Evaluation of Spiral Ganglion Lesions by Electrophysiological Measures
Abstract
1. Introduction
2. Methods
2.1. Animals
2.2. Surgical Procedure
2.3. Electrophysiological Measurements
2.4. Histology
2.5. Classification and Weighting of Laser-Induced SGN Ablation of the Modiolus
2.6. Determination of the Regions of the Basal Modiolus and Their Assignment to Array Contacts
2.7. Introduction of the Efficiency Index as a Modified Form of the Failure Index
2.8. Statistical Analysis
3. Results
3.1. Laser-Induced Damage at the Basal Part of the Modiolus
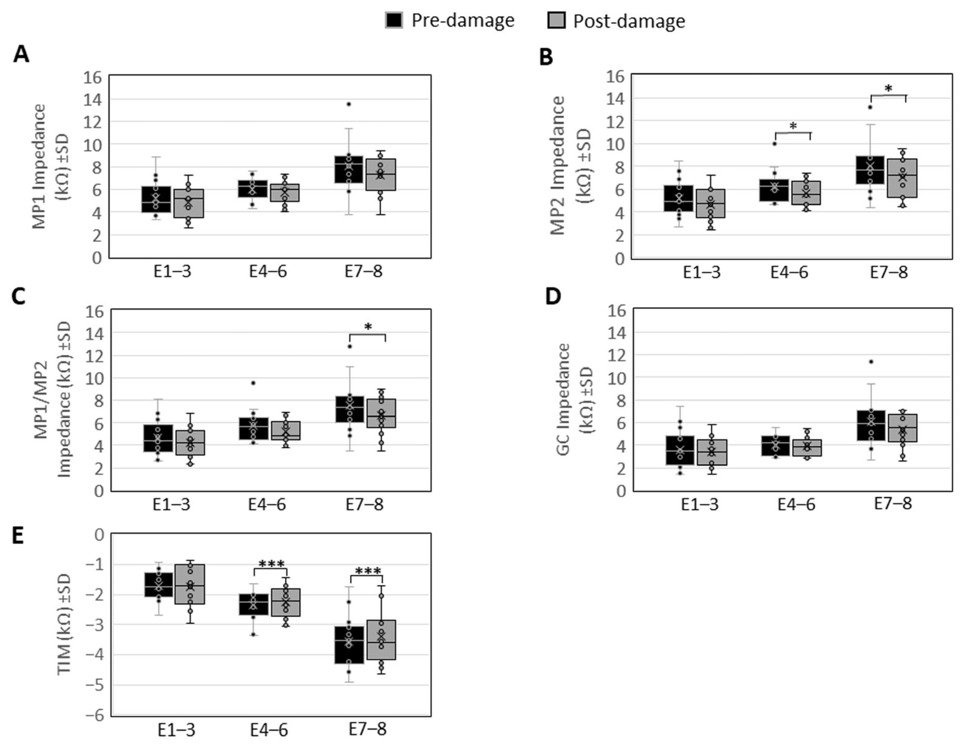
3.2. Influence of Laser-Induced SGN Ablation on Impedance Characteristics and TIM
3.3. Influence of Laser-Induced Damage on eCAP Characteristics
3.4. Correlation Analysis of Impedance and TIM Shifts with the Extent of Modiolar Damage
3.5. Correlation Analysis of eCAP Threshold Shifts with Damage Scores
3.6. Correlation Between N1–P1 Amplitude Shifts and Damage Scores
3.7. Correlation Between Efficiency Index Shifts and Damage Scores
4. Discussion
4.1. Laser-Induced Introduction of SGN Degeneration
4.2. Electrode Impedance Is Reduced by the Laser Treatment but Does Not Correlate with the Extent of SGN Ablation at the Modiolus
4.3. Significantly Shifted eCAP Thresholds and Amplitudes After Laser-Induced Damage at the Modiolus
4.4. The eCAP-Derived Efficiency Index Was Significantly Changed After Laser-Induced Damage to the Modiolus
4.5. Shifts in the eCAP Threshold Do Not Correlate with the Laser-Induced Damage Scores at the Modiolus
4.6. ECAP Amplitude Shifts Correlate with Laser-Induced SGN Ablation in the Basal Modiolus
4.7. Shifts in the Efficiency Index Correlate with Damage Score in the Basal Modiolus
4.8. Potential Limitations and Clinical Translation
5. Conclusions
Author Contributions
Funding
Institutional Review Board Statement
Informed Consent Statement
Data Availability Statement
Conflicts of Interest
Abbreviations
| CG | Common ground |
| CI | Cochlear implant |
| CL | Current Level |
| E1–8 | Electrode contact 1–8 |
| eCAP | Electrically evoked compound action potential |
| MP1 | Multi-polar 1 |
| MP2 | Multi-polar 2 |
| mDR | Modiolar dead region |
| OC | Organ of Corti |
| RC | Rosenthal canal |
| RWM | Round window membrane |
| SGN | Spiral ganglion neuron |
| TIM | Transimpedance matrix |
References
- Zhou, N.; Pfingst, B.E. Relationship between multipulse integration and speech recognition with cochlear implants. J. Acoust. Soc. Am. 2014, 136, 1257–1268. [Google Scholar] [CrossRef] [PubMed]
- van Eijl, R.H.; Buitenhuis, P.J.; Stegeman, I.; Klis, S.F.; Grolman, W. Systematic review of compound action potentials as predictors for cochlear implant performance. Laryngoscope 2017, 127, 476–487. [Google Scholar] [CrossRef] [PubMed]
- Schvartz-Leyzac, K.C.; Pfingst, B.E. Assessing the Relationship Between the Electrically Evoked Compound Action Potential and Speech Recognition Abilities in Bilateral Cochlear Implant Recipients. Ear Hear. 2018, 39, 344–358. [Google Scholar] [CrossRef] [PubMed]
- Schvartz-Leyzac, K.C.; Colesa, D.J.; Swiderski, D.L.; Raphael, Y.; Pfingst, B.E. Cochlear Health and Cochlear-implant Function. J. Assoc. Res. Otolaryngol. 2023, 24, 5–29. [Google Scholar] [CrossRef]
