Next Article in Journal
Mindfulness-Based Intervention Effects on EEG and Executive Functions: A Systematic Review
Previous Article in Journal
Murine Non-Transgenic Models of Alzheimer’s Disease Pathology: Focus on Risk Factors
 
 
Font Type:
Arial Georgia Verdana
Font Size:
Aa Aa Aa
Line Spacing:
Column Width:
Background:
Article

Can the Neutrophil-to-Lymphocyte Ratio, Platelet-to-Lymphocyte Ratio, and C-Reactive Protein-to-Albumin Ratio Always Predict Mortality in Acute Ischemic Stroke Patients Undergoing Mechanical Thrombectomy? A Single-Center Experience

by
Şennur Delibaş Katı
* and
Firdevs Ezgi Uçan Tokuç
Department of Neurology, University of Health Sciences, Antalya Training and Research Hospital, 07100 Antalya, Türkiye
*
Author to whom correspondence should be addressed.
Brain Sci. 2025, 15(3), 323; https://doi.org/10.3390/brainsci15030323
Submission received: 2 February 2025 / Revised: 17 March 2025 / Accepted: 19 March 2025 / Published: 20 March 2025

Abstract

Background: Predicting mortality in patients with acute ischemic stroke who need endovascular treatment (EVT) has previously been shown to be related to inflammation. In this study, we aimed to examine the effects of the neutrophil-to-lymphocyte ratio (NLR), platelet-to-lymphocyte ratio (PLR), and hypersensitive C-reactive protein-to-albumin ratio (CAR) values on mortality and hemorrhagic transformation. Methods: A total of 225 adult patients who underwent EVT between 2022 and 2024 were retrospectively analyzed. The presence of intracranial hemorrhage (ICH) after the procedure; good and poor clinical outcomes according to modified Rankin Scores; mortality status; and NLR, PLR, and CAR values were collected. Results: The average age of the patients was 66.95 ± 12.74 years, and 133 (59.1%) patients were male. Thirty-eight (30.4%) patients had symptomatic ICH. While 164 (72.9%) patients had a poor outcome, 80 (35.6%) patients died. There was a correlation between the NLR and PLR values and symptomatic ICH (p = 0.013, 0.009, respectively) in the univariate analysis, but this relationship was not found in the multivariate analyses (p: 0.212 and p: 0.459). No statistically significant relationship was observed between the CAR and symptomatic ICH and mortality (p = 0.784, 0.079, respectively). When the laboratory data were compared according to the mortality status, the NLR and PLR were observed to be statistically significantly higher in the patients with mortality (p < 0.001, 0.005, respectively) in univariate analyses. But, as a result, the NLR, PLR, and CAR were not associated with ICH and mortality according to the multivariable logistic regression analysis. Conclusions: Our findings highlight the need to better understand the post-stroke immune response. Our study demonstrated that the NLR, PLR, and CAR were not associated with ICH and mortality according to the multivariable logistic regression analysis.

1. Introduction

Large vessel occlusion (LVO) is responsible for approximately 20% of acute ischemic stroke cases [1]. Endovascular therapies (EVTs) have been proven to be effective and are increasingly used in acute ischemic stroke caused by large vessel occlusion [2,3]. However, it is known that not every patient with successful reperfusion has a good clinical outcome. There may be many reasons for this. Conditions such as procedure time, technique, number of passes, and the presence of hemorrhagic transformation have a negative impact on mortality despite successful reperfusion [4]. Besides EVT-related causes, many studies have previously focused on the relationship between ischemic stroke and inflammation [5,6]. Studies have shown that the rapid activation of inflammation and immune response occurs as a result of the disruption of the blood–brain barrier after ischemic stroke [7]. As a result, it has been observed that there is a tendency for hemorrhagic transformation [8]. For this reason, laboratory parameters indicating inflammation have been searched for and the idea that different biomarkers can be used in this field has emerged. Some of these are the neutrophil-to-lymphocyte ratio (NLR), platelet-to-lymphocyte ratio (PLR), and hypersensitive C-reactive protein-to-albumin ratio (CAR), which are thought to predict mortality [9,10,11]. It is also important to determine these effects in an easy and cheap way.
Our stroke center accepts patients from many large districts and two surrounding provinces and consists of different patient groups. Most of the patients who come to our center and undergo EVT are followed up with in our Neurology Intensive Care Unit. In this study, we aimed to examine the effects of the NLR, PLR, and CAR values on mortality and hemorrhagic transformation in patients with acute ischemic stroke who underwent EVT.

2. Materials and Methods

2.1. Study Population and Study Design

All patients hospitalized in the Neurology Intensive Care Unit of Antalya Training and Research Hospital between February 2022 and August 2024 were retrospectively scanned. A total of 225 patients over 18 years of age who underwent EVT for internal carotid artery (ICA), middle cerebral artery (MCA), and basilar artery occlusion due to acute ischemic stroke and whose door-to-needle time was less than 24 h were included in the study. Door-to-needle time for anterior circulation stroke is a maximum of 6 h while it is 24 h for posterior circulation stroke. Medium vessel occlusions such as those of the posterior cerebral artery and anterior cerebral artery were not included in the study. We included patients who were hospitalized in the Neurology Intensive Care Unit of our hospital. The other patients who were referred to other intensive care units or hospitals were not included because of the lacking data during follow-up.
Patients with missing laboratory data (98 patients); patients for whom neuroimaging could not be performed after EVT (36 patients); patients with an infective condition before the procedure (24 patients); patients with a recent operation history (18 patients); patients with a history of malignancy (46 patients), hematological, or rheumatological diseases (16 patients); patients on immunosuppressive treatment (23 patients); and patients with a history of stroke within the last month (33 patients) were excluded from the study. Since a considerable number of patients did not have regular antiaggregant or anti-coagulant use, we could not use these data for statistical analysis.
The interventionalists are blinded to both the laboratory findings and clinical outcomes either.

