NIC6-TT Vaccine Reduces Nicotine-Seeking Behavior and Expression of Nicotine-Induced Locomotor Sensitization in Rats
Abstract
1. Introduction
2. Methods
2.1. Subjects
2.2. Drugs
2.3. Synthesis of the NIC-TT Vaccine
2.4. Determination of Serum Antibody Titers via ELISA
2.5. Behavioral Procedure
2.5.1. Self-Administration Procedure
2.5.2. Behavioral Sensitization Procedure
2.6. Immunization Schedule
2.7. Experimental Procedures
2.7.1. Experiment 1
2.7.2. Experiment 2
2.7.3. Experiment 3
2.8. Statistical Analysis
3. Results
3.1. Experiment 1
3.2. Experiment 2
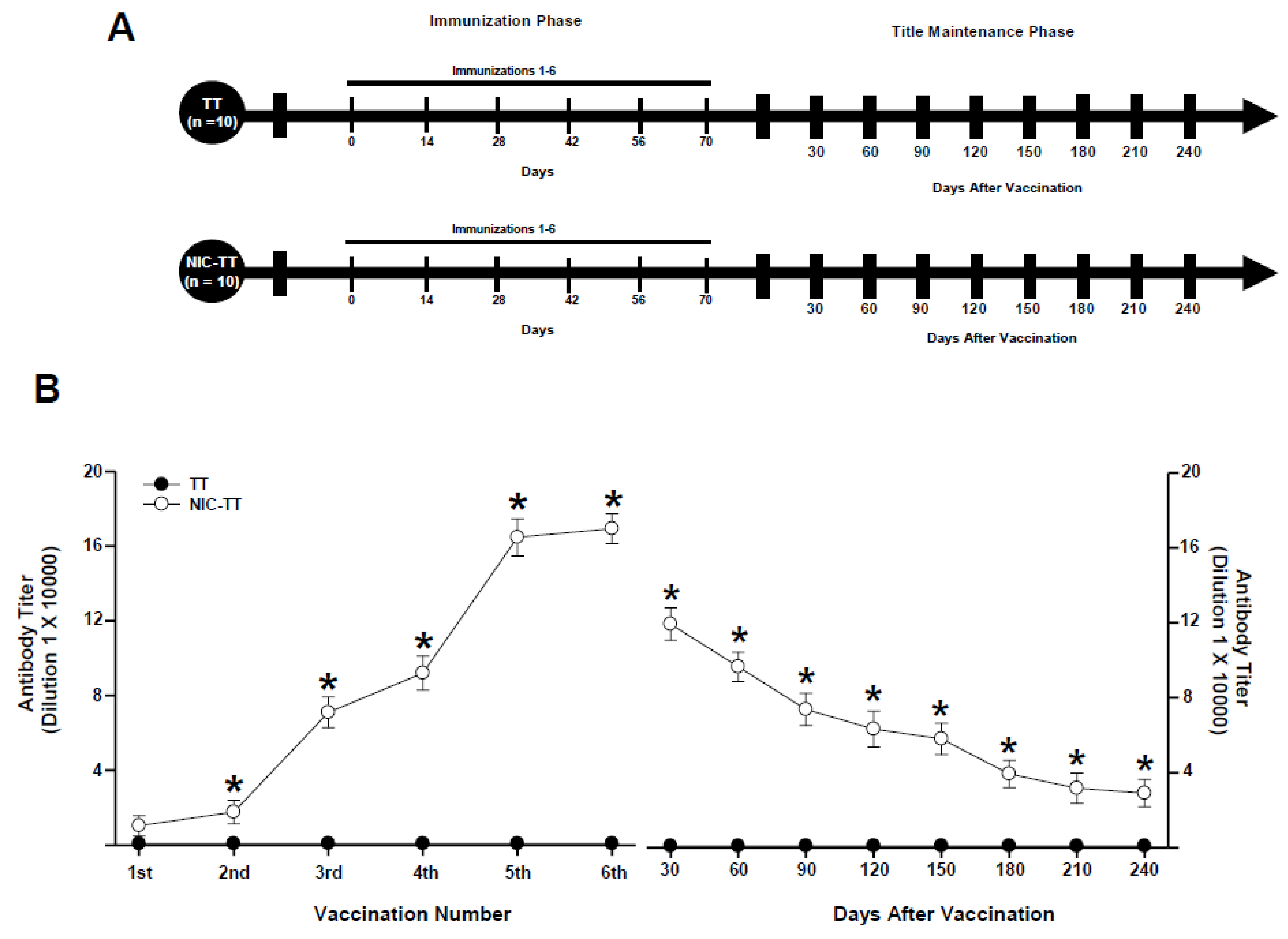
3.2.1. Titers
3.2.2. Nicotine Self-Administration
3.3. Experiment 3
3.3.1. Titers
3.3.2. Nicotine Locomotor Activity
4. Discussion
Future Perspectives
5. Conclusions
Supplementary Materials
Author Contributions
Funding
Institutional Review Board Statement
Informed Consent Statement
Data Availability Statement
Conflicts of Interest
References
- Shirazi, A.; Radgoudarzi, N.; Brody, A.L. Adolescent Tobacco/Nicotine Use and the Potential Role of Contingency Management-based Interventions. J. Addict. Med. 2024, 18, 97–102. [Google Scholar] [CrossRef]
- Shevorykin, A.; Hyland, B.M.; Robles, D.; Ji, M.; Vantucci, D.; Bensch, L.; Thorner, H.; Marion, M.; Liskiewicz, A.; Carl, E.; et al. Tobacco use; trauma exposure and PTSD: A systematic review. Health Psychol. Rev. 2024, 6, 649–680. [Google Scholar] [CrossRef]
- D’Souza, M.S.; Markou, A. Neuronal mechanisms underlying development of nicotine dependence: Implications for novel smoking-cessation treatments. Addict. Sci. Clin. Pract. 2011, 6, 4–16. [Google Scholar] [PubMed]
- Keyler, D.E.; Hieda, Y.; St Peter, J.; Pentel, P.R. Altered disposition of repeated nicotine doses in rats immunized against nicotine. Nicotine Tob. Res. 1999, 1, 241–249. [Google Scholar] [CrossRef]
- Hieda, Y.; Keyler, D.E.; Vandevoort, J.T.; Kane, J.K.; Ross, C.A.; Raphael, D.E.; Niedbalas, R.S.; Pentel, P.R. Active immunization alters the plasma nicotine concentration in rats. J. Pharmacol. Exp. Ther. 1997, 283, 1076–1081. [Google Scholar] [CrossRef]
- Pentel, P.R.; Malin, D.H.; Ennifar, S.; Hieda, Y.; Keyler, D.E.; Lake, J.R.; Milstein, J.R.; Basham, L.E.; Coy, R.T.; Moon, J.W.; et al. A nicotine conjugate vaccine reduces nicotine distribution to brain and attenuates its behavioral and cardiovascular effects in rats. Pharmacol. Biochem. Behav. 2000, 65, 191–198. [Google Scholar] [CrossRef] [PubMed]
- Tuncok, Y.; Hieda, Y.; Keyler, D.E.; Brown, S.; Ennifar, S.; Fattom, A.; Pentel, P.R. Inhibition of nicotine-induced seizures in rats by combining vaccination against nicotine with chronic nicotine infusion. Exp. Clin. Psychopharmacol. 2001, 9, 228–234. [Google Scholar] [CrossRef]
