Resting-State Electroencephalogram and Speech Perception in Young Children with Developmental Language Disorder
Abstract
1. Introduction
1.1. Resting State Spectral Power Measures and Language Processing
1.2. Hemispheric Asymmetries in Endogenous Oscillations
1.3. The Current Study
2. Materials and Methods
2.1. Participants
2.2. Speech Perception Measures
2.3. Procedures
2.4. EEG Preprocessing
2.5. Design
2.6. Statistical Analysis
3. Results
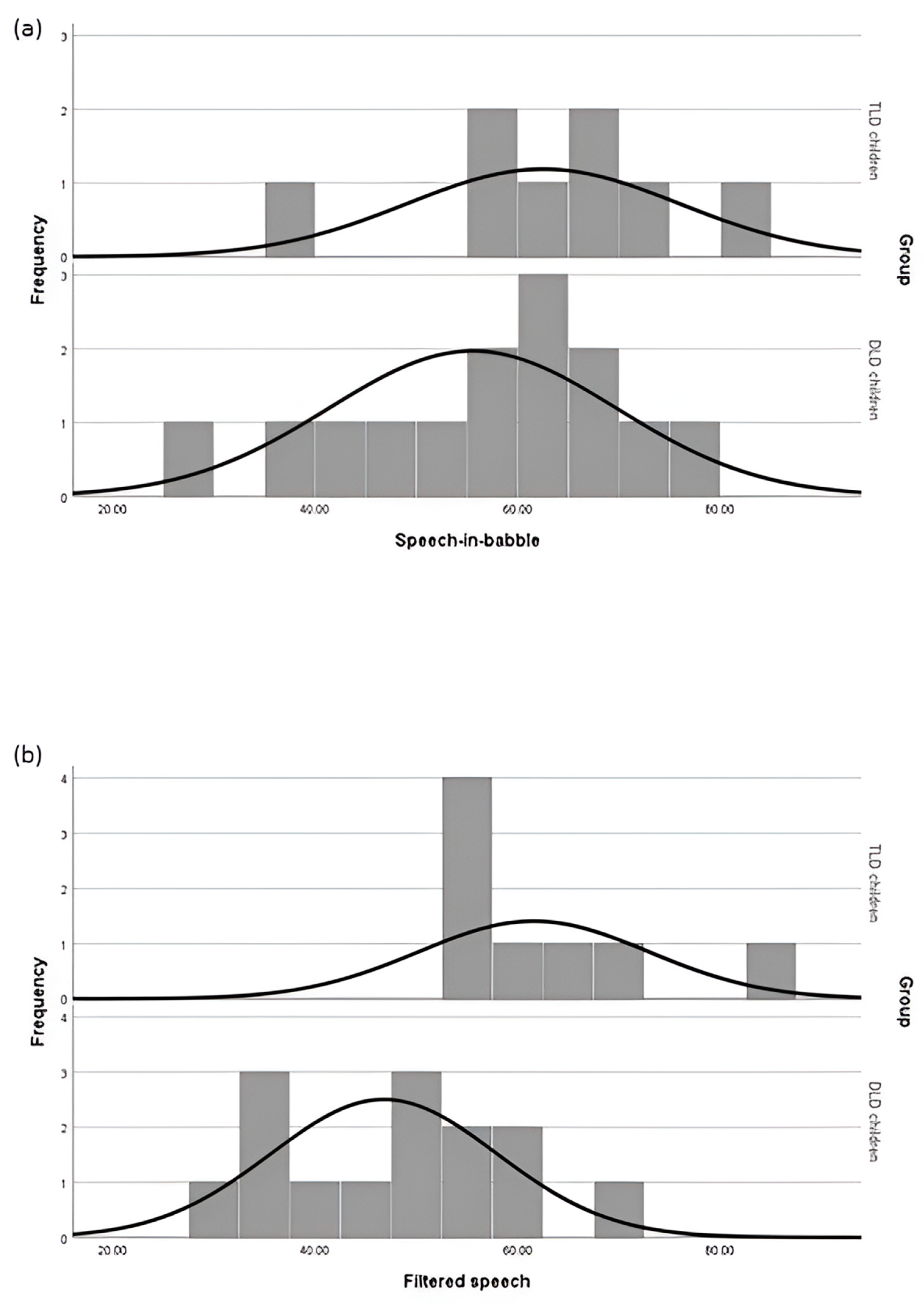
3.1. Behavioural Measures
3.2. Resting-State EEG Measures
3.2.1. Spectral Power Analysis
- Global power.
- Average band power.
- Band ratio analysis.
3.2.2. Hemispheric Lateralisation of Oscillations
- Average laterality indices per group.
