Effects of Exergame with Biofeedback Training on Functional Status, Cognition, and Quality of Life in Outpatients with Polyneuropathies: A Longitudinal Pilot Study
Abstract
1. Introduction
2. Materials and Methods
2.1. Study Design and Participants
2.2. Intervention
2.3. Outcome Measures
2.4. Data Analysis
3. Results
3.1. Socio-Demographic and Clinical Characteristics of the Sample
3.2. Pre-Post-Intervention Effects
3.2.1. Functional Outcomes
3.2.2. Cognitive Outcomes
3.3. Rehabilitation Experience and Technology Evaluation
3.4. Longitudinal Analysis (6-Month Follow-Up)
3.5. Correlations with Technology Evaluation
4. Discussion
5. Conclusions
Supplementary Materials
Author Contributions
Funding
Institutional Review Board Statement
Informed Consent Statement
Data Availability Statement
Conflicts of Interest
References
- Martyn, C.N.; Hughes, R.A. Epidemiology of peripheral neuropathy. J. Neurol. Neurosurg. Psychiatry 1997, 62, 310–318. [Google Scholar] [CrossRef]
- England, J.D.; Gronseth, G.S.; Franklin, G.; Fisher, M.A.; Lewis, R.A.; Carter, G.T.; Szigeti, K.; Sumner, A.J.; England, J.D.; Latov, N.; et al. Practice Parameter: Evaluation of distal symmetric polyneuropathy: Role of autonomic testing, nerve biopsy, and skin biopsy (an evidence-based review). Neurology 2009, 72, 177–184. [Google Scholar] [CrossRef]
- Hanewinckel, R.; van Oijen, M.; Ikram, M.A.; van Doorn, P.A. The epidemiology and risk factors of chronic polyneuropathy. Eur. J. Epidemiol. 2016, 31, 5–20. [Google Scholar] [CrossRef]
- Callaghan, B.C.; Cheng, H.T.; Stables, C.L.; Smith, A.L.; Feldman, E.L. Diabetic neuropathy: Clinical manifestations and current treatments. Lancet Neurol. 2012, 11, 521–534. [Google Scholar] [CrossRef] [PubMed]
- Richardson, J.K.; Hurvitz, E.A. Peripheral neuropathy: A true risk factor for falls. J. Gerontol. A Biol. Sci. Med. Sci. 1995, 50, M211–M215. [Google Scholar] [CrossRef]
- Vinik, A.I.; Nevoret, M.L.; Casellini, C.; Parson, H. Diabetic neuropathy. Endocrinol. Metab. Clin. N. Am. 2013, 42, 747–787. [Google Scholar] [CrossRef] [PubMed]
- Voinescu, A.; Sui, J.; Stanton Fraser, D. Virtual Reality in Neurorehabilitation: An Umbrella Review of Meta-Analyses. J. Clin. Med. 2021, 10, 1478. [Google Scholar] [CrossRef]
- Guo, Q.F.; He, L.; Su, W.; Tan, H.-X.; Han, L.-Y.; Gui, C.-F.; Chen, Y.; Jiang, H.-H.; Gao, Q. Virtual reality for neurorehabilitation: A bibliometric analysis of knowledge structure and theme trends. Front. Public Health 2022, 10, 1042618. [Google Scholar] [CrossRef] [PubMed]
- Pirovano, M.; Surer, E.; Mainetti, R.; Lanzi, P.L.; Borghese, N.A. Exergaming and rehabilitation: A methodology for the design of effective and safe therapeutic exergames. Entertain. Comput. 2016, 14, 55–65. [Google Scholar] [CrossRef]
