Epigallocatechin-3-Gallate, Quercetin, and Kaempferol for Treatment of Parkinson’s Disease Through Prevention of Gut Dysbiosis and Attenuation of Multiple Molecular Mechanisms of Pathogenesis
Abstract
1. Introduction
2. Functions of the Gut Microbiota in the Human Body
2.1. Gut Dysbiosis and Its Implications in Different Disease States
2.2. Changes in the Gut Microbiota in PD
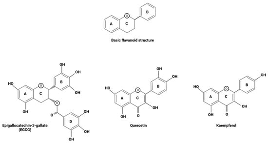
3. Flavonoids, Classification, and Structures
3.1. Flavonoids and the Gut Microbiota Work in a Symbiotic Relationship
3.2. Potential of Flavonoids in the Treatment of PD
4. Neuroinflammation in PD
Gut Dysbiosis in Promoting Neuroinflammation in PD
5. Mitochondrial Dysfunction and Oxidative Stress in PD
Gut Dysbiosis in Mitochondrial Dysfunction and Oxidative Stress in PD
6. Toxic α-Synuclein Aggregation and Autophagy Impairment in PD
The Gut Microbiota in α-Synuclein Aggregation and Autophagy Impairment in PD
7. Anti-Inflammatory Effects of ECCG, Quercetin, and Kaempferol
NF-κB Pathway Targeting by EGCG, Quercetin, and Kaempferol
8. Antioxidant Effects of EGCG, Quercetin, and Kaempferol
A Nrf2 Pathway Upregulated by EGCG, Quercetin, and Kaempferol for Augmenting Their Antioxidant Capacity
9. Anti-Amyloidogenic Effects of EGCG, Quercetin, and Kaempferol
10. Critical Considerations for Enhancing the Therapeutic Efficacy of Flavonoids in PD
10.1. Bioavailability of Flavonoids
10.2. Compatibility of Flavonoids with Current Pharmaceutical Drugs in PD
11. Conclusions and Future Directions
Author Contributions
Funding
Acknowledgments
Conflicts of Interest
References
- Samii, A.; Nutt, J.G.; Ransom, B. Parkinson’s disease. Lancet 2004, 363, 1783–1793. [Google Scholar] [CrossRef] [PubMed]
- Ou, Z.; Pan, J.; Tang, S.; Duan, D.; Yu, D.; Nong, H.; Wang, Z. Global Trends in the Incidence, Prevalence, and Years Lived with Disability of Parkinson’s Disease in 204 Countries/Territories from 1990 to 2019. Front. Public Health 2021, 9, 776847. [Google Scholar] [CrossRef] [PubMed]
- World Health Organization (WHO). Available online: https://www.who.int/news-room/fact-sheets/detail/parkinson-disease (accessed on 6 June 2024).
- Jankovic, J.; Tan, E.K. Parkinson’s disease: Etiopathogenesis and treatment. J. Neurol. Neurosurg. Psychiatry 2020, 91, 795–808. [Google Scholar] [CrossRef] [PubMed]
- Lew Mark, M.D. Overview of Parkinson’s Disease. Pharmacotherapy 2007, 27, 155S–160S. [Google Scholar] [PubMed]
- Hoehn Margaret, M.; Yahr Melvin, D. Parkinsonism: Onset, progression, and mortality. Neurology 1967, 17, 427. [Google Scholar] [CrossRef] [PubMed]
- Parkinson. Available online: https://www.parkinson.org/understanding-parkinsons/what-is-parkinsons/stages?utm_source=google&utm_medium=adgrant&utm_campaign=&utm_term=stages%20of%20parkinson%27s%20disease&gad_source=1&gclid=Cj0KCQjwjLGyBhCYARIsAqTz18KhnxY5tKYQbac8KYip2ap6EaVbf_FlAKuJJq01GDKkattJwHv35EaAt0sEALw_wcB (accessed on 21 May 2024).
- Beato Morris, R.; Reddy, V.; Sonne, J. Neuroanatomy, Substantia Nigra. In StatPearls; StatPearls Publishing: Treasure Island, FL, USA, 2024. [Google Scholar] [PubMed]
- Chinta, S.; Anderson, J. Dopaminergic Neurons. Int. J. Biochem. Cell Biol. 2005, 37, 942–946. [Google Scholar] [CrossRef] [PubMed]
- Simuni, T.; Stern, B.M. Does Levodopa Accelerate Parkinson’s Disease. Drugs Aging 1999, 14, 399–408. [Google Scholar] [CrossRef] [PubMed]
- The Parkinson Study Group. Levodopa and the Progression of Parkinson’s Disease. N. Engl. J. Med. 2004, 351, 2498–2508. [Google Scholar] [CrossRef] [PubMed]
- Malek, N. Deep Brain Stimulation in Parkinson’s Disease. Neurol. India 2019, 67, 968–978. [Google Scholar] [CrossRef] [PubMed]
- Muraleeharan, A.; Ray, S. Epigallocatechin-3-Gallate and Genistein for Decreasing Gut Dysbiosis, Inhibiting Inflammasomes, and Aiding Autophagy in Alzheimer’s Disease. Brain Sci. 2024, 14, 96. [Google Scholar] [CrossRef] [PubMed]
- Braak, H.; Rüb, U.; Gai, W.; Del Tredici, K. Idiopathic Parkinson’s disease: Possible routes by which vulnerable neuronal types may be subject to neuroinvasion by an unknown pathogen. J. Neural Transm. 2003, 110, 517–536. [Google Scholar] [CrossRef] [PubMed]
