Binasal Occlusion (BNO), Visual Motion Sensitivity (VMS), and the Visually-Evoked Potential (VEP) in mild Traumatic Brain Injury and Traumatic Brain Injury (mTBI/TBI)
Abstract
:1. Introduction
Methods
2. Clinical Case Studies
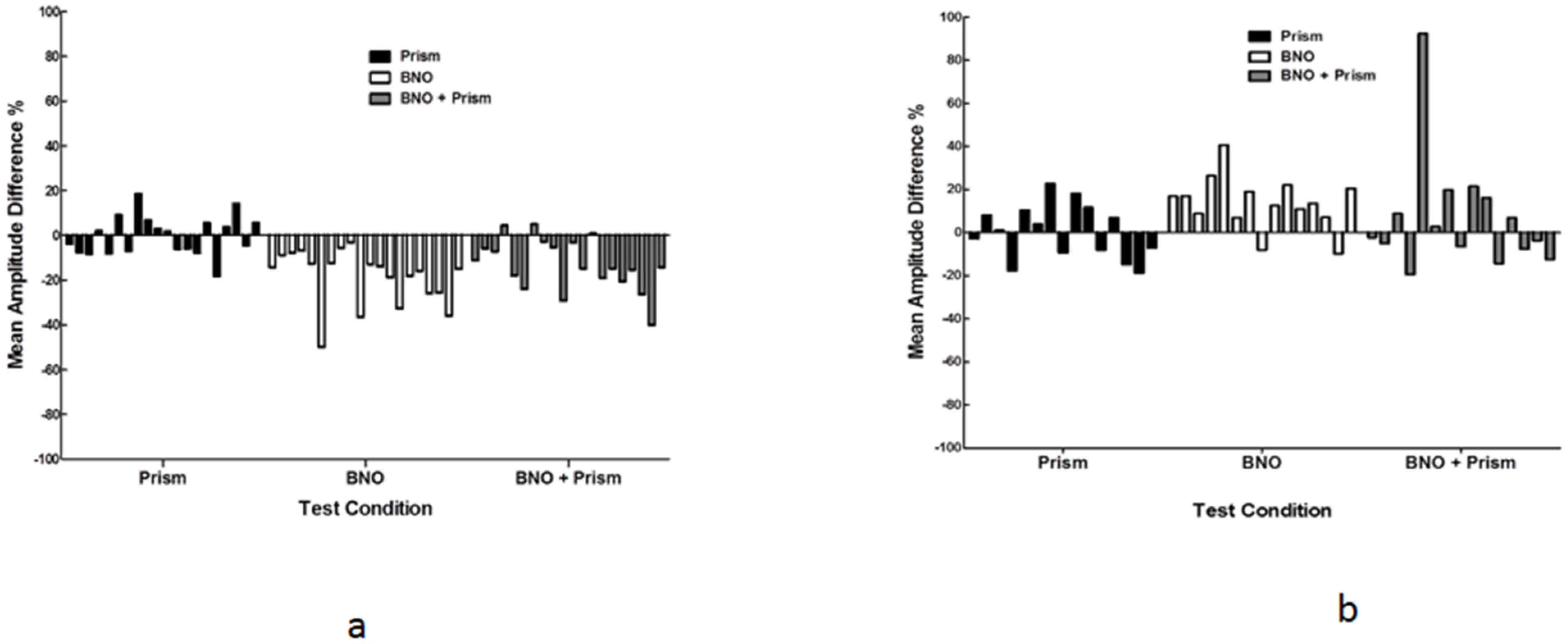
3. Laboratory Studies
3.1. Padula Group
3.2. Ciuffreda Group
4. Proposed Mechanisms of BNO
5. Neurophysiology Underlying BNO
6. Treatment
7. Study Limitations and Future Directions
8. Clinical Pearls
- BNO is a non-invasive method and is easy to apply in patients with mTBI and VMS.
- BNO seems to be an effective treatment method in patients with mTBI in reducing the symptoms caused by increased VMS.
- BNO provides immediate and sustainable effects in patients with mTBI and VMS.
- BNO seems to have a positive visuo-cortical effect in patients with mTBI and VMS.
- Using this simple clinical technique would be beneficial in treating these patients and helping them in performing their activities of daily living (ADL).