- Macchiatella, L.; Amendola, S.; Barraco, G.; Scoditti, S.; Gallo, I.; Oliva, M.C.; Trabacca, A. A narrative review of the use of a cutting-edge virtual reality rehabilitation technology in neurological and neuropsychological rehabilitation. NeuroRehabilitation 2023, 53, 439–457. [Google Scholar] [CrossRef]
- Giggins, O.M.; Persson, U.M.; Caulfield, B. Biofeedback in rehabilitation. J. Neuroeng. Rehabil. 2013, 10, 60. [Google Scholar] [CrossRef]
- Huang, H.; Wolf, S.L.; He, J. Recent developments in biofeedback for neuromotor rehabilitation. J. Neuroeng. Rehabil. 2006, 3, 11. [Google Scholar] [CrossRef] [PubMed]
- Massetti, T.; da Silva, T.D.; Crocetta, T.B.; Guarnieri, R.; de Freitas, B.L.; Lopes, P.B.; Watson, S.; Tonks, J.; Monteiro, C.B.d.M. The Clinical Utility of Virtual Reality in Neurorehabilitation: A Systematic Review. J. Cent. Nerv. Syst. Dis. 2018, 10, 1179573518813541. [Google Scholar] [CrossRef] [PubMed]
- Prosperini, L.; Tomassini, V.; Castelli, L.; Tacchino, A.; Brichetto, G.; Cattaneo, D.; Solaro, C.M. Exergames for balance dysfunction in neurological disability: A meta-analysis with meta-regression. J. Neurol. 2021, 268, 3223–3237. [Google Scholar] [CrossRef]
- Palomo-Osuna, J.; De Sola, H.; Dueñas, M.; Moral-Munoz, J.A.; Failde, I. Cognitive function in diabetic persons with peripheral neuropathy: A systematic review and meta-analysis. Expert. Rev. Neurother. 2022, 22, 269–281. [Google Scholar] [CrossRef]
- Galer, B.S.; Gianas, A.; Jensen, M.P. Painful diabetic polyneuropathy: Epidemiology, pain description, and quality of life. Diabetes Res. Clin. Pract. 2000, 47, 123–128. [Google Scholar] [CrossRef]
- Englezou, C.; Nazeer, K.K.; Rajabally, Y.A. Impact of social-functioning and sleep on quality of life in chronic inflammatory demyelinating polyneuropathy. Clin. Neurol. Neurosurg. 2023, 234, 108017. [Google Scholar] [CrossRef]
- Gore, M.; Brandenburg, N.A.; Dukes, E.; Hoffman, D.L.; Tai, K.S.; Stacey, B. Pain severity in diabetic peripheral neuropathy is associated with patient functioning, anxiety and depression, and sleep. J. Pain Symptom Manag. 2005, 30, 374–385. [Google Scholar] [CrossRef] [PubMed]
- Kec, D.; Rajdova, A.; Raputova, J.; Adamova, B.; Srotova, I.; Nekvapilova, E.K.; Michalcakova, R.N.; Horakova, M.; Belobradkova, J.; Olsovsky, J.; et al. Risk factors for depression and anxiety in painful and painless diabetic polyneuropathy: A multicentre observational cross-sectional study. Eur. J. Pain 2022, 26, 370–389. [Google Scholar] [CrossRef] [PubMed]
- Vincent, A.M.; Callaghan, B.C.; Smith, A.L.; Feldman, E.L. Diabetic neuropathy: Cellular mechanisms as therapeutic targets. Nat. Rev. Neurol. 2011, 7, 573–583. [Google Scholar] [CrossRef]
