Supplementation with a Highly Concentrated Docosahexaenoic Acid (DHA) in Non-Proliferative Diabetic Retinopathy: A 2-Year Randomized Double-Blind Placebo-Controlled Study
Abstract
:1. Introduction
2. Materials and Methods
2.1. Study Design and Participants
2.2. Study Intervention
2.3. Study Procedures
2.4. Outcomes
2.5. Statistical Analysis
3. Results
3.1. Characteristics of the Study Patients
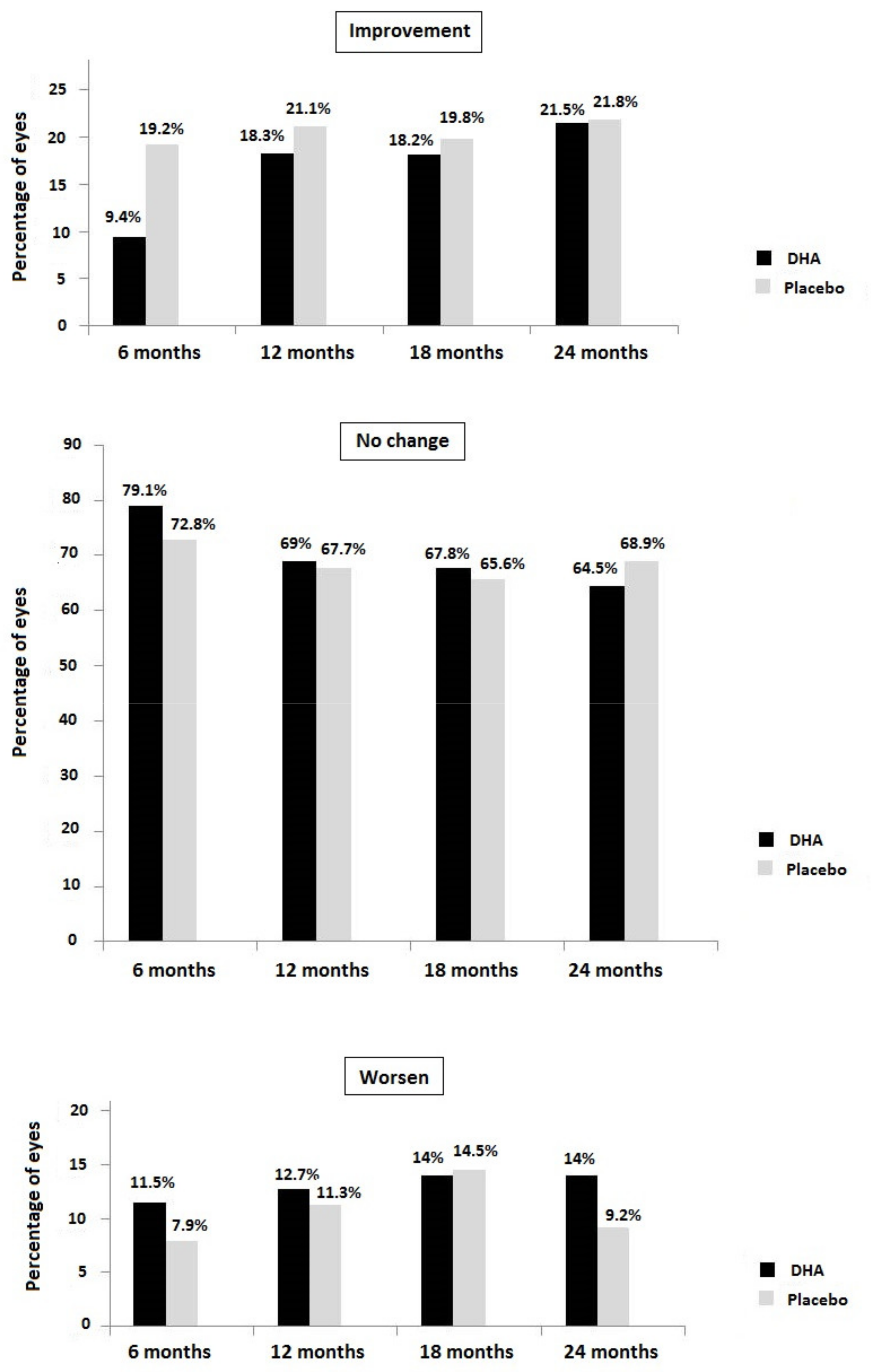
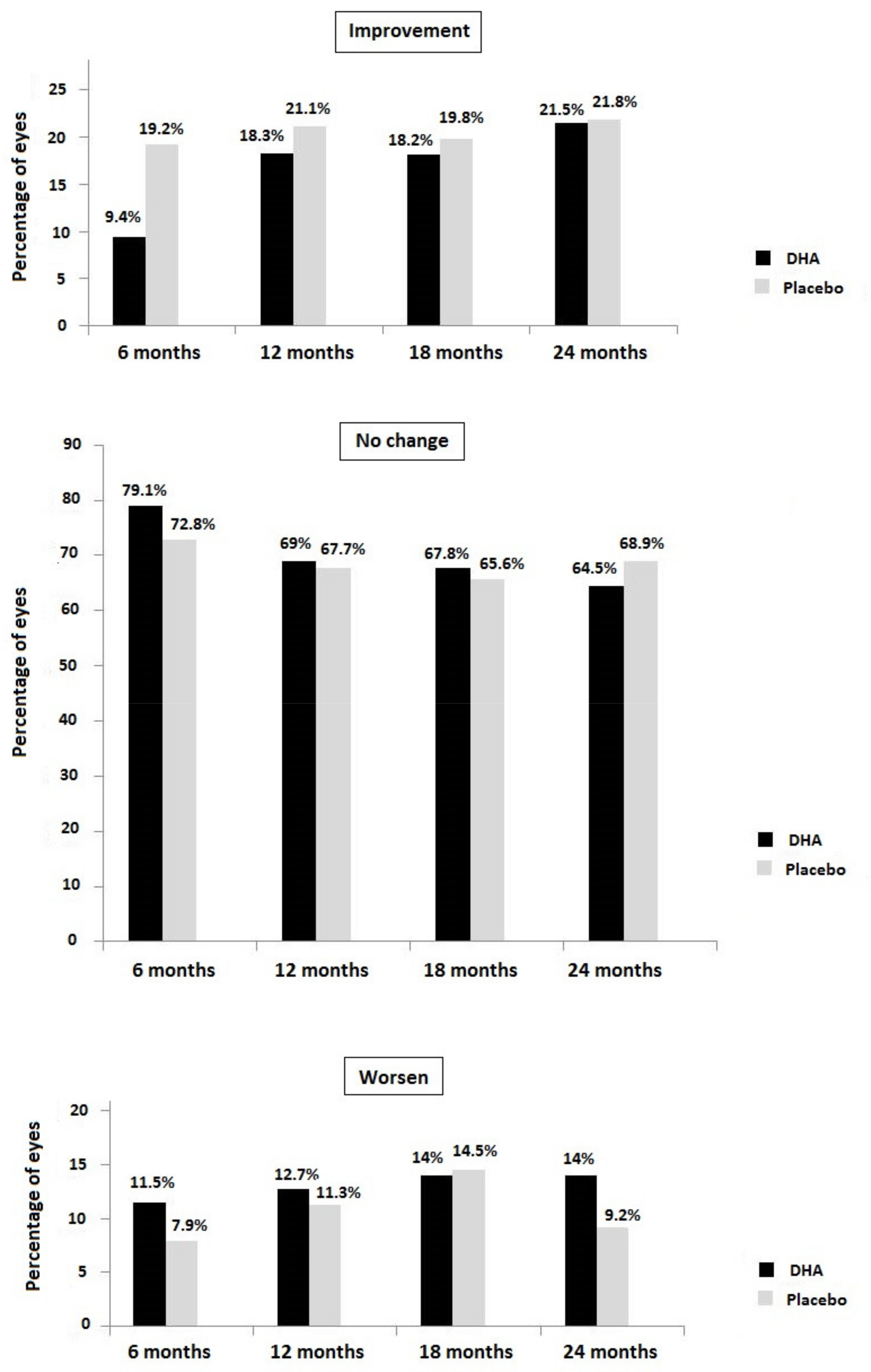
3.2. Changes of NPDR Stage
3.3. Secondary Outcome Variables
4. Discussion
5. Conclusions
Author Contributions
Funding
Institutional Review Board Statement
Informed Consent Statement
Data Availability Statement
Acknowledgments
Conflicts of Interest
References
- De Boer, I.H.; Bangalore, S.; Benetos, A.; Davis, A.M.; Michos, E.D.; Muntner, P.; Rossing, P.; Zoungas, S.; Bakris, G. Diabetes and hypertension: A position statement by the American Diabetes Association. Diabetes Care 2017, 40, 1273–1284. [Google Scholar] [CrossRef] [Green Version]
- Diabetes Control and Complications Trial Research Group. The effect of intensive diabetes treatment on the progression of diabetic retinopathy in insulin-dependent diabetes mellitus. The Diabetes Control and Complications Trial. Arch. Ophthalmol. 1995, 113, 36–51. [Google Scholar] [CrossRef] [PubMed]
- Fullerton, B.; Jeitler, K.; Seitz, M.; Horvath, K.; Berghold, A.; Siebenhofer, A. Intensive glucose control versus conventional glucose control for type 1 diabetes mellitus. Cochrane Database Syst. Rev. 2014, 2014, CD009122. [Google Scholar] [CrossRef]
- Sivaprasad, S.; Pearce, E. The unmet need for better risk stratification of non-proliferative diabetic retinopathy. Diabet. Med. 2019, 36, 424–433. [Google Scholar] [CrossRef] [PubMed]
- Thomas, R.L.; Halim, S.; Gurudas, S.; Sivaprasad, S.; Owens, D.R. IDF Diabetes Atlas: A review of studies utilising retinal photography on the global prevalence of diabetes related retinopathy between 2015 and 2018. Diabetes Res. Clin. Pract. 2019, 157, 107840. [Google Scholar] [CrossRef]