- Asymmetry of oscillations.
3.2.3. EEG Versus Behavioural Measures
4. Discussion
5. Conclusions
Supplementary Materials
Author Contributions
Funding
Institutional Review Board Statement
Informed Consent Statement
Data Availability Statement
Acknowledgments
Conflicts of Interest
Appendix A




Appendix B
| Test | ||||||||
|---|---|---|---|---|---|---|---|---|
| Normality | Homogeneity of Variances | |||||||
| Variable | Group | Shapiro–Wilk Statistic | df | p | Levene Statistic | df1 | df2 | p |
| Theta Band Power | Adults | 0.936 | 18 | 0.246 | 9.285 | 2 | 42 | <0.001 |
| TLD children | 0.973 | 11 | 0.917 | |||||
| DLD children | 0.892 | 16 | 0.059 | |||||
| Alpha Band Power | Adults | 0.737 | 18 | <0.001 | 4.187 | 2 | 42 | 0.022 |
| TLD children | 0.934 | 11 | 0.456 | |||||
| DLD children | 0.866 | 16 | 0.023 | |||||
| Beta Band Power | Adults | 0.932 | 18 | 0.214 | 5.606 | 2 | 42 | 0.007 |
| TLD children | 0.967 | 11 | 0.859 | |||||
| DLD children | 0.91 | 16 | 0.118 | |||||
| Gamma Band Power | Adults | 0.795 | 18 | 0.001 | 5.133 | 2 | 42 | 0.01 |
| TLD children | 0.826 | 11 | 0.02 | |||||
| DLD children | 0.797 | 16 | 0.002 | |||||
| Laterality Index LF | Adults | 0.933 | 18 | 0.224 | 1.275 | 2 | 42 | 0.29 |
| TLD children | 0.945 | 11 | 0.576 | |||||
| DLD children | 0.901 | 16 | 0.083 | |||||
| Laterality Index HF | Adults | 0.912 | 18 | 0.093 | 1.941 | 2 | 42 | 0.156 |
| TLD children | 0.875 | 11 | 0.091 | |||||
| DLD children | 0.945 | 16 | 0.42 | |||||
| Theta/Alpha Ratio | Adults | 0.927 | 18 | 0.173 | 4.54 | 2 | 42 | 0.016 |
| TLD children | 0.946 | 11 | 0.597 | |||||
| DLD children | 0.853 | 16 | 0.015 | |||||
| Theta/Beta Ratio | Adults | 0.971 | 18 | 0.813 | 2.801 | 2 | 42 | 0.072 |
| TLD children | 0.95 | 11 | 0.647 | |||||
| DLD children | 0.865 | 16 | 0.023 | |||||
| Speech-in-Babble | TLD children | 0.967 | 8 | 0.872 | ||||
| DLD children | 0.96 | 14 | 0.718 | |||||
| Filtered Speech | TLD children | 0.816 | 8 | 0.043 | ||||
| DLD children | 0.951 | 14 | 0.572 | |||||
Appendix C


Appendix D

References
- van Ede, F.; Niklaus, M.; Nobre, A.C. Temporal Expectations Guide Dynamic Prioritization in Visual Working Memory through Attenuated α Oscillations. J. Neurosci. Off. J. Soc. Neurosci. 2017, 37, 437–445. [Google Scholar] [CrossRef] [PubMed]
- Nandi, B.; Ostrand, A.; Johnson, V.; Ford, T.J.; Gazzaley, A.; Zanto, T.P. Musical Training Facilitates Exogenous Temporal Attention via Delta Phase Entrainment within a Sensorimotor Network. J. Neurosci. Off. J. Soc. Neurosci. 2023, 43, 3365–3378. [Google Scholar] [CrossRef]
- Kovelman, I.; Mascho, K.; Millott, L.; Mastic, A.; Moiseff, B.; H Shalinsky, M. At the rhythm of language: Brain bases of language-related frequency perception in children. NeuroImage 2012, 60, 673–682. [Google Scholar] [CrossRef] [PubMed]
- Poeppel, D.; Assaneo, M.F. Speech rhythms and their neural foundations. Nature reviews. Neuroscience 2020, 21, 322–334. [Google Scholar] [CrossRef]
- Schoffelen, J.M.; Hultén, A.; Lam, N.; Marquand, A.F.; Uddén, J.; Hagoort, P. Frequency-specific directed interactions in the human brain network for language. Proc. Natl. Acad. Sci. USA 2017, 114, 8083–8088. [Google Scholar] [CrossRef] [PubMed]
- Hindriks, R.; Micheli, C.; Bosman, C.A.; Oostenveld, R.; Lewis, C.; Mantini, D.; Fries, P.; Deco, G. Source-reconstruction of the sensorimotor network from resting-state macaque electrocorticography. NeuroImage 2018, 181, 347–358. [Google Scholar] [CrossRef] [PubMed]