- Holden, M.K. Virtual environments for motor rehabilitation: Review. Cyberpsychol. Behav. 2005, 8, 187–219. [Google Scholar] [CrossRef]
- Milosevic, B.; Leardini, A.; Farella, E. Kinect and wearable inertial sensors for motor rehabilitation programs at home: State of the art and an experimental comparison. Biomed. Eng. Online 2020, 19, 25. [Google Scholar] [CrossRef] [PubMed]
- Ghanbari Ghoshchi, S.; De Angelis, S.; Morone, G.; Panigazzi, M.; Persechino, B.; Tramontano, M.; Capodaglio, E.; Zoccolotti, P.; Paolucci, S.; Iosa, M.; et al. Return to Work and Quality of Life after Stroke in Italy: Technologically Assisted Neurorehabilitation. Int. J. Environ. Res. Public Health 2020, 17, 5233. [Google Scholar] [CrossRef] [PubMed]
- Liu, M.; Guo, L.; Lin, J.; Cai, Y.; Huang, X.; Wu, Y.; Zhang, Y.; Wang, S. Study on the balance and gait characteristics of subjects with generalized joint hypermobility residing in high-altitude using wearable devices: A cross-sectional study. BMC Musculoskelet. Disord. 2024, 25, 837. [Google Scholar] [CrossRef]
- Leardini, A.; Lullini, G.; Giannini, S.; Berti, L.; Ortolani, M.; Caravaggi, P. Validation of the angular measurements of a new inertial-measurement-unit based rehabilitation system: Comparison with state-of-the-art gait analysis. J. Neuroeng. Rehabil. 2014, 11, 136. [Google Scholar] [CrossRef] [PubMed]
- Olczak, A.; Carvalho, R.; Stępień, A.; Mróz, J. The Influence of Therapy Enriched with the Erigo®Pro Table and Motor Imagery on the Body Balance of Patients After Stroke-A Randomized Observational Study. Brain Sci. 2025, 15, 275. [Google Scholar] [CrossRef]
- Zanatta, F.; Steca, P.; Fundarò, C.; Giardini, A.; Felicetti, G.; Panigazzi, M.; Arbasi, G.; Grilli, C.; D’Addario, M.; Pierobon, A. Biopsychosocial effects and experience of use of robotic and virtual reality devices in neuromotor rehabilitation: A study protocol. PLoS ONE 2023, 18, e0282925. [Google Scholar] [CrossRef]
- Santangelo, G.; Siciliano, M.; Pedone, R.; Vitale, C.; Falco, F.; Bisogno, R.; Siano, P.; Barone, P.; Grossi, D.; Santangelo, F.; et al. Normative data for the Montreal Cognitive Assessment in an Italian population sample. Neurol. Sci. 2015, 36, 585–591. [Google Scholar] [CrossRef]
- Giardini, A.; Pistarini, C. Implementing International Classification of Functioning Disability and Health in Rehabilitation Medicine: Preliminary Considerations from a Nation-Wide Italian Experience in Routine Clinical Practice. J. Int. Soc. Phys. Rehabil. Med. 2019, 2, 107. [Google Scholar] [CrossRef]
- Morse, J.; Tylko, S.; Dixon, H. Characteristics of the fall-prone patient. Gerontologist 1987, 27, 516–522. [Google Scholar] [CrossRef]
- Siciliano, M.; Chiorri, C.; Battini, V.; Sant’eLia, V.; Altieri, M.; Trojano, L.; Santangelo, G. Regression-based normative data and equivalent scores for Trail Making Test (TMT): An updated Italian normative study. Neurol. Sci. 2019, 40, 469–477. [Google Scholar] [CrossRef]
