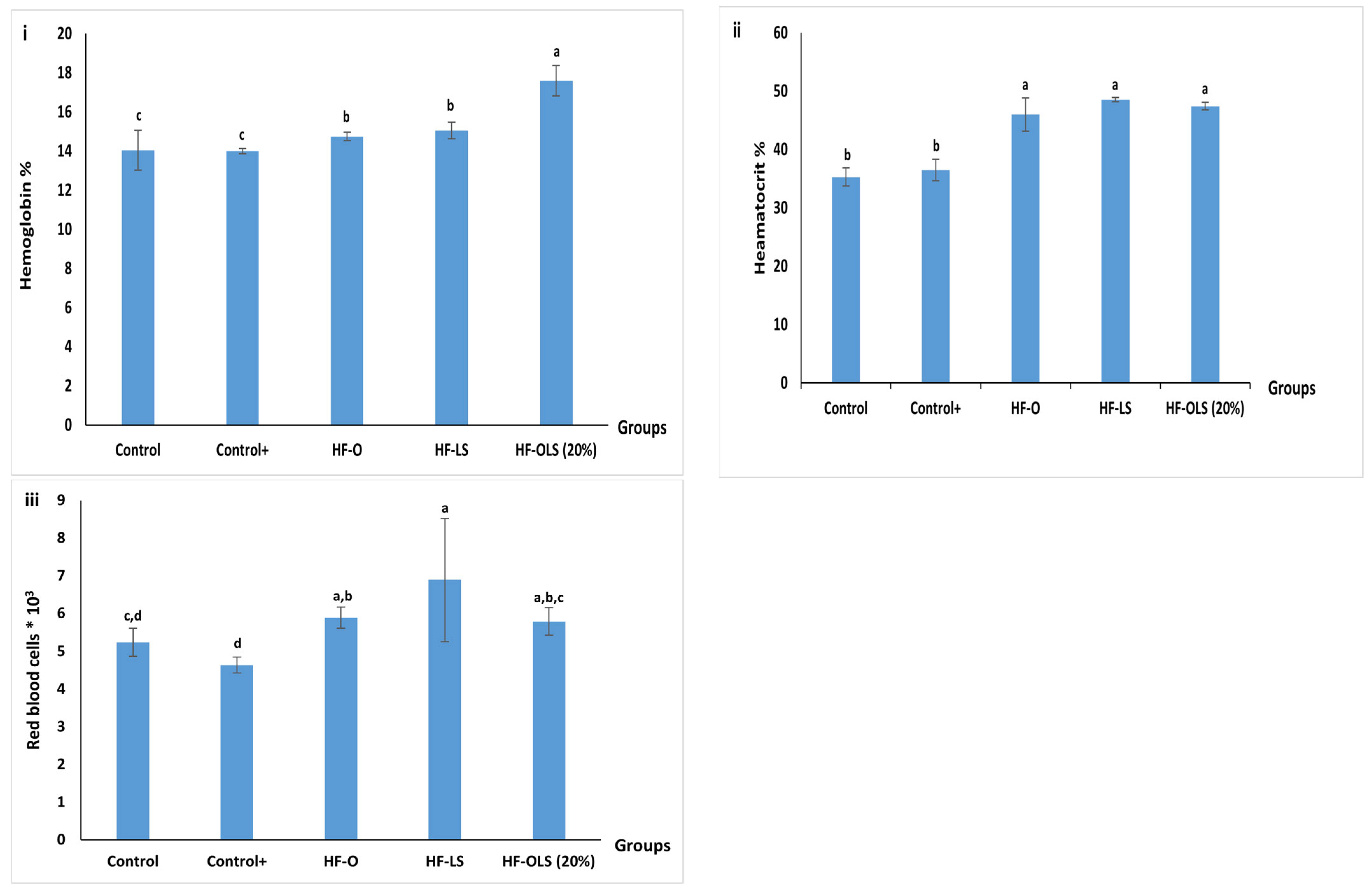
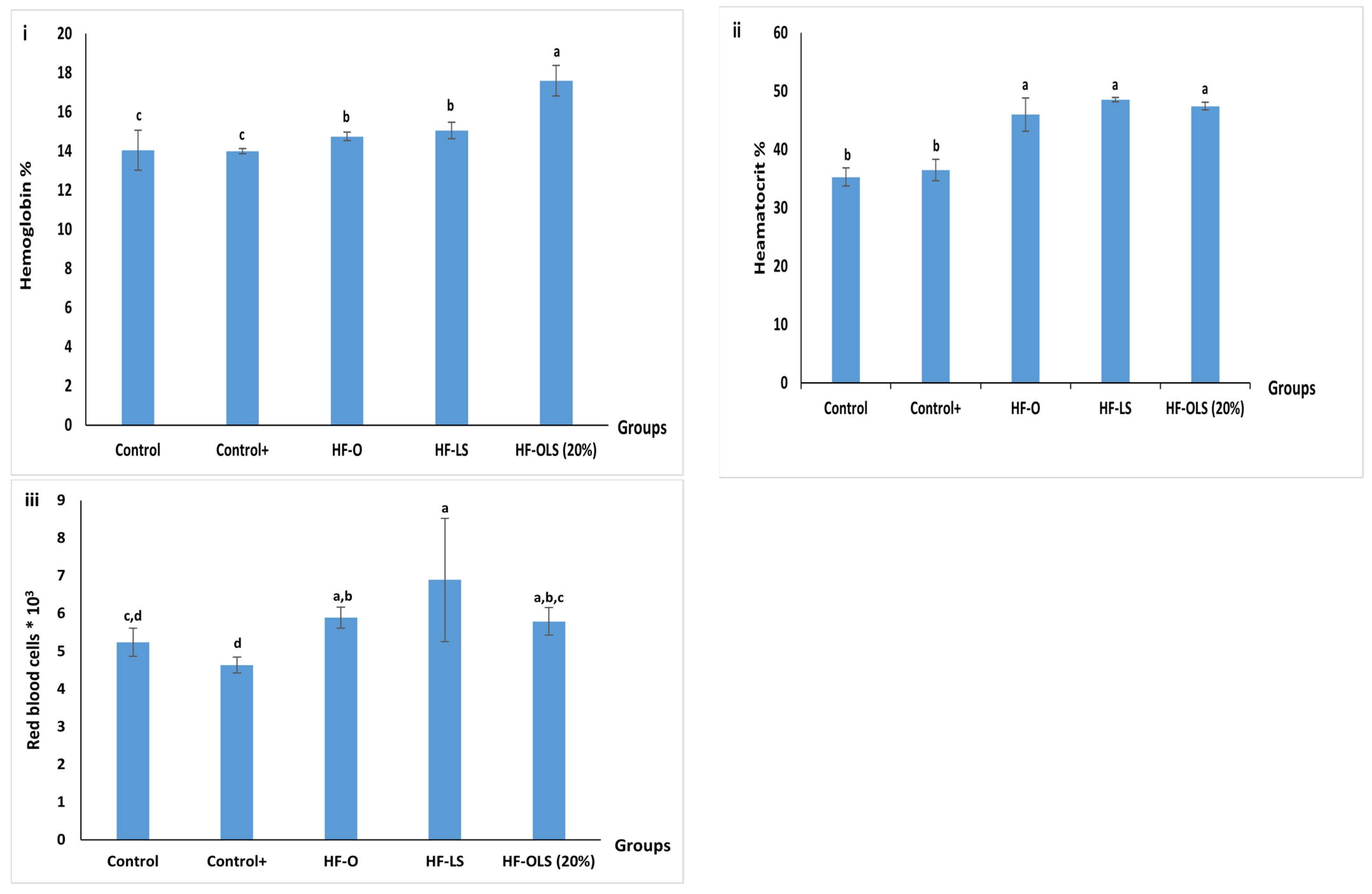
3.10. Hematology Analysis
3.11. Liver Function Enzymes
3.12. Kidney Functions
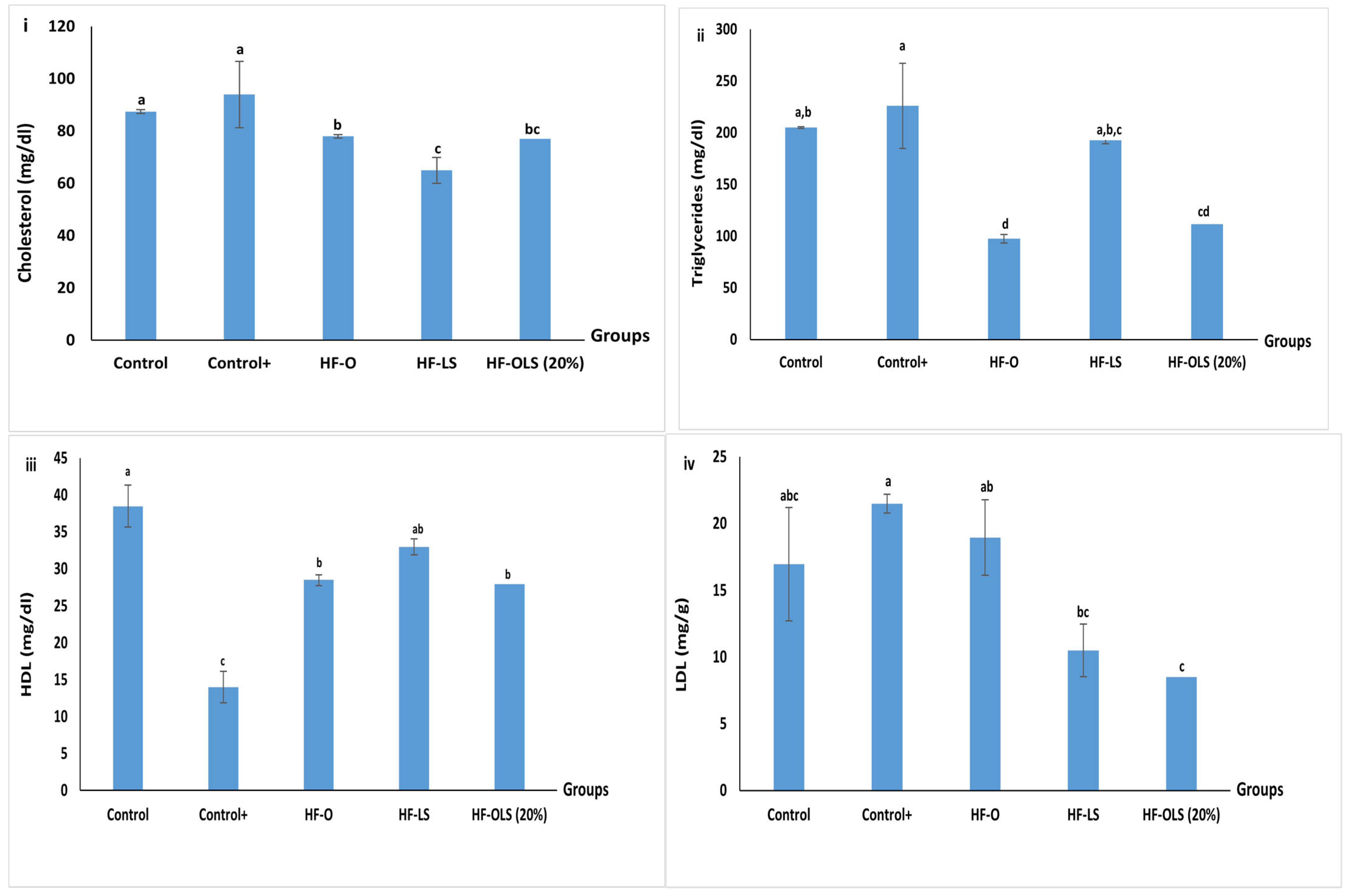
3.13. Lipid Profile
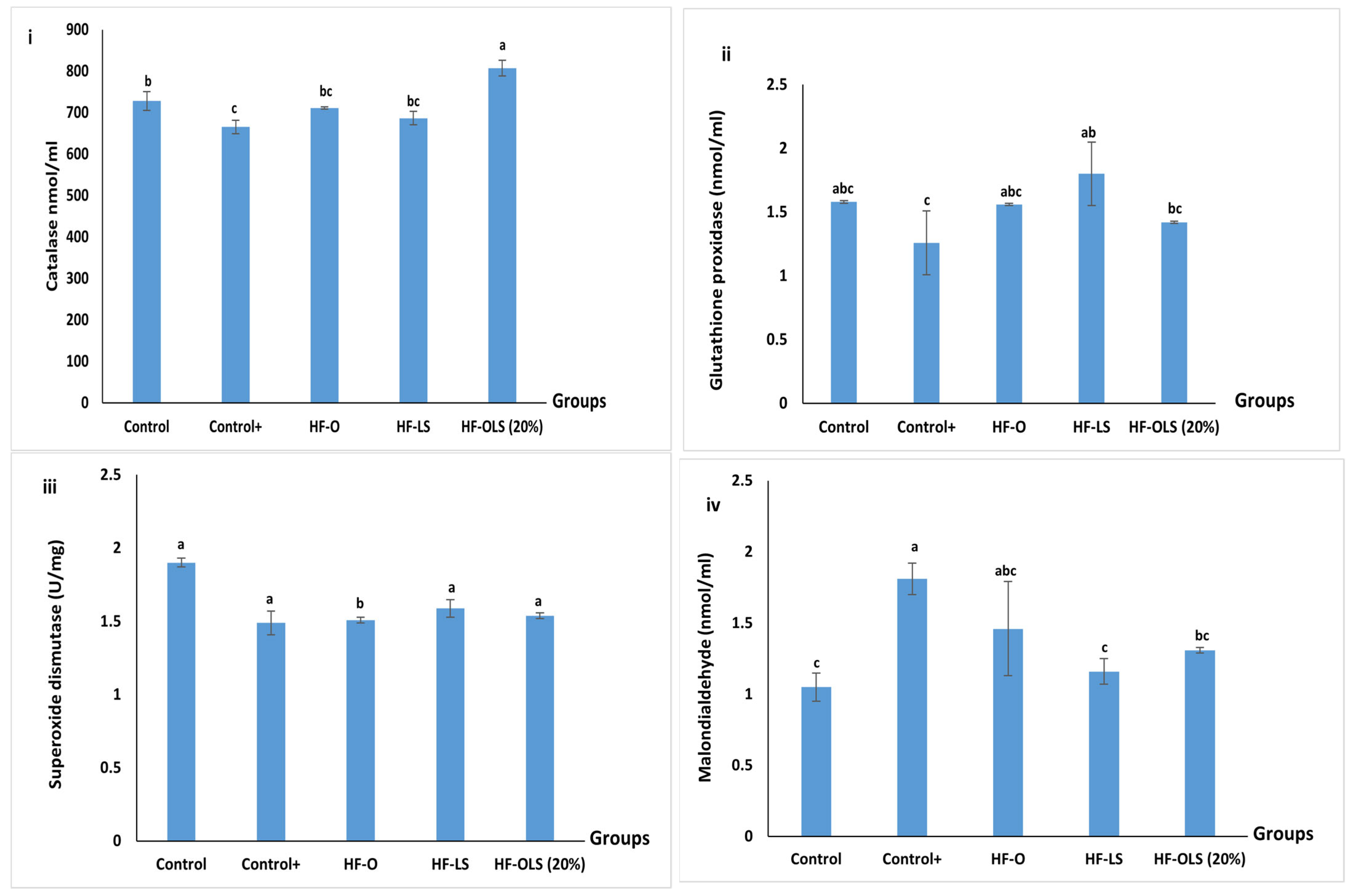
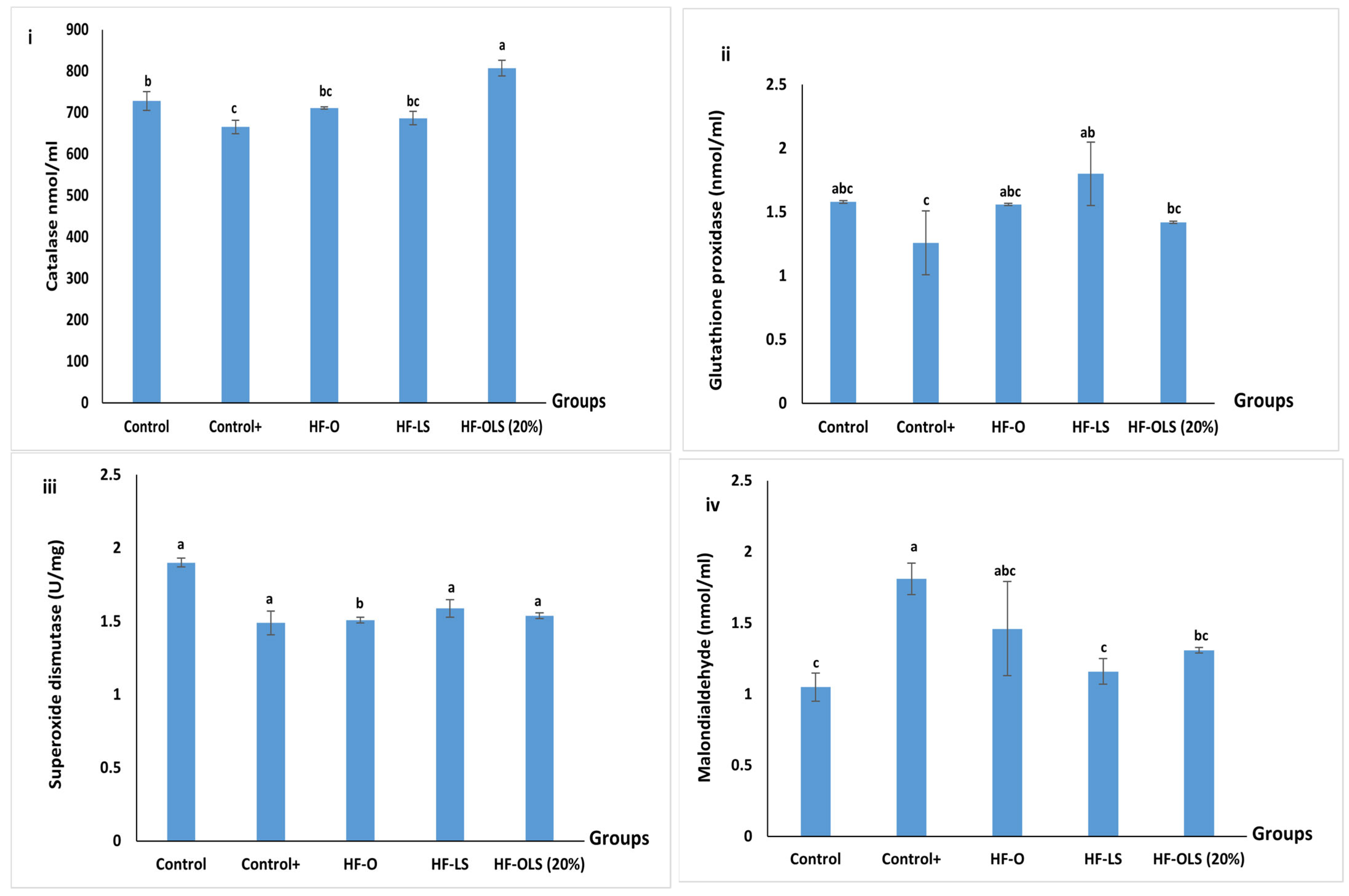
3.14. Antioxidant Enzymes and Malondialdehyde
4. Conclusions
Author Contributions