- Dai, L.; Liu, M.; Ke, W.; Chen, L.; Fang, X.; Zhang, Z. Lysosomal dysfunction in α-synuclein pathology: Molecular mechanisms and therapeutic strategies. Cell Mol. Life Sci. 2024, 81, 382. [Google Scholar] [CrossRef] [PubMed]
- Bayati, A.; McPherson, P.S. Alpha-synuclein, autophagy-lysosomal pathway, and Lewy bodies: Mutations, propagation, aggregation, and the formation of inclusions. J. Biol. Chem. 2024, 300, 107742. [Google Scholar] [CrossRef] [PubMed]
- Vilela, C.; Araújo, B.; Soares-Guedes, C.; Caridade-Silva, R.; Martins-Macedo, J.; Teixeira, C.; Gomes, E.D.; Prudêncio, C.; Vieira, M.; Teixeira, F.G. From the Gut to the Brain: Is Microbiota a New Paradigm in Parkinson’s Disease Treatment? Cells 2024, 13, 770. [Google Scholar] [CrossRef] [PubMed]
- Nielsen, S.D.; Pearson, N.M.; Seidler, K. The link between the gut microbiota and Parkinson’s Disease: A systematic mechanism review with focus on α-synuclein transport. Brain Res. 2021, 1769, 147609. [Google Scholar] [CrossRef] [PubMed]
- Adak, A.; Khan, M. An insight into gut microbiota and its functionalities. Cell. Mol. Life Sci. 2019, 76, 473–493. [Google Scholar] [CrossRef] [PubMed]
- Quigley, E. Gut Bacteria in Health and Disease. Gastroenterol. Hepatol. 2013, 9, 560–569. [Google Scholar] [PubMed]
- Jandhyala, S.M.; Talukdar, R.; Subramanyam, C.; Vuyyuru, H.; Sasikala, M.; Reddy, D.N. Role of the normal gut microbiota. World J. Gastroenterol. 2015, 21, 8787–8803. [Google Scholar] [CrossRef] [PubMed]
- Morowitz, M.; Carlisle, E.; Alverdy, J. Contribution of Intestinal Bacteria to Nutrition and Metabolism in the Critically Ill. Surg. Clin. N. Am. 2011, 91, 771–785. [Google Scholar] [CrossRef] [PubMed]
- Harkins, P.; Burke, E.; Swales, C.; Silman, A. ‘All Disease Begins in the Gut’—The Role of the Intestinal Microbiome in Ankylosing Spondylitis. Rheumatol. Adv. Pract. 2021, 5, rkab063. [Google Scholar] [CrossRef] [PubMed]
- Napolitano, P.; Filippelli, M.; Davinelli, S.; Bartollino, S.; Dell’omo, R.; Costagliola, C. Influence of Gut Microbiota on Eye Diseases: An Overview. Ann. Med. 2021, 53, 750–761. [Google Scholar] [CrossRef] [PubMed]
- Logsdon, A.F.; Erickson, M.A.; Rhea, E.M.; Salameh, T.S.; Banks, W.A. Gut Reactions: How the Blood—Brain Barrier Connects the Microbiome and the Brain. Exp. Biol. Med. 2018, 243, 159–165. [Google Scholar] [CrossRef] [PubMed]
- Weiss, G.A.; Hennet, T. Mechanisms and Consequences of Intestinal Dysbiosis. Cell. Mol. Life. Sci. 2017, 74, 2959–2977. [Google Scholar] [CrossRef] [PubMed]
- Chen, X.; Li, P.; Liu, M.; Zheng, H.; He, Y.; Chen, M.-X.; Tang, W.; Yue, X.; Huang, Y.; Zhuang, L.; et al. Gut Dysbiosis Induces the Development of Pre—Eclampsia through Bacterial Translocation. Gut 2020, 69, 513–522. [Google Scholar] [CrossRef] [PubMed]
- Magni, G.; Riboldi, B.; Petroni, K.; Ceruti, S. Flavonoids bridging the gut and the brain: Intestinal metabolic fate, and direct or indirect effects of natural supporters against neuroinflammation and neurodegeneration. Biochem. Pharmacol. 2022, 205, 115257. [Google Scholar] [CrossRef] [PubMed]
- Sampson, T.R.; Debelius, J.W.; Thron, T.; Janssen, S.; Shastri, G.G.; Ilhan, Z.E.; Challis, C.; Schretter, C.E.; Rocha, S.; Gradinaru, V.; et al. Gut Microbiota Regulate Motor Deficits and Neuroinflammation in a Model of Parkinson’s Disease. Cell 2016, 167, 1469–1480. [Google Scholar] [CrossRef] [PubMed]
- Aryal, S.; Skinner, T.; Bridges, B.; Weber, J.T. The Pathology of Parkinson’s Disease and Potential Benefit of Dietary Polyphenols. Molecules 2020, 25, 4382. [Google Scholar] [CrossRef] [PubMed]
- Hamilton, A.M.; Krout, I.N.; White, A.C.; Sampson, T.R. Microbiome-based therapeutics for Parkinson’s disease. Neurotherapeutics 2024, 21, e00462. [Google Scholar] [CrossRef] [PubMed]
- Yang, X.; Qian, Y.; Xu, S.; Song, Y.; Xiao, Q. Longitudinal Analysis of Fecal Microbiome and Pathologic Processes in a Rotenone Induced Mice Model of Parkinson’s Disease. Front. Aging Neurosci. 2018, 9, 441. [Google Scholar] [CrossRef] [PubMed]