- Caffarra, P.; Vezzadini, G.; Dieci, F.; Zonato, F.; Venneri, A. Short version of the Stroop test: Normative data in an Italian population sample. Nuova Riv. Neurol. 2002, 12, 111–115. [Google Scholar]
- Appollonio, I.; Leone, M.; Isella, V.; Piamarta, F.; Consoli, T.; Villa, M.L.; Forapani, E.; Russo, A.; Nichelli, P. The Frontal Assessment Battery (FAB): Normative values in an Italian population sample. Neurol. Sci. 2005, 26, 108–116. [Google Scholar] [CrossRef]
- Costa, A.; Bagoj, E.; Monaco, M.; Zabberoni, S.; De Rosa, S.; Papantonio, A.M.; Mundi, C.; Caltagirone, C.; Carlesimo, G.A. Standardization and normative data obtained in the Italian population for a new verbal fluency instrument, the phonemic/semantic alternate fluency test. Neurol. Sci. 2014, 35, 365–372. [Google Scholar] [CrossRef]
- Ware, J.E.; Kosinski, M.; Keller, S.D. A 12-Item Short-Form Health Survey: Construction of scales and preliminary tests of reliability and validity. Med. Care 1996, 34, 220–233. [Google Scholar] [CrossRef] [PubMed]
- Rabin, R.; de Charro, F. EQ-5D: A measure of health status from the EuroQol Group. Ann. Med. 2001, 33, 337–343. [Google Scholar] [CrossRef] [PubMed]
- Kroenke, K.; Spitzer, R.L.; Williams, J.B.W.; Löwe, B. An ultra-brief screening scale for anxiety and depression: The PHQ-4. Psychosomatics 2009, 50, 613–621. [Google Scholar]
- Cott, C.A.; Teare, G.; McGilton, K.S.; Lineker, S. Reliability and construct validity of the client-centred rehabilitation questionnaire. Disabil. Rehabil. 2006, 28, 1387–1397. [Google Scholar] [CrossRef] [PubMed]
- Day, H.; Jutai, J. Measuring the Psychosocial Impact of Assistive Devises: The PIADS. Can. J. Rehabil. 1996, 9, 159–164. [Google Scholar]
- Brooke, J. SUS: A “Quick and Dirty” Usability Scale. In Usability Evaluation in Industry; Jordan, P., Thomas, B., McClelland, A., Eds.; Taylor & Francis: London, UK, 1996; pp. 189–194. [Google Scholar]
- Streckmann, F.; Balke, M.; Cavaletti, G.; Toscanelli, A.; Bloch, W.; Décard, B.F.; Lehmann, H.C.; Faude, O. Exercise and Neuropathy: Systematic Review with Meta-Analysis. Sports Med. 2022, 52, 1043–1065. [Google Scholar] [CrossRef]
- Maranesi, E.; Casoni, E.; Baldoni, R.; Barboni, I.; Rinaldi, N.; Tramontana, B.; Amabili, G.; Benadduci, M.; Barbarossa, F.; Luzi, R.; et al. The effect of non-immersive virtual reality exergames versus traditional physiotherapy in Parkinson’s disease older patients: Preliminary results from a randomized-controlled trial. Int. J. Environ. Res. Public Health 2022, 19, 14818. [Google Scholar] [CrossRef]
