Genetic Influence on Extended-Release Naltrexone Treatment Outcomes in Patients with Opioid Use Disorder: An Exploratory Study
Abstract
1. Introduction
2. Materials and Methods
2.1. Design
2.2. Participants and Setting
2.3. Study Interventions
2.4. Measurements
2.5. Genotyping
2.6. Statistical Analyses
2.7. Research Ethics
3. Results
3.1. Treatment Retention and Association with COMT rs4680 and OPRM1 rs1799971
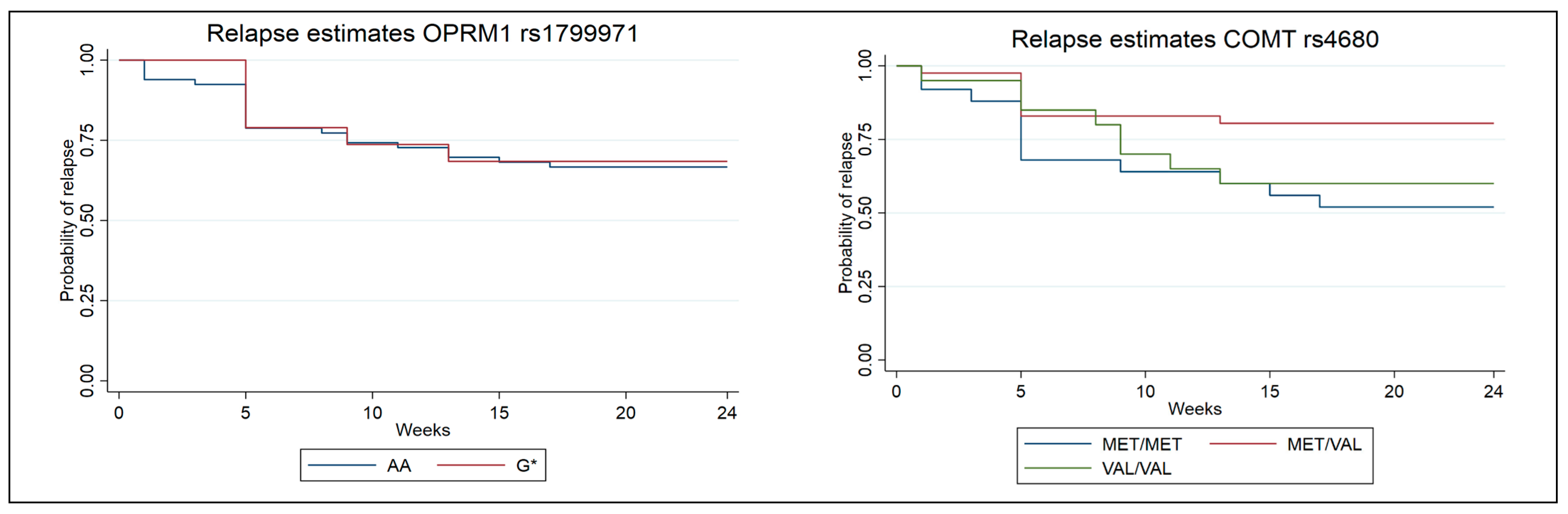
3.2. Relapse in Association with COMT rs4680 and OPRM1 rs1799971
3.3. Days of Opioid Use in Association with COMT rs4680 and OPRM1 rs1799971
3.4. Opioid Cravings in Association with COMT rs4680 and OPRM1 rs1799971
4. Discussion
Future Improvements
5. Conclusions
Supplementary Materials
Author Contributions
Funding
Institutional Review Board Statement
Informed Consent Statement
Data Availability Statement
Acknowledgments
Conflicts of Interest
References
- Jarvis, B.P.; Holtyn, A.F.; Subramaniam, S.; Tompkins, D.A.; Oga, E.A.; Bigelow, G.E.; Silverman, K. Extended-release injectable naltrexone for opioid use disorder: A systematic review. Addiction 2018, 113, 1188–1209. [Google Scholar] [CrossRef]
- Krupitsky, E.; Nunes, E.V.; Ling, W.; Illeperuma, A.; Gastfriend, D.R.; Silverman, B.L. Injectable extended-release naltrexone for opioid dependence: A double-blind, placebo-controlled, multicentre randomised trial. Lancet 2011, 377, 1506–1513. [Google Scholar] [CrossRef]
- Solli, K.K.; Kunoe, N.; Latif, Z.E.; Sharma-Haase, K.; Opheim, A.; Krajci, P.; Gaulen, Z.; Šaltytė Benth, J.; Tanum, L. Availability of Extended-Release Naltrexone May Increase the Number of Opioid-Dependent Individuals in Treatment: Extension of a Randomized Clinical Trial. Eur. Addict. Res. 2019, 25, 303–309. [Google Scholar] [CrossRef]
- Gaulen, Z.; Brenna, I.H.; Fadnes, L.T.; Šaltytė Benth, J.; Solli, K.K.; Kunoe, N.; Opheim, A.; Tanum, L. The Predictive Value of Degree of Preference for Extended-Release Naltrexone for Treatment Adherence, Opioid Use, and Relapse. Eur. Addict. Res. 2022, 28, 56–67. [Google Scholar] [CrossRef]
- Huang, X.; Wang, C.; Zheng, L.; Ren, L.; Jin, T.; Yu, Z.; Tang, Y. Significant Association of the Catechol-O-Methyltransferase Gene Polymorphism (rs4680) and Opioid Use Disorder in Asian Populations, but not Caucasian Populations: A Meta-analysis. Genet. Test. Mol. Biomark. 2022, 26, 316–323. [Google Scholar] [CrossRef]
- Lotta, T.; Vidgren, J.; Tilgmann, C.; Ulmanen, I.; Melén, K.; Julkunen, I.; Taskinen, J. Kinetics of human soluble and membrane-bound catechol O-methyltransferase: A revised mechanism and description of the thermolabile variant of the enzyme. Biochemistry 1995, 34, 4202–4210. [Google Scholar] [CrossRef]
