Effect of Maternal Dietary Redox Levels on Antioxidative Status and Immunity of the Suckling Off-Spring
Abstract
1. Introduction
2. Materials and Methods
2.1. Dietary Treatments
2.2. Animals
2.3. Sampling
2.4. Laboratory Analysis
2.5. Statistical Analysis
3. Results
3.1. Sows’ Concentrations of Antioxidants and Immunoglobulins
3.2. Piglets’ Plasma Concentrations of Antioxidants and Immunity
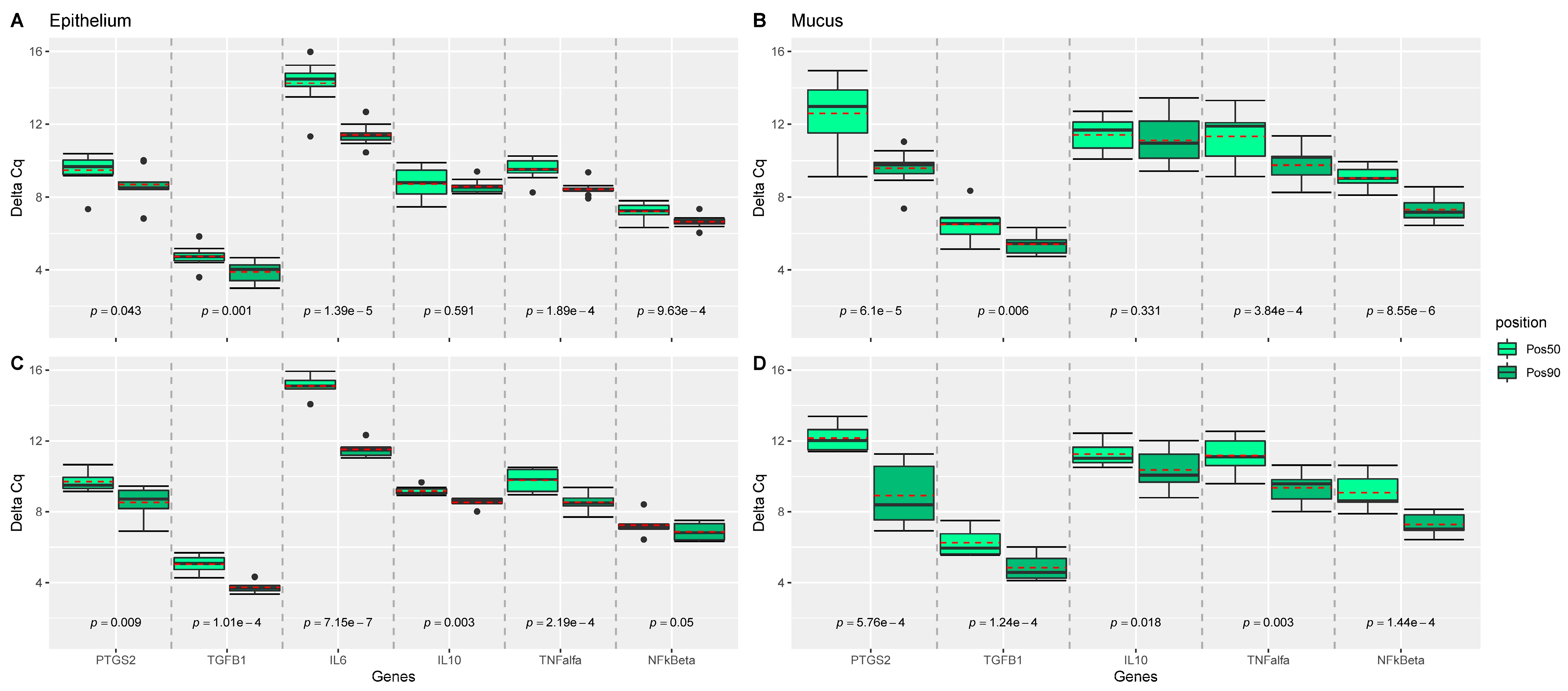
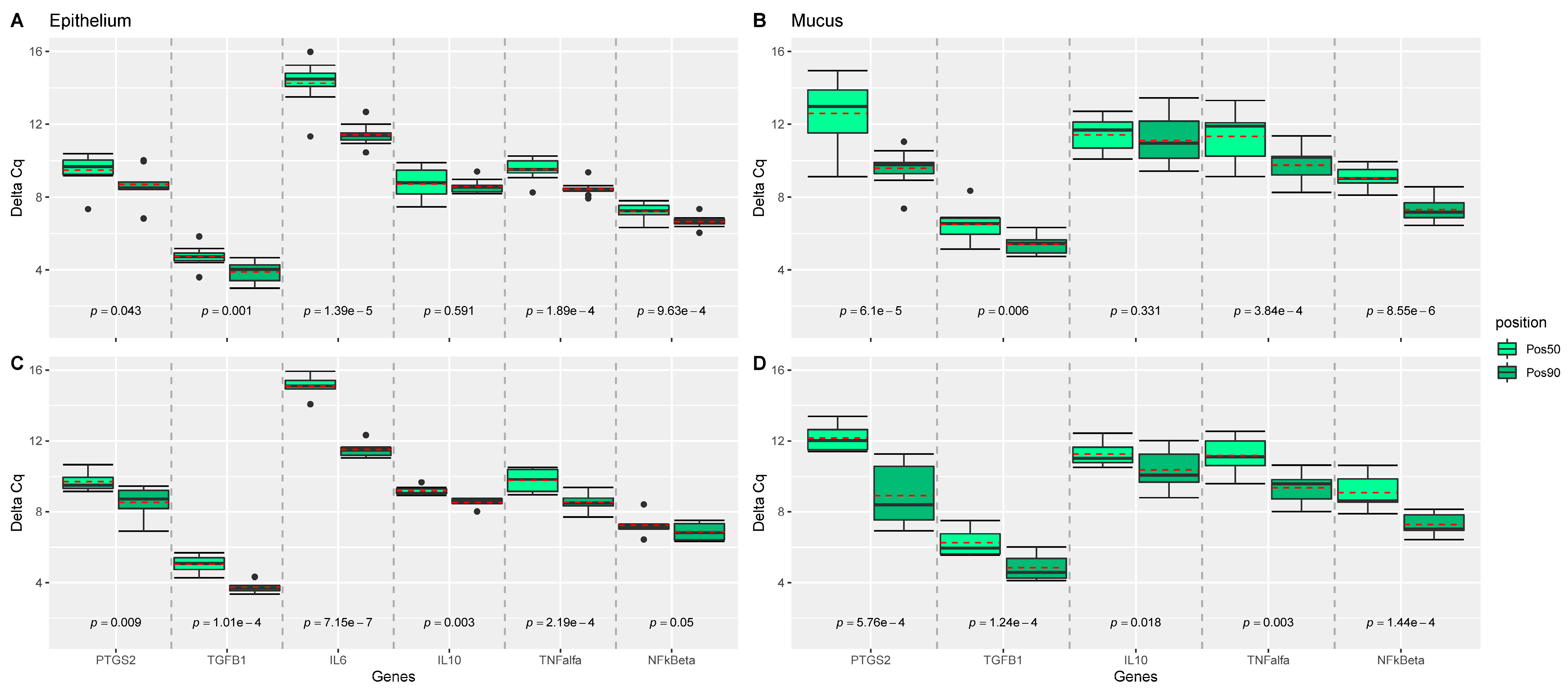
3.3. Expression of Inflammatory Genes in Intestine and Liver
4. Discussion
5. Conclusions
Author Contributions
Funding
Institutional Review Board Statement
Informed Consent Statement
Data Availability Statement
Acknowledgments
Conflicts of Interest
References
- Surai, P.F.; Finisin, V.I. Selenium in sow nutrition. Anim. Feed Sci. Tech. 2016, 211, 18–30. [Google Scholar] [CrossRef]
- Lauridsen, C. From oxidative stress to inflammation: Redox balance and immune system. Poul. Sci. 2019, 98, 4240–4246. [Google Scholar] [CrossRef]
- Lauridsen, C.; Matte, J.J.; Lessard, M.; Celi, P.; Litta, G. Role of vitamins for gastro-intestinal functionality and health of pigs. Anim. Feed Sci. Tech. 2021, 273, 114823. [Google Scholar] [CrossRef]