- de Villiers, S.H.; Lindblom, N.; Kalayanov, G.; Gordon, S.; Malmerfelt, A.; Johansson, A.M.; Svensson, T.H. Active immunization against nicotine suppresses nicotine-induced dopamine release in the rat nucleus accumbens shell. Respiration 2002, 69, 247–253. [Google Scholar] [CrossRef] [PubMed]
- Lindblom, N.; de Villiers, S.H.; Kalayanov, G.; Gordon, S.; Johansson, A.M.; Svensson, T.H. Active immunization against nicotine prevents reinstatement of nicotine-seeking behavior in rats. Respiration 2002, 69, 254–260. [Google Scholar] [CrossRef] [PubMed]
- LeSage, M.G.; Keyler, D.E.; Hieda, Y.; Collins, G.; Burroughs, D.; Le, C.; Pentel, P.R. Effects of a nicotine conjugate vaccine on the acquisition and maintenance of nicotine self-administration in rats. Psychopharmacology 2006, 184, 409–416. [Google Scholar] [CrossRef]
- Moreno, A.Y.; Azar, M.R.; Warren, N.A.; Dickerson, T.J.; Koob, G.F.; Janda, K.D. A critical evaluation of a nicotine vaccine within a self-administration behavioral model. Mol. Pharm. 2010, 7, 431–441. [Google Scholar] [CrossRef] [PubMed]
- Carrera, M.R.; Ashley, J.A.; Hoffman, T.Z.; Isomura, S.; Wirsching, P.; Koob, G.F.; Janda, K.D. Investigations using immunization to attenuate the psychoactive effects of nicotine. Bioorganic Med. Chem. 2004, 12, 563–570. [Google Scholar] [CrossRef] [PubMed]
- Cornish, K.E.; Harris, A.C.; LeSage, M.G.; Keyler, D.E.; Burroughs, D.; Earley, C.; Pentel, P.R. Combined active and passive immunization against nicotine: Minimizing monoclonal antibody requirements using a target antibody concentration strategy. Int. Immunopharmacol. 2011, 11, 1809–1815. [Google Scholar] [CrossRef][Green Version]
- Heading, C.E. NicVAX (Nabi Biopharmaceuticals). IDrugs 2003, 6, 1178–1181. [Google Scholar] [PubMed]
- Heading, C.E. Drug evaluation: CYT-002-NicQb; a therapeutic vaccine for the treatment of nicotine addiction. Curr. Opin. Investig. Drugs 2007, 8, 71–77. [Google Scholar]
- Trial watch: Xenova’s TA-NIC vaccine shows promise. Expert Rev. Vaccines 2004, 3, 386. [CrossRef]
- Maurer, P.; Jennings, G.T.; Willers, J.; Rohner, F.; Lindman, Y.; Roubicek, K.; Renner, W.A.; Müller, P.; Bachmann, M.F. A therapeutic vaccine for nicotine dependence: Preclinical efficacy; and Phase I safety and immunogenicity. Eur. J. Immunol. 2005, 35, 2031–2040. [Google Scholar] [CrossRef] [PubMed]
- Hatsukami, D.K.; Rennard, S.; Jorenby, D.; Fiore, M.; Koopmeiners, J.; de Vos, A.; Horwith, G.; Pentel, P.R. Safety and immunogenicity of a nicotine conjugate vaccine in current smokers. Clin. Pharmacol. Ther. 2005, 78, 456–467. [Google Scholar] [CrossRef]
- Wagena, E.J.; de Vos, A.; Horwith, G.; van Schayck, C.P. The immunogenicity and safety of a nicotine vaccine in smokers and nonsmokers: Results of a randomized; placebo-controlled phase 1/2 trial. Nicotine Tob. Res. 2008, 10, 213–218. [Google Scholar] [CrossRef] [PubMed]