- Zhang, D.W.; Johnstone, S.J.; Roodenrys, S.; Luo, X.; Li, H.; Wang, E.; Zhao, Q.; Song, Y.; Liu, L.; Qian, Q.; et al. The role of resting-state EEG localized activation and central nervous system arousal in executive function performance in children with Attention-Deficit/Hyperactivity Disorder. Clin. Neurophysiol. Off. J. Int. Fed. Clin. Neurophysiol. 2018, 129, 1192–1200. [Google Scholar] [CrossRef] [PubMed]
- Prat, C.S.; Yamasaki, B.L.; Kluender, R.A.; Stocco, A. Resting-state qEEG predicts rate of second language learning in adults. Brain Lang. 2016, 157, 44–50. [Google Scholar] [CrossRef] [PubMed]
- Cai, D.; Deng, M.; Yu, J.; Nan, W.; Leung, A.W.S. The relationship of resting-state EEG oscillations to executive functions in middle childhood. Int. J. Psychophysiol. Off. J. Int. Organ. Psychophysiol. 2021, 164, 64–70. [Google Scholar] [CrossRef]
- Anderson, A.J.; Perone, S. Developmental change in the resting state electroencephalogram: Insights into cognition and the brain. Brain Cogn. 2018, 126, 40–52. [Google Scholar] [CrossRef]
- Neo, W.S.; Foti, D.; Keehn, B.; Kelleher, B. Resting-state EEG power differences in autism spectrum disorder: A systematic review and meta-analysis. Transl. Psychiatry 2023, 13, 389. [Google Scholar] [CrossRef] [PubMed]
- Stanojevic, N.; Fatic, S.; Jelicic, L.; Nenadovic, V.; Stokic, M.; Bilibajkic, R.; Subotic, M.; Boskovic Matic, T.; Konstantinovic, L.; Cirovic, D. Resting-state EEG alpha rhythm spectral power in children with specific language impairment: A cross-sectional study. J. Appl. Biomed. 2023, 21, 113–120. [Google Scholar] [CrossRef] [PubMed]
- Houweling, T.; Becker, R.; Hervais-Adelman, A. The noise-resilient brain: Resting-state oscillatory activity predicts words-in-noise recognition. Brain Lang. 2020, 202, 104727. [Google Scholar] [CrossRef] [PubMed]
- Morillon, B.; Lehongre, K.; Frackowiak, R.S.; Ducorps, A.; Kleinschmidt, A.; Poeppel, D.; Giraud, A.L. Neurophysiological origin of human brain asymmetry for speech and language. Proc. Natl. Acad. Sci. USA 2010, 107, 18688–18693. [Google Scholar] [CrossRef] [PubMed]
- Breshears, J.D.; Hamilton, L.S.; Chang, E.F. Spontaneous Neural Activity in the Superior Temporal Gyrus Recapitulates Tuning for Speech Features. Front. Hum. Neurosci. 2018, 12, 360. [Google Scholar] [CrossRef] [PubMed]
- Oswald, V.; Zerouali, Y.; Boulet-Craig, A.; Krajinovic, M.; Laverdière, C.; Sinnett, D.; Jolicoeur, P.; Lippé, S.; Jerbi, K.; Robaey, P. Magnetoencephalography resting-state correlates of executive and language components of verbal fluency. Sci. Rep. 2022, 12, 476. [Google Scholar] [CrossRef] [PubMed]
- Tierney, A.; Strait, D.L.; O’Connell, S.; Kraus, N. Developmental changes in resting gamma power from age three to adulthood. Clin. Neurophysiol. Off. J. Int. Fed. Clin. Neurophysiol. 2013, 124, 1040. [Google Scholar] [CrossRef]
- Uhlhaas, P.J.; Roux, F.; Singer, W.; Haenschel, C.; Sireteanu, R.; Rodriguez, E. The development of neural synchrony reflects late maturation and restructuring of functional networks in humans. Proc. Natl. Acad. Sci. USA 2009, 106, 9866–9871. [Google Scholar] [CrossRef] [PubMed]
- Uhlhaas, P.J.; Roux, F.; Rodriguez, E.; Rotarska-Jagiela, A.; Singer, W. Neural synchrony and the development of cortical networks. Trends Cogn. Sci. 2010, 14, 72–80. [Google Scholar] [CrossRef] [PubMed]
- Stroganova, T.A.; Orekhova, E.V. EEG and infant states. In Infant EEG and Event-Related Potentials; De Hann, M., Ed.; Psychology Press: New York, NY, USA, 2007; pp. 251–287. [Google Scholar]
- Ostlund, B.; Donoghue, T.; Anaya, B.; Gunther, K.E.; Karalunas, S.L.; Voytek, B.; Pérez-Edgar, K.E. Spectral parameterization for studying neurodevelopment: How and why. Dev. Cogn. Neurosci. 2022, 54, 101073. [Google Scholar] [CrossRef]