- Dalgaard, T.S.; Briens, M.; Engberg, R.G.; Lauridsen, C. The influence of selenium and selenoproteins on immune responses of poultry and pigs. Anim. Feed. Sci. Tech. 2018, 238, 73–83. [Google Scholar] [CrossRef]
- Gombart, A.F.; Pierre, A.; Maggini, S. A review of micronutrients and the immune system-working in harmony to reduce the risk of infection. Nutrients 2020, 12, 236. [Google Scholar] [CrossRef]
- Oldfield, J.E. Historical Perspectives on Selenium. Nutr. Today 2001, 36, 100–102. [Google Scholar] [CrossRef]
- Oropeza-Moe, M.; Wisløff, H.; Bernhoft, A. Selenium deficiency associated porcine and human cadiomyopathies. J. Trace Elements Med. Biol. 2015, 31, 148–156. [Google Scholar] [CrossRef] [PubMed]
- Mahan, D.C. Are We still Having Vitamin E and Selenium Deficiencies in Pigs? Thesis, Ohio State University, Columbus, OH, USA, 2003. [Google Scholar]
- Lee, G.Y.; Han, S.N. The role of vitamin E in immunity. Nutrients 2018, 10, 1614. [Google Scholar] [CrossRef] [PubMed]
- Lauridsen, C.; Engel, H.; Jensen, S.K.; Craig, A.M.; Traber, M.G. Lactating sows and suckling piglets preferentially incorporate RRR-over all-rac-α-tocopherol into milk, plasma and tissues. J. Nutr. 2002, 132, 1258–1264. [Google Scholar] [CrossRef] [PubMed]
- Mahan, D.C. Effect of organic and inorganic selenium sources and levels on sow colostrum and milk selenium content. J. Anim. Sci. 2000, 78, 100–105. [Google Scholar] [CrossRef] [PubMed]