Funding
Institutional Review Board Statement
Informed Consent Statement
Data Availability Statement
Conflicts of Interest
References
- WHO. Obesity and Overweight. Available online: https://www.who.int/news-room/fact-sheets/detail/obesity-and-overweight (accessed on 13 August 2021).
- Lorizola, I.M.; Miyamoto, J.É.; Vieira, A.L.F.; Sumere, B.R.; Bezerra, R.M.N.; Torsoni, M.A.; Torsoni, A.S.; Rostagno, M.A.; Milanski, M.; Capitani, C.D. Beet (Beta vulgaris L.) Stalk and Leaf Supplementation Improves Glucose Homeostasis and Insulin Resistance Markers in Liver of Mice Exposed to a High-Fat Diet. Res. Sq. 2020. pre-print. [Google Scholar] [CrossRef]
- Lorizola, I.M.; Furlan, C.P.; Portovedo, M.; Milanski, M.; Botelho, P.B.; Bezerra, R.; Sumere, B.R.; Rostagno, M.A.; Capitani, C.D. Beet stalks and leaves (Beta vulgaris L.) protect against high-fat diet-induced oxidative damage in the liver in mice. Nutrients 2018, 10, 872. [Google Scholar] [CrossRef] [PubMed] [Green Version]
- WHO. Healthy Diet. Available online: https://www.who.int/news-room/fact-sheets/detail/healthy-diet (accessed on 30 December 2021).