- Ross, F.C.; Mayer, D.E.; Horn, J.; Cryan, J.F.; Del Rio, D.; Randolph, E.; Gill, C.I.R.; Gupta, A.; Ross, R.P.; Stanton, C.; et al. Potential of dietary polyphenols for protection from age-related decline and neurodegeneration: A role for gut microbiota? Nutr. Neurosci. 2024, 27, 1058–1076. [Google Scholar] [CrossRef] [PubMed]
- Maleki, S.J.; Crespo, J.F.; Cabanillas, B. Anti-inflammatory effects of flavonoids. Food Chem. 2019, 299, 125124. [Google Scholar] [CrossRef] [PubMed]
- Wang, X.; Li, Y.; Han, L.; Li, J.; Liu, C.; Sun, C. Role of Flavonoids in the Treatment of Iron Overload. Front. Cell Dev. Biol. 2021, 9, 685364. [Google Scholar] [CrossRef] [PubMed]
- Hostetler, G.L.; Ralston, R.A.; Schwartz, S.J. Flavones: Food Sources, Bioavailability, Metabolism, and Bioactivity. Adv. Nutr. 2017, 8, 423–435. [Google Scholar] [CrossRef] [PubMed]
- Krogholm, K.S.; Bredsdorff, L.; Knuthsen, P.; Haraldsdóttir, J.; Rasmussen, S.E. Relative bioavailability of the flavonoids quercetin, hesperetin and naringenin given simultaneously through diet. Eur. J. Clin. Nutr. 2010, 64, 432–435. [Google Scholar] [CrossRef] [PubMed]
- Panche, A.; Diwan, A.; Chandra, S. Flavonoids: An overview. J. Nutr. Sci. 2016, 5, e47. [Google Scholar] [CrossRef] [PubMed]
- Bhat, W.F.; Bhat, S.A.; Bano, B. Evaluation of polyphenols as possible therapeutics for amyloidosis: Comparative analysis of Kaempferol and Catechin. Int. J. Biol. Macromol. 2015, 81, 60–68. [Google Scholar] [CrossRef] [PubMed]
- Luca, S.V.; Macovei, I.; Bujor, A.; Miron, A.; Skalicka-Woźniak, K.; Aprotosoaie, A.C.; Trifan, A. Bioactivity of dietary polyphenols: The role of metabolites. Crit. Rev. Food Sci. Nutr. 2020, 60, 626–659. [Google Scholar] [CrossRef] [PubMed]
- Shishtar, E.; Rogers, G.T.; Blumberg, J.B.; Au, R.; DeCarli, C.; Jacques, P.F. Flavonoid Intake and MRI Markers of Brain Health in the Framingham Offspring Cohort. J. Nutr. 2020, 150, 1545–1553. [Google Scholar] [CrossRef] [PubMed]
- Cui, Z.; Zhao, X.; Amevor, F.K.; Du, X.; Wang, Y.; Li, D.; Shu, G.; Tian, Y.; Zhao, X. Therapeutic Application of Quercetin in Aging—Related Diseases: SIRT1 as a Potential Mechanism. Front. Immunol. 2022, 13, 943321. [Google Scholar] [CrossRef] [PubMed]
- Li, H.; Chen, F.-J.; Yang, W.-L.; Qiao, H.-Z.; Zhang, S.-J. Quercetin improves cognitive disorder in aging mice by inhibiting NLRP3 inflammasome activation. Food Funct. 2021, 12, 717. [Google Scholar] [CrossRef] [PubMed]
- Jin, S.; Zhang, L.; Wang, L. Kaempferol, a potential neuroprotective agent in neurodegenerative diseases: From chemistry to medicine. Biomed. Pharmacother. 2023, 165, 115215. [Google Scholar] [CrossRef] [PubMed]
- Rahul Naz, F.; Jyoti, S.; Siddique, Y.H. Effect of kaempferol on the transgenic Drosophila model of Parkinson’s disease. Sci. Rep. 2020, 10, 13793. [Google Scholar] [CrossRef] [PubMed]
- Zhang, C.L.; Han, Q.W.; Chen, N.H.; Yuan, Y.H. Research on developing drugs for Parkinson’s disease. Brain Res. Bull. 2021, 168, 100–109. [Google Scholar] [CrossRef] [PubMed]
- Hassanzadeh, K.; Rahimmi, A. Oxidative stress and neuroinflammation in the story of Parkinson’s disease: Could targeting these pathways write a good ending? J. Cell. Physiol. 2018, 234, 23–32. [Google Scholar] [CrossRef] [PubMed]
- Luo, E.Y.; Sugimura, R.R. Taming microglia: The promise of engineered microglia in treating neurological disease. J. Neuroinflammation 2024, 21, 19. [Google Scholar] [CrossRef] [PubMed]
- Zahid, A.; Li, B.; Kombe, A.J.K.; Jin, T.; Tao, J. Pharmacological Inhibitors of the NLRP3 Inflammasome. Front. Immunol. 2019, 10, 2538. [Google Scholar] [CrossRef] [PubMed]
- Maher, P. Protective effects of fisetin and other berry flavonoids in Parkinson’s disease. Food Funct. 2017, 8, 3033–3042. [Google Scholar] [CrossRef] [PubMed]
- Li, M.; Van Esch, B.C.; Wagenaar, G.T.; Garssen, J.; Folkerts, G.; Henricks, P.A. Pro- and anti-inflammatory effects of short chain fatty acids on immune and endothelial cells. Eur. J. Pharmacol. 2018, 831, 52–59. [Google Scholar] [CrossRef] [PubMed]
- Christian, A.D. Short Chain Fatty Acids (SCFAs)—Friend or Foe? Available online: https://www.vitas.no/articles/short-chain-fatty-acids-scfas-friend-or-foe (accessed on 12 June 2024).