- Nadol, J.B., Jr.; Shiao, J.Y.; Burgess, B.J.; Ketten, D.R.; Eddington, D.K.; Gantz, B.J.; Kos, I.; Montandon, P.; Coker, N.J.; Roland, J.T., Jr.; et al. Histopathology of cochlear implants in humans. Ann. Otol. Rhinol. Laryngol. 2001, 110, 883–891. [Google Scholar] [CrossRef]
- Fayad, J.N.; Linthicum, F.H., Jr. Multichannel cochlear implants: Relation of histopathology to performance. Laryngoscope 2006, 116, 1310–1320. [Google Scholar] [CrossRef]
- Leake, P.A.; Hradek, G.T.; Snyder, R.L. Chronic electrical stimulation by a cochlear implant promotes survival of spiral ganglion neurons after neonatal deafness. J. Comp. Neurol. 1999, 412, 543–562. [Google Scholar] [CrossRef]
- Sagers, J.E.; Landegger, L.D.; Worthington, S.; Nadol, J.B.; Stankovic, K.M. Human Cochlear Histopathology Reflects Clinical Signatures of Primary Neural Degeneration. Sci. Rep. 2017, 7, 4884. [Google Scholar] [CrossRef]
- Dhanasingh, A.; Jolly, C.N.; Rajan, G.; van de Heyning, P. Literature Review on the Distribution of Spiral Ganglion Cell Bodies inside the Human Cochlear Central Modiolar Trunk. J. Int. Adv. Otol. 2020, 16, 104–110. [Google Scholar] [CrossRef]
- Moore, B.C. Dead regions in the cochlea: Diagnosis, perceptual consequences, and implications for the fitting of hearing AIDS. Trends Amplif. 2001, 5, 1–34. [Google Scholar] [CrossRef]
- Moore, B.C.J.; Glasberg, B.R.; Vickers, D.A. Factors influencing loudness perception in people with cochlear hearing loss. In Psychoacoustics, Speech and Hearing Aids, 1st ed.; Kollmeier, B., Ed.; World Scientific Publishing Co. Pte. Ltd.: Singapore, 1996; pp. 7–18. [Google Scholar]
- Moore, B.C. Dead regions in the cochlea: Conceptual foundations, diagnosis, and clinical applications. Ear Hear. 2004, 25, 98–116. [Google Scholar] [CrossRef] [PubMed]
- Moore, B.C.J.; Glasberg, B.; Schlueter, A. Detection of dead regions in the cochlea: Relevance for combined electric and acoustic stimulation. Adv. Otorhinolaryngol. 2010, 67, 43–50. [Google Scholar] [CrossRef] [PubMed]
- Zhou, N. Monopolar Detection Thresholds Predict Spatial Selectivity of Neural Excitation in Cochlear Implants: Implications for Speech Recognition. PLoS ONE 2016, 11, e0165476. [Google Scholar] [CrossRef] [PubMed]
- DeVries, L.; Arenberg, J.G. Current Focusing to Reduce Channel Interaction for Distant Electrodes in Cochlear Implant Programs. Trends Hear. 2018, 22, 2331216518813811. [Google Scholar] [CrossRef]
- Zhang, L.; Schmidt, F.H.; Oberhoffner, T.; Ehrt, K.; Cantré, D.; Großmann, W.; Schraven, S.P.; Mlynski, R. Transimpedance Matrix Can Be Used to Estimate Electrode Positions Intraoperatively and to Monitor Their Positional Changes Postoperatively in Cochlear Implant Patients. Otol. Neurotol. 2024, 45, e289–e296. [Google Scholar] [CrossRef]
- Ayas, M.; Muzaffar, J.; Borsetto, D.; Eitutis, S.; Phillips, V.; Tam, Y.C.; Salorio-Corbetto, M.; Bance, M.L. A scoping review on the clinical effectiveness of Trans-Impedance Matrix (TIM) measurements in detecting extracochlear electrodes and tip fold overs in Cochlear Ltd. devices. PLoS ONE 2024, 19, e0299597. [Google Scholar] [CrossRef]