- Sato, Y.; Lee, Z.; Hayashi, Y. Subclassification of preproliferative diabetic retinopathy and glycemic control: Relationship between mean hemoglobin A1C value and development of proliferative diabetic retinopathy. Jpn J. Ophthalmol. 2001, 45, 523–527. [Google Scholar] [CrossRef]
- Song, P.; Yu, J.; Chan, K.Y.; Theodoratou, E.; Rudan, I. Prevalence, risk factors and burden of diabetic retinopathy in China: A systematic review and meta-analysis. J. Glob. Health 2018, 8, 010803. [Google Scholar] [CrossRef]
- Yang, Q.H.; Zhang, Y.; Zhang, X.M.; Li, X.R. Prevalence of diabetic retinopathy, proliferative diabetic retinopathy and non-proliferative diabetic retinopathy in Asian T2DM patients: A systematic review and meta-analysis. Int. J. Ophthalmol. 2019, 12, 302–311. [Google Scholar] [PubMed]
- Hashemi, H.; Rezvan, F.; Pakzad, R.; Ansaripour, A.; Heydarian, S.; Yekta, A.; Ostadimoghaddam, H.; Pakbin, M.; Khabazkhoob, M. Global and regional prevalence of diabetic retinopathy; A comprehensive systematic review and meta-analysis. In Seminars in Ophthalmology; Taylor & Francis: Oxfordshire, UK, 2021; pp. 1–16. [Google Scholar] [CrossRef]
- Wykoff, C.C. Management of Diabetes-Related Retinopathy. In Prevention and Management of Diabetes-Related Eye Disease; American Diabetes Association: Arlington VA, USA, 2019. Available online: https://www.ncbi.nlm.nih.gov/books/NBK544520/ (accessed on 27 August 2021).
- Cai, J.; Boulton, M. The pathogenesis of diabetic retinopathy: Old concepts and new questions. Eye 2002, 16, 242–260. [Google Scholar] [CrossRef]
- Joy, S.S.; Siddiqui, K. Molecular and pathophysiological mechanisms of diabetic retinopathy in relation to adhesion molecules. Curr. Diabetes Rev. 2019, 15, 363–371. [Google Scholar] [CrossRef] [PubMed]
- Stem, M.S.; Gardner, T.W. Neurodegeneration in the pathogenesis of diabetic retinopathy: Molecular mechanisms and therapeutic implications. Curr. Med. Chem. 2013, 20, 3241–3250. [Google Scholar] [CrossRef] [Green Version]