- Martin-Gallausiaux, C.; Marinelli, L.; Blottière, H.M.; Larraufie, P.; Lapaque, N. SCFA: Mechanisms and functional importance in the gut. Proc. Nutr. Soc. 2021, 80, 37–49. [Google Scholar] [CrossRef] [PubMed]
- Przedborski, S.; Vila, M. The 1-methyl-4-phenyl-1,2,3,6-tetrahydropyridine mouse model: A tool to explore the pathogenesis of Parkinson’s disease. Ann. N. Y. Acad. Sci. 2003, 991, 189–198. [Google Scholar] [CrossRef] [PubMed]
- Ma, X.Z.; Chen, L.L.; Qu, L.; Li, H.; Wang, J.; Song, N.; Xie, J.X. Gut microbiota-induced CXCL1 elevation triggers early neuroinflammation in the substantia nigra of Parkinsonian mice. Acta Pharmacol. Sin. 2024, 45, 52–65. [Google Scholar] [CrossRef] [PubMed]
- Villaescusa, J.C.; Li, B.; Toledo, E.M.; Rivetti di Val Cervo, P.; Yang, S.; Stott, S.R.; Kaiser, K.; Islam, S.; Gyllborg, D.; Laguna‐Goya, R.; et al. A PBX1 transcriptional network controls dopaminergic neuron development and is impaired in Parkinson’s disease. EMBO J. 2016, 35, 1963–1978. [Google Scholar] [CrossRef] [PubMed]
- Bjørklund, G.; Dadar, M.; Anderson, G.; Chirumbolo, S.; Maes, M. Preventive treatments to slow substantia nigra damage and Parkinson’s disease progression: A critical perspective review. Pharmacol. Res. 2020, 161, 105065. [Google Scholar] [CrossRef] [PubMed]
- Choi, E.H.; Kim, M.H.; Park, S.J. Targeting Mitochondrial Dysfunction and Reactive Oxygen Species for Neurodegenerative Disease Treatment. Int. J. Mol. Sci. 2024, 25, 7952. [Google Scholar] [CrossRef] [PubMed]
- Sharma, S.; Awasthi, A.; Singh, S. Altered gut microbiota and intestinal permeability in Parkinson’s disease: Pathological highlight to management. Neurosci. Lett. 2019, 712, 134516. [Google Scholar] [CrossRef] [PubMed]
- Kalyan, M.; Tousif, A.H.; Sonali, S.; Vichitra, C.; Sunanda, T.; Praveenraj, S.S.; Ray, B.; Gorantla, V.R.; Rungratanawanich, W.; Mahalakshmi, A.M.; et al. Role of Endogenous Lipopolysaccharides in Neurological Disorders. Cells 2022, 11, 4038. [Google Scholar] [CrossRef] [PubMed]
- Jahan, I.; Ahmad, A.; Deep, S. Effect of flavonoids on the destabilization of α-synuclein fibrils and their conversion to amorphous aggregate: A molecular dynamics simulation and experimental study. Biochim. Biophys. Acta Proteins Proteom. 2023, 1871, 140951. [Google Scholar] [CrossRef] [PubMed]
- Ortiz de Ora, L.; Balsamo, J.M.; Uyeda, K.S.; Bess, E.N. Discovery of a Gut Bacterial Metabolic Pathway that Drives α-Synuclein Aggregation. ACS Chem. Biol. 2024, 19, 1011–1021. [Google Scholar] [CrossRef] [PubMed]
- Devi, K.P.; Malar, D.S.; Nabavi, S.F.; Sureda, A.; Xiao, J.; Nabavi, S.M.; Daglia, M. Kaempferol and inflammation: From chemistry to medicine. Pharmacol. Res. 2015, 99, 1–10. [Google Scholar] [CrossRef] [PubMed]
- Takahashi, M.; Nagata, K.; Watanuki, Y.; Yamaguchi, M.; Ishii, K.; Harada, T.; Minamikawa, N.; Katagiri, M.; Zhao, W.; Ito, N.; et al. Kaempferol Exerts Anti-Inflammatory Effects by Accelerating Treg Development via Aryl Hydrocarbon Receptor-Mediated and PU.1/IRF4-Dependent Transactivation of the Aldh1a2/Raldh2 Gene in Dendritic Cells. Allergy 2024. [Google Scholar] [CrossRef] [PubMed]
- Singh, S.S.; Rai, S.N.; Birla, H.; Zahra, W.; Rathore, A.S.; Singh, S.P. NF-κB-Mediated Neuroinflammation in Parkinson’s Disease and Potential Therapeutic Effect of Polyphenols. Neurotox. Res. 2020, 37, 491–507. [Google Scholar] [CrossRef] [PubMed]
- Kauppinen, A.; Suuronen, T.; Ojala, J.; Kaarniranta, K.; Salminen, A. Antagonistic crosstalk between NF-κB and SIRT1 in the regulation of inflammation and metabolic disorders. Cell. Signal. 2013, 25, 1939–1948. [Google Scholar] [CrossRef] [PubMed]
- Chu, T.; Yu, R.; Gu, Y.; Wang, Y.; Chang, H.; Li, Y.; Li, J.; Bian, Y. Kaempferol protects gut-vascular barrier from high glucose-induced disorder via NF-κB pathway. J. Nutr. Biochem. 2024, 123, 109496. [Google Scholar] [CrossRef] [PubMed]
- Gerhardsson, L.; Kazantzis, G. Chapter 23—Diagnosis and Treatment of Metal Poisoning: General Aspects. In Handbook on the Toxicology of Metals, 4th ed.; Gunnar, F., Norberg, B.A., Fowler, M.N., Eds.; Academic Press: New York, NY, USA, 2015; pp. 487–505. [Google Scholar]
- Tu, W.; Wang, H.; Li, S.; Liu, Q.; Sha, H. The Anti-Inflammatory and Anti-Oxidant Mechanisms of the Keap1/Nrf2/ARE Signaling Pathway in Chronic Diseases. Aging Dis. 2019, 10, 637–651. [Google Scholar] [CrossRef] [PubMed]
- Niu, Y.; Zhang, J.; Dong, M. Nrf2 as a potential target for Parkinson’s disease therapy. J. Mol. Med. 2021, 99, 917–931. [Google Scholar] [CrossRef] [PubMed]
- de Almeida, A.J.P.O.; de Oliveira, J.C.P.L.; da Silva Pontes, L.V.; de Souza Júnior, J.F.; Gonçalves, T.A.F.; Dantas, S.H.; de Almeida Feitosa, M.S.; Silva, A.O.; de Medeiros, I.A. ROS: Basic Concepts, Sources, Cellular Signaling, and its Implications in Aging Pathways. Oxidative Med. Cell. Longev. 2022, 2022, 1225578. [Google Scholar] [CrossRef] [PubMed]
- Saha, S.; Buttari, B.; Profumo, E.; Tucci, P.; Saso, L. A Perspective on Nrf2 Signaling Pathway for Neuroinflammation: A Potential Therapeutic Target in Alzheimer’s and Parkinson’s Diseases. Front. Cell. Neurosci. 2022, 15, 787258. [Google Scholar] [CrossRef] [PubMed]