- Egan, M.F.; Goldberg, T.E.; Kolachana, B.S.; Callicott, J.H.; Mazzanti, C.M.; Straub, R.E.; Goldman, D.; Weinberger, D.R. Effect of COMT Val108/158 Met genotype on frontal lobe function and risk for schizophrenia. Proc. Natl. Acad. Sci. USA 2001, 98, 6917–6922. [Google Scholar] [CrossRef]
- Su, H.; Li, Z.; Du, J.; Jiang, H.; Chen, Z.; Sun, H.; Zhao, M. Predictors of heroin relapse: Personality traits, impulsivity, COMT gene Val158met polymorphism in a 5-year prospective study in Shanghai, China. Am. J. Med. Genet. B Neuropsychiatr. Genet. 2015, 168, 712–719. [Google Scholar] [CrossRef]
- Crist, R.C.; Li, J.; Doyle, G.A.; Gilbert, A.; Dechairo, B.M.; Berrettini, W.H. Pharmacogenetic analysis of opioid dependence treatment dose and dropout rate. Am. J. Drug Alcohol Abus 2018, 44, 431–440. [Google Scholar] [CrossRef]
- Crist, R.C.; Berrettini, W.H. Pharmacogenetics of OPRM1. Pharmacol. Biochem. Behav. 2014, 123, 25–33. [Google Scholar] [CrossRef]
- Schwantes-An, T.H.; Zhang, J.; Chen, L.S.; Hartz, S.M.; Culverhouse, R.C.; Chen, X.; Coon, H.; Frank, J.; Kamens, H.M.; Konte, B.; et al. Association of the OPRM1 Variant rs1799971 (A118G) with Non-Specific Liability to Substance Dependence in a Collaborative de novo Meta-Analysis of European-Ancestry Cohorts. Behav. Genet. 2016, 46, 151–169. [Google Scholar] [CrossRef]
- Oueslati, B.; Moula, O.; Ghachem, R. The impact of OPRM1’s genetic polymorphisms on methadone maintenance treatment in opioid addicts: A systematic review. Pharmacogenomics 2018, 19, 741–747. [Google Scholar] [CrossRef]
- Xie, X.; Gu, J.; Zhuang, D.; Zhou, Y.; Chen, X.; Shen, W.; Li, L.; Liu, Y.; Xu, W.; Hong, Q.; et al. Association between rs1799971 in the mu opioid receptor gene and methadone maintenance treatment response. J. Clin. Lab. Anal. 2022, 36, e24750. [Google Scholar] [CrossRef]
- Levran, O.; Peles, E.; Randesi, M.; da Rosa, J.C.; Adelson, M.; Kreek, M.J. The μ-opioid receptor nonsynonymous variant 118A>G is associated with prolonged abstinence from heroin without agonist treatment. Pharmacogenomics 2017, 18, 1387–1391. [Google Scholar] [CrossRef]
- Randesi, M.; Rotrosen, J.; Nunes, E.V.; Lee, J.D.; Novo, P.; Levran, O.; Ott, J.; Pavlicova, M.; Scodes, J.; Kreek, M.J. Variants of opioid genes and response to treatment of opioid use disorder with buprenorphine-naloxone versus extended-release naltrexone in Caucasians. Am. J. Drug Alcohol Abus. 2020, 46, 761–768. [Google Scholar] [CrossRef]