- Veloso de Oliveira, J.; Weiss, N.M.; Wimmer, W. Comprehensive decomposition of cochlear implant electrode impedances. Hear. Res. 2025, 466, 109348. [Google Scholar] [CrossRef]
- He, S.; Teagle, H.F.B.; Buchman, C.A. The Electrically Evoked Compound Action Potential: From Laboratory to Clinic. Front. Neurosci. 2017, 11, 339. [Google Scholar] [CrossRef]
- Ramekers, D.; Versnel, H.; Strahl, S.B.; Smeets, E.M.; Klis, S.F.; Grolman, W. Auditory-nerve responses to varied inter-phase gap and phase duration of the electric pulse stimulus as predictors for in-built degeneration. J. Assoc. Res. Otolaryngol. 2014, 15, 187–202. [Google Scholar] [CrossRef]
- Pfingst, B.E.; Bowling, S.A.; Colesa, D.J.; Garadat, S.N.; Raphael, Y.; Shibata, S.B.; Strahl, S.B.; Su, G.L.; Zhou, N. Cochlear infrastructure for electrical hearing. Hear. Res. 2011, 281, 65–73. [Google Scholar] [CrossRef]
- Pfingst, B.E.; Zhou, N.; Colesa, D.J.; Watts, M.M.; Strahl, S.B.; Garadat, S.N.; Schvartz-Leyzac, K.C.; Budenz, C.L.; Raphael, Y.; Zwolan, T.A. Importance of cochlear health for implant function. Hear. Res. 2015, 322, 77–88. [Google Scholar] [CrossRef]
- Brown, C.J.; Abbas, P.J.; Gantz, B. Electrically evoked whole-nerve action potentials: Data from human cochlear implant users. J. Acoust. Soc. Am. 1990, 88, 1385–1391. [Google Scholar] [CrossRef] [PubMed]
- Franck, K.H.; Norton, S.J. Estimation of psychophysical levels using the electrically evoked compound action potential measured with the neural response telemetry capabilities of Cochlear Corporation’s CI24M device. Ear Hear. 2001, 22, 289–299. [Google Scholar] [CrossRef] [PubMed]
- Turner, C.; Mehr, M.; Hughes, M.; Brown, C.; Abbas, P. Within-subject predictors of speech recognition in cochlear implants: A null result. Acoust. Res. Lett. Online 2002, 3, 95–100. [Google Scholar] [CrossRef]
- Kim, J.R.; Abbas, P.J.; Brown, C.J.; Etler, C.P.; O’Brien, S.; Kim, L.S. The relationship between electrically evoked compound action potential and speech perception: A study in cochlear implant users with short electrode array. Otol. Neurotol. 2010, 31, 1041–1048. [Google Scholar] [CrossRef] [PubMed]
- Snyder, R.L.; Sinex, D.G.; McGee, J.D.; Walsh, E.W. Acute spiral ganglion lesions change the tuning and tonotopic organization of cat inferior colliculus neurons. Hear. Res. 2000, 147, 200–220. [Google Scholar] [CrossRef]
- Snyder, R.L.; Sinex, D.G. Immediate changes in tuning of inferior colliculus neurons following acute lesions of cat spiral ganglion. J. Neurophysiol. 2002, 87, 434–452. [Google Scholar] [CrossRef]
- Snyder, R.L.; Bonham, B.H.; Sinex, D.G. Acute changes in frequency responses of inferior colliculus central nucleus (ICC) neurons following progressively enlarged restricted spiral ganglion lesions. Hear. Res. 2008, 246, 59–78. [Google Scholar] [CrossRef][Green Version]
- Konerding, W.; Arenberg, J.G.; Kral, A.; Baumhoff, P. Late electrically-evoked compound action potentials as markers for acute micro-lesions of spiral ganglion neurons. Hear. Res. 2022, 413, 108057. [Google Scholar] [CrossRef]
- Møller, A.R. On the origin of the compound action potentials (N1, N2) of the cochlea of the rat. Exp. Neurol. 1983, 80, 633–644. [Google Scholar] [CrossRef]