- Adeloye, J.B.; Agboola, O.R. Bioactive properties, chemical composition, and sensory acceptance of juice blends from orange and African locust bean (Parkia Biglobosa). J. Culin. Sci. Technol. 2020, 20, 33–50. [Google Scholar] [CrossRef]
- Porto, M.R.A.; Okina, V.S.; Pimentel, T.C.; Prudencio, S.H. Physicochemical stability, antioxidant activity, and acceptance of beet and orange mixed juice during refrigerated storage. Beverages 2017, 3, 36. [Google Scholar] [CrossRef] [Green Version]
- Niu, L.-Y.; Wu, J.-H.; Liao, X.-J.; Chen, F.; Wang, Z.-F.; Zhao, G.-H.; Hu, X.-S. Physicochemical characteristics of orange juice samples from seven cultivars. Agric. Sci. China 2008, 7, 41–47. [Google Scholar] [CrossRef]
- Gattuso, G.; Barreca, D.; Gargiulli, C.; Leuzzi, U.; Caristi, C. Flavonoid composition of citrus juices. Molecules 2007, 12, 1641–1673. [Google Scholar] [CrossRef] [PubMed] [Green Version]
- Abdo, E.; El-Sohaimy, S.; Shaltout, O.; Abdalla, A.; Zeitoun, A. Nutritional Evaluation of Beetroots (Beta vulgaris L.) and Its Potential Application in a Functional Beverage. Plants 2020, 9, 1752. [Google Scholar] [CrossRef]
- Zein, H.; Hashish, A.; Ismaiel, G. The antioxidant and anticancer activities of Swiss chard and red beetroot leaves. Curr. Sci. Int. 2015, 4, 491–498. [Google Scholar]
- Tiwari, B.K.; Muthukumarappan, K.; O’Donnell, C.P.; Cullen, P.J. Colour degradation and quality parameters of sonicated orange juice using response surface methodology. LWT-Food Sci. Technol. 2008, 41, 1876–1883. [Google Scholar] [CrossRef]
- AOAC. Official Methods of Analysis of the Association Official Analytical Chemist; The Association Official Analytical Chemist, Inc.: Arlington, VA, USA, 1990; pp. 40–81. [Google Scholar]
- Folch, L.M.; Stenly, G.S. A simple method for the isolation and purification of total lipids from animal tissues. J. Biol. Chem. 1957, 226, 497–509. [Google Scholar] [CrossRef]
- Kjeldahl, J. “Neue Methode zur Bestimmung des Stickstoffs in organischen Körpern” (New method for the determination of nitrogen in organic substances). Z. Anal. Chem. 1883, 22, 366–383. [Google Scholar] [CrossRef] [Green Version]
- Ajai, A.I.; Ochigbo, S.S.; Abdullahi, Z.; Anigboro, P.I. Determination of Trace Metals and Essential Minerals in Selected Fruit Juices in Minna, Nigeria. Int. J. Food Sci. 2014, 2014, 462931. [Google Scholar] [CrossRef] [PubMed]
- Jackson, M.L. Soil Chemical Analysis; Prentice-Hall of India Pvt. Ltd.: New Delhi, India, 1973; 498p. [Google Scholar]
- Kelebek, H.; Selli, S.; Canbas, A.; Cabaroglu, T. HPLC determination of organic acids, sugars, phenolic compositions and antioxidant capacity of orange juice and orange wine made from a Turkish cv. Kozan. Microchem. J. 2009, 91, 187–192. [Google Scholar] [CrossRef]
- Vodnar, D.C.; Calinoiu, L.F.; Dulf, F.V.; Stefanescu, B.E.; Crisan, G.; Socaciu, C. Identification of the bioactive compounds and antioxidant, antimutagenic and antimicrobial activities of thermally processed agro-industrial waste. Food Chem. 2017, 231, 131–140. [Google Scholar] [CrossRef] [PubMed]
- Baba, S.A.; Malik, S.A. Determination of total phenolic and flavonoid content, antimicrobial and antioxidant activity of a root extract of Arisaema jacquemontii Blume. J. Taibah Univ. Sci. 2015, 9, 449–454. [Google Scholar] [CrossRef] [Green Version]
- Anand, P.; Singh, K.P.; Prasad, K.; Kaur, C.; Verma, A.K. Betalain Estimation and Callus Induction in Different Explants of Bougainvillea spp. Indian J. Agricul. Sci. 2016, 87, 191–196. [Google Scholar]