- Safi, S.Z.; Qvist, R.; Kumar, S.; Batumalaie, K.; Ismail, I.S. Molecular mechanisms of diabetic retinopathy, general preventive strategies, and novel therapeutic targets. BioMed Res. Int. 2014, 2014, 801269. [Google Scholar] [CrossRef] [Green Version]
- Chang, Y.C.; Chuang, L.M. The role of oxidative stress in the pathogenesis of type 2 diabetes: From molecular mechanism to clinical implication. Am. J. Transl. Res. 2010, 2, 316–331. [Google Scholar] [PubMed]
- Rochette, L.; Zeller, M.; Cottin, Y.; Vergely, C. Diabetes, oxidative stress and therapeutic strategies. Biochim. Biophys. Acta 2014, 1840, 2709–2729. [Google Scholar] [CrossRef]
- Lafuente, M.; González-Herrero, M.R.; Villadóniga, S.R.; Domingo, J.C. Antioxidant activity and neuroprotective role of docosahexaenoic acid (DHA) supplementation in eye diseases that can lead to blindness: A narrative review. Antioxidants 2021, 10, 386. [Google Scholar] [CrossRef]
- Connor, K.M.; SanGiovanni, J.P.; Lofqvist, C.; Aderman, C.M.; Chen, J.; Higuchi, A.; Hong, S.; Pravda, E.A.; Majchrzak, S.; Carper, D.; et al. Increased dietary intake of omega-3-polyunsaturated fatty acids reduces pathological retinal angiogenesis. Nat. Med. 2007, 13, 868–873. [Google Scholar] [CrossRef] [Green Version]
- Rotstein, N.P.; Politi, L.E.; German, O.L.; Girotti, R. Protective effect of docosahexaenoic acid on oxidative stress-induced apoptosis of retina photoreceptors. Investig. Opthalmol. Vis. Sci. 2003, 44, 2252–2259. [Google Scholar] [CrossRef] [PubMed]
- Mukherjee, P.K.; Marcheselli, V.L.; Serhan, C.N.; Bazan, N.G. Neuroprotectin D1: A docosahexaenoic acid-derived docosatriene protects human retinal pigment epithelial cells from oxidative stress. Proc. Natl. Acad. Sci. USA 2004, 101, 8491–8496. [Google Scholar] [CrossRef] [PubMed] [Green Version]
- Yang, Y.C.; Lii, C.K.; Wei, Y.L.; Li, C.C.; Lu, C.Y.; Liu, K.L.; Chen, H.W. Docosahexaenoic acid inhibition of inflammation is partially via cross-talk between Nrf2/heme oxygenase 1 and IKK/NF-κB pathways. J. Nutr. Biochem. 2013, 24, 204–212. [Google Scholar] [CrossRef]