- Weimand, B.M.; Solli, K.K.; Reichelt, W.H.; Tanum, L. Enablers and hindrances for longer-term abstinence in opioid dependent individuals receiving treatment with extended-release naltrexone: A Norwegian longitudinal recovery trial (NaltRec study). Contemp. Clin. Trials Commun. 2021, 21, 100728. [Google Scholar] [CrossRef]
- Sheehan, D.V.; Lecrubier, Y.; Sheehan, K.H.; Amorim, P.; Janavs, J.; Weiller, E.; Hergueta, T.; Baker, R.; Dunbar, G.C. The Mini-International Neuropsychiatric Interview (M.I.N.I.): The development and validation of a structured diagnostic psychiatric interview for DSM-IV and ICD-10. J. Clin. Psychiatry 1998, 59, 22–33. [Google Scholar]
- McLellan, A.T.; Luborsky, L.; Woody, G.E.; O’Brien, C.P. An improved diagnostic evaluation instrument for substance abuse patients. The Addiction Severity Index. J. Nerv. Ment. Dis. 1980, 168, 26–33. [Google Scholar] [CrossRef]
- Hjorthøj, C.R.; Hjorthøj, A.R.; Nordentoft, M. Validity of Timeline Follow-Back for self-reported use of cannabis and other illicit substances—Systematic review and meta-analysis. Addict. Behav. 2012, 37, 225–233. [Google Scholar] [CrossRef]
- Comer, S.D.; Sullivan, M.A.; Yu, E.; Rothenberg, J.L.; Kleber, H.D.; Kampman, K.; Dackis, C.; O’Brien, C.P. Injectable, sustained-release naltrexone for the treatment of opioid dependence: A randomized, placebo-controlled trial. Arch. Gen. Psychiatry 2006, 63, 210–218. [Google Scholar] [CrossRef]
- Jacobsen, D.P.; Nielsen, M.B.; Einarsen, S.; Gjerstad, J. Negative social acts and pain: Evidence of a workplace bullying and 5-HTT genotype interaction. Scand. J. Work. Environ. Health 2018, 44, 283–290. [Google Scholar] [CrossRef]
- Rajalingam, D.; Jacobsen, D.P.; Nielsen, M.B.; Einarsen, S.V.; Gjerstad, J. Exposure to Workplace Bullying, Distress, and Insomnia: The Moderating Role of the miR-146a Genotype. Front. Psychol. 2019, 10, 1204. [Google Scholar] [CrossRef]
- Hardy, G.H. Mendelian Proportions in a Mixed Population. Science 1908, 28, 49–50. [Google Scholar] [CrossRef]
- Rothwell, P.M. External validity of randomised controlled trials: “to whom do the results of this trial apply?”. Lancet 2005, 365, 82–93. [Google Scholar] [CrossRef]
- Bousman, C.A.; Bengesser, S.A.; Aitchison, K.J.; Amare, A.T.; Aschauer, H.; Baune, B.T.; Asl, B.B.; Bishop, J.R.; Burmeister, M.; Chaumette, B.; et al. Review and Consensus on Pharmacogenomic Testing in Psychiatry. Pharmacopsychiatry 2021, 54, 5–17. [Google Scholar] [CrossRef]
- Ettienne, E.B.; Chapman, E.; Maneno, M.; Ofoegbu, A.; Wilson, B.; Settles-Reaves, B.; Clarke, M.; Dunston, G.; Rosenblatt, K. Pharmacogenomics-guided policy in opioid use disorder (OUD) management: An ethnically-diverse case-based approach. Addict. Behav. Rep. 2017, 6, 8–14. [Google Scholar] [CrossRef]