- Cornuz, J.; Zwahlen, S.; Jungi, W.F.; Osterwalder, J.; Klingler, K.; van Melle, G.; Bangala, Y.; Guessous, I.; Müller, P.; Willers, J.; et al. A vaccine against nicotine for smoking cessation: A randomized controlled trial. PLoS ONE 2008, 3, e2547. [Google Scholar] [CrossRef] [PubMed]
- Hatsukami, D.K.; Jorenby, D.E.; Gonzales, D.; Rigotti, N.A.; Glover, E.D.; Oncken, C.A.; Tashkin, D.P.; Reus, V.I.; Akhavain, R.C.; Fahim, R.E.; et al. Immunogenicity and smoking-cessation outcomes for a novel nicotine immunotherapeutic. Clin. Pharmacol. Ther. 2011, 89, 392–399. [Google Scholar] [CrossRef] [PubMed]
- Hoogsteder, P.H.; Kotz, D.; van Spiegel, P.I.; Viechtbauer, W.; Brauer, R.; Kessler, P.D.; Kalnik, M.W.; Fahim, R.E.; van Schayck, O.C. The efficacy and safety of a nicotine conjugate vaccine (NicVAX®) or placebo co-administered with varenicline (Champix®) for smoking cessation: Study protocol of a phase IIb; double blind; randomized; placebo-controlled trial. BMC Public Health 2012, 12, 1052. [Google Scholar] [CrossRef]
- Bennett, L. Vaccines in trials for nicotine cessation therapy. JAAPA 2013, 26, 55–56. [Google Scholar] [CrossRef] [PubMed][Green Version]
- Havermans, A.; Vuurman, E.F.; van den Hurk, J.; Hoogsteder, P.; van Schayck, O.C. Treatment with a nicotine vaccine does not lead to changes in brain activity during smoking cue exposure or a working memory task. Addiction 2014, 109, 1260–1267. [Google Scholar] [CrossRef] [PubMed]
- Hoogsteder, P.H.; Kotz, D.; van Spiegel, P.I.; Viechtbauer, W.; van Schayck, O.C. Efficacy of the nicotine vaccine 3′-AmNic-rEPA (NicVAX) co-administered with varenicline and counselling for smoking cessation: A randomized placebo-controlled trial. Addiction 2014, 109, 1252–1259. [Google Scholar] [CrossRef] [PubMed]
- Wolters, A.; de Wert, G.; van Schayck, O.; Horstman, K. Constructing a trial as a personal lifestyle change project: Participants’ experiences in a clinical study for nicotine vaccination. Soc. Sci. Med. 2014, 104, 116–123. [Google Scholar] [CrossRef]
- Tonstad, S.; Heggen, E.; Giljam, H.; Lagerbäck, P.Å.; Tønnesen, P.; Wikingsson, L.D.; Lindblom, N.; de Villiers, S.; Svensson, T.H.; Fagerström, K.O. Niccine®; a nicotine vaccine; for relapse prevention: A phase II; randomized; placebo-controlled; multicenter clinical trial. Nicotine Tob. Res. 2013, 15, 1492–1501. [Google Scholar] [CrossRef] [PubMed]
- Esterlis, I.; Hannestad, J.O.; Perkins, E.; Bois, F.; D’Souza, D.C.; Tyndale, R.F.; Seibyl, J.P.; Hatsukami, D.M.; Cosgrove, K.P.; O’Malley, S.S. Effect of a nicotine vaccine on nicotine binding to β2*-nicotinic acetylcholine receptors in vivo in human tobacco smokers. Am. J. Psychiatry 2013, 170, 399–407. [Google Scholar] [CrossRef] [PubMed]
- De, B.P.; Pagovich, O.E.; Hicks, M.J.; Rosenberg, J.B.; Moreno, A.Y.; Janda, K.D.; Koob, G.F.; Worgall, S.; Kaminsky, S.M.; Sondhi, D.; et al. Disrupted adenovirus-based vaccines against small addictive molecules circumvent anti-adenovirus immunity. Hum. Gene Ther. 2013, 24, 58–66. [Google Scholar] [CrossRef] [PubMed]