9. Conclusions
Acknowledgments
Author Contributions
Conflicts of Interest
References
- Medow, N.B. The evolution of strabismus surgery. In Harley’s Pediatric Ophthalmology, 5th ed.; Nelson, L.B., Olitsky, S.E., Eds.; Lippincott Williams and Wilkins: New York, NY, USA, 2005; pp. 553–557. [Google Scholar]
- Tassinari, J.D. Binasal occlusion. J. Behav. Optom. 1990, 1, 16–21. [Google Scholar]
- Ciuffreda, K.J.; Ludlam, D.P. Conceptual model of optometric vision care in mild traumatic brain injury. J. Behav. Optom. 2011, 22, 10–12. [Google Scholar]
- Ciuffreda, K.J.; Ludlam, D.P.; Yadav, N.K. Conceptual model pyramid of optometric vision care in mild traumatic brain injury (mTBI). Vis. Dev. Rehabil. 2015, 1, 105–108. [Google Scholar]
- Gibson, J.J. The Perception of the Visual World; Houghton Miffin: Boston, MA, USA, 1950. [Google Scholar]
- Ciuffreda, K.J. Visual vertigo syndrome: Clinical demonstration and diagnostic tool. Clin. Eye Vis. Care 1999, 11, 41–42. [Google Scholar] [CrossRef]
- Gallop, S. Binasal occlusion—Immediate sustainable symptomatic relief. Optom. Vis. Perform. 2014, 2, 74–78. [Google Scholar]
- Gallop, S. A variation on the use of binasal occlusion: A case study. J. Behav. Optom. 1998, 9, 31–35. [Google Scholar]
- Proctor, A. Traumatic brain injury and binasal occlusion. Optom. Vis. Dev. 2009, 40, 45–50. [Google Scholar]
- Ciuffreda, K.J. The scientific efficacy of optometric vision therapy in non-strabismic accommodative and vergence disorders. Optometry 2002, 73, 735–762. [Google Scholar] [PubMed]
- Ciuffreda, K.J.; Yadav, N.K.; Ludlam, D.P. Effect of binasal occlusion (BNO) on the visual-evoked potential (VEP) in mild traumatic brain injury (mTBI). Brain Inj. 2013, 27, 41–47. [Google Scholar] [CrossRef] [PubMed]
- Yadav, N.K.; Ciuffreda, K.J. Effect of binasal occlusion (BNO) and base-in (BI) prisms on the visual-evoked potential (VEP) in mild traumatic brain injury (mTBI). Brain Inj. 2014, 28, 1568–1580. [Google Scholar] [CrossRef] [PubMed]
- Padula, W.V.; Argyris, S.; Ray, J. Visual evoked potential (VEP) evaluating treatment for post-traumatic vision syndrome (PTVS) in patients with traumatic brain injury (TBI). Brain Inj. 1994, 8, 125–133. [Google Scholar] [CrossRef] [PubMed]
- Ogle, K.N. Optics: An Introduction for Ophthalmologists; Charles, C., Ed.; Thomas: Springfield, IL, USA, 1961. [Google Scholar]
- Semrud-Clikeman, M. Traumatic Brain Injury in Children and Adolescents; The Guilford Press: New York, NY, USA, 2001; p. 28. [Google Scholar]
- Jampolsky, A. Characteristics of suppression in strabismus. Arch. Ophthalmol. 1955, 54, 683–696. [Google Scholar] [CrossRef]
- de Graef, T.A.; van Ee, R.; Croonenberg, D.; Klink, P.C.; Sack, A.T. Visual suppression at the offset of binocular rivalry. J. Vis. 2017, 17. [Google Scholar] [CrossRef] [PubMed]
- Yadav, N.K.; Thiagarajan, P.; Ciuffreda, K.J. Effect of oculomotor vision rehabilitation on the visual-evoked potential and visual attention in mild traumatic brain injury. Brain Inj. 2014, 28, 922–929. [Google Scholar] [CrossRef] [PubMed]
- Patel, R.; Ciuffreda, K.J.; Tannen, B.; Kapoor, N. Elevated coherent motion thresholds in mild traumatic brain injury. Optometry 2011, 82, 284–289. [Google Scholar] [CrossRef] [PubMed]
- Chapman, C.; Hoag, R.; Giaschi, D. The effect of disrupting the human magnocellular pathway on global motion perception. Vis. Res. 2004, 44, 2551–2557. [Google Scholar] [CrossRef] [PubMed]
- Pitzalis, S.; Fattori, P.; Galletti, C. The functional role of the medical area V6. Front. Behav. Neurosci. 2013, 16, 91. [Google Scholar] [CrossRef]
- Pitzalis, S.; Fattori, P.; Galletti, C. The human cortical areas V6 and V6a. Vis. Neurosci. 2015, 32, E007. [Google Scholar] [CrossRef] [PubMed]
- Wada, A.; Sakano, Y.; Ando, H. Differential responses to a visual motion signal in human medial cortex region revealed by wide-view stimulation. Front. Psychol. 2016, 7, 309. [Google Scholar] [CrossRef] [PubMed]
- Ciuffreda, K.J. Available online: https://www.youtube.com/watch?v=j4-1_y2BWcA&t=3s (accessed on 1 April 2017).
- Cohen, A.; Tannen, B.; College of Optometry, State University of New York, New York, NY, USA. Personal communication, 2017.









© 2017 by the authors. Licensee MDPI, Basel, Switzerland. This article is an open access article distributed under the terms and conditions of the Creative Commons Attribution (CC BY) license (http://creativecommons.org/licenses/by/4.0/).
Share and Cite
Ciuffreda, K.J.; Yadav, N.K.; Ludlam, D.P. Binasal Occlusion (BNO), Visual Motion Sensitivity (VMS), and the Visually-Evoked Potential (VEP) in mild Traumatic Brain Injury and Traumatic Brain Injury (mTBI/TBI). Brain Sci. 2017, 7, 98. https://doi.org/10.3390/brainsci7080098
Ciuffreda KJ, Yadav NK, Ludlam DP. Binasal Occlusion (BNO), Visual Motion Sensitivity (VMS), and the Visually-Evoked Potential (VEP) in mild Traumatic Brain Injury and Traumatic Brain Injury (mTBI/TBI). Brain Sciences. 2017; 7(8):98. https://doi.org/10.3390/brainsci7080098
Chicago/Turabian StyleCiuffreda, Kenneth J., Naveen K. Yadav, and Diana P. Ludlam. 2017. "Binasal Occlusion (BNO), Visual Motion Sensitivity (VMS), and the Visually-Evoked Potential (VEP) in mild Traumatic Brain Injury and Traumatic Brain Injury (mTBI/TBI)" Brain Sciences 7, no. 8: 98. https://doi.org/10.3390/brainsci7080098
APA StyleCiuffreda, K. J., Yadav, N. K., & Ludlam, D. P. (2017). Binasal Occlusion (BNO), Visual Motion Sensitivity (VMS), and the Visually-Evoked Potential (VEP) in mild Traumatic Brain Injury and Traumatic Brain Injury (mTBI/TBI). Brain Sciences, 7(8), 98. https://doi.org/10.3390/brainsci7080098