- Ravichandran, K.; Ahmed, A.R.; Knorr, D.; Smetanska, I. The effect of different processing methods on phenolic acid content and antioxidant activity of red beet. Food Res. Int. 2012, 48, 16–20. [Google Scholar] [CrossRef]
- Amerine, M.A.; Pangborn, R.M.; Roessler, E.B. Laboratory studdies: Types and principles. In Principles of Sensory Evaluation of Food; Academic Press: New York, NY, USA, 1965; Chapter 6; pp. 275–314. [Google Scholar]
- Ohkawa, H.; Ohishi, N.; Yagi, K. Assay for lipid peroxides in animal tissues by thiobarbituric acid reaction. Anal. Biochem. 1979, 95, 351–358. [Google Scholar] [CrossRef]
- Paglia, D.E.; Valentine, W.N. Studies on the quantitative and qualitative characterization of erythrocyte glutathione peroxidase. J. Lab. Clin. Med. 1967, 70, 158–169. [Google Scholar] [CrossRef] [PubMed]
- Nishikimi, M.; Appaji, N.; Yagi, K. The occurrence of superoxide anion in the reaction of reduced phenazine methosulfate and molecular oxygen. Biochem. Biophys. Res. Commun. 1972, 46, 849–854. [Google Scholar] [CrossRef]
- Aebi, H. [13] Catalase in vitro. In Methods in Enzymology; Academic Press: Cambridge, MA, USA, 1984; Volume 105, pp. 121–126. [Google Scholar]
- da Silva, T.M.; Torello Marinoni, D.; Peano, C.; Roberta Giuggioli, N. A new sensory approach combined with a text-mining tool to create a sensory lexicon and profile of monovarietal apple juices. Foods 2019, 8, 608. [Google Scholar] [CrossRef] [PubMed] [Green Version]
- Lorizola, I.M.; Crivelin, V.X.; Bezerra, R.M.N.; Ferla, L.F.; Francischini, N.V.; Machado, L.L.; Capitani, C.D. Bioactive compounds and antioxidant activity during food processing of beet stalks and leaves (Beta vulgaris L.). Bol. Cent. Pesqui. Processamento Aliment. 2020, 36. [Google Scholar]
- NAP. Physiological Role of Copper. In Copper in Drinking Water; National Academies Press (NAP): Washington, DC, USA, 2000; p. 162. [Google Scholar]
- Domínguez, R.; Cuenca, E.; Maté-Muñoz, J.L.; García-Fernández, P.; Serra-Paya, N.; Estevan, M.C.L.; Herreros, P.V.; Garnacho-Castaño, M.V. Effects of beetroot juice supplementation on cardiorespiratory endurance in athletes. A systematic review. Nutrients 2017, 9, 43. [Google Scholar] [CrossRef] [Green Version]
- Siervo, M.; Lara, J.; Ogbonmwan, I.; Mathers, J.C. Inorganic nitrate and beetroot juice supplementation reduces blood pressure in adults: A systematic review and meta-analysis. J. Nutr. 2013, 143, 818–826. [Google Scholar] [CrossRef] [PubMed]
- Strazzullo, P.; Leclercq, C. Sodium. Adv. Nutr. 2014, 5, 188–190. [Google Scholar] [CrossRef] [PubMed] [Green Version]
- Abdo, E.M.; Shaltout, O.E.-S.; El-Sohaimy, S.; Abdalla, A.E.M.; Zeitoun, A.M. Effect of functional beetroot pomace biscuit on phenylhydrazine induced anemia in albino rats: Hematological and blood biochemical analysis. J. Funct. Foods 2021, 78, 104385. [Google Scholar] [CrossRef]
- Kennedy, D.O. B Vitamins and the Brain: Mechanisms, Dose and Efficacy—A Review. Nutrients 2016, 8, 68. [Google Scholar] [CrossRef] [Green Version]
- Brito, A.; Hertrampf, E.; Olivares, M.; Gaitán, D.; Sánchez, H.; Allen, L.H.; Uauy, R. [Folate, vitamin B12 and human health]. Rev. Med. Chile 2012, 140, 1464–1475. [Google Scholar] [CrossRef] [Green Version]
- Fernandez, M.V.; Bengardino, M.; Jagus, R.J.; Agüero, M.V. Enrichment and preservation of a vegetable smoothie with an antioxidant and antimicrobial extract obtained from beet by-products. LWT 2020, 117, 108622. [Google Scholar] [CrossRef]
- Lee, J.H.; Son, C.W.; Kim, M.Y.; Kim, M.H.; Kim, H.R.; Kwak, E.S.; Kim, S.; Kim, M.R. Red beet (Beta vulgaris L.) leaf supplementation improves antioxidant status in C57BL/6J mice fed high fat high cholesterol diet. Nutr. Res. Pract. 2009, 3, 114–121. [Google Scholar] [CrossRef]