- Cieślik, B.; Mazurek, J.; Wrzeciono, A.; Maistrello, L.; Szczepańska-Gieracha, J.; Conte, P.; Kiper, P. Examining technology-assisted rehabilitation for older adults’ functional mobility: A network meta-analysis on efficacy and acceptability. npj Digit. Med. 2023, 6, 159. [Google Scholar] [CrossRef]
- Pilotto, A.; Boi, R.; Petermans, J. Technology in geriatrics. Age Ageing 2018, 47, 771–774. [Google Scholar] [CrossRef]
- Paolucci, S.; Antonucci, G.; Troisi, E.; Bragoni, M.; Coiro, P.; De Angelis, D.; Pratesi, L.; Venturiero, V.; Grasso, M.G. Aging and stroke rehabilitation. a case-comparison study. Cerebrovasc. Dis. 2003, 15, 98–105. [Google Scholar] [CrossRef]
- Mutai, H.; Furukawa, T.; Wakabayashi, A.; Suzuki, A.; Hanihara, T. Functional outcomes of inpatient rehabilitation in very elderly patients with stroke: Differences across three age groups. Top. Stroke Rehabil. 2018, 25, 269–275. [Google Scholar] [CrossRef]
- Ramdharry, G.; Bull, K.; Jeffcott, R.; Frame, A. An expert opinion: Rehabilitation options for people with polyneuropathy. Adv. Clin. Neurosci. Rehabil. 2020, 19, 17–19. [Google Scholar] [CrossRef]
- Albarqi, M.N. Exploring the Effectiveness of Technology-Assisted Interventions for Promoting Independence in Elderly Patients: A Systematic Review. Healthcare 2024, 12, 2105. [Google Scholar] [CrossRef] [PubMed]
- Rahayu, U.B.; Wibowo, S.; Setyopranoto, I.; Romli, M.H. Effectiveness of physiotherapy interventions in brain plasticity, balance and functional ability in stroke survivors: A randomized controlled trial. NeuroRehabilitation 2020, 47, 463–470. [Google Scholar] [CrossRef]
- Evancho, A.; Tyler, W.J.; McGregor, K. A review of combined neuromodulation and physical therapy interventions for enhanced neurorehabilitation. Front. Hum. Neurosci. 2023, 17, 1151218. [Google Scholar] [CrossRef] [PubMed]
- Yang, Y.; Wang, K.; Liu, S.; Liu, H.; Zhang, T.; Luo, J. Exergames improve cognitive function in older adults and their possible mechanisms: A systematic review. J. Glob. Health 2023, 13, 04177. [Google Scholar] [CrossRef]
- Bogdanova, Y.; Yee, M.K.; Ho, V.T.; Cicerone, K.D. Computerized Cognitive Rehabilitation of Attention and Executive Function in Acquired Brain Injury: A Systematic Review. J. Head. Trauma. Rehabil. 2016, 31, 419–433. [Google Scholar] [CrossRef] [PubMed]
- Gunawan, H.; Gunawan, I.; Hambarsari, Y.; Danuaji, R.; Hamidi, B.L.; Benedictus, B. Virtual reality intervention for improving cognitive function in post-stroke patient: A systematic review and me-ta-analysis. Brain Disord. 2024, 15, 100152. [Google Scholar] [CrossRef]
- Fundarò, C.; Maffoni, M.; Boselli, M. High Technology–Assisted Rehabilitation Based on Neuropsychological Assessments in a Case of Severe Acquired Brain Injury. Case Rep. Neurol. Med. 2025, 2025, 5311669. [Google Scholar] [CrossRef]