- Hu, Y.; Zheng, H.; Huang, W.; Zhang, C. A novel and efficient nicotine vaccine using nano-lipoplex as a delivery vehicle. Hum. Vaccines Immunother. 2014, 10, 64–72. [Google Scholar] [CrossRef]
- Meijler, M.M.; Matsushita, M.; Altobell, L.J., 3rd; Wirsching, P.; Janda, K.D. A new strategy for improved nicotine vaccines using conformationally constrained haptens. J. Am. Chem. Soc. 2003, 125, 7164–7165. [Google Scholar] [CrossRef] [PubMed]
- Zeigler, D.F.; Roque, R.; Clegg, C.H. Construction of an enantiopure bivalent nicotine vaccine using synthetic peptides. PLoS ONE 2017, 12, e0178835. [Google Scholar] [CrossRef]
- Rosenberg, J.B.; De, B.P.; Hicks, M.J.; Janda, K.D.; Kaminsky, S.M.; Worgall, S.; Crystal, R.G. Suppression of nicotine-induced pathophysiology by an adenovirus hexon-based antinicotine vaccine. Hum. Gene Ther. 2013, 24, 595–603. [Google Scholar] [CrossRef] [PubMed]
- Anton, B.; Leff, P. A novel bivalent morphine/heroin vaccine that prevents relapse to heroin addiction in rodents. Vaccine 2006, 24, 3232–3240. [Google Scholar] [CrossRef] [PubMed]
- Anton, B.; Salazar, A.; Flores, A.; Matus, M.; Marin, R.; Hernandez, J.A.; Leff, P. Vaccines against morphine/heroin and its use as effective medication for preventing relapse to opiate addictive behaviors. Hum. Vaccine 2009, 5, 214–229. [Google Scholar] [CrossRef]
- Barbosa-Méndez, S.; Matus-Ortega, M.; Hernandez-Miramontes, R.; Salazar-Juárez, A. Effect of the morphine/heroin vaccine on opioid and non-opioid drug-induced antinociception in mice. Eur. J. Pharmacol. 2021, 891, 173718. [Google Scholar]
- Barbosa-Méndez, S.; Matus-Ortega, M.; Hernandez-Miramontes, R.; Salazar-Juárez, A. The morphine/heroin vaccine decreased the heroin-induced antinociceptive and reinforcing effects in three inbred strains mouse. Int. Immunopharmacol. 2021, 98, 107887. [Google Scholar] [CrossRef] [PubMed]
- Barbosa-Méndez, S.; Matus-Ortega, M.; Hernandez-Miramontes, R.; Salazar-Juárez, A. The M3-TT vaccine decreases the antinociceptive effects of morphine and heroin in mice. Int. J. Ment. Health Addict. 2021, 21, 783–802. [Google Scholar] [CrossRef]
- Barbosa-Méndez, S.; Matus-Ortega, M.; Hernandez-Miramontes, R.; Salazar-Juárez, A. Synergistic immune and antinociceptive effects induced from the combination of two different vaccines against morphine/heroin in mouse. Hum. Vaccines Immunother. 2021, 17, 3515–3528. [Google Scholar] [CrossRef] [PubMed]
- Barbosa-Méndez, S.; Matus-Ortega, M.; Hernandez-Miramontes, R.; Salazar-Juárez, A. The effect of chronic stress on the immunogenicity and immunoprotection of the M6-TT vaccine in female mice. Physiol. Behav. 2023, 271, 114345. [Google Scholar]