- Eggermont, J.J.; Ponton, C.W. Auditory-evoked potential studies of cortical maturation in normal hearing and implanted children: Correlations with changes in structure and speech perception. Acta Oto-Laryngol. 2003, 123, 249–252. [Google Scholar] [CrossRef]
- Miskovic, V.; Ma, X.; Chou, C.A.; Fan, M.; Owens, M.; Sayama, H.; Gibb, B.E. Developmental changes in spontaneous electrocortical activity and network organization from early to late childhood. Neuroimage 2015, 118, 237–247. [Google Scholar] [CrossRef] [PubMed]
- Rodríguez-Martínez, E.I.; Ruiz-Martínez, F.J.; Barriga Paulino, C.I.; Gómez, C.M. Frequency shift in topography of spontaneous brain rhythms from childhood to adulthood. Cogn. Neurodyn. 2017, 11, 23–33. [Google Scholar] [CrossRef]
- Saby, J.N.; Marshall, P.J. The utility of EEG band power analysis in the study of infancy and early childhood. Dev. Neuropsychol. 2012, 37, 253–273. [Google Scholar] [CrossRef]
- Bishop, D.V.M.; Hardiman, M.J.; Barry, J.G. Auditory deficit as a consequence rather than endophenotype of specific language impairment: Electrophysiological evidence. PLoS ONE 2012, 7, e35851. [Google Scholar] [CrossRef] [PubMed]
- Hämmerer, D.; Li, S.C.; Völkle, M.; Müller, V.; Lindenberger, U. A lifespan comparison of the reliability, test-retest stability, and signal-to-noise ratio of event-related potentials assessed during performance monitoring. Psychophysiology 2013, 50, 111–123. [Google Scholar] [CrossRef] [PubMed]
- Vanvooren, S.; Hofmann, M.; Poelmans, H.; Ghesquière, P.; Wouters, J. Theta, beta and gamma rate modulations in the developing auditory system. Hear. Res. 2015, 327, 153–162. [Google Scholar] [CrossRef]
- Meng, X.; Sun, C.; Du, B.; Liu, L.; Zhang, Y.; Dong, Q.; Georgiou, G.K.; Nan, Y. The development of brain rhythms at rest and its impact on vocabulary acquisition. Dev. Sci. 2022, 25, e13157. [Google Scholar] [CrossRef] [PubMed]
- Rodríguez-Martínez, E.I.; Barriga-Paulino, C.I.; Rojas-Benjumea, M.A.; Gómez, C.M. Co-maturation of theta and low-beta rhythms during child development. Brain Topogr. 2015, 28, 250–260. [Google Scholar] [CrossRef]
- Yordanova, J.; Kolev, V. Event-related brain oscillations in normal development. In Developmental Psychophysiology: Theory, Systems, and Methods; Schmidt, L.A., Segalowitz, S.J., Eds.; Cambridge University Press: Cambridge, UK, 2008; pp. 15–68. [Google Scholar]
- Perone, S.; Palanisamy, J.; Carlson, S.M. Age-related change in brain rhythms from early to middle childhood: Links to executive function. Dev. Sci. 2018, 21, e12691. [Google Scholar] [CrossRef] [PubMed]
- Takano, T.; Ogawa, T. Characterization of developmental changes in EEG-gamma band activity during childhood using the autoregressive model. Pediatr. Int. 1998, 40, 446–452. [Google Scholar] [CrossRef] [PubMed]
- Gou, Z.; Choudhury, N.; Benasich, A.A. Resting frontal gamma power at 16, 24 and 36 months predicts individual differences in language and cognition at 4 and 5 years. Behav. Brain Res. 2011, 220, 263–270. [Google Scholar] [CrossRef]
- Kwok, E.Y.; Cardy, J.O.; Allman, B.L.; Allen, P.; Herrmann, B. Dynamics of spontaneous alpha activity correlate with language ability in young children. Behav. Brain Res. 2019, 359, 56–65. [Google Scholar] [CrossRef]
- Dick, F.; Krishnan, S.; Leech, R.; Curtin, S. Language Development. In Neurobiology of Language; Hickok, G., Small, S., Eds.; Academic Press: San Diego, CA, USA, 2016; pp. 373–388. [Google Scholar] [CrossRef]
- Bradlow, A.R.; Bent, T. The clear speech effect for non-native listeners. J. Acoust. Soc. Am. 2002, 112, 272–284. [Google Scholar] [CrossRef] [PubMed]