2.2. Clinical Assessments

In our clinic, full blood, biochemistry and coagulation tests are routinely performed before EVT and within the first 24 h after EVT. Additionally, patients treated with EVT are followed up on with brain computerized tomography (CT) 4–24 h after the procedure. If clinical worsening is observed, brain CT is repeated. In addition, cranial magnetic resonance imaging is performed on all patients who do not have any objections to the imaging.
The following covariates were included in the analysis: demographic variables (age and gender), clinical parameters (NIHSS score, mRS score, and ASPECT score), stroke-related variables (LVO localization (ICA, MCA, and basilar artery), IV-tPA administration, and mTICI score), laboratory values (neutrophil-to-lymphocyte ratio [NLR], platelet-to-lymphocyte ratio [PLR], C-reactive protein-to-albumin ratio [CAR], hemoglobin, white blood cell count, platelet count, and albumin levels).
Medical data of 225 patients included demographic data, vascular risk factors, National Institutes of Health Stroke Scale (NIHSS), LVO localization, history of intravenous thrombolytic therapy (IV-tPA), Alberta Stroke Program Early CT (ASPECT) score, and modified Rankin Score (mRS), and data on modified Treatment In Cerebral Infarction (mTICI) scores were collected. mRS scores were divided into two groups: between 0 and 2 was categorized as good clinical outcomes and between 3 and 6 as poor clinical outcomes. The ASPECT scores of the patients were divided into 2 groups: 0–6 and 7–10. All these scorings were performed by one neurologist. Symptomatic intracranial hemorrhage (ICH) is defined as a worsening of ≥4 points in the NIHHS total score or ≥2 points in an NIHSS category, excluding other causes according to Heidelberg standards [12]. Hemoglobin, white blood cell count, neutrophil, platelet, lymphocyte, and monocyte numbers as well as CRP and albumin values were recorded from the blood samples taken from the patients. NLR was calculated as neutrophil/lymphocyte count, PLR as platelet/lymphocyte count, CAR as hypersensitive C-reactive protein/albumin value.

2.3. Statistical Analysis

Data were analyzed using IBM SPSS v23 and version 4.4.1 of the R programming language. Pearson’s Chi-square test and Yates’s correction were used to examine the relationship between categorical variables. In order to evaluate the effect of multiple independent variables on the dependent variable, univariate and multivariate analyses were conducted. The Mann–Whitney U test was used to compare non-normally distributed data according to binary groups, and the independent two-sample t test was used to compare normally distributed data. The cut-off value of the parameters to distinguish mortality and bleeding was examined by ROC analysis. The effects of independent variables on mortality and bleeding were examined by binary logistic regression analysis. Mean ± standard deviation and median (minimum–maximum) were used to display quantitative data. Frequency and percentage were used to display categorical data. The significance level was taken as p < 0.05.

3. Results

All patients hospitalized in the Neurology Intensive Care Unit of Antalya Training and Research Hospital between 2022 and 2024 were retrospectively analyzed. In total, 225 patients who underwent EVT due to acute ischemic stroke and who were eligible according to the appropriate criteria were included in the study.
The average age of the patients was 66.95 ± 12.74 years, and 133 (59.1%) patients were male. The median NIHHS was 15.15 (62.3%) patients received EVT alone, and 96 (37.6%) patients received IV-tPA together with EVT (Table 1). Type 1 hemorrhagic transformation was observed in 56 (24.9%) patients, type 2 hemorrhagic transformation was observed in 39 (17.3%) patients, parenchymal hematoma type 1 in 15 (6.7%) patients, and parenchymal hematoma type 2 in 15 (6.7%) patients. Symptomatic ICH was observed in 38 (30.4%) patients. A total of 80 (35.6%) patients died (Table 1).
When the patients were divided into two groups according to the presence of ICH, male gender was statistically higher in the ICH group (p = 0.013). It was also observed that the mRS scores were higher and death was observed at a higher rate in the ICH group (p = 0.007, <0.001, respectively) (Table 2). When the laboratory data of the patients with and without ICH were compared, the NLR values were observed to be statistically significantly higher in the ICH group (p = 0.015). No statistical difference was observed between the PLR and CAR values in the patients with and without ICH (p = 0.105, 0.815, respectively) (Table 3).
When the laboratory data were compared according to the mortality status, the NLR and PLR were observed to be statistically significantly higher in the patients with mortality (p < 0.001, 0.005, respectively) (Table 4). When the patients were grouped according to good and bad clinical outcomes according to the mRS, the NLR and PLR values were statistically significantly higher in the poor clinical outcome group (p < 0.001, p < 0.001, respectively). The CAR values did not differ for the good and poor clinical outcomes and mortality (p = 0.137) (Table 5).
The risk factors affecting the development of ICH were examined through a binary logistic regression analysis, and the effect of high NLR values on ICH was observed in univariate analyses (p = 0.009) (Table 6). The relationship between symptomatic ICH and the NLR, PLR, and CAR were evaluated and it was observed that an increase in the NLR and PLR values increased the risk of symptomatic ICH (p = 0.013, 0.009, respectively). No statistically significant relationship was observed between the CAR and symptomatic ICH (p = 0.784) (Table 7). While the factors affecting mortality were examined, it was observed that the inflammatory parameters NLR and PLR had an effect on mortality (p < 0.001, 0.003, respectively) (Table 8) but just in the univariate analyses. In the multivariate analyses, this result was not significant. The NLR, PLR, and CAR were not associated with ICH and mortality according to the multivariable logistic regression analysis. It is essential to mention this because these immune markers seem to be related to mortality and hemorrhage in previous literature, but, in our study, we demonstrated that there is no significant relationship at all.
A cut-off value of the NLR parameter was found for ICH (p = 0.015) according to the ROC analyses of the inflammatory parameter evaluation to distinguish bleeding and mortality. For mortality, a cut-off value of the NLR and PLR values was obtained (<0.001, 0.005, respectively) (Table 9 and Table 10, Figure 1 and Figure 2). But the multivariate analyses did not support this effect. Compared to clinically proven scores such as mTICI, MRS, and NIHSS, the relationship between these immune markers and hemorrhage and mortality is weaker. In fact, unlike the univariate analyses, our findings indicate that these markers have no clinical significance according to multivariate analyses.