- Brown, D.J.; Patuzzi, R.B. Evidence that the compound action potential (CAP) from the auditory nerve is a stationary potential generated across dura mater. Hear. Res. 2010, 267, 12–26. [Google Scholar] [CrossRef] [PubMed]
- Ramekers, D.; Klis, S.F.L.; Versnel, H. Simultaneous rather than retrograde spiral ganglion cell degeneration following ototoxically induced hair cell loss in the guinea pig cochlea. Hear. Res. 2020, 390, 107928. [Google Scholar] [CrossRef] [PubMed]
- Konerding, W.; Arenberg, J.; Sznabel, D.; Kral, A.; Baumhoff, P. An Electrically Evoked Compound Action Potential Marker for Local Spiral Ganglion Neuron Degeneration: The Failure Index. J. Neurosci. 2025, 12, e0954242024. [Google Scholar] [CrossRef] [PubMed]
- Wohlbauer, D.M.; Arenberg, J.G. Neural sensitivity in cochlear implantees determined by electrically-evoked compound action potentials (ECAP) and focused perceptual thresholds. medRxiv 2025. medRxiv:2025.10.30.25338964. [Google Scholar] [CrossRef]
- Konerding, W.; Batsoulis, C.; Baumhoff, P.; Benav, H.; Gärtner, L.; Günther, A.; de Olano Dieterich, O.; Schurzig, D.; Strahl, S.; Tillein, J.; et al. The Failure Index as Marker of Cochlear Health in MED-EL CI Users: Anatomy, Demographics, and Speech Correlations. medRxiv 2025. medRxiv:2025.12.02.25341153. [Google Scholar] [CrossRef]
- Haines, D.E.; Verow, A.F. Observations on electrode-tissue interface temperature and effect on electrical impedance during radiofrequency ablation of ventricular myocardium. Circulation 1990, 82, 1034–1038. [Google Scholar] [CrossRef]
- Harvey, M.; Kim, Y.N.; Sousa, J.; el-Atassi, R.; Morady, F.; Calkins, H.; Langberg, J.J. Impedance monitoring during radiofrequency catheter ablation in humans. Pacing Clin. Electrophysiol. 1992, 15, 22–27. [Google Scholar] [CrossRef]
- Hartung, W.M.; Burton, M.E.; Deam, A.G.; Walter, P.F.; McTeague, K.; Langberg, J.J. Estimation of temperature during radiofrequency catheter ablation using impedance measurements. Pacing Clin. Electrophysiol. 1995, 18, 2017–2021. [Google Scholar] [CrossRef]
- Ekstrand, V.; Wiksell, H.; Schultz, I.; Sandstedt, B.; Rotstein, S.; Eriksson, A. Influence of electrical and thermal properties on RF ablation of breast cancer: Is the tumour preferentially heated? Biomed. Eng. Online 2005, 4, 41. [Google Scholar] [CrossRef]
- Chinitz, J.S.; Michaud, G.F.; Stephenson, K. Impedance-guided Radiofrequency Ablation: Using Impedance to Improve Ablation Outcomes. J. Innov. Card. Rhythm. Manag. 2017, 15, 2868–2873. [Google Scholar] [CrossRef]
- Stypulkowski, P.H.; van den Honert, C. Physiological properties of the electrically stimulated auditory nerve. I. Compound action potential recordings. Hear. Res. 1984, 14, 205–223. [Google Scholar] [CrossRef] [PubMed]
- Coleman, M.P.; Freeman, M.R. Wallerian degeneration, wld(s), and nmnat. Annu. Rev. Neurosci. 2010, 33, 245–267. [Google Scholar] [CrossRef] [PubMed]
- Pan, N.; Jahan, I.; Kersigo, J.; Kopecky, B.; Santi, P.; Johnson, S.; Schmitz, H.; Fritzsch, B. Conditional deletion of Atoh1 using Pax2-Cre results in viable mice without differentiated cochlear hair cells that have lost most of the organ of Corti. Hear. Res. 2011, 275, 66–80. [Google Scholar] [CrossRef] [PubMed]