- Rashid, A.; Mukhtar, T.; Najam, S.; Khalid, R.; Rasheed, H.; Qamar, M.; Shahid, M. Advancing Neurorehabilitation Through Virtual Reality and Robotics: A Critical Narrative Review of Motor Recovery Technologies. J. Health Wellness Community Res. 2025, 3, e601. [Google Scholar] [CrossRef]
- Carswell, C.; Rea, P.M. What the tech? The management of neurological dysfunction through the use of digital technology. In Biomedical Visualisation; Rea, P.M., Ed.; Springer: Cham, Switzerland, 2021; Volume 9, pp. 131–145. [Google Scholar]
- Syed, U.E.; Kamal, A. Video game-based and conventional therapies in patients of neurological deficits: An experimental study. Disabil. Rehabil. Assist. Technol. 2021, 16, 332–339. [Google Scholar] [CrossRef]
- Maffoni, M.; Pierobon, A.; Mancini, D.; Magnani, A.; Torlaschi, V.; Fundarò, C. How do you target cognitive training? Bridging the gap between standard and technological rehabilitation of cogni-tive domains. Front. Psychol. 2024, 15, 1497642. [Google Scholar] [CrossRef] [PubMed]
- Kannenberg, A.; Rupp, R.; Wurdeman, S.R.; Frossard, L. Editorial: Advances in technology-assisted rehabilitation. Front. Rehabil. Sci. 2024, 5, 1465671. [Google Scholar] [CrossRef] [PubMed]


| Variables | Group 1 | Group 2 | Total | p |
|---|---|---|---|---|
| Age, Mean ± SD | 76.2 ± 5.3 | 66.9 ± 11.6 | 71.8 ± 9.8 | 0.139 |
| Gender, n (%) | ||||
| Male | 7 (77.8) | 7 (87.5) | 14 (82.4) | 0.600 |
| Female | 2 (22.2) | 1 (12.5) | 3 (17.6) | |
| Marital Status, n (%) | 0.402 | |||
| Single/Separated/widowed | 4 (44.4) | 2 (25.0) | 6 (35.3) | |
| Married | 5 (55.6) | 6 (75.0) | 11 (64.7) | |
| Living condition, n (%) | 0.707 | |||
| Alone | 3 (33.3) | 2 (25.0) | 5 (29.4) | |
| With others | 6 (66.7) | 6 (75.0) | 12 (70.6) | |
| Education, n (%) | 0.325 | |||
| None or primary | 4 (44.5) | 1 (12.5) | 5 (29.4) | |
| Middle school | 3 (33.3) | 5 (62.5) | 8 (47.1) | |
| High school or higher | 2 (22.2) | 2 (25.0) | 4 (23.5) | |
| BMI, Mean ± SD | 25.5 ± 4.9 | 28.1 ± 3.0 | 26.5 ± 4.3 | 0.142 |
| Comorbidity, n (%) * | 0.200 | |||
| None | 8 (88.9) | 5 (62.5) | 13 (76.5) | |
| One | 1 (11.1) | 3 (37.5) | 4 (23.5) | |
| Risk Factors, n (%) ° | 0.232 | |||
| None | 7 (77.8) | 4 (50.0) | 11 (64.7) | |
| One or more | 2 (22.2) | 4 (50.0) | 6 (35.3) |
| Variables | Group 1 (n = 9) | Group 2 (n = 8) | |||||||
|---|---|---|---|---|---|---|---|---|---|
| Pre- | Post- | Δ | p | Pre- | Post- | Δ | p | pΔ | |
| Functional | |||||||||
| MFS | 19.4 ± 10.1 | 21.1 ± 7.4 * | −1.7 ± 5.0 | 0.317 | 11.3 ± 6.9 | 10.7 ± 7.3 * | 0.6 ± 0.4 | 1.00 | 0.758 |
| VAS Functional status (0–100) | 40.6 ± 15.5 | 63.9 ± 17.3 * | 23.3 ± 13.2 | 0.007 | 57.9 ± 16.8 | 82.1 ± 14.1 * | 24.3 ± 9.8 | 0.017 | 0.681 |
| VAS Pain (0–10) | 3.8 ± 2.9 | 1.9 ± 1.6 | −1.9 ± 2.1 | 0.041 | 4.4 ± 2.8 | 1.9 ± 1.8 | −2.6 ± 1.9 | 0.027 | 0.470 |