- Suzen, S.; Tucci, P.; Profumo, E.; Buttari, B.; Saso, L. A Pivotal Role of Nrf2 in Neurodegenerative Disorders: A New Way for Therapeutic Strategies. Pharmaceuticals 2022, 15, 692. [Google Scholar] [CrossRef] [PubMed]
- Abdolmaleki, A.; Karimian, A.; Khoshnazar, S.M.; Asadi, A.; Samarein, Z.A.; Smail, S.W.; Bhattacharya, D. The role of Nrf2 signaling pathways in nerve damage repair. Toxicol. Res. 2024, 13, tfae080. [Google Scholar] [CrossRef] [PubMed]
- Mayer, C.; Riera-Ponsati, L.; Kauppinen, S.; Klitgaard, H.; Erler, J.T.; Hansen, S.N. Targeting the NRF2 pathway for disease modification in neurodegenerative diseases: Mechanisms and therapeutic implications. Front. Pharmacol. 2024, 15, 1437939. [Google Scholar] [CrossRef] [PubMed]
- He, F.; Ru, X.; Wen, T. NRF2, a Transcription Factor for Stress Response and Beyond. Int. J. Mol. Sci. 2020, 21, 4777. [Google Scholar] [CrossRef] [PubMed]
- Tonelli, C.; Chio, I.I.C.; Tuveson, D.A. Transcriptional Regulation by Nrf2. Antioxid. Redox Signal. 2018, 29, 1727–1745. [Google Scholar] [CrossRef] [PubMed]
- Cores, Á.; Piquero, M.; Villacampa, M.; León, R.; Menéndez, J.C. NRF2 Regulation Processes as a Source of Potential Drug Targets against Neurodegenerative Diseases. Biomolecules 2020, 10, 904. [Google Scholar] [CrossRef] [PubMed]
- Balaha, M.F.; Alamer, A.A.; Aldossari, R.M.; Aodah, A.H.; Helal, A.I.; Kabel, A.M. Amentoflavone Mitigates Cyclophosphamide-Induced Pulmonary Toxicity: Involvement of -SIRT-1/Nrf2/Keap1 Axis, JAK-2/STAT-3 Signaling, and Apoptosis. Medicina 2023, 59, 2119. [Google Scholar] [CrossRef] [PubMed]
- Yuan, D.; Xu, Y.; Xue, L.; Zhang, W.; Gu, L.; Liu, Q. Resveratrol protects against diabetic retinal ganglion cell damage by activating the Nrf2 signaling pathway. Heliyon 2024, 10, e30786. [Google Scholar] [CrossRef] [PubMed]
- Xie, L.W.; Cai, S.; Zhao, T.S.; Li, M.; Tian, Y. Green tea derivative (−)-epigallocatechin-3-gallate (EGCG) confers protection against ionizing radiation-induced intestinal epithelial cell death both in vitro and in vivo. Free Radic. Biol. Med. 2020, 161, 175–186. [Google Scholar] [CrossRef] [PubMed]
- Yuan, Y.; Zhai, Y.; Chen, J.; Xu, X.; Wang, H. Kaempferol Ameliorates Oxygen-Glucose Deprivation/Reoxygenation-Induced Neuronal Ferroptosis by Activating Nrf2/SLC7A11/GPX4 Axis. Biomolecules 2021, 11, 923. [Google Scholar] [CrossRef] [PubMed]
- Zhang, M.; Liu, J.; Yu, Y.; Liu, X.; Shang, X.; Du, Z.; Xu, M.L.; Zhang, T. Recent Advances in the Inhibition of Membrane Lipid Peroxidation by Food-Borne Plant Polyphenols via the Nrf2/GPx4 Pathway. J. Agric. Food Chem. 2024, 72, 12340–12355. [Google Scholar] [CrossRef] [PubMed]
- Di Lorenzo, C.; Colombo, F.; Biella, S.; Stockley, C.; Restani, P. Polyphenols and Human Health: The Role of Bioavailability. Nutrients 2021, 13, 273. [Google Scholar] [CrossRef] [PubMed]
- Shahabi, M.; Idrees, R. Flavanols for Age-related Memory Loss: A Promising Nutritional Intervention. Ann. Neurosci. 2023, 30, 222–223. [Google Scholar] [CrossRef] [PubMed]
- Cosar, M.Y.; Erdogan, M.A.; Yilmaz, O. Epigallocatechin-3-gallate and resveratrol attenuate hydrogen peroxide induced damage in neuronal cells. Bratisl. Lek. Listy. 2023, 124, 205–211. [Google Scholar] [CrossRef] [PubMed]
- Echeverry, C.; Pazos, M.; Torres-Pérez, M.; Prunell, G. Plant-derived compounds and neurodegenerative diseases: Different mechanisms of action with therapeutic potential. Neuroscience 2025, 566, 149–160. [Google Scholar] [CrossRef] [PubMed]
- Krishnakumar, I.M.; Jaja-Chimedza, A.; Joseph, A.; Balakrishnan, A.; Maliakel, B.; Swick, A. Enhanced bioavailability and pharmacokinetics of a novel hybrid-hydrogel formulation of fisetin orally administered in healthy individuals: A randomised double-blinded comparative crossover study. J. Nutr. Sci. 2022, 11, e74. [Google Scholar] [CrossRef] [PubMed]
- Riva, A.; Ronchi, M.; Petrangolini, G.; Bosisio, S.; Allegrini, P. Improved Oral Absorption of Quercetin from Quercetin Phytosome®, a New Delivery System Based on Food Grade Lecithin. Eur. J. Drug Metab. Pharmacokinet. 2019, 44, 169–177. [Google Scholar] [CrossRef] [PubMed]
- Xie, L.; Lee, S.G.; Vance, T.M.; Wang, Y.; Kim, B.; Lee, J.Y.; Chun, O.K.; Bolling, B.W. Bioavailability of anthocyanins and colonic polyphenol metabolites following consumption of aronia berry extract. Food Chem. 2016, 211, 860–868. [Google Scholar] [CrossRef] [PubMed]
- Lin, S.J.; Tai, L.; Huang, Y.J.; Uang, Y.S.; Ho, Y.; Hsu, K.Y.; Wang, L.H. Effect of catechin and commercial preparation of green tea essence on the pharmacokinetics of L-dopa in rabbits. Biomed. Chromatogr. 2021, 35, e5227. [Google Scholar] [CrossRef] [PubMed]
- Samantaray, S.; Knaryan, V.H.; Guyton, M.K.; Matzelle, D.D.; Ray, S.K.; Banik, N.L. The parkinsonian neurotoxin rotenone activates calpain and caspase-3 leading to motoneuron degeneration in spinal cord of Lewis rats. Neuroscience 2007, 146, 741–755. [Google Scholar] [CrossRef] [PubMed]
- Samantaray, S.; Knaryan, V.H.; Butler, J.T.; Ray, S.K.; Banik, N.L. Spinal cord degeneration in C57BL/6N mice following induction of experimental parkinsonism with MPTP. J. Neurochem. 2008, 104, 1309–1320. [Google Scholar] [CrossRef] [PubMed]