4. Discussion

EVT in acute ischemic stroke is proven to be efficient both for mortality and morbidity. However, sometimes, reperfusion is not adequate even when total recanalization is achieved. There are some causes of this situation related to both procedural and nonprocedural processes. The nonprocedural process of bad outcomes seems to be related to inflammation, as mentioned in the previous literature. While seeking appropriate markers, the investigators found some cheap and easily evaluated laboratory parameters such as the NLR, PLR, and CAR [10,11].
Inflammation plays an important role in the underlying mechanisms that cause early neurological deterioration, such as hemorrhagic transformation and brain edema, which develop after ischemic stroke [13,14]. After ischemic stroke, following the reactivation of macrophages, the disruption of the blood–brain barrier and migration of peripheral immune cells to the ischemic area begins. Cytotoxic mediators produced by leukocytes during the acute phase cause increased capillary permeability, the development of edema, hemorrhagic transformation after endothelial damage, and the exacerbation of ischemia. In addition, ischemic stroke induces lymphopenia through mechanisms involving complex neurohormonal responses, and this contributes to hemorrhagic transformation [13,14,15,16]. One of the most important results of our study is that, although the NLR values were observed to be associated with intracranial hemorrhage and mortality after EVT in acute stroke in univariate analysis, it was observed that it was not an indicator of hemorrhage and mortality when evaluated multivariably with many factors such as age and NIHSS and ASPECT scores. Therefore, unlike previous studies, it can be considered that the NLR is not a very strong prognosis predictor [15,17]. Many recent studies have examined the relationship of NLR, PLR, and CAR values with prognosis, mortality, and morbidity in cerebrovascular disease [15,17,18,19,20]. Pikija et al., in a study examining 187 patients who underwent EVT for acute ischemic stroke, found the NLR to be an independent predictor of the development of intracranial hemorrhage after EVT [16]. In a study by Lattanzi et al., high NLR values were found to be associated with early neurological deterioration [15].
Abnormalities in platelet function in acute ischemic stroke are seen with inflammation. Activated platelets interact with platelet-binding T lymphocyte cells, causing the production of cytokines, interferons, and chemokines, and prevent the healing of ischemia by changing adhesion molecules. In addition, reactive oxygen species that occur with ischemia increase the risk of hemorrhagic transformation. In many studies, an increased PLR has been associated with the risk of mortality in ischemic stroke both after IV-tPA and after EVT [16,18,20,21,22,23]. Although many studies conducted to date support the relationship between the PLR and symptomatic ICH, in a review by Sharma et al., the contradiction between the PLR and ICH was mentioned and it was argued that the etiology of ischemic stroke may affect the relationship between the PLR and ICH [18]. Diestro et al. reported that the PLR was not significantly associated with symptomatic ICH. Again, Eren et al. studied the relationship between the PLR and hemorrhagic transformation after IV-tPA in acute ischemic stroke and no connection was observed. Similar results were found in a study by İnanç et al. [18,24,25,26]. In our study, while no relationship was observed between the PLR and all types of intracranial hemorrhage, a relationship was observed between the PLR and symptomatic intracranial hemorrhage. Based on this, we thought that the PLR could be a marker of clinical worsening in patients with symptomatic ICH. ICH may also occur in ischemic stroke due to etiology or other causes even without IV-tPA and EVT. Even though these biomarkers seem to be related to mortality and hemorrhage according to our results, the AUC values have moderate predictive ability.
Another important result of our study is that there was no relationship between the CAR values and intracranial hemorrhage and mortality, unlike other studies in the literature. The CAR is the ratio of CRP to albumin, and rising CRP levels and decreasing albumin concentrations cause an increase in the CAR. Interleukin-6 secreted after stroke causes CRP production. Secreted CRP ensures the removal of damaged cells. Albumin is an important protein in the human body and its blood levels reflect the nutritional status. It is also a negative acute phase reactant. With inflammation, hepatic protein synthesis changes and albumin production decreases [10,27].
The relationship of the CAR with prognosis and mortality in many diseases, including stroke, has been studied [19,28,29]. It was noteworthy that, in our study, contrary to these studies, the CAR values were found to be unrelated to ICH and mortality. Similar results were found in a study conducted by Acır et al., which included 139 patients [30]. Previous studies have argued that the lack of a significant relationship in hemorrhagic stroke patients suggests that hemorrhagic strokes may involve different pathological processes, and that the prognostic importance of the CAR is less clear compared to its role in ischemic strokes [31]. Our study has an impact on this evaluation according to our findings.
In addition to these findings, our study has some limitations. First of all, this is a single-center study. Although the number of patients seems to be much higher than that in similar studies in this field, we recommend multicenter studies following the unique findings of our study. Secondly, only patients hospitalized in the Neurology Intensive Care Unit were included in this study. Patients hospitalized in other intensive care units or transferred elsewhere due to a lack of space were not included in the study. Another limitation is that the indications and procedure techniques of the EVT practitioners were not clearly documented. We also did not have the opportunity to evaluate the correlation between etiological factors and inflammation because of the number of patients referred to us from other districts or cities. Our study included 225 patients, but the number of symptomatic ICH cases (n = 38) and mortality events (n = 80) suggests potential power limitations for our subgroup analyses. The relatively low number of symptomatic hemorrhages may have affected the relationship between the CAR and prognosis. Also, analyzing whether the predictive value of the NLR, PLR, and CAR differed between the patients treated with EVT alone and the patients receiving IV-tPA in combination with EVT would have provided valuable information about potential interactions between systemic thrombolysis and these inflammatory markers. But the referred patients were an important aspect in our study. We do not know when they received IV-tPA, why they did not receive it if they did not receive it, or whether they completed this treatment, so we did not use these data as they may not have been reliable. The evaluation of other well-established scores such as the Systemic Inflammation Index (SII) and Systemic Inflammatory Response Index (SIRI) or biomarkers such as interleukin-6 (IL-6), interleukin-1 (IL-1), and D-dimer could have had an impact on our findings, but our study did not include these data.

5. Conclusions

Our findings in a medium-sized retrospective cohort highlight the need to better understand the post-stroke immune response and confirm that the NLR and PLR can be used as potential biomarkers in post-EVT mortality, the NLR in ICH, and the PLR in symptomatic ICH. In addition, the fact that similar findings to those of previous research regarding the CAR were not obtained in our study suggests that different mechanisms may be involved. It is important to understand the underlying mechanisms of inflammation in order to predict prognosis. Compared to clinically proven scores such as mTICI, mRS, and NIHSS, the relationship between these immune markers and hemorrhage and mortality is weaker. In fact, unlike the univariate analyses, our findings indicate that these markers have no clinical significance according to multivariate analyses.
All of these biomarkers seem to be related to inflammation in stroke-related hemorrhage and mortality, but because of the nature of inflammation, which can be affected by various factors, these biomarkers are not as valuable as mTICI, mRS, and NIHSS scores.