| Cognitive 1 | |||||||||
| MoCA | 24.9 ± 2.9 | 27.9 ± 1.3 | 3.0 ± 3.4 | 0.038 | 25.5 ± 3.5 | 28.5 ± 1.4 | 3.0 ± 2.7 | 0.025 | 0.743 |
| TMT-A | 30.2 ± 18.8 | 27.5 ± 21.1 | 0.5 ± 16.9 | 0.889 | 34.1 ± 19.7 | 16.3 ± 8.9 | −17.8 ± 20.4 | 0.036 | 0.105 |
| TMT-B | 98.8 ± 62.7 | 113.1 ± 82.0 | 14.3 ± 37.3 | 0.176 | 89.9 ± 48.3 | 59.7 ± 26.6 | −30.2 ± 44.4 | 0.093 | 0.038 |
| Stroop Errors | 2.7 ± 6.9 | −0.2 ± 1.3 | −2.9 ± 6.9 | 0.173 | 0.5 ± 1.5 | −0.1 ± 0.3 | −0.7 ± 1.5 | 0.225 | 0.481 |
| Stroop Time | 17.0 ± 14.9 | 15.8 ± 13.7 | −1.2 ± 12.9 | 0.767 | 16.8 ± 4.8 | 9.8 ± 5.9 | −6.9 ± 5.3 | 0.017 | 0.074 |
| FAB | 15.2 ± 2.4 | 17.0 ± 1.7 | 1.8 ± 1.2 | 0.012 | 15.1 ± 1.9 | 17.3 ± 0.9 | 2.2 ± 1.9 | 0.028 | 0.481 |
| Verbal fluency | 37.9 ± 8.9 | 38.6 ± 8.3 | 0.7 ± 4.1 | 0.722 | 38.0 ± 9.6 | 44.7 ± 11.8 | 6.6 ± 10.3 | 0.093 | 0.167 |
| Variables | Group 1 | Group 2 | p |
|---|---|---|---|
| CCRQ | |||
| Client Participation (range: 6–30) | 26.1 ± 7.9 | 28.8 ± 1.8 | 0.743 |
| Client-Centered Education (range: 5–25) | 19.8 ± 6.6 | 19.9 ± 2.9 | 0.481 |
| Outcome Evaluation (range: 4–20) | 17.1 ± 5.3 | 19.0 ± 1.6 | 0.541 |
| Family Involvement (range: 5–25) | 10.1 ± 11.6 | 7.5 ± 11.3 | 0.673 |
| Emotional Support (range: 5–25) | 17.4 ± 5.4 | 19.4 ± 1.4 | 0.673 |
| Physical Comfort (range: 4–20) | 17.0 ± 4.8 | 19.9 ± 0.4 | 0.093 |
| Continuity/Coordination (range: 5–25) | 17.1 ± 5.6 | 18.8 ± 3.7 | 0.606 |
| PIADS | |||
| Ability (range: −3/+3) | - | 1.8 ± 0.7 | |
| Adaptability (range: −3/+3) | - | 2.2 ± 0.9 | |
| Self-esteem (range: −3/+3) | - | 1.5 ± 0.8 | |
| ExTR (range: 0–52) | - | 41.4 ± 12.8 | |
| SUS (range: 0–100) | - | 65.9 ± 21.2 |
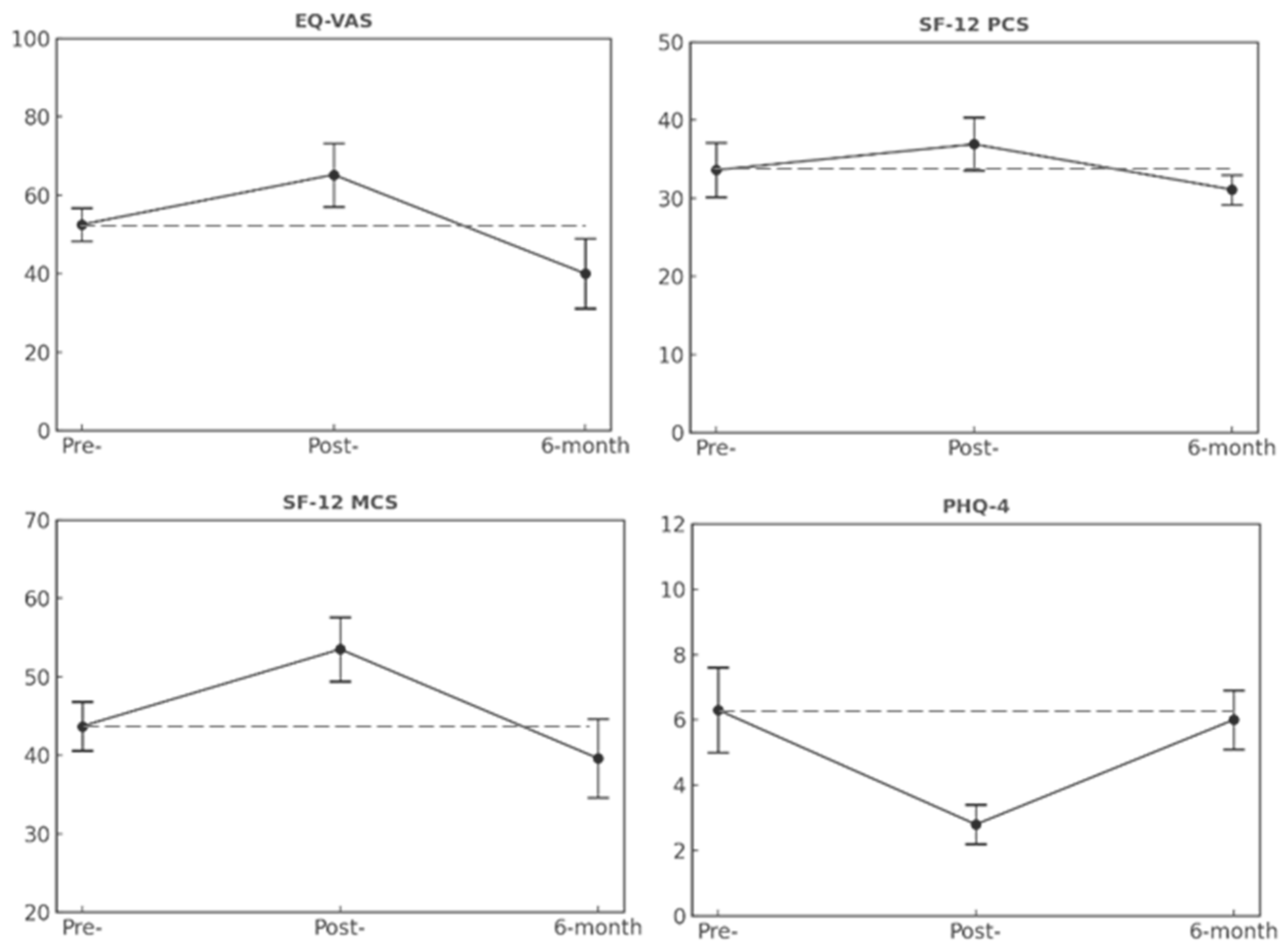
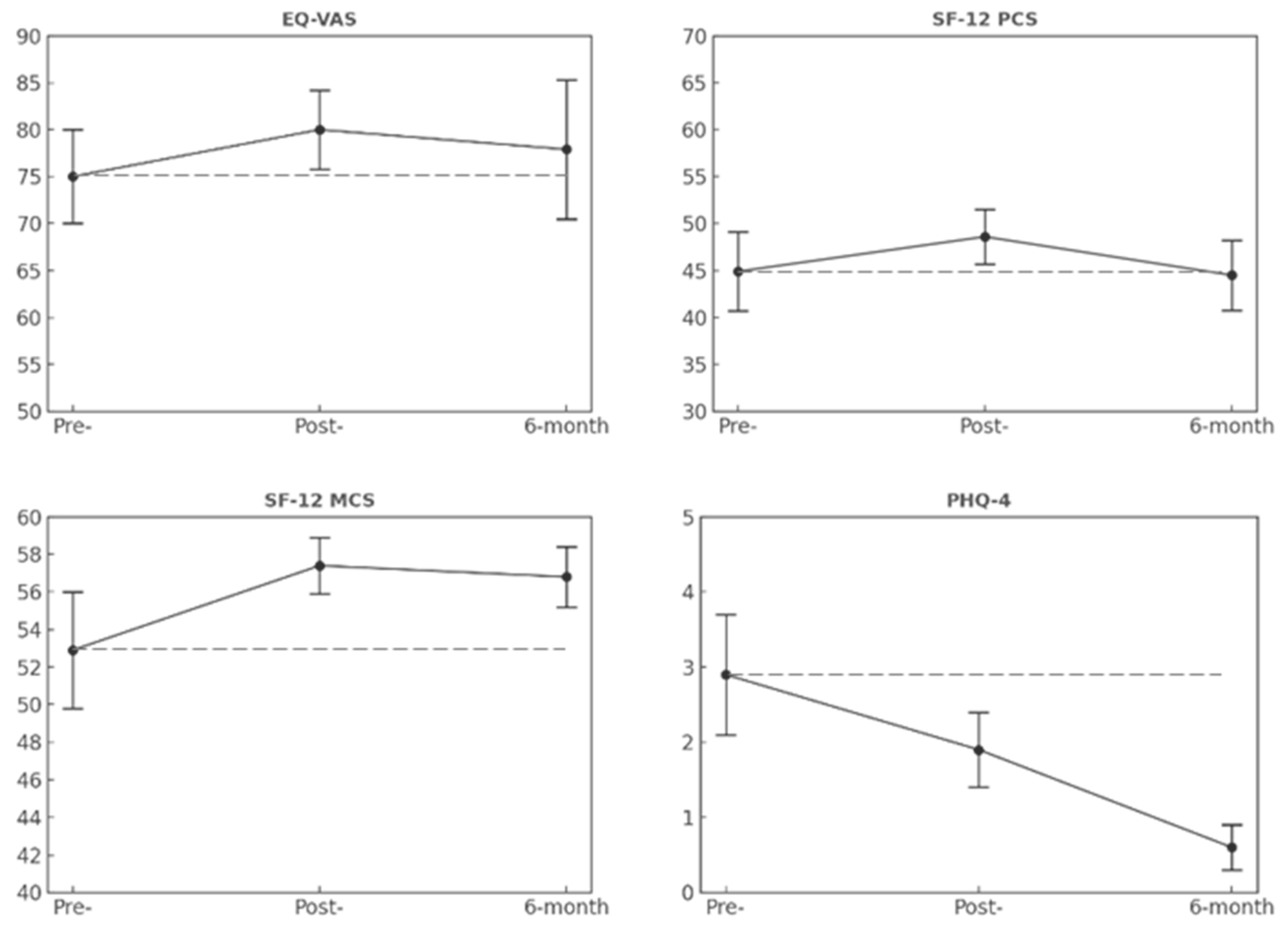
| Friedman Test | ||||||
|---|---|---|---|---|---|---|
| Group 1 | Pre- | Post- | 6-month | χ2 | p | W |
| EQ-VAS | 52.5 ± 4.2 * | 65.2 ± 8.1 *° | 40.0 ± 8.9 ° | 7.043 | 0.030 | 0.587 |
| SF-12 PCS | 33.6 ± 3.5 | 36.9 ± 3.4 | 31.1 ± 1.9 | 1.333 | 0.513 | 0.111 |
| SF-12 MCS | 43.7 ± 3.1 * | 53.5 ± 4.1 *° | 39.6 ± 5.0 ° | 6.333 | 0.042 | 0.528 |
| PHQ-4 | 6.3 ± 1.3 * | 2.8 ± 0.6 *° | 6.0 ± 0.9 ° | 9.818 | 0.007 | 0.818 |
| Group 2 | ||||||
| EQ-VAS | 75.0 ± 5.0 | 80.0 ± 4.2 | 77.9 ± 7.4 | 3.176 | 0.204 | 0.227 |
| SF-12 PCS | 44.9 ± 4.2 | 48.6 ± 2.9 | 44.5 ± 3.7 | 2.889 | 0.236 | 0.206 |
| SF-12 MCS | 52.9 ± 3.1 | 57.4 ± 1.5 | 56.8 ± 1.6 | 1.407 | 0.495 | 0.101 |
| PHQ-4 | 2.9 ± 0.8 ° | 1.9 ± 0.5 * | 0.6 ± 0.3 *° | 6.870 | 0.032 | 0.491 |
| Variables | PIADS | ExTR | SUS | ||
|---|---|---|---|---|---|
| Ability | Adaptability | Self-Esteem | |||
| MFS (Δ) | - | - | - | - | - |
| VAS Functional status (Δ) | −0.191 | −0.179 | −0.047 | −0.467 | −0.170 |
