Preparation, Antioxidant Properties and Ability to Increase Intracellular NO of a New Pyridoxine Derivative B6NO
Abstract
:1. Introduction
2. Materials and Methods
2.1. Materials and Equipment
2.2. Chemistry
2.2.1. Synthesis of Compound I 2-(Nitrooxy)butanedioic Acid
2.2.2. Synthesis of Compound II Di(3-hydroxy-4,5-bis(hydroxymethyl)-2-methylpyridinium) Salt of 2-(Nitrooxy)butanedioic Acid
2.3. Biology
3. Results
3.1. The Ability of B6NO to Inhibit the Fenton Reaction
3.2. Influence of B6NO on the Mammalian Cells Viability
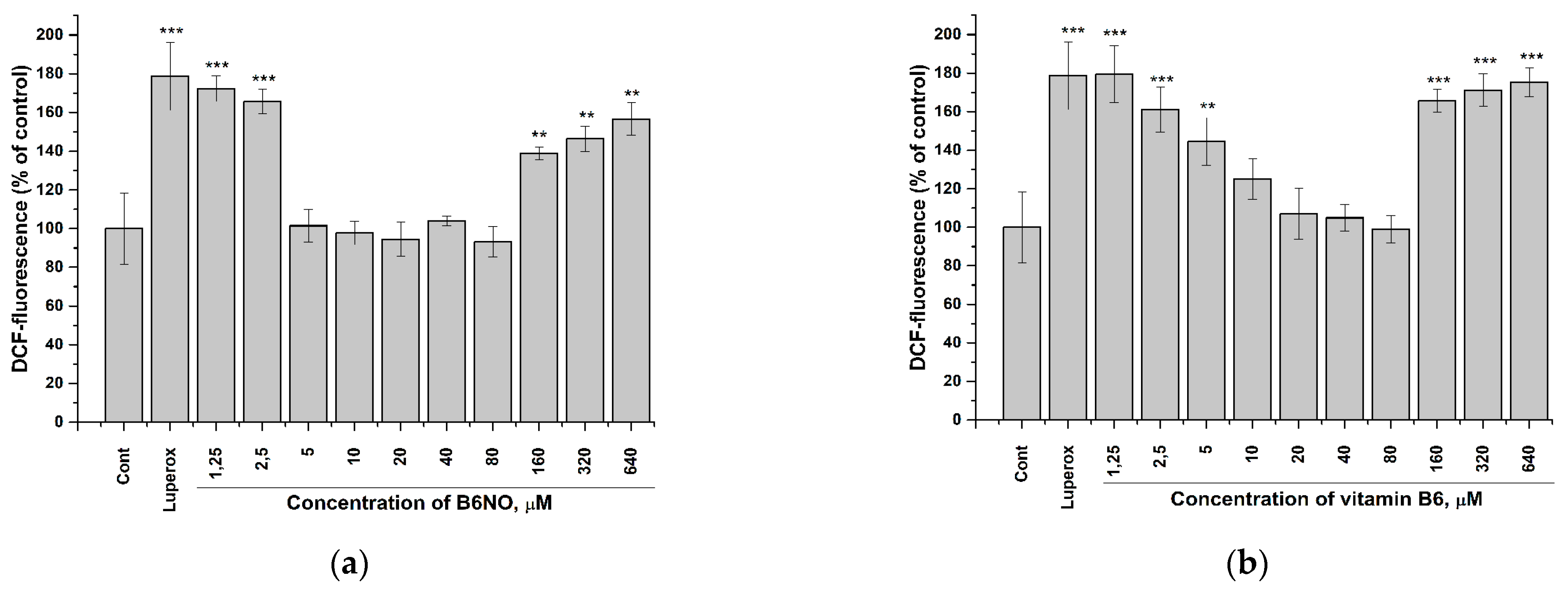
3.3. Antioxidant Activity of B6NO under Conditions of Oxidative Stress Induction in Normal and Tumor Cells
3.4. NO-Donor Properties of B6NO in Normal and Tumor Cells
4. Discussion
5. Conclusions
6. Patents
Supplementary Materials
Author Contributions
Funding
Institutional Review Board Statement
Informed Consent Statement
Data Availability Statement
Acknowledgments
Conflicts of Interest
References
- Halliwell, B.; Gutteridge, J.M.C.; Cross, C.E. Free radicals, antioxidants, and human disease: Where are we now? J. Lab. Clin. Med. 1992, 119, 598–620. [Google Scholar] [PubMed]
- Baublis, A.J.; Clydesdale, E.M.; Decker, E.A. Antioxidants in wheat-based breakfast cereals. Cereal Foods World 2000, 45, 71–74. [Google Scholar]
- Block, K.; Koch, A.; Mead, M. Impact of antioxidant supplementation on chemotherapeutic toxicity: A systematic review of the evidence from randomized controlled trials. Int. J. Cancer 2008, 123, 1227–1239. [Google Scholar] [CrossRef]
- Ziech, D.; Franco, R.; Georgakilas, A.G.; Georgakila, S.; Malamou-Mitsi, V.; Schoneveld, O.; Pappa, A.; Panayiotidis, M.I. The role of reactive oxygen species and oxidative stress in environmental carcinogenesis and biomarker development. Chem. Biol. Interact. 2010, 188, 334–339. [Google Scholar] [CrossRef] [PubMed]
- Badajatia, N.; Satyam, A.; Singh, P.; Seth, A.; Sharma, A. Altered antioxidant status and lipid peroxidation in Indian patients with urothelial bladder carcinoma. Urol. Oncol. 2010, 28, 360–367. [Google Scholar] [CrossRef]
- Yu, L.; Haley, S.; Perret, J.; Harris, M.; Wilson, J.; Qian, M. Free radical scavenging properties of wheat extracts. J. Agric. Food Chem. 2002, 50, 1619–1624. [Google Scholar] [CrossRef]
- Wang, S.Y.; Zheng, W. Effect of plant growth temperature on antioxidant capacity in strawberry. J. Agric. Food Chem. 2001, 49, 4977–4982. [Google Scholar] [CrossRef]
- Lamson, D.W.; Brignall, M.S. Antioxidants in cancer therapy: Their actions and interactions with oncologic therapies. Altern. Med. Rev. 1999, 4, 304–329. [Google Scholar]
- Selhub, J. Folate, vitamin B12 and vitamin B6 and one carbon metabolism. J. Nutr. Health Aging 2002, 6, 39–42. [Google Scholar]