Author Contributions

Conceptualization, Ş.D.K. and F.E.U.T.; methodology, Ş.D.K. and F.E.U.T.; software, Ş.D.K. and F.E.U.T.; validation, Ş.D.K. and F.E.U.T.; formal analysis, Ş.D.K. and F.E.U.T.; investigation, Ş.D.K. and F.E.U.T.; resources, Ş.D.K.; data curation, F.E.U.T.; writing—original draft preparation, Ş.D.K. and F.E.U.T.; writing and editing, Ş.D.K. and F.E.U.T.; visualization, Ş.D.K. and F.E.U.T.; supervision, Ş.D.K. and F.E.U.T.; project administration, Ş.D.K. and F.E.U.T.; funding acquisition, Ş.D.K. and F.E.U.T. All authors have read and agreed to the published version of the manuscript.

Funding

This research received no external funding.

Institutional Review Board Statement

This study was conducted in accordance with the Declaration of Helsinki and approved by the Institutional Review Board (or Ethics Committee) of the University of Antalya Training and Research Hospital (2024–054) on 14 April 2024.

Informed Consent Statement

Patient consent was waived due to the retrospective nature of our investigation.

Data Availability Statement

The original contributions presented in the study are included in this article; further inquiries can be directed to the corresponding author.

Conflicts of Interest

The authors declare no conflicts of interest.

Abbreviations

The following abbreviations are used in this manuscript:
LVOLarge vessel occlusion
EVTEndovascular therapies
NLRNeutrophil/lymphocyte ratio
PLRPlatelet/lymphocyte ratio
CARCRP/albumin ratio
ICAInternal carotid artery
MCAMiddle carotid artery
CTComputerized tomography
NIHSSNational Institutes of Health Stroke Scale
IV-tPAIntravenous thrombolytic therapy
ASPECTSAlberta Stroke Program Early CT Score
mRSModified Rankin Score
ICHIntracranial hemorrhage
TOASTTrial of ORG 10172 in Acute Stroke Treatment
mTICITreatment In Cerebral Infarction