- Samantaray, S.; Butler, J.T.; Ray, S.K.; Banik, N.L. Extranigral neurodegeneration in Parkinson’s disease. Ann. N. Y. Acad. Sci. 2008, 1139, 331–336. [Google Scholar] [CrossRef] [PubMed]
- Knaryan, V.H.; Samantaray, S.; Le Gal, C.; Ray, S.K.; Banik, N.L. Tracking extranigral degeneration in animal models of Parkinson’s disease: Quest for effective therapeutic strategies. J. Neurochem. 2011, 118, 326–338. [Google Scholar] [CrossRef] [PubMed]
- Klingelhoefer, L.; Reichmann, H. Parkinson’s disease as a multisystem disorder. J. Neural Transm. 2017, 124, 709–713. [Google Scholar] [CrossRef] [PubMed]
- Park, S.J.; Kim, K.W.; Lee, E.J. Gut-brain axis and environmental factors in Parkinson’s disease: Bidirectional link between disease onset and progression. Neural Regen. Res. 2024, 10, 4103. [Google Scholar] [CrossRef] [PubMed]
- Jia, X.; Wang, Q.; Liu, M.; Ding, J.Y. The interplay between gut microbiota and the brain-gut axis in Parkinson’s disease treatment. Front. Neurol. 2024, 15, 1415463. [Google Scholar] [CrossRef] [PubMed]
- Riegelman, E.; Xue, K.S.; Wang, J.S.; Tang, L. Gut-Brain Axis in Focus: Polyphenols, Microbiota, and Their Influence on α-Synuclein in Parkinson’s Disease. Nutrients 2024, 16, 2041. [Google Scholar] [CrossRef] [PubMed]
- Jaberi, K.R.; Alamdari-Palangi, V.; Savardashtaki, A.; Vatankhah, P.; Jamialahmadi, T.; Tajbakhsh, A.; Sahebkar, A. Modulatory Effects of Phytochemicals on Gut-Brain Axis: Therapeutic Implication. Curr. Dev. Nutr. 2024, 8, 103785. [Google Scholar] [CrossRef] [PubMed]
- Lee, M.Y.; Choi, E.J.; Lee, M.K.; Lee, J.J. Epigallocatechin gallate attenuates L-DOPA-induced apoptosis in rat PC12 cells. Nutr. Res. Pract. 2013, 7, 249–255. [Google Scholar] [CrossRef] [PubMed]
- Yao, L.; Yang, Y.; Yang, X.; Rezaei, M.J. The Interaction Between Nutraceuticals and Gut Microbiota: A Novel Therapeutic Approach to Prevent and Treatment Parkinson’s Disease. Mol. Neurobiol. 2024, 61, 9078–9109. [Google Scholar] [CrossRef] [PubMed]
- Kumar, R.; Waisberg, E.; Ong, J.; Paladugu, P.; Amiri, D.; Saintyl, J.; Yelamanchi, J.; Nahouraii, R.; Jagadeesan, R.; Tavakkoli, A. Artificial Intelligence-Based Methodologies for Early Diagnostic Precision and Personalized Therapeutic Strategies in Neuro-Ophthalmic and Neurodegenerative Pathologies. Brain Sci. 2024, 14, 1266. [Google Scholar] [CrossRef] [PubMed]
- Karimi-Sani, I.; Sharifi, M.; Abolpour, N.; Lotfi, M.; Atapour, A.; Takhshid, M.A.; Sahebkar, A. Drug repositioning for Parkinson’s disease: An emphasis on artificial intelligence approaches. Ageing Res. Rev. 2025, 104, 102651. [Google Scholar] [CrossRef] [PubMed]
- Dou, L.; Xu, Z.; Xu, J.; Zang, C.; Su, C.; Pieper, A.A.; Leverenz, J.B.; Wang, F.; Zhu, X.; Cummings, J.; et al. A network-based systems genetics framework identifies pathobiology and drug repurposing in Parkinson’s disease. NPJ Parkinsons Dis. 2025, 11, 22. [Google Scholar] [CrossRef] [PubMed]







| Gut Microbiota-Regulated Systems | Functions | Bacteria and Metabolites Mediating Function | References |
|---|---|---|---|
| Digestive system | Bile acid transformation | Bacteroides spp., Eubacterium spp., and Clostridium spp. | [19] |
| Tight junction regulation | Short-chain fatty acids (SCFAs) | [19] | |
| Mucus layer properties | Bacteroides thetaiotaomicron | [21] | |
| Endocrine system | Production of neurotransmitters such as gamma-aminobutyric acid (GABA), norepinephrine, histamine, and serotonin | Lactobacillus spp., Bifidobacterium spp., Bacillus spp., Escherichia spp., Enterococcus spp., and Lactococcus Lactis | [19] |
| Immune system | Innate and adaptive immunity activation | SCFAs, Clostridium spp., and Bacillus fragilis | [19,21] |
| Induce synthesis of antimicrobial proteins (AMPs) | Bacteroides thetaiotaomicron and Lactobacillus innocua | [21] | |
| Nervous system | Blood-brain-barrier (BBB) regulation | SCFAs | [19] |
| Multiple systems | Digestion of host-resistant carbohydrates | Bacteroidetes spp. and Firmicutes spp. | [19] |
| Digestion of undigested proteins and amino acids | Clostridium spp., Bacteroides spp., and Lactobacillus spp. | [19] | |
| Activation of dietary polyphenols | Gordonibacter spp. | [19,21] | |
| SCFA production | Bacteroides spp., Roseburia spp., Bifidobacterium spp., Faecalibacterium spp., and Enterobacteria spp. | [19,21] | |
| Xenobiotic and drug metabolism | Eggerthella lenta | [21] | |
| Vitamin and amino acid biosynthesis | Bacteroides spp., Bifidobacterium spp., and Enterococcus spp. | [19,22] |
| Major Flavonoid Subclasses | Dietary Sources | Proposed Health Benefits | Examples of Flavonoids | References |
|---|---|---|---|---|
| Flavones | Dried tea leaves, herbs, citrus fruit, grains, wine, olives, onions, red bell peppers, and honey | Antioxidant effects, anti-inflammatory effects, and cholesterol-lowering effects | Vitexin, apigenin, luteolin, and tangeritin | [28,30,36] |
| Flavanones | Citrus fruits and medicinal plants | Free-radical scavenging, antioxidant effects, anti-inflammatory effects, blood-lipid lowering, and cholesterol-lowering effects | Hesperetin, naringin, naringenin, eriodictyol, and hesperidin | [28,36] |