- Jensen, S.K.; Engberg, R.M.; Hedemann, M.S. All-rac-α-tocopherol acetate is a better vitamin E source than all-rac-α-tocopherol succinate for broilers. J. Nutr. 1999, 129, 1355–1360. [Google Scholar] [CrossRef] [PubMed]
- Vacchina, V.; Dumont, J. Total selenium quantification in biological samples by inductively coupled plasma mass spectrometry (ICP-MS). Methods Mol. Biol. 2018, 661, 145–152. [Google Scholar]
- Jensen, S.K.; Jensen, C.; Jakobsen, K.; Engberg, R.M.; Andersen, J.O.; Lauridsen, C.; Sørensen, P.; Skibsted, L.H.; Bertelsen, G. Supplementation of broiler diets with retinol acetate, beta-carotene or canthaxanthin: Effect on vitamin status and oxidative status of broilers in vivo and on meat stability. Acta Agric. Scand. Anim. Sci. 1998, 48, 28–37. [Google Scholar]
- Bates, B.; Mächler, M.; Bolker, B.; Walker, S. Fitting Linear Mixed-Effects Models Using lme4. arXiv 2014, arXiv:1406.5823. [Google Scholar]
- Halekoh, U.; Højsgaard, S. A Kenward-Roger Approximation and Parametric Bootstrap Methods for Tests in Linear Mixed Models—The R Package pbkrtest. J. Statis. Softw. 2014, 59, 1–30. Available online: https://www.jstatsoft.org/v59/i09/ (accessed on 24 June 2020).