- Solanki, P.; Aminoshariae, A.; Jin, G.; Montagnese, T.A.; Mickel, A. The effect of docosahexaenoic acid (DHA) on expression of IL-1ß, IL-6, IL-8, and TNF-α in normal and lipopolysaccharide (LPS)-stimulated macrophages. Quintessence Int. 2013, 44, 393. [Google Scholar] [CrossRef] [PubMed]
- Fu, Z.; Löfqvist, C.; Shao, Z.; Sun, Y.; Joyal, J.-S.; Hurst, C.G.; Cui, R.Z.; Evans, L.P.; Tian, K.; SanGiovanni, J.P.; et al. Dietary ω-3 polyunsaturated fatty acids decrease retinal neovascularization by adipose-endoplasmic reticulum stress reduction to increase adiponectin. Am. J. Clin. Nutr. 2015, 101, 879–888. [Google Scholar] [CrossRef] [Green Version]
- Calder, P.C. Omega-3 fatty acids and inflammatory processes. Nutrients 2010, 2, 355–374. [Google Scholar] [CrossRef] [Green Version]
- González-Herrero, M.E.R.; Ruiz, M.; Román, F.J.L.; Sánchez, J.M.M.; Domingo, J.C. Supplementation with a highly concentrated docosahexaenoic acid plus xanthophyll carotenoid multivitamin in nonproliferative diabetic retinopathy: Prospective controlled study of macular function by fundus microperimetry. Clin. Ophthalmol. 2018, 12, 1011–1020. [Google Scholar] [CrossRef] [PubMed] [Green Version]
- Early Treatment Diabetic Retinopathy Study Research Group. Grading diabetic retinopathy from stereoscopic color fundus photographs—An extension of the modified Airlie House classification: ETDRS report number 10. Ophthalmology 1991, 98 (Suppl. 5), 786–806. [Google Scholar] [CrossRef]
- Brudy Technology, S.L. Use of DHA for Treating a Pathology Associated with Cellular Oxidative Damage. European Patent EP 1 962 825 B1, 2 April 2008. Available online: https://patentimages.storage.googleapis.com/55/e3/28/c2f8a893be6c93/EP1962825B1.pdf (accessed on 10 November 2021).
- Alemán Sánchez, J.J.; Artola Menéndez, S.; Ávila Lachica, L.; Barrot de la Puente, J.; Barutell Rubio, L.; Benito Badorrey, B.; Buil Cosiales, P.; Carramiñana Barrera, F.; Carrillo Fernández, L.; Cebrián Cuenca, A. Guía de la Diabetes Tipo 2 Para Clínicos. Recomendaciones de redGDPS; Fundación redGDPS: Madrid, Spain, 2018; Available online: https://www.redgdps.org/publicaciones-redgdps/ (accessed on 26 August 2021).