- Shibata, S.B.; Budenz, C.L.; Bowling, S.A.; Pfingst, B.E.; Raphael, Y. Nerve maintenance and regeneration in the damaged cochlea. Hear. Res. 2011, 281, 56–64. [Google Scholar] [CrossRef]
- Schvartz-Leyzac, K.C.; Holden, T.A.; Zwolan, T.A.; Arts, H.A.; Firszt, J.B.; Buswinka, C.J.; Pfingst, B.E. Effects of Electrode Location on Estimates of Neural Health in Humans with Cochlear Implants. J. Assoc. Res. Otolaryngol. 2020, 21, 259–275. [Google Scholar] [CrossRef]
- Hughes, M.L. Objective Measures in Cochlear Implants, 1st ed.; Plural Publishing: San Diego, CA, USA, 2013. [Google Scholar]
- Shepherd, R.K.; Javel, E. Electrical stimulation of the auditory nerve. I. Correlation of physiological responses with cochlear status. Hear. Res. 1997, 108, 112–144. [Google Scholar] [CrossRef]
- Prado-Guitierrez, P.; Fewster, L.M.; Heasman, J.M.; McKay, C.M.; Shepherd, R.K. Effect of interphase gap and pulse duration on electrically evoked potentials is correlated with auditory nerve survival. Hear. Res. 2006, 215, 47–55. [Google Scholar] [CrossRef]
- Konerding, W.S.; Janssen, H.; Hubka, P.; Tornøe, J.; Mistrik, P.; Wahlberg, L.; Lenarz, T.; Kral, A.; Scheper, V. Encapsulated cell device approach for combined electrical stimulation and neurotrophic treatment of the deaf cochlea. Hear. Res. 2017, 350, 110–121. [Google Scholar] [CrossRef]










| Class | Characteristics | Weighting of Damage |
|---|---|---|
| 1 | Loss of <50% SGNs | length of damage × 1 |
| 2 | Loss of ≥50% SGNs | length of damage × 2 |
| 3 | Complete loss of SGNs or hearing nerve | length of damage × 3 |
Disclaimer/Publisher’s Note: The statements, opinions and data contained in all publications are solely those of the individual author(s) and contributor(s) and not of MDPI and/or the editor(s). MDPI and/or the editor(s) disclaim responsibility for any injury to people or property resulting from any ideas, methods, instructions or products referred to in the content. |
© 2026 by the authors. Licensee MDPI, Basel, Switzerland. This article is an open access article distributed under the terms and conditions of the Creative Commons Attribution (CC BY) license.
Share and Cite
Meuser, M.; Schwitzer, S.; Sadat, P.; Hessel, H.; Seidl, R.; Mittmann, P.; Basta, D. Evaluation of Spiral Ganglion Lesions by Electrophysiological Measures. Brain Sci. 2026, 16, 140. https://doi.org/10.3390/brainsci16020140
Meuser M, Schwitzer S, Sadat P, Hessel H, Seidl R, Mittmann P, Basta D. Evaluation of Spiral Ganglion Lesions by Electrophysiological Measures. Brain Sciences. 2026; 16(2):140. https://doi.org/10.3390/brainsci16020140
Chicago/Turabian StyleMeuser, Max, Susanne Schwitzer, Parisa Sadat, Horst Hessel, Rainer Seidl, Philipp Mittmann, and Dietmar Basta. 2026. "Evaluation of Spiral Ganglion Lesions by Electrophysiological Measures" Brain Sciences 16, no. 2: 140. https://doi.org/10.3390/brainsci16020140
APA StyleMeuser, M., Schwitzer, S., Sadat, P., Hessel, H., Seidl, R., Mittmann, P., & Basta, D. (2026). Evaluation of Spiral Ganglion Lesions by Electrophysiological Measures. Brain Sciences, 16(2), 140. https://doi.org/10.3390/brainsci16020140