- Kuznetsova, A.; Brockhoff, P.B.; Christensen, R.H.B. lmerTest Package: Tests in Linear Mixed Effects Models. J. Stat. Softw. 2017, 82, 13. Available online: https://www.jstatsoft.org/v082/i13 (accessed on 24 June 2020). [CrossRef]
- Wickham, H. Ggplot2: Elegant Graphics for Data Analysis, 2nd ed.; Springer International Publishing: Cham, Switzerland, 2016. [Google Scholar]
- NRC. Nutrient Requirements of Swine, 11th ed.; National Academic Press: Washington, DC, USA, 2012. [Google Scholar]
- Kim, Y.Y.; Mahan, D.C. Comparative effects of high dietary levels of organic and inorganic selenium on selenium toxicity of growing-finishing pigs. J. Anim. Sci. 2001, 79, 942–948. [Google Scholar] [CrossRef]
- Mahan, D.C.; Peters, J.C. Long-term effects of dietary organic and inorganic selenium sources and levels on reproducing sows and their progeny. J. Anim. Sci. 2004, 82, 1343–1358. [Google Scholar] [CrossRef]
- Lauridsen, C.; Jensen, S.K. Influence of supplementation of all-rac-alpha-tocopheryl acetate preweaning and vitamin C postweaning on alpha-tocopherol and immune responses of piglets. J. Anim. Sci. 2005, 83, 1274–1286. [Google Scholar] [CrossRef]
- Peters, J.C.; Mahan, D.C.; Wiseman, T.G.; Fastinger, N.D. Effect of dietary organic and inorganic micromineral source and level on sow body, liver, colostrum, mature milk, and progeny mineral compositions over six parities. J. Anim. Sci. 2010, 88, 626–637. [Google Scholar] [CrossRef]
- Niwińska, B.; Andrzejewski, M. Effects of selenium supplement forms on the diet–cow–calf transfer of selenium in simmental cattle. Czech J. Anim. Sci. 2017, 62, 201–210. [Google Scholar] [CrossRef]
- Dalto, D.B.; Lapointe, J.; Matte, J.-J. Assessment of antioxidative and selenium status by seleno-dependent glutathione peroxidase activity in different blood fractions using a pig model: Issues for clinical nutrition and research. J. Anim. Phys. Anim. Nutr. 2017, 102, 184–193. [Google Scholar] [CrossRef] [PubMed]
- Chen, J.; Han, H.N.; Guan, W.T.; Chen, F.; Wang, C.X.; Zhang, Y.Z.; Lv, Y.T.; Lin, G. Selenium and vitamin E in sow diets I. Effect on antioxidant status and reproductive performance in multiparous sows. Anim. Feed Sci. Tech. 2016, 221, 111–123. [Google Scholar] [CrossRef]
- Chen, J.; Han, H.N.; Guan, W.T.; Chen, F.; Wang, C.X.; Zhang, Y.Z.; Lv, Y.T.; Lin, G. Selenium and vitamin E in sow diets II. Effect on selenium status and antioxidant status of the progeny. Anim. Feed Sci. Tech. 2016, 221, 101–110. [Google Scholar] [CrossRef]
- Peplowski, M.A.; Mahan, D.C.; Murray, F.A.; Moxon, A.L.; Cantor, A.H.; Ekstrom, K.E. Effect of dietary and injectable vitamin E and selenium in weanling swine antigenically challenged with sheep red blood cells. J. Anim. Sci. 1980, 51, 344. [Google Scholar] [CrossRef] [PubMed]
- Liu, F.; Cottrell, J.J.; Furness, J.B.; Rivera, L.R.; Kelly, F.W.; Wijesiriwardana, U.; Pustovit, R.V.; Fotherfill, L.J.; Bravo, D.M.; Celi, P.; et al. Selenium and vitamin E together improve intestinal epithelial barrier function and alleviate oxidative stress in heat-stressed pigs. Exp. Physiol. 2016, 101, 801–810. [Google Scholar] [CrossRef] [PubMed]