- Sasaki, M.; Kawasaki, R.; Rogers, S.; Man, R.E.K.; Itakura, K.; Xie, J.; Flood, V.M.; Tsubota, K.; Lamoureux, E.L.; Wang, J.J. The associations of dietary intake of polyunsaturated fatty acids with diabetic retinopathy in well-controlled diabetes. Investig. Ophthalmol. Vis. Sci. 2015, 56, 7473–7479. [Google Scholar] [CrossRef]
- Hu, F.B.; Cho, E.; Rexrode, K.M.; Albert, C.M.; Manson, J.E. Fish and long-chain omega-3 fatty acid intake and risk of coronary heart disease and total mortality in diabetic women. Circulation 2003, 107, 1852–1857. [Google Scholar] [CrossRef] [PubMed] [Green Version]
- Shimizu, H.; Ohtani, K.-I.; Tanaka, Y.; Sato, N.; Mori, M.; Shimomura, Y. Long-term effect of eicosapentaenoic acid ethyl (EPA-E) on albuminuria of non-insulin dependent diabetic patients. Diabetes Res. Clin. Pract. 1995, 28, 35–40. [Google Scholar] [CrossRef]
- Chewcharat, A.; Chewcharat, P.; Rutirapong, A.; Papatheodorou, S. The effects of omega-3 fatty acids on diabetic nephropathy: A meta-analysis of randomized controlled trials. PLoS ONE 2020, 15, e0228315. [Google Scholar] [CrossRef]
- Tao, M.; McDowell, M.A.; Saydah, S.H.; Eberhardt, M.S. Relationship of polyunsaturated fatty acid intake to peripheral neuropathy among adults with diabetes in the National Health and Nutrition Examination Survey (NHANES) 1999 2004. Diabetes Care 2008, 31, 93–95. [Google Scholar] [CrossRef] [PubMed] [Green Version]
- Kowluru, R.A.; Chan, P.S. Oxidative stress and diabetic retinopathy. Exp. Diabetes Res. 2007, 2007, 43603. [Google Scholar] [CrossRef] [PubMed] [Green Version]
- Kang, Q.; Yang, C. Oxidative stress and diabetic retinopathy: Molecular mechanisms, pathogenetic role and therapeutic implications. Redox Biol. 2020, 37, 101799. [Google Scholar] [CrossRef]
- Li, C.; Miao, X.; Li, F.; Wang, S.; Liu, Q.; Wang, Y.; Sun, J. Oxidative stress-related mechanisms and antioxidant therapy in diabetic retinopathy. Oxid. Med. Cell. Longev. 2017, 2017, 9702820. [Google Scholar] [CrossRef]
- Zhang, P.C.; Wu, C.R.; Wang, Z.L.; Wang, L.Y.; Han, Y.; Sun, S.L.; Li, Q.S.; Ma, L. Effect of lutein supplementation on visual function in nonproliferative diabetic retinopathy. Asia Pac. J. Clin. Nutr. 2017, 26, 406–411. [Google Scholar] [PubMed]
- Zanón-Moreno, V.; Pedrol, J.C.D.; Sanz-González, S.M.; Raga-Cervera, J.; Salazar-Corral, J.; Pinazo-Durán, M.D. Feasibility study of a docosahexaenoic acid optimized nutraceutical formulation on the macular levels of lutein in a healthy Mediterranean population. Ophthalmic Res. 2020, 64, 1068–1076. [Google Scholar] [CrossRef]
- Ren, Y.B.; Qi, Y.X.; Su, X.J.; Luan, H.Q.; Sun, Q. Therapeutic effect of lutein supplement on non-proliferative diabetic retinopathy: A retrospective study. Medicine 2019, 98, e15404. [Google Scholar] [CrossRef]
- Garcia-Medina, J.J.; Pinazo-Duran, M.D.; Garcia-Medina, M.; Zanon-Moreno, V.; Pons-Vazquez, S. A 5-year follow-up of antioxidant supplementation in type 2 diabetic retinopathy. Eur. J. Ophthalmol. 2011, 21, 637–643. [Google Scholar] [CrossRef]
- Domanico, D.; Fragiotta, S.; Cutini, A.; Carnevale, C.; Zompatori, L.; Vingolo, E.M. Circulating levels of reactive oxygen species in patients with nonproliferative diabetic retinopathy and the influence of antioxidant supplementation: 6-month follow-up. Indian J. Ophthalmol. 2015, 63, 9–14. [Google Scholar] [PubMed]