- Hartwell, E.E.; Kranzler, H.R. Pharmacogenetics of alcohol use disorder treatments: An update. Expert Opin. Drug Metab. Toxicol. 2019, 15, 553–564. [Google Scholar] [CrossRef]
- Abraham, J.E.; Maranian, M.J.; Spiteri, I.; Russell, R.; Ingle, S.; Luccarini, C.; Earl, H.M.; Pharoah, P.P.; Dunning, A.M.; Caldas, C. Saliva samples are a viable alternative to blood samples as a source of DNA for high throughput genotyping. BMC Med. Genom. 2012, 5, 19. [Google Scholar] [CrossRef]
- Yao, R.A.; Akinrinade, O.; Chaix, M.; Mital, S. Quality of whole genome sequencing from blood versus saliva derived DNA in cardiac patients. BMC Med. Genom. 2020, 13, 11. [Google Scholar] [CrossRef]
- Marsden, J.; Gossop, M.; Stewart, D.; Best, D.; Farrell, M.; Lehmann, P.; Edwards, C.; Strang, J. The Maudsley Addiction Profile (MAP): A brief instrument for assessing treatment outcome. Addiction 1998, 93, 1857–1867. [Google Scholar] [CrossRef]
- Nelson, E.C.; Lynskey, M.T.; Heath, A.C.; Wray, N.; Agrawal, A.; Shand, F.L.; Henders, A.K.; Wallace, L.; Todorov, A.A.; Schrage, A.J.; et al. Association of OPRD1 polymorphisms with heroin dependence in a large case-control series. Addict. Biol. 2014, 19, 111–121. [Google Scholar] [CrossRef] [PubMed]


| XR-NTX n = 138 | Genotyped n = 88 | Not Genotyped n = 50 | p-Value | |
|---|---|---|---|---|
| Age Min, Max Mean (SD) | 18, 63 37.8 (9.4) | 18, 63 37.4 (9.2) | 24, 62 38.8 (9.9) | 0.416 1 |
| Sex, n (%) Female | 29 (21.0) | 15 (17.1) | 14 (28.0) | 0.046 2 |
| Ethnicity, n (%) North European Caucasian Other | 130 (94.9) 7 (5.1) | 84 (95.5) 4 (4.5) | 47 (94.0) 3 (6.0) | 0.958 1 |
| Age of onset of opioid use, years Min, Max Mean (SD) | 10, 39 20.2 (5.5) | 10, 39 20.6 (5.6) | 10, 33 19.3 (5.3) | 0.199 1 |
| Route of Administration Oral Nasal Smoking IV | 3 (2.2) 2 (1.4) 26 (18.8) 107 (77.5) | 2 (2.3) 2 (2.3) 18 (20.4) 66 (75.0) | 1 (2.0) 0 8 (16.0) 39 (78.0) | 0.660 2 |
| Opioid use previous four weeks, days Min, Max Mean (SD) | 0, 28 18.8 (10.7) | 0, 28 18.3 (10.4) | 0, 28 20.0 (10.8) | 0.450 1 |
| Opioid cravings Present, Mean (SD) Previous four weeks, Mean (SD) | 2.81 (3.6) 3.9 (3.9) | 2.8 (3.7) 4.3 (3.8) | 2.8 (3.6) 3.2 (3.9) | 0.976 1 0.144 1 |
| Significant maternal psychiatric problem, n (%) Yes No | 41 (29.7) 88 (63.8) | 23 (26.1) 59 (67.1) | 17 (34.0) 28 (56.0) | 0.517 2 |
| Significant paternal psychiatric problem, n (%) Yes No | 35 (25.4) 85 (61.6) | 19 (21.2) 58 (69.9) | 15 (30.0) 30 (60.0) | 0.421 2 |
| Significant maternal substance use, n (%) Yes No | 21 (15.2) 110 (79.7) | 12 (13.6) 74 (84.1) | 10 (20.0) 36 (72.0) | 0.299 2 |