- Jain, S.K.; Lim, G. Pyridoxine and pyridoxamine inhibits superoxide radicals and prevent lipid peroxidation, protein glycosylation, and (Na+K) ATPase activity reduction in high glucose treated human erythrocytes. Free Radic. Biol. Med. 2001, 30, 232–237. [Google Scholar] [CrossRef]
- Bilski, P.; Li, M.Y.; Ehrenshaft, M.; Daub, M.E.; Chignell, C.F. Vitamin B6 (pyridoxine) and its derivatives are efficient singlet oxygen quenchers and potential fungal antioxidants. Photochem. Photobiol. 2000, 71, 129–134. [Google Scholar] [CrossRef]
- Ohta, B.K.; Foote, C.S. Characterization of endoperoxide and hydroperoxide intermediates in the reaction of pyridoxine with singlet oxygen. J. Am. Chem. Soc. 2002, 124, 12064–12065. [Google Scholar] [CrossRef] [PubMed]
- Kannan, K.; Jain, S.K. Effect of vitamin B6 on oxygen radicals, mitochondrial membrane potential, and lipid peroxidation in H2O2-treated U937 monocytes. Free Radic. Biol. Med. 2004, 36, 423–428. [Google Scholar] [CrossRef]
- Keles, M.; Al, B.; Gumustekin, K.; Demircan, B.; Ozbey, I.; Akyuz, M.; Yilmaz, A.; Demir, E.; Uyanik, A.; Ziypak, T.; et al. Antioxidant status and lipid peroxidation in kidney tissue of rats fed with vitamin B6-deficient diet. Renal. Fail. 2010, 32, 618–622. [Google Scholar] [CrossRef]
- Oka, T. Modulation of gene expression by vitamin B6. Nutr. Res. Rev. 2001, 14, 257–265. [Google Scholar] [CrossRef]
- Jayaraman, P.; Parikh, F.; Lopez-Rivera, E.; Hailemichael, Y.; Clark, A.; Ma, G.; Cannan, D.; Ramacher, M.; Kato, M.; Overwijk, W.W.; et al. Tumor-expressed inducible nitric oxide synthase controls induction of functional myeloid-derived suppressor cells through modulation of vascular endothelial growth factor release. J. Immunol. 2012, 188, 5365–5376. [Google Scholar] [CrossRef]
- Lee, S.Y.; Rim, Y.; McPherson, D.D.; Huang, S.L.; Kim, H. A novel liposomal nanomedicine for nitric oxide delivery and breast cancer treatment. Biomed. Mater. Eng. 2014, 24, 61–67. [Google Scholar] [CrossRef] [PubMed]
- Ben Aissa, M.; Lee, S.H.; Bennett, B.M.; Thatcher, G.R. Targeting NO/cGMP signaling in the CNS for neurodegeneration and Alzheimer’s disease. Curr. Med. Chem. 2016, 23, 2770–2788. [Google Scholar] [CrossRef]
- Lundberg, J.O.; Gladwin, M.T.; Weitzberg, E. Strategies to increase nitric oxide signalling in cardiovascular disease. Nat. Rev. Drug Discov. 2015, 14, 623–641. [Google Scholar] [CrossRef] [PubMed]
- Svetogorov, R.D.; Dorovatovskii, P.V.; Lazarenko, V.A. Belok/XSA diffraction beamline for studying crystalline samples at Kurchatov synchrotron radiation source. Cryst. Res. Technol. 2020, 55, 1900184. [Google Scholar] [CrossRef]
- Kabsch, W. XDS. Acta Crystallogr. D Biol. Crystallogr. 2010, 66, 125–132. [Google Scholar] [CrossRef] [PubMed] [Green Version]