- Chous, A.P.; Richer, S.P.; Gerson, J.D.; Kowluru, R.A. The Diabetes Visual Function Supplement Study (DiVFuSS). Br. J. Ophthalmol. 2016, 100, 227–234. [Google Scholar] [CrossRef] [Green Version]
- Lafuente, M.; Ortín, L.; Argente, M.; Guindo, J.L.; López-Bernal, M.D.; López-Román, F.J.; García, M.J.; Domingo, J.C.; Lajara, J. Combined intravitreal ranibizumab and oral supplementation with docosahexaenoic acid and antioxidants for diabetic macular edema: Two-year randomized single-blind controlled trial results. Retina 2017, 37, 1277–1286. [Google Scholar] [CrossRef] [PubMed]
- Lafuente, M.; Ortín, L.; Argente, M.; Guindo, J.L.; López-Bernal, M.D.; López-Román, F.J.; Domingo, J.C.; Lajara, J. Three-year outcomes in a randomized single-blind controlled trial of intravitreal ranibizumab and oral supplementation with docosahexaenoic acid and antioxidants for diabetic macular edema. Retina 2019, 39, 1083–1090. [Google Scholar] [CrossRef]


| Composition | Per Capsule | % Recommended Daily Amount | Per Three Capsules | % Recommended Daily Amount |
|---|---|---|---|---|
| Concentrated oil in ω-3 fatty acids | 500 mg | 1500 mg | ||
| TG-DHA 70% | 350 mg | - | 1050 mg | - |
| EPA 8.5% | 42.5 mg | - | 127 mg | - |
| DPA 6% | 30 mg | - | 90 mg | - |
| Vitamins | ||||
| Vitamin B1 (thiamine) | 0.37 mg | 33 | 1.1 mg | 100 |
| Vitamin B2 (riboflavin) | 0.47 mg | 33 | 1.4 mg | 100 |
| Vitamin B3 (niacin/niacinamide) | 5.3 mg NE | 33 | 16 mg NE | 100 |
| Vitamin B6 (pyridoxine) | 0.47 mg | 33 | 1.4 mg | 100 |
| Vitamin B9 (folic acid) | 66.7 µg | 33 | 200 µg | 100 |
| Vitamin B12 (cobalamin) | 0.83 µg | 33 | 2.5 µg | 100 |
| Vitamin C (ascorbic acid) | 26.7 mg | 33 | 80 mg | 100 |
| Vitamin E (d-α-TE) | 4 mg α-TE | 33 | 12 mg α-TE | 100 |
| Essential trace elements | ||||
| Zinc | 1.66 mg | 16.66 | 5 mg | 50 |
| Cooper | 0.16 mg | 16.66 | 0.5 mg | 50 |
| Selenium | 9.16 µg | 16.66 | 27.5 µg | 50 |
| Magnesium | 0.33 mg | 16.66 | 1 mg | 50 |
| Other components | ||||
| Lutein | 3 mg | - | 9 mg | - |
| Zeaxanthin | 0.3 mg | - | 0.9 mg | - |
| Glutathione | 2 mg | - | 6 mg | - |
| Energetic value (Kcal) | 5.7 | 17.1 |
| Variables | Study Group | p Value | |
|---|---|---|---|
| DHA (n = 83) | Placebo (n = 87) | ||
| Gender, males | 67 (80.7) | 63 (72.4) | 0.212 |
| Age, years, mean (SD) | 61.7 (10.8) | 61.8 (11.8) | 0.889 |
| Height, cm, mean (SD) | 167.1 (9.0) | 168.1 (9.1) | 0.393 |
| Weight, kg, mean (SD) | 81.9 (12.7) | 85.4 (14.8) | 0.141 |
| Diabetes | |||
| Type 1 | 6 (7.2) | 9 (10.3) | 0.474 |
| Type 2 | 77 (92.8) | 78 (89.7) | |
| Duration of diabetes, years, mean (SD) | 14.9 (9.9) | 14.1 (8.4) | 0.869 |
| Duration of NPDR, years, mean (SD) | 1.0 (1.7) | 1.6 (3.2) | 0.817 |
| Smoking history | |||
| Current smoker | 20 (24.1) | 14 (16.1) | 0.397 |
| Ex-smoker | 34 (41.0) | 37 (42.5) | |
| Never smoker | 29 (34.9) | 36 (41.4) | |
| Physical exercise | |||
| Sedentary (none) | 22 (26.8) | 30 (34.5) | 0.512 |
| Moderate (<1 h/day) | 24 (29.3) | 25 (28.7) | |
| Active (>1 h/day) | 36 (43.9) | 32 (36.8) | |
| Comorbidities | |||
| Hypertension | 57 (68.7) | 61 (70.1) | 0.839 |
| Dyslipidemia | 56 (67.5) | 49 (56.3) | 0.135 |
| Heart disease | 8 (9.6) | 7 (8.0) | 0.714 |
| Nephropathy | 1 (1.2) | 1 (1.1) | 1 |
| Peripheral vascular disease | 5 (6.0) | 2 (2.3) | 0.269 |
| Patients with eyes affected | |||
| Both eyes | 72 | 77 | |