- Rooke, J.; Bland, I. The acquisition of passive immunity in the new-born piglet. Livest. Prod. Sci. 2002, 78, 13–23. [Google Scholar] [CrossRef]
- Vodolazska, D.; Lauridsen, C. Effects of dietary hemp seed oil to sows on fatty acid profiles, nutritional and immune status of piglets. J. Anim. Sci. Biotech. 2020, 11, 28. [Google Scholar] [CrossRef] [PubMed]
- Rothkötter, H.J.; Sowa, E.; Pabst, R. The pig as a model of developmental immunology. Hum. Exp. Toxicol. 2002, 21, 533–536. [Google Scholar] [CrossRef] [PubMed]
- Langerhuus, S.N.; Tønnesen, E.K.; Jensen, K.H.; Damgaard, B.M.; Halekoh, U.; Lauridsen, C. Effect of n-3 and n-6 fatty acids on clinical outcome in a porcine model of post-operative infection. Br. J. Nutr. 2012, 107, 735–743. [Google Scholar] [CrossRef]
- Li, N.; Sun, Z.; Ansari, A.R.; Cui, L.; Hu, Y.; Li, Z.; Briens, M.; Kai, L.; Sun, L.; Karrow, N.A.; et al. Impact of maternal selenium supplementation from late gestation and lactation on piglet immune function. Biol. Trace Elem. Res. 2019. [Google Scholar] [CrossRef] [PubMed]
- McCulloh, R.J. Biomarkers in sepsis and severe infection: Where immunology meets diagnostics. J. Immunodefic. Disord. 2012, 1, 165–173. [Google Scholar] [CrossRef]
- Saeed, F.; Nadeem, M.; Ahmed, R.; Nadeem, M.; Arshad, M.; Ullah, A. Studying the impact of nutritional immunology under lying the modulation of immune responses by nutritional compounds—A review. Food Agric. Immunol. 2016, 27, 205–229. [Google Scholar] [CrossRef]
- Sun, L.-H.; Pi, D.-A.; Zhao, L.; Wang, X.-Y.; Zhu, L.-Y.; Qi, D.-S.; Liu, Y.-L. Response of selenium and selenogenome in immune tissues to LPS-induced inflammatory reactions in pigs. Biol. Trace Elem. Res. 2017, 177, 90–96. [Google Scholar] [CrossRef]
- Yong, K.; Ooi, E.M.; Dogra, G.; Mannion, M.; Boudville, N.; Chan, D.; Lim, F.M.; Lim, W.H. Elevated interleukin-12 and interleukin-18 in chronic kidney disease are not associated with arterial stiffness. Cytokine 2013, 64, 39–42. [Google Scholar] [CrossRef] [PubMed]


| Time after Birth | Day 2 | Day 11 | Day 25 | p-Value | ||||
|---|---|---|---|---|---|---|---|---|
| LOW | HIGH | LOW | HIGH | LOW | HIGH | Treatment | Time | |
| α-Toc, mg/L 1 | 6.64 (3.00) | 24.2 (3.72) | 2.07 (0.23) | 6.53 (0.26) | 1.37 (0.21) | 4.14 (0.48) | <0.001 | <0.001 |
| Se, μg/L | 74.5 (38.8) | 112 (4.3) | 66.5 (18.2) | 77.9 (21.6) | 53.7 (22.8) | 89.9 (32.3) | 0.15 | 0.54 |
| IgA, mg/L | 3829 (1688) | 2921 (812) | 3157 (523) | 2775 (276) | 2604 (360) | 2892 (324) | 0.011 | 0.20 |
| IgG mg/L | 12,615 (10,500) | 7498 (4867) | 474 (96.2) | 662 (72.3) | 209 (54.6) | 388 (22.9) | 0.47 | <0.001 |
| IgM, mg/L | 2650 (53.7) | 4066 (1259) | 2266 (111) | 4434 (1128) | 1188 (107) | 2996 (631) | 0.028 | 0.158 |
| Time after Birth | Day 4 | Day 11 | Day 25 | p-Value | ||||
|---|---|---|---|---|---|---|---|---|
| LOW | HIGH | LOW | HIGH | LOW | HIGH | Treatment | Time | |
| α-Toc, mg/L | 3.56 (0.41) | 6.39 (0.62) | 1.61 (0.12) | 4.65 (0.28) | 2.26 (0.14) | 5.41 (0.31) | 0.023 | <0.001 |
| Se, μg/L | 11.6 (1.10) | 19.9 (2.73) | 7.38 (0.98) | 21.1 (1.17) | 9.41 (0.75) | 20.5 (1.13) | 0.015 | 0.67 |