References

  1. Khandelwal, P.; Yavagal, D.; Sacco, R. Acute Ischemic Stroke Intervention. J. Am. Coll. Cardiol. 2016, 67, 2631–2644. [Google Scholar] [CrossRef]
  2. Goyal, M.; Menon, B.K.; van Zwam, W.H.; Dippel, D.W.J.; Mitchell, P.J.; Demchuk, A.M.; Dávalos, A.; Majoie, C.B.L.M.; Lugt, A.; Miquel, M.A.; et al. Endovascular thrombectomy after large-vessel ischaemic stroke: A meta-analysis of individual patient data from five randomised trials. Lancet 2016, 387, 1723–1731. [Google Scholar] [CrossRef]
  3. Wu, Y.; Su, R.; Feng, X.; Mao, A.; Nguyen, T.N.; Cai, L.; Li, Q.; Guo, Q.; Yang, Q.; Sang, H.; et al. Long-term outcome of endovascular thrombectomy in patients with acute ischemic stroke: A systematic review and meta-analysis. J. Neurol. 2025, 272, 101. [Google Scholar] [CrossRef] [PubMed]
  4. Manno, C.; Disanto, G.; Bianco, G.; Nannoni, S.; Heldner, M.R.; Jung, S.; Arnold, M.; Kaesmacher, J.; Müller, M.; Thilemann, S.; et al. Outcome of endovascular therapy in stroke with large vessel occlusion and mild symptoms. Neurology 2019, 94, 1618–1626. [Google Scholar] [CrossRef] [PubMed]
  5. Petrovic-Djergovic, D.; Goonewardena, S.N.; Pinsky, D.J. Inflammatory Disequilibrium in Stroke. Circ. Res. 2016, 119, 142–158. [Google Scholar] [CrossRef] [PubMed]
  6. Shaik, N.F.; Regan, R.F.; Naik, U.P. Platelets as drivers of ischemia/reperfusion injury after stroke. Blood Adv. 2021, 5, 1576–1584. [Google Scholar] [CrossRef]
  7. Qiu, Y.M.; Zhang, C.L.; Chen, A.Q.; Wang, H.L.; Zhou, Y.F.; Li, Y.N.; Hu, B. Immune Cells in the BBB Disruption After Acute Ischemic Stroke: Targets for Immune Therapy? Front Immunol. 2021, 12, 678744. [Google Scholar] [CrossRef]
  8. Leigh, R.; Christensen, S.; Campbell, B.C.; Marks, M.P.; Albers, G.W.; Lansberg, M.G.; DEFUSE 2 Investigators. Pretreatment blood-brain barrier disruption and post-endovascular intracranial hemorrhage. Neurology 2016, 87, 263–269. [Google Scholar] [CrossRef]
  9. Ji, Y.; Xu, X.; Wu, K.; Sun, Y.; Wang, H.; Guo, Y.; Yang, K.; Xu, J.; Yang, Q.; Huang, X.; et al. Prognosis of Ischemic Stroke Patients Undergoing Endovascular Thrombectomy is Influenced by Systemic Inflammatory Index Through Malignant Brain Edema. Clin. Interv. Aging 2022, 17, 1001–1012. [Google Scholar] [CrossRef]
  10. de Liyis, B.G.; Ardhaputra, G.Y.B.; Liyis, S.; Wihandani, D.M.; Siahaan, Y.M.T.; Pinatih, K.J.P. High C-Reactive Protein/Albumin Ratio Predicts Mortality and Hemorrhage in Stroke Patients Undergoing Mechanical Thrombectomy: A Systematic Review and Meta-Analysis. World Neurosurg. 2024, 188, 211–219.e1. [Google Scholar] [CrossRef]
  11. Zawiah, M.; Hayat, K.A.; Abu Farha, R.; Usman, A.; Bitar, A.N. Neutrophil-lymphocyte ratio, monocyte-lymphocyte ratio, and platelet-lymphocyte ratio in stroke-associated pneumonia: A systematic review and meta-analysis. Curr. Med. Res. Opin. 2023, 39, 475–482. [Google Scholar] [CrossRef]
  12. von Kummer, R.; Broderick, J.P.; Campbell, B.C.; Demchuk, A.; Goyal, M.; Hill, M.D.; Treurniet, K.M.; Majoie, C.B.L.M.; Marquering, H.A.; Mazya, M.V.; et al. The Heidelberg Bleeding Classification: Classification of Bleeding Events After Ischemic Stroke and Reperfusion Therapy. Stroke 2015, 46, 2981–2986. [Google Scholar] [CrossRef]
  13. Iadecola, C.; Anrather, J. The immunology of stroke: From mechanisms to translation. Nat. Med. 2011, 17, 796–808. [Google Scholar] [CrossRef] [PubMed]
  14. Thanvi, B.; Treadwell, S.; Robinson, T. Early neurological deterioration in acute ischaemic stroke: Predictors, mechanisms and management. Postgrad. Med. J. 2008, 84, 412–417. [Google Scholar] [CrossRef]
  15. Lattanzi, S.; Norata, D.; Broggi, S.; Meletti, S.; Świtońska, M.; Słomka, A.; Silvestrini, M. Neutrophil-to-Lymphocyte Ratio Predicts Early Neurological Deterioration after Endovascular Treatment in Patients with Ischemic Stroke. Life 2022, 12, 1415. [Google Scholar] [CrossRef] [PubMed]
  16. Yang, Y.; Xie, D.; Zhang, Y. Increased Platelet-to-Lymphocyte Ratio is an Independent Predictor of Hemorrhagic Transformation and In-Hospital Mortality Among Acute Ischemic Stroke with Large-Artery Atherosclerosis Patients. Int. J. Gen. Med. 2021, 14, 7545–7555. [Google Scholar] [CrossRef] [PubMed]
  17. Pikija, S.; Sztriha, L.K.; Killer-Oberpfalzer, M.; Weymayr, F.; Hecker, C.; Ramesmayer, C.; Hauer, L.; Sellner, J. Neutrophil to lymphocyte ratio predicts intracranial hemorrhage after endovascular thrombectomy in acute ischemic stroke. J. Neuroinflammation. 2018, 15, 319. [Google Scholar] [CrossRef]
  18. Sharma, D.; Bhaskar, S.M.M. Prognostic Role of the Platelet-Lymphocyte Ratio in Acute Ischemic Stroke Patients Undergoing Reperfusion Therapy: A Meta-Analysis. J. Cent. Nerv. Syst. Dis. 2022, 14, 11795735221110373. [Google Scholar] [CrossRef]
  19. Peng, Q.; Hou, J.; Wang, S.; Zhou, F.; E, Y.; Wang, W.; Huang, T.; Huang, S.; Zhou, J.; Chen, N.; et al. Hypersensitive C-reactive protein-albumin ratio predicts symptomatic intracranial hemorrhage after endovascular therapy in acute ischemic stroke patients. BMC Neurol. 2021, 21, 47. [Google Scholar] [CrossRef]
  20. Ma, J.; Guo, W.; Xu, J.; Li, S.; Ren, C.; Wu, L.; Wu, C.; Li, C.; Chen, J.; Duan, J.; et al. Association of platelet-to-lymphocyte ratio and neutrophil-to-lymphocyte ratio with outcomes in stroke patients achieving successful recanalization by endovascular thrombectomy. Front. Neurol. 2022, 13, 1039060. [Google Scholar] [CrossRef]
  21. Lee, S.H.; Jang, M.U.; Kim, Y.; Park, S.Y.; Kim, C.; Kim, Y.J.; Sohn, J.H. The Neutrophil-to-Lymphocyte and Platelet-to-Lymphocyte Ratios Predict Reperfusion and Prognosis after Endovascular Treatment of Acute Ischemic Stroke. J. Pers. Med. 2021, 11, 696. [Google Scholar] [CrossRef] [PubMed]
  22. Yan, Y.K.; Huang, H.; Li, D.P.; Ai, Z.Y.; Li, X.; Sun, Z. Prognostic value of the platelet-to-lymphocyte ratio for outcomes of stroke: A systematic review and meta-analysis. Eur. Rev. Med. Pharmacol. Sci. 2021, 25, 6529–6538. [Google Scholar] [CrossRef] [PubMed]