- Sheldrick, G.M. SHELXT—Integrated space group and crystal structure determination. Acta Cryst. A 2015, 71, 3–8. [Google Scholar] [CrossRef] [PubMed] [Green Version]
- Sheldrick, G.M. Crystal structure refinement with SHELXL. Acta Cryst. C 2015, 71, 3–8. [Google Scholar] [CrossRef] [PubMed]
- Dolomanov, O.V.; Bourhis, L.J.; Gildea, R.J.; Howard, J.A.K.; Puschmann, H. OLEX2: A complete structure solution, refinement and analysis program. J. Appl. Cryst. 2009, 42, 339–341. [Google Scholar] [CrossRef]
- Chou, T.C.; Talalay, P. Quantitative analysis of dose-effect relationships: The combined effects of multiple drugs or enzyme inhibitors. Adv. Enzyme Regul. 1984, 22, 27–55. [Google Scholar] [CrossRef]
- Balakina, A.A.; Mumyatova, V.A.; Terent’ev, A.A.; Sen’, V.D.; Pliss, E.M. Antioxidant properties of chitosan-(poly)nitroxides under induced oxidative stress. Russ. Chem. Bull. 2018, 67, 2135–2140. [Google Scholar] [CrossRef]
- St Laurent, C.D.; Moon, T.C.; Befus, A.D. Measurement of nitric oxide in mast cells with the fluorescent indicator DAF-FM diacetate. Methods Mol. Biol. 2015, 1220, 339–345. [Google Scholar] [PubMed]
- Gornall, A.G.; Bardawill, C.J.; David, M.M. Determination of serum proteins by means of the biuret reaction. J. Biol. Chem. 1949, 177, 751–766. [Google Scholar] [CrossRef]
- Klochkov, S.G.; Neganova, M.E.; Afanas’eva, S.V.; Shevtsova, E.F. Synthesis and antioxidant activity of securinine derivatives. Pharm. Chem. J. 2014, 48, 15–17. [Google Scholar] [CrossRef]
- Gulcin, I.; Mshvidadze, V.; Gepdiremen, A. Screening of antiradical and antioxidant activity of monodesmosides and crude extract from Leontice smirnowii tuber. Phytomedicine 2006, 13, 343–351. [Google Scholar] [CrossRef]
- Halle, W.; Göres, E. Prediction of LD50 values by cell culture. Pharmazie 1987, 42, 245–248. [Google Scholar] [PubMed]
- Matés, J.M.; Segura, J.A.; Alonso, F.J.; Márquez, J. Natural antioxidants: Therapeutic prospects for cancer and neurological diseases. Mini Rev. Med. Chem. 2009, 9, 1202–1214. [Google Scholar] [CrossRef]
- Ndhlala, A.R.; Moyo, M.; Van Staden, J. Natural antioxidants: Fascinating or mythical biomolecules? Molecules 2010, 15, 6905–6930. [Google Scholar] [CrossRef] [PubMed] [Green Version]
- Carocho, M.; Ferreira, I.C. A review on antioxidants, prooxidants and related controversy: Natural and synthetic compounds, screening and analysis methodologies and future perspectives. Food Chem. Toxicol. 2013, 51, 15–25. [Google Scholar] [CrossRef] [PubMed]
- Parveen, A.; Akash, M.S.; Rehman, K.; Kyunn, W.W. Recent Investigations for Discovery of Natural Antioxidants: A Comprehensive Review. Crit. Rev. Eukaryot. Gene Expr. 2016, 26, 143–160. [Google Scholar] [CrossRef] [PubMed]