- Al-Harbi, L.N.; Alshammari, G.M.; Al-Dossari, A.M.; Subash-Babu, P.; Binobead, M.A.; Alhussain, M.H.; AlSedairy, S.A.; Al-Nouri, D.M.; Shamlan, G. Beta vulgaris L. (Beetroot) Methanolic Extract Prevents Hepatic Steatosis and Liver Damage in T2DM Rats by Hypoglycemic, Insulin-Sensitizing, Antioxidant Effects, and Upregulation of PPAR&alpha. Biology 2021, 10, 1306. [Google Scholar] [PubMed]
- Abdulmaguid, N.Y.M. Ameliorative iron-deficiency anemia levels using natural orange juice and fortified with different concentrations of mango, strawberries and beetroot juices in male albino rats. J. Nat. Sci. Life Appl. Sci. 2021, 2, 50–63. [Google Scholar] [CrossRef]
- Gheith, I.; El-Mahmoudy, A. Laboratory evidence for the hematopoietic potential of Beta vulgaris leaf and stalk extract in a phenylhydrazine model of anemia. Braz. J. Med. Biol. Res. 2018, 51. [Google Scholar] [CrossRef] [PubMed]
- Babarykin, D.; Smirnova, G.; Markovs, J.; Vasiljeva, S.; Basova, N.; Simanis, R.; Viksna, L. Therapeutic effect of fractionated by ultrafiltration red beetroot (Beta vulgaris L.) juice in rats with food-induced fatty liver. Eur. J. Biol. Res. 2019, 9, 1–9. [Google Scholar]
- Hadipour, E.; Taleghani, A.; Tayarani-Najaran, N.; Tayarani-Najaran, Z. Biological effects of red beetroot and betalains: A review. Phytother. Res. 2020, 34, 1847–1867. [Google Scholar] [CrossRef] [PubMed]
- Raish, M.; Ahmad, A.; Ansari, M.A.; Alkharfy, K.M.; Ahad, A.; Khan, A.; Ali, N.; Ganaie, M.A.; Hamidaddin, M.A.A. Beetroot juice alleviates isoproterenol-induced myocardial damage by reducing oxidative stress, inflammation, and apoptosis in rats. 3 Biotech. 2019, 9, 1–11. [Google Scholar] [CrossRef]










| JUICE | ORANGE JUICE % | BEETROOT LEAF AND STEM JUICE % |
|---|---|---|
| OJ | 100 | 0 |
| LSJ | 0 | 100 |
| OLS (5%) | 95 | 5 |
| OLS (10%) | 90 | 10 |
| OLS (15%) | 85 | 15 |
| OLS (20%) | 80 | 20 |
| Standard Diet | High-Fat Diet | |
|---|---|---|
| Dried skim milk | 37.50 | 37.50 |
| Corn starch | 33.45 | 3.45 |
| Cellulose | 5.00 | 5.00 |
| Sucrose | 10.00 | 15.00 |
| Corn oil | 9.00 | 9.00 |
| Vegetable ghee | 0.00 | 25.00 |
| Vitamin mix | 1.00 | 1.00 |
| Minerals mix | 4.00 | 4.00 |
| Chlorine chloride | 0.02 | 0.02 |
| L-cystine | 0.03 | 0.03 |
| Total | 100.00 | 100.00 |
| LSJ | OJ | OLS (5%) | OLS (10%) | OLS (15%) | OLS (20%) | |
|---|---|---|---|---|---|---|
| PH | 6.55 ± 0.01 a | 3.58 ± 0.42 c | 3.81 ± 0.07 b | 3.84 ± 0.06 b | 3.88 ± 0.03 b | 3.96 ± 0.03 b |
| TAA % | 0.13 ± 0.02 b | 0.67 ± 0.18 a | 0.54 ± 0.05 a,b | 0.50 ± 0.04 a,b | 0.47 ± 0.09 a,b | 0.40 ± 0.07 b |
| VISCOSITY | 58.35 ± 2.12 b | 116.50 ± 0.49 a | 57.95 ± 0.08 b | 57.00 ± 1.41 b | 57.50 ± 0.71 b | 56.50 ± 0.71 b |
| TSS (°BRIX) | 3.70 ± 0.57 d | 11.20 ± 0.14 a | 10.80 ± 0.14 a | 10.60 ± 0.15 a,b | 10.00 ± 0.10 b,c | 9.90 ± 0.14 c |
| TSS/TAA | 17.38 ± 0.33 b | 27.59 ± 4.71 a | 20.25 ± 1.88 a,b | 21.43 ± 1.36 a,b | 21.74 ± 4.09 a,b | 25.11 ± 1.08 a |
| Sample | LSJ | OJ | OLS (5%) | OLS (10%) | OLS (15%) | OLS (20%) |
|---|---|---|---|---|---|---|
| Proximate chemical composition (g/100 g) | ||||||
| Moisture % | 85.60 ± 0.10 a | 79.95 ± 1.02 c | 80.21 ± 1.68 c | 80.42 ± 0.57 c | 83.25 ± 0.35 b | 83.09 ± 0.09 b |
| Total fats % | 0.52 ± 0.02 a | 0.51 ± 0.01 a | 0.55 ± 0.06 a | 0.53 ± 0.03 a | 0.59 ± 0.06 a | 0.60 ± 0.10 a |
| Total proteins % | 5.20 ± 0.17 a | 0.24 ± 0.03 c | 0.24 ± 0.00 c | 0.26 ± 0.14 c | 0.29 ± 0.03 c | 0.43 ± 0.04 b |