  23. Sun, Y.Y.; Wang, M.Q.; Wang, Y.; Sun, X.; Qu, Y.; Zhu, H.J.; Wang, S.J.; Yan, X.L.; Jin, H.; Zhang, P.; et al. Platelet-to-lymphocyte ratio at 24h after thrombolysis is a prognostic marker in acute ischemic stroke patients. Front. Immunol. 2022, 13, 1000626. [Google Scholar] [CrossRef]
  24. Diestro, J.D.B.; Parra-Farinas, C.; Balas, M.; Zador, Z.; Almusalam, N.; Dmytriw, A.A.; Rajendram, P.; Phillips, R.; Alqabbani, A.; Qazi, E.; et al. Inflammatory Biomarkers and Intracranial Hemorrhage after Endovascular Thrombectomy. Can. J. Neurol. Sci. 2022, 49, 644–650. [Google Scholar] [CrossRef]
  25. Eren, F.; Demir, A.; Eren, G. The Platelet/Lymphocyte Ratio in Patients with Ischemic Stroke Treated with Intravenous Thrombolysis and Its Relationship with Mortality, Disability, and Prognosis. Istanbul. Med. J. 2021, 22, 161–167. [Google Scholar] [CrossRef]
  26. Inanc, Y.; Inanc, Y. The effects of neutrophil to lymphocyte and platelet to lymphocyte ratios on prognosis in patients undergoing mechanical thrombectomy for acute ischemic stroke. Ann. Ital. Chir. 2018, 89, 367–373. [Google Scholar] [PubMed]
  27. Akpınar, C.K.; Kocaturk, O.; Aykac, O.; Acar, B.A.; Dogan, H.; Onalan, A.; Acar, T.; Kocabas, Z.U.; Topaktas, B.; Gurkas, E.; et al. Can C-reactive protein/albumin ratio be a prognostic factor in acute stroke patients undergoing mechanical thrombectomy? Clin. Neurol. Neurosurg. 2023, 231, 107856. [Google Scholar] [CrossRef]
  28. Ulker, M.; Domac, S.F.; Demir, M.; Karacı, R. The Relationship of CRP/Albumin Ratio with Etiology and Prognosis in Acute Ischemic Stroke. Bosphorus Med. J. 2022, 9, 209–215. [Google Scholar] [CrossRef]
  29. Xu, T.; Xia, L.; Wu, Y.; Xu, Y.; Xu, X.; Zhang, W.; Zhou, C.; Fu, F.; Cao, Y.; Han, Z. High ratio of C-reactive protein to albumin is associated with hemorrhagic transformation and poor functional outcomes in acute ischemic stroke patients after thrombolysis. Front. Aging Neurosci. 2023, 15, 1109144. [Google Scholar] [CrossRef]
  30. Acır, I.; Erdogan, H.A.; Yazar, H.O.; Suskun, M.; Yayla, V. The relationship of laboratory values with prognosis in acute stroke recanalization treatment applied patients. Eur. Res. J. 2023, 9, 926–931. [Google Scholar] [CrossRef]
  31. Badem, S.; Yuksel, A.; Kilic, A.O.; Pekcolaklar, A.; Binicier, N.A.; Cetintas, D.; Coskun, M.; Ozgoz, H.M.; Velioglu, Y. Plasma Calcium Level and C-Reactive Protein Albumin Ratio Affect Severe Bleeding After Coronary Artery Bypass Grafting. Braz. J. Cardiovasc. Surg. 2023, 38, 20220378. [Google Scholar] [CrossRef] [PubMed]
Figure 1. ROC curve for NLR and PLR—mortality.
Figure 1. ROC curve for NLR and PLR—mortality.
Brainsci 15 00323 g001
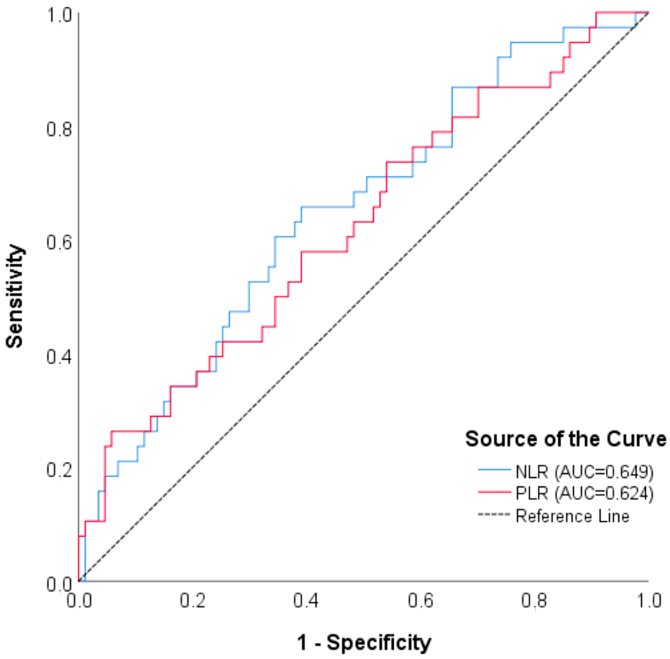
Figure 2. ROC curve for NLR and PLR—symptomatic ICH.
Figure 2. ROC curve for NLR and PLR—symptomatic ICH.
Brainsci 15 00323 g002
Table 1. Demographic findings.
Table 1. Demographic findings.
Average ± ssMedian (IQR)
Age66.95 ± 12.7468 (58–76)
NIHSS14.1 ± 4.9415 (10–18)
mRS3.8 ± 1.954 (2–6)
n%
Gender
  Male13359.1
  Female9240.9
ASPECTS
  0–66629.3
  7–1015970.7
TOAST classification
  Large vascular disease6729.8
  Cardioembolic11551.1
  Due to other reasons41.8
  Undetermined cause3917.3
mTICI
  02812.4
  1156.7
  2a3415.1
  2b4520
  2c167.1
  38738.7
Presence of ICH
  No10044.4
  Yes12555.6
ICH type
  Hemorrhagic transformation Type 15624.9
  Hemorrhagic transformation Type 23917.3
  Parenchymal hematoma type 1156.7
  Parenchymal hematoma type 2156.7
Symptomatic ICH
  No8769.6
  Yes3830.4
IV-tPA
  No4732.9
  Yes9667.1
mRS
  Good outcome6127.1
  Poor outcome16472.9
Mortality
  Death8035.6
  Survivors14564.4
Recanalization area
  Basilary artery229.8
  Right MCA6629.3
  Left MCA7031.1
  Right ICA2812.4
  Left ICA3917.3
IQR: interquartile range, NIHSS: National Institutes of Health Stroke Scale, mRS: modified Rankin Score, TOAST: Trial of ORG 10172 in Acute Stroke Treatment, ASPECTS: Alberta Stroke Program Early CT Score, mTICI: Treatment In Cerebral Infarction, ICH: intracranial hemorrhage, IV-tPA: intravenous thrombolysis, MCA: middle cerebral artery, ICA: internal carotid artery.
Table 2. The connection between ICH and categorical variables.
Table 2. The connection between ICH and categorical variables.
ICH (−)ICH (+)TotalTest Statisticsp Value
Gender
   Male50 (50)83 (66.4)133 (59.1)6.1820.013x
   Female50 (50)42 (33.6)92 (40.9)
ASPECTS
   0–625 (37.9)41 (62.1)66 (29.3)1.6310.202 x
   7–1075 (47.2)84 (52.8)159 (70.7)
Recanalization area
   Basilar artery13 (13)9 (7.2)22 (9.8)3.8070.433 x
   Right MCA26 (26)40 (32)66 (29.3)
   Left MCA29 (29)41 (32.8)70 (31.1)
   Right ICA15 (15)13 (10.4)28 (12.4)
   Left ICA17 (17)22 (17.6)39 (17.3)
mRS
   Good outcome36 (36)25 (20)61 (27.1)7.1970.007 x
   Poor outcome64 (64)100 (80)164 (72.9)
Mortality
   Death21 (21)59 (47.2)80 (35.6)16.643<0.001 x
   Survivors79 (79)66 (52.8)145 (64.4)
x Pearson’s Chi-square test; n (%). ICH: intracranial hemorrhage, ASPECTS: Alberta Stroke Program Early CT Score, MCA: middle cerebral artery, ICA: internal carotid artery, mRS: modified Rankin Score.
Table 3. Comparison of quantitative data according to ICH groups.
Table 3. Comparison of quantitative data according to ICH groups.
ICH (−)ICH (+)Test Statisticsp
Age (years)68 (30–92)68 (41–89)6077.0000.722 x
NIHSS14 (4–24)15 (3–24)5422.5000.088 x
Neutrophil8.29 (3.14–21.34)9.7 (1.9–18.34)4907.0000.006 x
Lymphocyte1.22 (0.2–5.58)1.1 (0.2–9.8)6981.5000.132 x
Platelet211 (113–647)229 (83–543)5826.0000.383 x
CRP7.9 (0.3–269.5)8.7 (0.9–221.1)6264.5000.977 x
Albumin35.69 ± 4.5236.59 ± 4.3−1.5180.131 y
NLR6.75 (0.97–41.41)9.29 (0.96–49.67) 5068.5000.015 x
PLR177.73 (31.18–779.59) 188.82 (17.35–1175)5463.5000.105 x
CAR0.22 (0.01–7.25)0.24 (0.02–6.5)6364.0000.815 x
x Mann–Whitney U test; y independent two-sample t test; mean ± s. deflection; median (minimum–maximum). ICH: intracranial hemorrhage, NIHSS: National Institutes of Health Stroke Scale, CRP: C-reactive protein, NLR: neutrophil/lymphocyte ratio, PLR: platelet/lymphocyte ratio, CAR: CRP/albumin ratio.
Table 4. Comparison of NLR, PLR, and CAR values according to mortality.
Table 4. Comparison of NLR, PLR, and CAR values according to mortality.
DeathSurvivorsTest Statisticsp