| Left/right | 5/6 | 6/4 | |
| NPDR stage, total eyes | 154 | 163 | |
| Mild | 95 (61.7) | 101 (61.9) | 0.806 |
| Moderate | 54 (35.1) | 60 (36.8) | 0.668 |
| Severe | 5 (3.2) | 2 (1.3) | 0.678 |
| BCVA, mean (SD) | |||
| Left eye | |||
| Decimal | 0.748 (0.222) | 0.723 (0.261) | 0.563 |
| LogMAR | 0.160 (0.171) | 0.182 (0.172) | 0.393 |
| Right eye | |||
| Decimal | 0.716 (0.208) | 0.752 (0.237) | 0.245 |
| LogMAR | 0.167 (0.142) | 0.161 (0.165) | 0.359 |
| HbA1c level, %, mean (SD) | 8.38 (1.80) | 7.95 (1.68) | 0.173 |
| Antidiabetic medication | |||
| Oral antidiabetic agents | 43 (51.8) | 44 (50.6) | 0.293 |
| Insulin | 15 (18.1) | 9 (10.3) | |
| Both | 25 (30.1) | 33 (37.9) | |
| No medication | 0 | 1 (1.1) | |
| Variables | Completed the Study (n = 122) | Lost to Follow-Up (n = 48) | p Value |
|---|---|---|---|
| Gender, males | 91 (74.6) | 38 (79.2) | 0.489 |
| Age, years, mean (SD) | 62.4 (11.1) | 60.2 (11.8) | 0.402 |
| Height, cm, mean (SD) | 167.9 (8.7) | 166.5 (9.9) | 0.339 |
| Weight, kg, mean (SD) | 83.5 (14.0) | 84.2 (13.7) | 0.597 |
| Smoking history | |||
| Current smoker | 19 (15.6) | 15 (31.2) | 0.071 |
| Ex-smoker | 54 (44.3) | 17 (35.4) | |
| Never smoker | 49 (40.2) | 16 (33.3) | |
| Physical exercise | |||
| Sedentary (none) | 39 (32.2) | 13 (27.1) | 0.439 |
| Moderate (<1 h/day) | 37 (30.6) | 12 (25.0) | |
| Active (>1 h/day) | 45 (37.2) | 23 (47.9) | |
| Missing | 1 | ||
| Comorbidities | |||
| Hypertension | 80 (65.6) | 38 (79.2) | 0.083 |
| Dyslipidemia | 79 (64.8) | 26 (54.2) | 0.201 |
| Heart disease | 12 (9.8) | 3 (6.2) | 0.558 |
| Nephropathy | 2 (1.6) | 0 | 1 |
| Peripheral vascular disease | 6 (4.9) | 1 (2.0) | 0.675 |
| Patients with eyes affected by NPDR | |||
| Both eyes | 104 | 45 | |
| Left/right | 9/9 | 2/1 | |
| NPDR stage, total eyes | 225 | 92 | |
| Mild | 142 (63.1) | 54 (58.7) | 0.576 |
| Moderate | 76 (53.2) | 38 (41.3) | 0.331 |
| Severe | 7 (4.9) | 0 | |
| BCVA, mean (SD) | |||
| Left eye | |||
| Decimal | 0.756 (0.242) | 0.688 (0.238) | 0.081 |
| LogMAR | 0.163 (0.174) | 0.192 (0.165) | 0.142 |
| Right eye | |||
| Decimal | 0.740 (0.226) | 0.718 (0.219) | 0.344 |
| LogMAR | 0.167 (0.142) | 0.170 (0.137) | 0.319 |
| HbA1c level, %, mean (SD) | 8.08 (1.55) | 8.35 (2.18) | 0.854 |
| Antidiabetic medication | |||
| Oral antidiabetic agents | 57 (46.7) | 30 (62.5) | 0.293 |
| Insulin | 17 (13.9) | 7 (14.6) | |
| Both | 47 (38.5) | 11 (22.9) | |
| No medication | 1 | 0 |
| Study Group and Visits | Total Patients/Eyes | NPDR Stage, Number of Eyes (%) | Within-Group p Value * | ||
|---|---|---|---|---|---|
| Mild | Moderate | Severe | |||
| DHA group | |||||
| Baseline | 83/154 | 95 (61.7) | 54 (35.1) | 5 (3.2) | |
| 6 months | 75/139 | 87 (62.6) | 46 (33.1) | 6 (4.3) | 0.902 |
| 12 months | 69/126 | 89 (70.6) | 30 (23.8) | 7 (5.5) | 0.171 |
| 18 months | 66/126 | 84 (69.4) | 29 (24.0) | 8 (6.6) | 0.189 |
| 24 months | 59/121 | 81 (75.7) | 20 (18.7) | 6 (5.6) | 0.120 |
| Placebo group | |||||
| Baseline | 87/163 | 101 (61.9) | 60 (36.8) | 2 (1.3) | |
| 6 months | 81/151 | 111 (73.5) | 40 (26.5) | 0 | 0.025 |
| 12 months | 72/133 | 98 (73.7) | 29 (21.8) | 6 (4.5) | 0.004 |
| 18 months | 70/131 | 88 (67.2) | 43 (32.8) | 0 | 0.275 |
| 24 months | 63/119 | 87 (73.1) | 31 (26.0) | 1 (0.8) | 0.084 |
| Outcomes | Baseline | 6 Months | 12 Months | 18 Months | 24 Months |