| Flavonols | Onions, green vegetables, apples, grapes, berries, tea, and certain medical plants and herbs | Anti-inflammatory effects, neuroprotection, antioxidant effects, and anti-hypertensive effects | Quercetin, kaempferol, myricetin, and fisetin | [28,36,38] |
| Isoflavones | Soybeans and other legumes | Phyto-estrogen effects, antioxidant effects, positive modulation of the gut microbiota, and anti-inflammatory effects | Genistein, daidzein, genistin, glycitein, and biochanin | [28,36,38] |
| Flavan-3-ols | Grapes, berries, pome fruits, green tea, black tea, apples, persimmons, cocoa, bananas, peaches, and pears | Improved endothelial function, improved cognitive function, antidiabetic effects, and anti-hypertensive effects | Catechins | [28,36,38] |
| Anthocyanin | Colorful (e.g., red, violet, and purple) leafy and root vegetables, berries, black currants, red grapes, and merlot grapes | Neuroprotection, improved vascular health, anti-inflammatory effects, improved gut barrier function, improved cognitive function, antioxidant effects, reduced excitotoxicity, and positive modulators of the gut microbiota | Pelargonidin, cyanidin, delphinidin, peonidin, petunidin, and malvidin | [28,36,38] |
| Identification Number | Study Design | Study Description | Results | Study Timeframe |
|---|---|---|---|---|
| NCT04300608 | Cross -sectional cohort study | 30 elderly individuals (65–85 yo) with early to mid-stage PD (Hoehn and Yahr score 2–3) were evaluated based on the metabolic and functional properties of their skeletal muscle, and the findings of these assessments were then compared to a control dataset of healthy individuals who fell within the same age demographic. | NA | November 2021–Unknown |
| NCT00329056 | Double-blind, prospective, randomized control study (Phase 2 trial) | 128 individuals with untreated PD were randomly assigned to one of three different clinical arms, consisting of two experimental arms (40 mg Mito Q tablets and 80 mg Mito Q tablets) and a control arm (placebo group). Then, over a 1 year period, the individuals in this study were assessed on the progression of their condition using the UPDRS and evaluated for any pernicious effects. | NA | May 2006–November 2007 |
| NCT03421899 | Prospective observational study | 160 individuals with PD or of good health were stratified into three groups: individuals with monogenic forms of PD that involved some form of mitochondrial dysfunction, individuals with idiopathic PD, and healthy individuals. Throughout a three-year period, DNA-containing samples were collected and subjected to biochemical assays in the hopes of discerning if there were any biochemical markers that could be used to differentiate individuals with PD based on mitochondrial dysfunction. | NA | August 2017–April 2020 |
| NCT03061513 | Quadruple-blind, randomized control study | 11 individuals who were diagnosed with PD within 5 years of study participation were randomly assigned either to the experimental arm in which 600 mg of ubiquinol were administered daily over 24 weeks or the control arm in which a placebo was administered daily over the same time frame. Throughout the study period, participants were assessed for any adverse effects and cerebral redox markers, with an MRI examination being integrated into the study at baseline and again at the end of 8 weeks of treatment. | Number of adverse effects: Experimental: 27 Control: 12 Number of serious adverse effects: Experimental: 0 Control: 0 Change in cerebral redox markers–lactate levels [Mean (Standard deviation)]: Experimental: ∆ − 11.98 (18.57) Control: ∆ 6.23 (23.19) | 28 February 2012–31 December 2017 |
| NCT02462603 | Within-subject, controlled open-label study (Phase 2A trial) | 44 individuals who were diagnosed with late-stage idiopathic or monogenic PD received a dose of 500 mg PTC589 orally twice daily for up to 3 months unless the administration must be discontinued due to safety concerns. Throughout the treatment phase, participants were assessed for peripheral blood biomarkers, CNS biomarkers, urine biomarkers, disease progression, and side effects. | Severe adverse effects (41 participants): 0 Change in disease severity from baseline (increasing score indicates worsening severity; 40 participants): nM-EDL: ∆ − 0.1 (3.93) M-EDL: ∆ 0.1 (3.54) Motor examination: ∆ − 0.6 (6.72) Motor complications: ∆ − 0.1 (2.17) Change in non-motor symptoms scale scoring (40 participants): ∆ − 0.6 (14.79) (Further outcome measures were discussed in the results but were excluded here for brevities sake) | 17 May 2016–08 January 2019 |
| Study Design | Administration | Pharmacokinetics | Reference |
|---|---|---|---|
| Single arm study Subjects: 10 healthy men; 21–28 years old Duration: 48-h intervention study; single dose administration; sample collection (blood and urine) occurred throughout the intervention period | 6.3 mL/kg body weight of ‘juice mix’ containing quercetin (30 mg/L juice mix), naringenin (28 mg/L juice mix), and hesperetin (32 mg/L juice mix) | Quercetin Tmax plasma (h): 3.6 ± 1.6 Cmax plasma (μmol/L): 0.15 ± 0.13 AUC0–48 h (μmol × h/L): 1.77 ± 1.63 Mean excreted amount 0–48 h (μg): 227 ± 142 Accumulated relative urinary excretion 0–48 h (% of the dose): 1.5 ± 1.0 Naringenin Tmax plasma (h): 3.6 ± 1.6 Cmax plasma (μmol/L): 0.25 ± 0.13 AUC0–48 h (μmol × h/L): 2.82 ± 2.09 Mean excreted amount 0–48 h (μg): 3160 ± 1612 Accumulated relative urinary excretion 0–48 h (% of the dose): 22.6 ± 11.5 Hesperetin Tmax plasma (h): 4.9 ± 1.4 Cmax plasma (μmol/L): 0.18 ± 0.13 AUC0–48 h (μmol × h/L): 1.99 ± 1.49 Mean excreted amount 0–48 h (μg): 2278 ± 1457 Accumulated relative urinary excretion 0–48 h (% of the dose): 14.2 ± 9.1 | [37] |