- Nittrouer, S.; Caldwell-Tarr, A.; Tarr, E.; Lowenstein, J.H.; Rice, C.; Moberly, A.C. Improving speech-in-noise recognition for children with hearing loss: Potential effects of language abilities, binaural summation, and head shadow. Int. J. Audiol. 2013, 52, 513–525. [Google Scholar] [CrossRef] [PubMed]
- Cantiani, C.; Ortiz-Mantilla, S.; Riva, V.; Piazza, C.; Bettoni, R.; Musacchia, G.; Molteni, M.; Marino, C.; Benasich, A.A. Reduced left-lateralised pattern of event-related EEG oscillations in infants at familial risk for language and learning impairment. Neuroimage Clin. 2019, 22, 101778. [Google Scholar] [CrossRef] [PubMed]
- Lum, J.A.G.; Clark, G.M.; Bigelow, F.J.; Enticott, P.G. Resting state electroencephalography (EEG) correlates with children’s language skills: Evidence from sentence repetition. Brain Lang. 2022, 230, 105137. [Google Scholar] [CrossRef]
- Norbury, C.F.; Gooch, D.; Wray, C.; Baird, G.; Charman, T.; Simonoff, E.; Vamvakas, G.; Pickles, A. The impact of nonverbal ability on prevalence and clinical presentation of language disorder: Evidence from a population study. J. Child. Psychol. Psychiatry 2016, 57, 1247–1257. [Google Scholar] [CrossRef] [PubMed]
- Bosl, W.; Tierney, A.; Tager-Flusberg, H.; Nelson, C. EEG complexity as a biomarker for autism spectrum disorder risk. BMC Med. 2011, 9, 18. [Google Scholar] [CrossRef] [PubMed]
- Xue, H.; Wang, Z.; Tan, Y.; Yang, H.; Fu, W.; Xue, L.; Zhao, J. Resting-state EEG reveals global network deficiency in dyslexic children. Neuropsychologia 2020, 138, 107343. [Google Scholar] [CrossRef] [PubMed]
- Donoghue, T.; Dominguez, J.; Voytek, B. Electrophysiological Frequency Band Ratio Measures Conflate Periodic and Aperiodic Neural Activity. eNeuro 2020, 7, ENeuro.0192-20.2020. [Google Scholar] [CrossRef] [PubMed]
- Benasich, A.A.; Gou, Z.; Choudhury, N.; Harris, K.D. Early cognitive and language skills are linked to resting frontal gamma power across the first 3 years. Behav. Brain Res. 2008, 195, 215–222. [Google Scholar] [CrossRef] [PubMed]
- Poeppel, D. Pure word deafness and the bilateral processing of the speech code. Cogn. Sci. 2001, 25, 679–693. [Google Scholar] [CrossRef]
- Poeppel, D. The analysis of speech in different temporal integration windows: Cerebral lateralisation as ‘asymmetric sampling in time’. Speech Commun. 2003, 41, 245–255. [Google Scholar] [CrossRef]
- Giraud, A.L.; Poeppel, D. Cortical oscillations and speech processing: Emerging computational principles and operations. Nat. Neurosci. 2012, 15, 511–517. [Google Scholar] [CrossRef]
- Giraud, A.-L.; Kleinschmidt, A.; Poeppel, D.; Lund, T.E.; Frackowiak, R.S.J.; and Laufs, H. Endogenous cortical rhythms determine cerebral specialization for speech perception and production. Neuron 2007, 56, 1127–1134. [Google Scholar] [CrossRef] [PubMed]
- Peña, M.; Maki, A.; Kovačić, D.; Dehaene-Lambertz, G.; Koizumi, H.; Bouquet, F.; Mehler, J. Sounds and silence: An optical topography study of language recognition at birth. Proc. Natl. Acad. Sci. USA 2003, 100, 11702–11705. [Google Scholar] [CrossRef]
- Thompson, E.; Woodruff Carr, K.; White-Schwoch, T.; Tierney, A.; Nicol, T.; Kraus, N. Hemispheric Asymmetry of Endogenous Neural Oscillations in Young Children: Implications for Hearing Speech in Noise. Sci. Rep. 2016, 6, 19737. [Google Scholar] [CrossRef]
- Mayes, A.K.; Reilly, S.; Morgan, A.T. Neural correlates of childhood language disorder: A systematic review. Dev. Med. Child. Neurol. 2015, 57, 706–717. [Google Scholar] [CrossRef] [PubMed]
- de Guibert, C.; Maumet, C.; Jannin, P.; Ferré, J.C.; Tréguier, C.; Barillot, C.; Le Rumeur, E.; Allaire, C.; Biraben, A. Abnormal functional lateralisation and activity of language brain areas in typical specific language impairment (developmental dysphasia). Brain J. Neurol. 2011, 134 Pt 10, 3044–3058. [Google Scholar] [CrossRef]