| VAS Pain (Δ) | −0.046 | −0.209 | −0.109 | 0.468 | 0.564 |
| MoCA (Δ) | 0.482 | −0.301 | −0.012 | −0.337 | 0.000 |
| TMT-A (Δ) | 0.169 | 0.470 | 0.551 | 0.386 | 0.323 |
| TMT-B (Δ) | −0.108 | 0.012 | 0.395 | 0.048 | 0.443 |
| Stroop Error (Δ) | 0.037 | −0.025 | −0.196 | −0.136 | 0.552 |
| Stroop Time (Δ) | 0.060 | 0.325 | 0.275 | 0.108 | 0.347 |
| FAB (Δ) | −0.193 | −0.133 | −0.048 | 0.349 | 0.862 ** |
| Verbal Fluency (Δ) | 0.036 | −0.181 | 0.790 * | 0.084 | 0.287 |
| 6-month follow-up | |||||
| EQ-VAS | 0.340 | 0.561 | 0.206 | 0.340 | −0.168 |
| SF-12 PCS | 0.727 | 0.631 | 0.198 | −0.073 | −0.432 |
| SF-12 MCS | 0.782 * | 0.072 | 0.090 | 0.436 | 0.000 |
| PHQ-4 | −0.152 | −0.603 | 0.060 | 0.030 | 0.633 |
Disclaimer/Publisher’s Note: The statements, opinions and data contained in all publications are solely those of the individual author(s) and contributor(s) and not of MDPI and/or the editor(s). MDPI and/or the editor(s) disclaim responsibility for any injury to people or property resulting from any ideas, methods, instructions or products referred to in the content. |
© 2025 by the authors. Licensee MDPI, Basel, Switzerland. This article is an open access article distributed under the terms and conditions of the Creative Commons Attribution (CC BY) license.
Share and Cite
Zanatta, F.; Mancini, D.; Steca, P.; Panigazzi, M.; Prestifilippo, E.; Grilli, C.; D’Addario, M.; Pierobon, A.; Maffoni, M. Effects of Exergame with Biofeedback Training on Functional Status, Cognition, and Quality of Life in Outpatients with Polyneuropathies: A Longitudinal Pilot Study. Brain Sci. 2026, 16, 45. https://doi.org/10.3390/brainsci16010045
Zanatta F, Mancini D, Steca P, Panigazzi M, Prestifilippo E, Grilli C, D’Addario M, Pierobon A, Maffoni M. Effects of Exergame with Biofeedback Training on Functional Status, Cognition, and Quality of Life in Outpatients with Polyneuropathies: A Longitudinal Pilot Study. Brain Sciences. 2026; 16(1):45. https://doi.org/10.3390/brainsci16010045
Chicago/Turabian StyleZanatta, Francesco, Daniela Mancini, Patrizia Steca, Monica Panigazzi, Elena Prestifilippo, Cesare Grilli, Marco D’Addario, Antonia Pierobon, and Marina Maffoni. 2026. "Effects of Exergame with Biofeedback Training on Functional Status, Cognition, and Quality of Life in Outpatients with Polyneuropathies: A Longitudinal Pilot Study" Brain Sciences 16, no. 1: 45. https://doi.org/10.3390/brainsci16010045
APA StyleZanatta, F., Mancini, D., Steca, P., Panigazzi, M., Prestifilippo, E., Grilli, C., D’Addario, M., Pierobon, A., & Maffoni, M. (2026). Effects of Exergame with Biofeedback Training on Functional Status, Cognition, and Quality of Life in Outpatients with Polyneuropathies: A Longitudinal Pilot Study. Brain Sciences, 16(1), 45. https://doi.org/10.3390/brainsci16010045