| Ash % | 1.33 ± 0.06 a | 0.12 ± 0.03 e | 0.20 ± 0.02 c,d | 0.15 ± 0.01 d,e | 0.25 ± 0.04 b,c | 0.31 ± 0.01 b |
| Carbohydrates % * | 7.35 ± 0.26 c | 19.18 ± 1.08 a | 18.80 ± 1.60 a | 18.64 ± 0.59 b | 15.62 ± 0.28 b | 15.56 ± 0.4 b |
| Minerals content (mg/100 g) | ||||||
| Ca | 125.85 ± 3.25 a | 14.90 ± 2.95 c | 16.90 ± 1.91 c | 13.50 ± 1.63 c | 27.30 ± 5.90 b | 28.60 ± 0.74 b |
| Mg | 5.69 ± 0.26 c | 7.60 ± 3.29 c | 6.60 ± 0.49 c | 11.20 ± 1.24 b,c | 14.70 ± 1.08 b | 19.60 ± 0.99 a |
| K | 266.15 ± 4.65 a | 53.70 ± 5.10 d | 50.10 ± 2.65 d | 51.80 ± 0.21 d | 64.70 ± 3.06 c | 72.70 ± 0.19 b |
| Na | 206.70 ± 5.69 a | 10.60 ± 2.15 c | 14.50 ± 1.2 c | 18.10 ± 0.95 c | 39.40 ± 8.77 b | 44.80 ± 0.62 b |
| P | 3.67 ± 0.12 c | 19.70 ± 4.62 b | 20.90 ± 0.25 b | 23.80 ± 4.14 a,b | 29.80 ± 7.48 a,b | 33.40 ± 0.70 a |
| Fe | 1.31 ± 0.04 c | 1.60 ± 0.27 c | 2.10± 0.01 c | 1.98 ± 0.00 c | 2.90 ± 0.46 b | 3.70 ± 0.08 a |
| Mn | 0.53 ± 0.00 a | 0.01 ± 0.00 b | 0.10 ± 0.12 b | 0.03 ± 0.01 b | 0.09 ± 0.00 b | 0.12 ± 0.01 b |
| Cu | 0.62 ± 0.01 a | ND | ND | 0.01 ± 0.00 d | 0.06 ± 0.02 c | 0.11 ± 0.03 b |
| Zn | 2.19 ± 0.01 a | 0.47 ± 0.04 c | 0.51 ± 0.03 c | 0.57 ± 0.01 c | 0.88 ± 0.16 b | 0.94 ± 0.04 b |
| LSJ | OJ | OLS (5%) | OLS (10%) | OLS (15%) | OLS (20%) | |
|---|---|---|---|---|---|---|
| Total phenolics | 595.05 ± 10.97 a | 582.13 ± 44.45 a | 540.05 ± 76.76 a | 554.21 ± 16.65 a | 555.76 ± 14.61 a | 567.24 ± 10.67 a |
| Total flavonoids | 172.42 ± 14.20 a | 99.52 ± 11.96 d | 119.04 ± 0.00 c | 125.40 ± 11.28 b,c | 123.29± 2.01 c | 142.02 ± 11.00 b |
| DPPH (IC50) | 8.21 ± 0.11 c | 12.56 ± 0.13 a | 9.38 ± 0.81 b | 7.17 ± 0.23 d | 5.54 ±0.03 e | 4.06 ± 0.16 f |
| ABTS (IC50) | 47.73 ± 0.36 c | 58.78 ± 0.46 a | 59.30 ± 0.84 a | 59.48 ± 0.55 a | 58.61 ±0.64 a | 56.21 ± 0.29 b |
| Betacyanin | 1970.00 ± 50.51 a | ND | 700.00 ± 10.76 d | 750.00 ± 0.00 d | 920.00 ± 30.82 c | 1090.00 ± 0.00 b |
| Betaxanthin | 1900.00 ± 50.93 a | ND | 500.00 ± 10.55 c | 440.00 ± 0.00 d | 480.00 ± 10.23 c | 590.00 ± 0.00 b |
| Betalain | 3860.00 ± 80.81 a | ND | 1200.00 ± 10.73 d | 1190.00 ± 0.00 d | 1410.00 ± 30.12 c | 1680.00 ± 80.11 b |
Publisher’s Note: MDPI stays neutral with regard to jurisdictional claims in published maps and institutional affiliations. |
© 2022 by the authors. Licensee MDPI, Basel, Switzerland. This article is an open access article distributed under the terms and conditions of the Creative Commons Attribution (CC BY) license (https://creativecommons.org/licenses/by/4.0/).
Share and Cite
Abdo, E.M.; Shaltout, O.E.-S.; Ali, S.; Mansour, H.M.M. A Functional Orange Juice Fortified with Beetroot By-Products Attenuates Hyperlipidemia and Obesity Induced by A High-Fat Diet. Antioxidants 2022, 11, 457. https://doi.org/10.3390/antiox11030457
Abdo EM, Shaltout OE-S, Ali S, Mansour HMM. A Functional Orange Juice Fortified with Beetroot By-Products Attenuates Hyperlipidemia and Obesity Induced by A High-Fat Diet. Antioxidants. 2022; 11(3):457. https://doi.org/10.3390/antiox11030457
Chicago/Turabian StyleAbdo, Eman M., Omayma El-Sayed Shaltout, Salim Ali, and Hanem M. M. Mansour. 2022. "A Functional Orange Juice Fortified with Beetroot By-Products Attenuates Hyperlipidemia and Obesity Induced by A High-Fat Diet" Antioxidants 11, no. 3: 457. https://doi.org/10.3390/antiox11030457
APA StyleAbdo, E. M., Shaltout, O. E.-S., Ali, S., & Mansour, H. M. M. (2022). A Functional Orange Juice Fortified with Beetroot By-Products Attenuates Hyperlipidemia and Obesity Induced by A High-Fat Diet. Antioxidants, 11(3), 457. https://doi.org/10.3390/antiox11030457