- Weiss-Croft, L.J.; Baldeweg, T. Maturation of language networks in children: A systematic review of 22 years of functional MRI. NeuroImage 2015, 123, 269–281. [Google Scholar] [CrossRef] [PubMed]
- Packheiser, J.; Schmitz, J.; Arning, L.; Beste, C.; Güntürkün, O.; Ocklenburg, S. A large-scale estimate on the relationship between language and motor lateralisation. Sci. Rep. 2020, 10, 13027. [Google Scholar] [CrossRef]
- Wilson, A.C.; Bishop, D.V.M. Resounding failure to replicate links between developmental language disorder and cerebral lateralisation. PeerJ 2018, 6, e4217. [Google Scholar] [CrossRef] [PubMed]
- Maguire, M.J.; Schneider, J.M. Socioeconomic status-related differences in resting state EEG activity correspond to differences in vocabulary and working memory in grade school. Brain Cogn. 2019, 137, 103619. [Google Scholar] [CrossRef] [PubMed]
- Campos, A.; Tuomainen, J.; Tuomainen, O. Mismatch Responses to Speech Contrasts in Preschoolers with and without Developmental Language Disorder. Brain Sci. 2023, 14, 42. [Google Scholar] [CrossRef] [PubMed]
- ASHA Task Force on Central Auditory Processing Consensus Development. Central auditory processing: Current status of research and implications for clinical practice. Am. J. Audiol. 1996, 5, 41–52. [Google Scholar] [CrossRef]
- Fuente, A.; McPherson, B. Auditory Processing test for Spanish=Speaking adults: An initial study. Int. J. Audiol. 2006, 45, 645–659. [Google Scholar] [CrossRef] [PubMed]
- Balmaceda Romero, V.; Beiza Mas, M.; Díaz Espina, J.; Vargas Leclérc, S.; Vásquez Lara, P. Obtención de Valores Normativos Para Una Batería de Pruebas de Procesamiento Auditivo (Central) en Niños de Entre 5.0 y 6.11 Años de Edad; Universidad de Chile: Santiago, Chile, 2008. [Google Scholar]
- Barrios, P.; Benavides, C.; Benavides, L.; Dellafiori, C. Evaluación de la Conducta Lingüística de Niños de Centros Abiertos de 4 a 4.11 Años. Bachelor’s Thesis, Facultad de Medicina, Universidad de Chile, Santiago, Chile, 1987. [Google Scholar]
- Delorme, A.; Makeig, S. EEGLAB: An open source toolbox for analysis of single-trial EEG dynamics including independent component analysis. J. Neurosci. Methods 2004, 134, 9–21. [Google Scholar] [CrossRef] [PubMed]
- Oostenveld, R.; Fries, P.; Maris, E.; Schoffelen, J.M. FieldTrip: Open Source Software for Advanced Analysis of MEG, EEG, and Invasive Electrophysiological Data. Comput. Intell. Neurosci. 2011, 2011, 156869. [Google Scholar] [CrossRef] [PubMed]
- Bell, M.A.; Cuevas, K. Using EEG to study cognitive development: Issues and practices. J. Cogn. Dev. 2012, 13, 281–294. [Google Scholar] [CrossRef] [PubMed]
- Field, A. Discovering Statistics Using IBM SPSS Statistics; Sage: London, UK, 2013. [Google Scholar]
- Dineen, L.C.; Blakesley, B.C. Algorithm AS 62: Generator for the sampling distribution of the Mann-Whitney U statistic. Appl. Stat. 1973, 22, 269–273. [Google Scholar] [CrossRef]
- Klimesch, W. Alpha-band oscillations, attention, and controlled access to stored information. Trends Cogn. Sci. 2012, 1, 606–617. [Google Scholar]
- Clements, G.M.; Bowie, D.C.; Gyurkovics, M.; Low, K.A.; Fabiani, M.; Gratton, G. Spontaneous Alpha and Theta Oscillations Are Related to Complementary Aspects of Cognitive Control in Younger and Older Adults. Front. Hum. Neurosci. 2021, 15, 621620. [Google Scholar] [CrossRef]
- van Son, D.; De Blasio, F.M.; Fogarty, J.S.; Angelidis, A.; Barry, R.J.; Putman, P. Frontal EEG theta/beta ratio during mind wandering episodes. Biol. Psychol. 2019, 140, 19–27. [Google Scholar] [CrossRef] [PubMed]