| A double bind randomized cross-over study Subjects: 15 participants: 12 males and three females; 22–55 years old; BMI 18–25 kg/m2 Duration: a preliminary low fisetin diet was adhered to for a 2-day period prior to the start of the study; single dose administration; sample collection (blood) occurred over a 12-h period | Capsule (1000 mg) of unformulated fisetin (98.2% fisetin content; oral administration) | Cmax (ng/mL): 9.97 ± 3.97 Tmax (h): 0.88 ± 0.18 T1/2 (h): 1.14 ± 0.09 AUC0–12 (ng × h/mL): 12.67 ± 4.86 | [88] |
| A randomized six-sequence/three-period cross-over study (the researchers were aware of which treatment was administered among participants, but did not know which treatment was associated with a sample once it was collected) Subjects: 12 healthy participants; 18–50 years old; BMI 18.5–27 kg/m2 Duration: a low quercetin diet was adhered to for a period of at least 72 h prior to the start of the study; single-dose administration; sample collection (blood) occurred over a 24-h period | Solubility study: 20 mg of quercetin dissolved in 10 mL of a stimulated biological fluid Pharmacokinetic study: 500 mg film-coated quercetin tablet (oral administration) | Solubility: FaSSGF pH 1.6 ≤ LOD FaSSIF pH 6.5–0.0075 mg/mL FeSSIF pH 5.0–0.0191 mg/mL Cmax (ng/mL): 10.93 ± 2.22 Tmax (min): 290.00 ± 31.19 T1/2 (min): 375.63 ± 75.51 AUClast (min × ng/mL): 4774.93 ± 1190.61 | [89] |
| Single arm study Subjects: six participants; 18–65 years old; randomly sampled from a larger clinical trial focused on studying the cardioprotective effects of Aronia berry supplementation among former smokers at risk for cardiovascular disease; BMI 18.5–39 kg/m2 Duration: a low polyphenol diet was adhered to for at least 3 days before the study began, followed by an overnight fast; single dose administration; sample collection (blood and urine) occurred over a 24-h period | Approximately 500 mg of Aronia extract (two 250 mg extract capsules taken with water) consisting of: Cyanidin-3-galactoside + cyanidin-3-glucoside: 32.52 ± 0.7 mg Cyanidin-3-arabinoside: 11.79 ± 0.3 mg Cyanidine-3-xyloside: 0.76 ± 0.0 mg [Total: 45.1 mg anthocyanins] | Cyanidin-3-galactoside Plasma Cmax (ng/mL): <LOD Plasma Tmax (h): N/A Plasma AUC (μg × h/mL): N/A Urine Cmax (mg/mg creatinine): 0.004 ± 0.001 (0.002–0.010) Urine Tmax (h): 4.67 ± 1.03 Urine AUC (μg × h/mL): 0.016 ± 0.005 Cyanidin-3-glucoside Plasma Cmax (ng/mL): 0.059 ± 0.024 (0.014–0.180) Plasma Tmax (h): 1.60 ± 0.24 Plasma AUC (μg × h/mL): 0.462 ± 0.170 Urine Cmax (mg/mg creatinine): 0.010 ± 0.006 (0.002–0.004) Urine Tmax (h): 6.00 ± 3.35 Urine AUC (μg × h/mL): 0.118 ± 0.070 Cyanidine-3-arabinoside Plasma Cmax (ng/mL): <LOD Plasma Tmax (h): N/A Plasma AUC (μg × h/mL): N/A Urine Cmax (mg/mg creatinine): 0.020 ± 0.006 (0.002–0.038) Urine Tmax (h): 4.00 ± 1.26 Urine AUC (μg × h/mL): 0.088 ± 0.031 | [90] |
Disclaimer/Publisher’s Note: The statements, opinions and data contained in all publications are solely those of the individual author(s) and contributor(s) and not of MDPI and/or the editor(s). MDPI and/or the editor(s) disclaim responsibility for any injury to people or property resulting from any ideas, methods, instructions or products referred to in the content. |
© 2025 by the authors. Licensee MDPI, Basel, Switzerland. This article is an open access article distributed under the terms and conditions of the Creative Commons Attribution (CC BY) license (https://creativecommons.org/licenses/by/4.0/).
Share and Cite
Kalu, A.; Ray, S.K. Epigallocatechin-3-Gallate, Quercetin, and Kaempferol for Treatment of Parkinson’s Disease Through Prevention of Gut Dysbiosis and Attenuation of Multiple Molecular Mechanisms of Pathogenesis. Brain Sci. 2025, 15, 144. https://doi.org/10.3390/brainsci15020144
Kalu A, Ray SK. Epigallocatechin-3-Gallate, Quercetin, and Kaempferol for Treatment of Parkinson’s Disease Through Prevention of Gut Dysbiosis and Attenuation of Multiple Molecular Mechanisms of Pathogenesis. Brain Sciences. 2025; 15(2):144. https://doi.org/10.3390/brainsci15020144
Chicago/Turabian StyleKalu, Alexis, and Swapan K. Ray. 2025. "Epigallocatechin-3-Gallate, Quercetin, and Kaempferol for Treatment of Parkinson’s Disease Through Prevention of Gut Dysbiosis and Attenuation of Multiple Molecular Mechanisms of Pathogenesis" Brain Sciences 15, no. 2: 144. https://doi.org/10.3390/brainsci15020144
APA StyleKalu, A., & Ray, S. K. (2025). Epigallocatechin-3-Gallate, Quercetin, and Kaempferol for Treatment of Parkinson’s Disease Through Prevention of Gut Dysbiosis and Attenuation of Multiple Molecular Mechanisms of Pathogenesis. Brain Sciences, 15(2), 144. https://doi.org/10.3390/brainsci15020144