- Barbosa-Méndez, S.; Matus-Ortega, M.; Hernandez-Miramontes, R.; Salazar-Juárez, A. COT-TT vaccine attenuates cocaine-seeking and cocaine-conditioned place preference in rats. Hum. Vaccines Immunother. 2024, 20, 2299068. [Google Scholar] [CrossRef] [PubMed]
- Pravetoni, M.; Le Naour, M.; Harmon, T.M.; Tucker, A.M.; Portoghese, P.S.; Pentel, P.R. An oxycodone conjugate vaccine elicits drug-specific antibodies that reduce oxycodone distribution to brain and hot-plate analgesia. J. Pharmacol. Exp. Ther. 2012, 341, 225–232. [Google Scholar] [CrossRef]
- Barbosa-Méndez, S.; Salazar-Juárez, A. Mirtazapine attenuates nicotine-seeking behavior in rats. J. Psychopharmacol. 2018, 32, 1010–1017. [Google Scholar] [CrossRef] [PubMed]
- Salazar-Juárez, A.; Barbosa-Méndez, S.; Jurado, N.; Hernández-Miramontes, R.; Leff, P.; Antón, B. Mirtazapine prevents induction and expression of cocaine-induced behavioral sensitization in rats. Prog. Neuro-Psychopharmacol. Biol. Psychiatry 2016, 68, 15–24. [Google Scholar] [CrossRef] [PubMed]
- Barbosa-Méndez, S.; Jurado, N.; Matus-Ortega, M.; Martiñon, S.; Heinze, G.; Salazar-Juárez, A. Mirtazapine attenuates the expression of nicotine-induced locomotor sensitization in rats. Eur. J. Pharmacol. 2017, 812, 28–37. [Google Scholar] [CrossRef] [PubMed]
- de Villiers, S.H.L.; Lindblom, N.; Kalayanov, G.; Gordon, S.; Baraznenok, I.; Malmerfelt, A.; Marcus, M.M.; Johansson, A.M.; Svensson, T.H. Nicotine hapten structure; antibody selectivity and effect relationships: Results from a nicotine vaccine screening procedure. Vaccine 2010, 28, 2161–2168. [Google Scholar] [CrossRef] [PubMed]
- Chen, X.; Pravetoni, M.; Bhayana, B.; Pentel, P.R.; Wu, M.X. High immunogenicity of nicotine vaccines obtained by intradermal delivery with safe adjuvants. Vaccine 2012, 31, 159–164. [Google Scholar] [CrossRef]
- Miller, K.D.; Roque, R.; Clegg, C.H. Novel Anti-Nicotine Vaccine Using a Trimeric Coiled-Coil Hapten Carrier. PLoS ONE 2014, 9, e114366. [Google Scholar] [CrossRef] [PubMed]
- Hoogsteder, P.; van Merrebach, M.; Otters, M.; van Schayck, O.; Kotz, D. Exploring Smokers’ Knowledge and Expectations Toward Nicotine Vaccination: A Qualitative Study. Subst. Use Misuse 2014, 49, 87–94. [Google Scholar] [CrossRef]
- Bayart, C.; Mularoni, A.; Hemmani, N.; Kerachni, S.; Jose, J.; Gouet, P.; Paladino, J.; Le Borgne, M. Tetanus toxin fragment C: Structure; drug discovery research and production. Pharmaceuticals 2022, 15, 756. [Google Scholar] [CrossRef]
- Arora, R.; Haile, C.N.; Kosten, T.A.; Wu, Y.; Ramakrishnan, M.; Hawkins, L.D.; Orson, F.M.; Kosten, T.R. Preclinical efficacy of an anti-methamphetamine vaccine using E6020 adjuvant. Am. J. Addict. 2019, 28, 119–126. [Google Scholar] [CrossRef] [PubMed]
- Barrientos, R.C.; Whalen, C.; Torres, O.B.; Sulima, A.; Bow, E.W.; Komla, E.; Beck, Z.; Jacobson, A.E.; Rice, K.C.; Matyas, G.R. Bivalent conjugate vaccine induces dual immunogenic response that attenuates heroin and fentanyl effects in mice. Bioconjug. Chem. 2021, 32, 2295–2306. [Google Scholar] [CrossRef] [PubMed]