- Menzel, D.; Haller, H.; Wilhelm, M.; Robenek, H. L-Arginine and B vitamins improve endothelial function in subjects with mild to moderate blood pressure elevation. Eur. J. Nutr. 2018, 57, 557–568. [Google Scholar] [CrossRef] [Green Version]
- Ignarro, L.J.; Gruetter, G.A. Requirement of thiols for activation of coronary artery guanylate cyclase by glyceryl trinitrate and sodium nitrite: Possible involvement of S-nitrosothiols. Biochim. Biophys. Acta 1980, 631, 221–231. [Google Scholar] [CrossRef]
- Kenrare, S.R.; Han, C.; Benez, L.Z. Correlation of the response to nitroglycerin in rabbit aorta with the activity of the mu-class glutathione-s-transferase. Biochem. Pharmacol. 1994, 48, 2231–2235. [Google Scholar] [CrossRef]
- Wheatley, R.M.; Dockery, S.P.; Kurz, M.A.; Sayegh, H.S.; Harrison, D.G. Interactions of nitroglycerin and sulfhydryl-donating compounds in coronary microvessels. Am. J. Physiol. 1994, 266, 291–297. [Google Scholar] [CrossRef]









| Cells | IC50, mM | |
|---|---|---|
| B6NO | B6 | |
| Vero | 6.55 ± 0.76 | >10 |
| HepG2 | 4.70 ± 0.83 | 6.32 ± 0.98 |
Publisher’s Note: MDPI stays neutral with regard to jurisdictional claims in published maps and institutional affiliations. |
© 2021 by the authors. Licensee MDPI, Basel, Switzerland. This article is an open access article distributed under the terms and conditions of the Creative Commons Attribution (CC BY) license (https://creativecommons.org/licenses/by/4.0/).
Share and Cite
Balakina, A.; Prikhodchenko, T.; Amozova, V.; Stupina, T.; Mumyatova, V.; Neganova, M.; Yakushev, I.; Kornev, A.; Gadomsky, S.; Fedorov, B.; et al. Preparation, Antioxidant Properties and Ability to Increase Intracellular NO of a New Pyridoxine Derivative B6NO. Antioxidants 2021, 10, 1451. https://doi.org/10.3390/antiox10091451
Balakina A, Prikhodchenko T, Amozova V, Stupina T, Mumyatova V, Neganova M, Yakushev I, Kornev A, Gadomsky S, Fedorov B, et al. Preparation, Antioxidant Properties and Ability to Increase Intracellular NO of a New Pyridoxine Derivative B6NO. Antioxidants. 2021; 10(9):1451. https://doi.org/10.3390/antiox10091451
Chicago/Turabian StyleBalakina, Anastasia, Tatyana Prikhodchenko, Vera Amozova, Tatyana Stupina, Victoria Mumyatova, Margarita Neganova, Ilya Yakushev, Alexey Kornev, Svyatoslav Gadomsky, Boris Fedorov, and et al. 2021. "Preparation, Antioxidant Properties and Ability to Increase Intracellular NO of a New Pyridoxine Derivative B6NO" Antioxidants 10, no. 9: 1451. https://doi.org/10.3390/antiox10091451
APA StyleBalakina, A., Prikhodchenko, T., Amozova, V., Stupina, T., Mumyatova, V., Neganova, M., Yakushev, I., Kornev, A., Gadomsky, S., Fedorov, B., & Mishchenko, D. (2021). Preparation, Antioxidant Properties and Ability to Increase Intracellular NO of a New Pyridoxine Derivative B6NO. Antioxidants, 10(9), 1451. https://doi.org/10.3390/antiox10091451