| IgA, mg/L | 2477 (226) | 1256 (133) | 202 (29.1) | 146 (15.1) | 113 (14.1) | 127 (9.68) | 0.045 | <0.001 |
| IgG, mg/L | 18483 (1672) | 15497 (1283) | 12275 (1262) | 9455 (756) | 4981 (346) | 4272 (380) | 0.26 | <0.001 |
| IgM, mg/L | 1332 (100) | 1816 (138) | 353 (33.0) | 515 (32.3) | 806 (59.2) | 898 (78.9) | 0.16 | <0.001 |
| LOW | HIGH | SEM | p-Value | |
|---|---|---|---|---|
| GSH-Px, nnmol/min/mL | 256 | 338 | 60.4 | <0.001 |
| SOD, U/mL | 0.63 | 0.78 | 0.24 | 0.174 |
| MDA, μM | 18.0 | 18.3 | 4.11 | 0.794 |
| LOW | HIGH | SEM | p-Value | |
|---|---|---|---|---|
| WBC, ×109/L | 19.3 | 14.3 | 7.28 | 0.027 |
| Neutrophils, % | 11.7 | 7.4 | 6.57 | 0.031 |
| Lymphocytes, % | 37.2 | 53.3 | 16.4 | 0.002 |
| Monocytes, % | 3.36 | 3.77 | 1.50 | 0.361 |
| Eosinophils, % | 1.08 | 0.95 | 0.65 | 0.482 |
| Erythrocytes, ×1012/L | 6.25 | 6.42 | 0.47 | 0.220 |
| Haematocrit, % | 37.5 | 39.4 | 3.38 | 0.073 |
| Haemoglobin, mmol/L | 113 | 117 | 10.2 | 0.147 |
| Neutrophils:Lymphocytes | 1.81 | 1.16 | 0.94 | 0.025 |
| Reticulocytes, % | 4.24 | 5.28 | 2.34 | 0.145 |
| LOW | HIGH | SEM | p-Value | |
|---|---|---|---|---|
| CRP, µg/mL | 767 | 300 | 489 | 0.005 |
| Haptoglobin, mg/mL | 1.34 | 0.84 | 0.79 | 0.05 |
| Albumin, g/L | 34.2 | 32.0 | 3.38 | 0.05 |
| INF, ng/mL | 3.37 | 2.97 | 1.73 | 0.49 |
| IL-1a, ng/mL | 0.21 | 0.21 | 0.13 | 0.96 |
| IL-1b, ng/mL | 5.04 | 3.97 | 3.33 | 0.33 |
| IL-1ra, ng/mL | 4.30 | 4.76 | 3.70 | 0.71 |
| IL-2, ng/mL | 0.04 | 0.05 | 0.022 | 0.63 |
| IL-4, ng/mL | 0.06 | 0.13 | 0.23 | 0.37 |
| IL-6, ng/mL | 0.59 | 1.01 | 0.44 | 0.007 |
| IL-8, ng/mL | 0.84 | 0.85 | 0.79 | 0.99 |
| IL-10, ng/mL | 0.16 | 0.15 | 0.07 | 0.64 |
| IL-12, ng/mL | 0.77 | 1.24 | 0.52 | 0.01 |
| IL-18, ng/mL | 0.69 | 0.48 | 0.25 | 0.02 |
| TNF-α, ng/mL | 0.26 | 0.31 | 0.30 | 0.60 |
| INF:IL-4 | 67.2 | 56.6 | 39.9 | 0.42 |
Publisher’s Note: MDPI stays neutral with regard to jurisdictional claims in published maps and institutional affiliations. |
© 2021 by the authors. Licensee MDPI, Basel, Switzerland. This article is an open access article distributed under the terms and conditions of the Creative Commons Attribution (CC BY) license (http://creativecommons.org/licenses/by/4.0/).
Share and Cite
Lauridsen, C.; Schönherz, A.A.; Højsgaard, S. Effect of Maternal Dietary Redox Levels on Antioxidative Status and Immunity of the Suckling Off-Spring. Antioxidants 2021, 10, 478. https://doi.org/10.3390/antiox10030478
Lauridsen C, Schönherz AA, Højsgaard S. Effect of Maternal Dietary Redox Levels on Antioxidative Status and Immunity of the Suckling Off-Spring. Antioxidants. 2021; 10(3):478. https://doi.org/10.3390/antiox10030478
Chicago/Turabian StyleLauridsen, Charlotte, Anna Amanda Schönherz, and Søren Højsgaard. 2021. "Effect of Maternal Dietary Redox Levels on Antioxidative Status and Immunity of the Suckling Off-Spring" Antioxidants 10, no. 3: 478. https://doi.org/10.3390/antiox10030478
APA StyleLauridsen, C., Schönherz, A. A., & Højsgaard, S. (2021). Effect of Maternal Dietary Redox Levels on Antioxidative Status and Immunity of the Suckling Off-Spring. Antioxidants, 10(3), 478. https://doi.org/10.3390/antiox10030478