- Zhao, Z.; Hu, Y.; Harmon, T.; Pentel, P.R.; Ehrich, M.; Zhang, C. Hybrid nanoparticle-based nicotine nanovaccines: Boosting the immunological efficacy by conjugation of potent carrier proteins. Nanomedicine 2018, 14, 1655–1665. [Google Scholar] [CrossRef] [PubMed]
- Barbosa-Méndez, S.; Leff, P.; Arías-Caballero, A.; Hernández-Miramontes, R.; Heinze, G.; Salazar-Juárez, A. Mirtazapine attenuates cocaine seeking in rats. J. Psychiatr. Res. 2017, 92, 38–46. [Google Scholar] [CrossRef]
- Barbosa-Méndez, S.; Salazar-Juárez, A. Evaluation of multitarget drugs on the expression of cocaine-induced locomotor sensitization in male rats: A comparative study. Heliyon 2024, 10, e29979. [Google Scholar] [CrossRef] [PubMed]
- Barbosa-Méndez, S.; Perez-Sánchez, G.; Salazar-Juárez, A. Vortioxetine treatment decreases cocaine-induced locomotor sensitization in rats. Physiol. Behav. 2022, 257, 113989. [Google Scholar] [CrossRef] [PubMed]
- Barbosa-Méndez, S.; Perez-Sánchez, G.; Salazar-Juárez, A. Agomelatine decreases cocaine-induced locomotor sensitisation and dopamine release in rats. World J. Biol. Psychiatry 2023, 24, 400–413. [Google Scholar] [CrossRef] [PubMed]



Disclaimer/Publisher’s Note: The statements, opinions and data contained in all publications are solely those of the individual author(s) and contributor(s) and not of MDPI and/or the editor(s). MDPI and/or the editor(s) disclaim responsibility for any injury to people or property resulting from any ideas, methods, instructions or products referred to in the content. |
© 2025 by the authors. Licensee MDPI, Basel, Switzerland. This article is an open access article distributed under the terms and conditions of the Creative Commons Attribution (CC BY) license (https://creativecommons.org/licenses/by/4.0/).
Share and Cite
Barbosa Méndez, S.; Salazar-Juárez, A. NIC6-TT Vaccine Reduces Nicotine-Seeking Behavior and Expression of Nicotine-Induced Locomotor Sensitization in Rats. Brain Sci. 2025, 15, 364. https://doi.org/10.3390/brainsci15040364
Barbosa Méndez S, Salazar-Juárez A. NIC6-TT Vaccine Reduces Nicotine-Seeking Behavior and Expression of Nicotine-Induced Locomotor Sensitization in Rats. Brain Sciences. 2025; 15(4):364. https://doi.org/10.3390/brainsci15040364
Chicago/Turabian StyleBarbosa Méndez, Susana, and Alberto Salazar-Juárez. 2025. "NIC6-TT Vaccine Reduces Nicotine-Seeking Behavior and Expression of Nicotine-Induced Locomotor Sensitization in Rats" Brain Sciences 15, no. 4: 364. https://doi.org/10.3390/brainsci15040364
APA StyleBarbosa Méndez, S., & Salazar-Juárez, A. (2025). NIC6-TT Vaccine Reduces Nicotine-Seeking Behavior and Expression of Nicotine-Induced Locomotor Sensitization in Rats. Brain Sciences, 15(4), 364. https://doi.org/10.3390/brainsci15040364