- Wei, H.; Chen, L.; Zhao, L. Can the Spontaneous Electroencephalography Theta/Beta Power Ratio and Alpha Oscillation Measure Individuals’ Attentional Control? Behav. Sci. 2024, 14, 227. [Google Scholar] [CrossRef]
- Picken, C.; Clarke, A.R.; Barry, R.J.; McCarthy, R.; Selikowitz, M. The theta/beta ratio as an index of cognitive processing in adults with the combined type of attention deficit hyperactivity disorder. Clin. EEG Neurosci. 2020, 51, 167–173. [Google Scholar] [CrossRef] [PubMed]
- Baik, K.; Jung, J.H.; Jeong, S.H.; Chung, S.J.; Yoo, H.S.; Lee, P.H.; Sohn, Y.H.; Kang, S.W.; Ye, B.S. Implication of EEG theta/alpha and theta/beta ratio in Alzheimer’s and Lewy body disease. Sci. Rep. 2022, 12, 18706. [Google Scholar] [CrossRef] [PubMed]
- Jaramillo-Jimenez, A.; Suarez-Revelo, J.X.; Ochoa-Gomez, J.F.; Carmona Arroyave, J.A.; Bocanegra, Y.; Lopera, F.; Buriticá, O.; Pineda-Salazar, D.A.; Moreno Gómez, L.; Tobón Quintero, C.A.; et al. Resting-state EEG alpha/theta ratio related to neuropsychological test performance in Parkinson’s Disease. Clin. Neurophysiol. Off. J. Int. Fed. Clin. Neurophysiol. 2021, 132, 756–764. [Google Scholar] [CrossRef]
- Trammell, J.P.; MacRae, P.G.; Davis, G.; Bergstedt, D.; Anderson, A.E. The relationship of cognitive performance and the theta-alpha power ratio is age-dependent: An EEG study of short-term memory and reasoning during task and resting-state in healthy young and old adults. Front. Aging Neurosci. 2017, 9, 364. [Google Scholar] [CrossRef] [PubMed]
- Piispala, J.; Starck, T.; Jansson-Verkasalo, E.; Kallio, M. Decreased occipital alpha oscillation in children who stutter during a visual Go/Nogo task. Clin. Neurophysiol. Off. J. Int. Fed. Clin. Neurophysiol. 2018, 129, 1971–1980. [Google Scholar] [CrossRef] [PubMed]
- Jäncke, L.; Alahmadi, N. Resting State EEG in Children with Learning Disabilities: An Independent Component Analysis Approach. Clin. EEG Neurosci. 2016, 47, 24–36. [Google Scholar] [CrossRef] [PubMed]
- Perone, S.; Gartstein, M.A. Mapping cortical rhythms to infant behavioral tendencies via baseline EEG and parent-report. Dev. Psychobiol. 2019, 61, 815–823. [Google Scholar] [CrossRef]
- Zivan, M.; Vaknin, S.; Peleg, N.; Ackerman, R.; Horowitz-Kraus, T. Higher theta-beta ratio during screen-based vs. printed paper is related to lower attention in children: An EEG study. PLoS ONE 2023, 18, e0283863. [Google Scholar] [CrossRef] [PubMed]
- Richards, S.; Goswami, U. Auditory processing in specific language impairment (SLI): Relations with the perception of lexical and phrasal stress. J. Speech Lang. Hear. Res. 2015, 58, 1292–1305. [Google Scholar] [CrossRef]
- Ziegler, J.C.; Pech-Georgel, C.; George, F.; Lorenzi, C. Noise on, voicing off: Speech perception deficits in children with specific language impairment. J. Exp. Child. Psychol. 2011, 110, 362–372. [Google Scholar] [CrossRef] [PubMed]
- Nikolaeva, J.I.; Manning, B.L.; Kwok, E.Y.; Choi, S.; Zhang, Y.; Giase, G.M.; Wakschlag, L.S.; Norton, E.S. Is frontal EEG gamma power a neural correlate of language in toddlerhood? An examination of late talking and expressive language ability. Brain Lang. 2024, 257, 105462. [Google Scholar] [CrossRef] [PubMed]
- Patel, P.; Khalighinejad, B.; Herrero, J.L.; Bickel, S.; Mehta, A.D.; Mesgarani, N. Improved speech hearing in noise with invasive electrical brain stimulation. J. Neurosci. 2022, 42, 3648–3658. [Google Scholar] [CrossRef]
- Goswami, U.; Cumming, R.; Chait, M.; Huss, M.; Mead, N.; Wilson, A.M.; Barnes, L.; Fosker, T. Perception of filtered speech by children with developmental dyslexia and children with specific language impairments. Front. Psychol. 2016, 7, 791. [Google Scholar] [CrossRef] [PubMed]