Age (years)69.3 ± 1265.65 ± 12.99−2.0730.039 x
NIHSS18 (5–24)13 (3–24)2833.500<0.001 y
Neutrophil10.4 (1.9–18)8.5 (3.14–21.34)4196.500<0.001 y
Lymphocyte0.99 (0.2–3.9)1.25 (0.2–9.8)7232.5000.002 y
Platelet224.5 (83–647)219 (114–507)5682.0000.802 y
CRP36.9 (20.9–44.4)36.5 (17.6–48.1)5844.0000.926 y
Albumin35.69 ± 4.5236.59 ± 4.3−1.5180.131 y
NLR11.64 (2.04–47.67)6.99 (0.96–49.67)7760.500<0.001 x
PLR207.28 (69.49–1175)171.43 (17.35–779.59)7119.5000.005 x
CAR0.27 (0.02–3.66)0.21 (0.01–7.25)6620.5000.079 x
x Mann–Whitney U test; y independent two-sample t test; mean ± s. deflection; median (minimum-maximum). NIHSS: National Institutes of Health Stroke Scale, CRP: C-reactive protein, NLR: neutrophil/lymphocyte ratio, PLR: platelet/lymphocyte ratio, CAR: CRP/albumin ratio.
Table 5. Comparison of NLR, PLR, and CAR values according to mRS groups.
Table 5. Comparison of NLR, PLR, and CAR values according to mRS groups.
Good OutcomePoor OutcomeTest Statisticsp
NLR5.58 (0.96–17.83)9.2 (0.97–49.67)3238.500<0.001 y
PLR132.86 (17.35–762.96)205.9 (31.18–1175)3164.500<0.001 y
CAR0.19 (0.01–6.84)0.24 (0.02–7.25)4356.5000.137 y
y Mann–Whitney U test; mean ± s. deflection; median (minimum–maximum). NLR: neutrophil/lymphocyte ratio, PLR: platelet/lymphocyte ratio, CAR: CRP/albumin ratio.
Table 6. Examination of risk factors affecting the development of ICH using binary logistic regression analysis.
Table 6. Examination of risk factors affecting the development of ICH using binary logistic regression analysis.
UnivariateMultiple
OR (%95 CI)pOR (%95 CI)p
Neutrophil1.112 (1.025–1.207)0.0111.054 (0.949–1.172)0.325
Lymphocyte0.866 (0.656–1.144)0.3101.079 (0.757–1.538)0.673
NLR1.056 (1.014–1.099)0.0091.059 (0.968–1.158)0.212
PLR1.002 (1–1.003)0.0811.001 (0.998–1.005)0.459
CAR0.859 (0.667–1.107)0.2410.834 (0.62–1.123)0.232
ASPECTS0.896 (0.766–1.048)0.1690.977 (0.811–1.176)0.804
mTICI
  0Reference
  11.5 (0.421–5.347)0.5321.626 (0.425–6.223)0.478
  2a0.889 (0.327–2.419)0.8181.399 (0.471–4.154)0.545
  2b1.5 (0.58–3.883)0.4033.082 (1.041–9.124)0.042
  2c1.667 (0.475–5.842)0.4254.12 (0.992–17.109)0.051
  31.289 (0.549–3.027)0.5593.139 (1.134–8.687)0.028
mRS1.288 (1.118–1.483)<0.0011.374 (1.133–1.666)0.001
NIHSS1.047 (0.992–1.105)0.0941.01 (0.949–1.075)0.751
Age1.008 (0.988–1.029)0.4311.014 (0.99–1.039)0.252
ICH: intracranial hemorrhage, NLR: neutrophil/lymphocyte ratio, PLR: platelet/lymphocyte ratio, CAR: CRP/albumin ratio, ASPECTS: Alberta Stroke Program Early CT score, mTICI: Treatment In Cerebral Infarction, mRS: modified Rankin Score, NIHSS: National Institutes of Health Stroke Scale.
Table 7. Examining the effect of NLR, PLR, and CAR on symptomatic ICH.
Table 7. Examining the effect of NLR, PLR, and CAR on symptomatic ICH.
UnivariateMultiple
OR (%95 CI)pOR (%95 CI)p
NLR1.058 (1.012–1.106)0.0131.013(0.931–1.103)0.759
PLR1.003 (1.001–1.005)0.0091.002 (0.998–1.006)0.254
CAR0.934 (0.573–1.522)0.7840.912 (0.543–1.53)0.726
ICH: intracranial hemorrhage, NLR: neutrophil/lymphocyte ratio, PLR: platelet/lymphocyte ratio, CAR: CRP/albumin ratio.
Table 8. Examination of risk factors affecting mortality using binary logistic regression analysis.
Table 8. Examination of risk factors affecting mortality using binary logistic regression analysis.
UnivariateMultiple
OR (%95 CI)pOR (%95 CI)p
Neutrophil1.148 (1.056–1.247)0.0010.942 (0.846–1.049)0.275
Lymphocyte0.618 (0.418–0.915)0.0161.034 (0.675 –1.584)0.877
NLR1.089 (1.045–1.136)<0.0010.924 (0.842–1.013)0.092
PLR1.003 (1.001–1.004)0.0031.003 (0.998–1.008)0.182
CAR1.072 (0.836–1.373)0.5840.857 (0.575–1.276)0.446
ASPECTS0.851 (0.725–1)0.0501.128 (0.84–1.515)0.423
mTICI
  0Reference
  10.172 (0.043–0.693)0.0130.075 (0.012–0.457)0.005
  2a0.227 (0.078–0.661)0.0070.226 (0.046–1.118)0.068
  2b0.153 (0.054–0.436)<0.0010.191 (0.042–0.863)0.031
  2c0.158 (0.04–0.629)0.0090.801 (0.077–8.319)0.853
  30.262 (0.106–0.649)0.0041.503 (0.362–6.24)0.575
mRS3.254 (2.376–4.457)<0.0014.066 (2.599–6.361)<0.001
NIHSS1.238 (1.151–1.332)<0.0011.289 (1.147–1.448)<0.001
Age1.024 (1.001–1.047)0.0411.03 (0.991–1.069)0.130
NLR: neutrophil/lymphocyte ratio, PLR: platelet/lymphocyte ratio, CAR: CRP/albumin ratio, ASPECTS: Alberta Stroke Program Early CT score, mTICI: Treatment in Cerebral Infarction, mRS: modified Rankin Score, NIHSS: National Institutes of Health Stroke Scale.
Table 9. ROC analysis results of parameters in distinguishing ICH and mortality.
Table 9. ROC analysis results of parameters in distinguishing ICH and mortality.
AUC (%95 CI)pCut-OffSensitivitySpecificityPPV (%)NPV (%)
ICHNLR0.595 (0.521–0.668)0.01510.1245.6%73%67.8%51.7%
PLR0.563 (0.488–0.638)0.105---------------
CAR0.491 (0.415–0.567)0.816---------------
MortalityNLR0.669 (0.592–0.746)<0.00110.5356.2%76.5%56.9%76%
PLR0.614 (0.535–0.692)0.005278.4138.7%84.1%57.4%71.3%
CAR0.571 (0.491–0.651)0.078---------------
PPV: positive predictive value, NPV: negative predictive value, direction of the test (≥), ICH: intracranial hemorrhage, NLR: neutrophil/lymphocyte ratio, PLR: platelet/lymphocyte ratio, CAR: CRP/albumin ratio. ---: For non-significant results, the “cut off” value could not be calculated and is therefore marked with “---”.
Table 10. ROC analysis results of NLR and PLR values in distinguishing symptomatic ICH.
Table 10. ROC analysis results of NLR and PLR values in distinguishing symptomatic ICH.
AUC (%95 CI)pCut-OffSensitivitySpecificityPPV (%)NPV (%)
NLR0.649 (0.545–0.752)0.0089.83365.79%60.92%42.37%80.30%
PLR0.624 (0.516–0.732)0.028445.71426.32%94.25%66.67%74.55%
PPV: positive predictive value, NPV: negative predictive value, direction of the test (≥), ICH: intracranial hemorrhage, NLR: neutrophil/lymphocyte ratio, PLR: platelet/lymphocyte ratio.
Disclaimer/Publisher’s Note: The statements, opinions and data contained in all publications are solely those of the individual author(s) and contributor(s) and not of MDPI and/or the editor(s). MDPI and/or the editor(s) disclaim responsibility for any injury to people or property resulting from any ideas, methods, instructions or products referred to in the content.