| Significant paternal substance use, n (%) Yes No | 19 (13.8) 106 (76.8) | 9 (10.2) 71 (80.1) | 9 (18.0) 38 (76.0) | 0.430 2 |
| Number of Days of Opioid Use in the Previous Four Weeks | |||
|---|---|---|---|
| B | 95% CI | p-Value | |
| Follow-up time points | |||
| Baseline (ref) | |||
| 3-month | −21.64 | −25.65 to −17.64 | 0.000 |
| 6-month | −20.06 | −24.41 to −15.70 | 0.000 |
| COMT genotype | |||
| Met/Met (ref) | |||
| Met/Val | −2.26 | −5.79 to 1.25 | 0.207 |
| Val/Val | −3.82 | −8.02 to 0.38 | 0.075 |
| Interaction Time × COMT | |||
| Baseline × Met/Met (ref) | |||
| 3-month × Met/Val | 0.10 | −4.86 to 5.08 | 0.966 |
| 3-month × Val/Val | 4.99 | −1.12 to 11.11 | 0.109 |
| 6-month × Met/Val | −1.46 | −6.79 to 3.87 | 0.591 |
| 6-month × Val/Val | 2.23 | −4.03 to 8.50 | 0.485 |
Disclaimer/Publisher’s Note: The statements, opinions and data contained in all publications are solely those of the individual author(s) and contributor(s) and not of MDPI and/or the editor(s). MDPI and/or the editor(s) disclaim responsibility for any injury to people or property resulting from any ideas, methods, instructions or products referred to in the content. |
© 2025 by the authors. Licensee MDPI, Basel, Switzerland. This article is an open access article distributed under the terms and conditions of the Creative Commons Attribution (CC BY) license.
Share and Cite
Juya, F.; Klemmetsby Solli, K.; Sannes, A.-C.; Weimand, B.; Gjerstad, J.; Tanum, L.; Mordal, J. Genetic Influence on Extended-Release Naltrexone Treatment Outcomes in Patients with Opioid Use Disorder: An Exploratory Study. Brain Sci. 2026, 16, 23. https://doi.org/10.3390/brainsci16010023
Juya F, Klemmetsby Solli K, Sannes A-C, Weimand B, Gjerstad J, Tanum L, Mordal J. Genetic Influence on Extended-Release Naltrexone Treatment Outcomes in Patients with Opioid Use Disorder: An Exploratory Study. Brain Sciences. 2026; 16(1):23. https://doi.org/10.3390/brainsci16010023
Chicago/Turabian StyleJuya, Farid, Kristin Klemmetsby Solli, Ann-Christin Sannes, Bente Weimand, Johannes Gjerstad, Lars Tanum, and Jon Mordal. 2026. "Genetic Influence on Extended-Release Naltrexone Treatment Outcomes in Patients with Opioid Use Disorder: An Exploratory Study" Brain Sciences 16, no. 1: 23. https://doi.org/10.3390/brainsci16010023
APA StyleJuya, F., Klemmetsby Solli, K., Sannes, A.-C., Weimand, B., Gjerstad, J., Tanum, L., & Mordal, J. (2026). Genetic Influence on Extended-Release Naltrexone Treatment Outcomes in Patients with Opioid Use Disorder: An Exploratory Study. Brain Sciences, 16(1), 23. https://doi.org/10.3390/brainsci16010023