- Bice, K.; Yamasaki, B.L.; Prat, C.S. Bilingual language experience shapes resting-state brain rhythms. Neurobiol. Lang. 2020, 1, 288–318. [Google Scholar] [CrossRef]





| Typical Language Development n = 8 | Developmental Language Disorder n = 11 | |||
|---|---|---|---|---|
| Test | Mean | SD | Mean | SD |
| Speech-in-babble | 62.50 | 13.43 | 55.54 | 14.18 |
| Filtered speech | 61.56 | 11.33 | 46.79 | 11.16 |
| Typical Language Development n = 11 | Developmental Language Disorder n = 16 | Adults n = 18 | |||||
|---|---|---|---|---|---|---|---|
| Hz | Mean | SD | Mean | SD | Mean | SD | |
| Theta | 3–7 | 2.85 | 1.02 | 3.36 | 0.88 | 0.37 | 0.17 |
| Alpha | 8–12 | 1.73 | 0.86 | 1.32 | 0.57 | 0.41 | 0.44 |
| Beta | 13–25 | 0.32 | 0.11 | 0.32 | 0.10 | 0.11 | 0.04 |
| Gamma | 25–45 | 0.11 | 0.06 | 0.09 | 0.05 | 0.04 | 0.12 |
| Typical Language Development n = 11 | Developmental Language Disorder n = 16 | Adults n = 18 | |||||
|---|---|---|---|---|---|---|---|
| Hz | Mean | SD | Mean | SD | Mean | SD | |
| Low-frequency | 3–7 | 0.01 | 0.07 | −0.02 | 0.06 | 0.03 | 0.06 |
| High-frequency | 20–45 | 0.001 | 0.06 | 0.013 | 0.11 | −0.002 | 0.09 |
| Group | Asymmetry Measure | t-Test Type (One Sided) | df | t | p | Cohen’s d |
|---|---|---|---|---|---|---|
| Typical language development | LF vs. zero | One sample | 10 | 0.501 | 0.314 | 0.151 |
| HF vs. zero | One sample | 10 | 0.048 | 0.481 | 0.015 | |
| LF vs. HF | Paired sample | 10 | 0.491 | 0.317 | 0.148 | |
| Developmental language disorder | LF vs. zero | One sample | 15 | −10.17 | 0.130 | −0.292 |
| HF vs. zero | One sample | 15 | 0.459 | 0.326 | 0.115 | |
| LF vs. HF | Paired sample | 15 | −10.233 | 0.118 | −0.308 | |
| Adults | LF vs. zero | One sample | 17 | 10.84 | 0.04 | 0.43 |
| HF vs. zero | One sample | 17 | −0.09 | 0.46 | 0.09 | |
| LF vs. HF | Paired sample | 17 | 10.15 | 0.133 | 0.11 |
Disclaimer/Publisher’s Note: The statements, opinions and data contained in all publications are solely those of the individual author(s) and contributor(s) and not of MDPI and/or the editor(s). MDPI and/or the editor(s) disclaim responsibility for any injury to people or property resulting from any ideas, methods, instructions or products referred to in the content. |
© 2025 by the authors. Licensee MDPI, Basel, Switzerland. This article is an open access article distributed under the terms and conditions of the Creative Commons Attribution (CC BY) license (https://creativecommons.org/licenses/by/4.0/).
Share and Cite
Campos, A.; Loyola-Navarro, R.; González, C.; Iverson, P. Resting-State Electroencephalogram and Speech Perception in Young Children with Developmental Language Disorder. Brain Sci. 2025, 15, 219. https://doi.org/10.3390/brainsci15030219
Campos A, Loyola-Navarro R, González C, Iverson P. Resting-State Electroencephalogram and Speech Perception in Young Children with Developmental Language Disorder. Brain Sciences. 2025; 15(3):219. https://doi.org/10.3390/brainsci15030219
Chicago/Turabian StyleCampos, Ana, Rocio Loyola-Navarro, Claudia González, and Paul Iverson. 2025. "Resting-State Electroencephalogram and Speech Perception in Young Children with Developmental Language Disorder" Brain Sciences 15, no. 3: 219. https://doi.org/10.3390/brainsci15030219
APA StyleCampos, A., Loyola-Navarro, R., González, C., & Iverson, P. (2025). Resting-State Electroencephalogram and Speech Perception in Young Children with Developmental Language Disorder. Brain Sciences, 15(3), 219. https://doi.org/10.3390/brainsci15030219