|---|---|---|---|---|---|
| VA in decimal system | |||||
| DHA group, no. eyes | 152 | 139 | 127 | 121 | 107 |
| Mean (SD) | 0.73 (0.22) | 0.71 (0.24) | 0.68 (0.21) | 0.64 (0.19) | 0.65 (0.22) |
| Within-group p value * | 0.147 | 0.003 | <0.001 | 0.001 | |
| Placebo group, no. eyes | 160 | 152 | 134 | 129 | 118 |
| Mean (SD) | 0.74 (0.25) | 0.71 (0.25) | 0.68 (0.26) | 0.67 (0.22) | 0.69 (0.23) |
| Within-group p value * | 0.190 | 0.003 | <0.001 | <0.001 | |
| Between-group p value † | 0.732 | 0.984 | 0.881 | 0.372 | 0.213 |
| VA in logMAR system | |||||
| DHA group, no. eyes | 152 | 139 | 127 | 120 | 104 |
| Mean (SD) | 0.16 (0.16) | 0.19 (0.16) | 0.19 (0.14) | 0.21 (0.13) | 0.21 (0.17) |
| Within-group p value * | 0.011 | 0.021 | <0.001 | 0.012 | |
| Placebo group, no. eyes | 156 | 152 | 134 | 125 | 112 |
| Mean (SD) | 0.17 (0.17) | 0.19 (0.16) | 0.21 (0.20) | 0.20 (0.14) | 0.19 (0.17) |
| Within-group p value * | 0.168 | 0.019 | <0.001 | 0.002 | |
| Between-group p value † | 0.969 | 0.848 | 0.689 | 0.365 | 0.313 |
| Serum levels of HbA1c, % | |||||
| DHA group, no. patients | 77 | 62 | 60 | 51 | 47 |
| Mean (SD) | 8.38 (1.80) | 7.84 (1.52) | 7.69 (1.65) | 7.64 (1.12) | 7.67 (1.25) |
| Within-group p value * | 0.059 | 0.001 | 0.010 | 0.072 | |
| Placebo group, no. patients | 80 | 63 | 67 | 60 | 52 |
| Mean (SD) | 7.95 (1.68) | 7.82 (1.63) | 7.68 (1.33) | 7.61 (1.25) | 7.45 (1.19) |
| Within-group p value * | 0.139 | 0.030 | 0.124 | 0.036 | |
| Between-group p value † | 0.173 | 0.959 | 0.590 | 0.627 | 0.396 |
Publisher’s Note: MDPI stays neutral with regard to jurisdictional claims in published maps and institutional affiliations. |
© 2022 by the authors. Licensee MDPI, Basel, Switzerland. This article is an open access article distributed under the terms and conditions of the Creative Commons Attribution (CC BY) license (https://creativecommons.org/licenses/by/4.0/).
Share and Cite
Piñas García, P.; Hernández Martínez, F.J.; Aznárez López, N.; Castillón Torre, L.; Tena Sempere, M.E. Supplementation with a Highly Concentrated Docosahexaenoic Acid (DHA) in Non-Proliferative Diabetic Retinopathy: A 2-Year Randomized Double-Blind Placebo-Controlled Study. Antioxidants 2022, 11, 116. https://doi.org/10.3390/antiox11010116
Piñas García P, Hernández Martínez FJ, Aznárez López N, Castillón Torre L, Tena Sempere ME. Supplementation with a Highly Concentrated Docosahexaenoic Acid (DHA) in Non-Proliferative Diabetic Retinopathy: A 2-Year Randomized Double-Blind Placebo-Controlled Study. Antioxidants. 2022; 11(1):116. https://doi.org/10.3390/antiox11010116
Chicago/Turabian StylePiñas García, Purificación, Francisco Javier Hernández Martínez, Núria Aznárez López, Luis Castillón Torre, and Mª Eugenia Tena Sempere. 2022. "Supplementation with a Highly Concentrated Docosahexaenoic Acid (DHA) in Non-Proliferative Diabetic Retinopathy: A 2-Year Randomized Double-Blind Placebo-Controlled Study" Antioxidants 11, no. 1: 116. https://doi.org/10.3390/antiox11010116
APA StylePiñas García, P., Hernández Martínez, F. J., Aznárez López, N., Castillón Torre, L., & Tena Sempere, M. E. (2022). Supplementation with a Highly Concentrated Docosahexaenoic Acid (DHA) in Non-Proliferative Diabetic Retinopathy: A 2-Year Randomized Double-Blind Placebo-Controlled Study. Antioxidants, 11(1), 116. https://doi.org/10.3390/antiox11010116