Share and Cite

MDPI and ACS Style

Delibaş Katı, Ş.; Uçan Tokuç, F.E. Can the Neutrophil-to-Lymphocyte Ratio, Platelet-to-Lymphocyte Ratio, and C-Reactive Protein-to-Albumin Ratio Always Predict Mortality in Acute Ischemic Stroke Patients Undergoing Mechanical Thrombectomy? A Single-Center Experience. Brain Sci. 2025, 15, 323. https://doi.org/10.3390/brainsci15030323

AMA Style

Delibaş Katı Ş, Uçan Tokuç FE. Can the Neutrophil-to-Lymphocyte Ratio, Platelet-to-Lymphocyte Ratio, and C-Reactive Protein-to-Albumin Ratio Always Predict Mortality in Acute Ischemic Stroke Patients Undergoing Mechanical Thrombectomy? A Single-Center Experience. Brain Sciences. 2025; 15(3):323. https://doi.org/10.3390/brainsci15030323

Chicago/Turabian Style

Delibaş Katı, Şennur, and Firdevs Ezgi Uçan Tokuç. 2025. "Can the Neutrophil-to-Lymphocyte Ratio, Platelet-to-Lymphocyte Ratio, and C-Reactive Protein-to-Albumin Ratio Always Predict Mortality in Acute Ischemic Stroke Patients Undergoing Mechanical Thrombectomy? A Single-Center Experience" Brain Sciences 15, no. 3: 323. https://doi.org/10.3390/brainsci15030323

APA Style

Delibaş Katı, Ş., & Uçan Tokuç, F. E. (2025). Can the Neutrophil-to-Lymphocyte Ratio, Platelet-to-Lymphocyte Ratio, and C-Reactive Protein-to-Albumin Ratio Always Predict Mortality in Acute Ischemic Stroke Patients Undergoing Mechanical Thrombectomy? A Single-Center Experience. Brain Sciences, 15(3), 323. https://doi.org/10.3390/brainsci15030323

Note that from the first issue of 2016, this journal uses article numbers instead of page numbers. See further details here.

Article Metrics

Back to TopTop