Pauses as a Quantitative Measure of Linguistic Planning Challenges in Parkinson’s Disease
Abstract
1. Introduction
2. Materials and Methods
2.1. Participants and Study Procedures
2.2. Pauses Analysis
2.3. Narrative Language Outcomes
2.4. Statistical Analyses
3. Results
3.1. Productivity Indices and Their Relationship with Informativeness in the Studied Samples
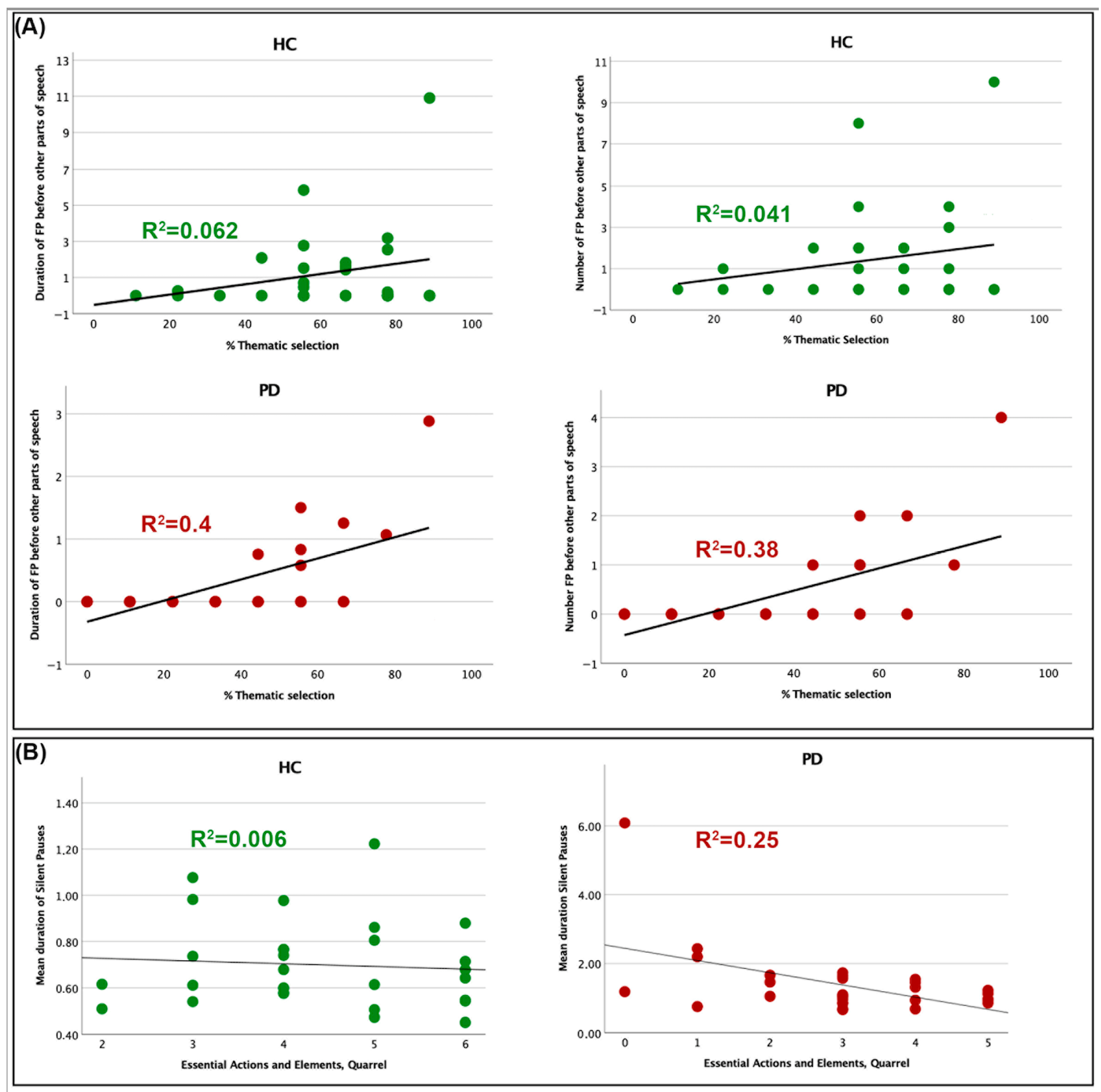
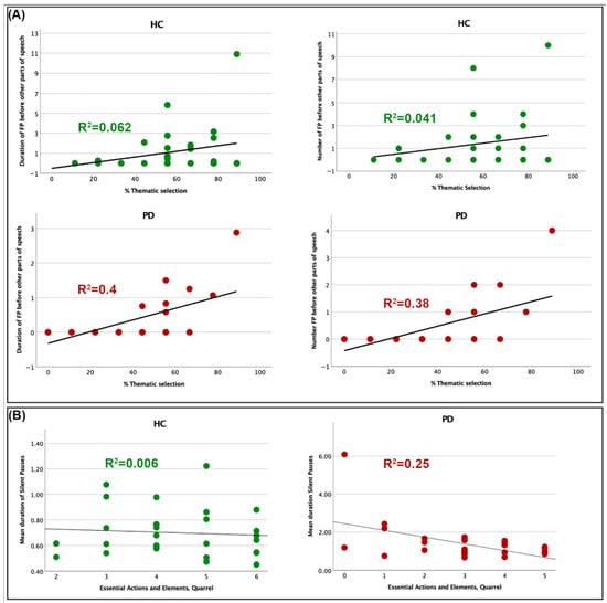
3.2. Pausing Parameters and Their Relationship with Informativeness Indices Differentiating the Two Groups
3.3. Differences in Pausing Parameters According to Their Location. Association with Informativeness Indices, Neuropsychological Performance and Motor Symptoms
4. Discussion
5. Conclusions
Supplementary Materials
Author Contributions
Funding
Institutional Review Board Statement
Informed Consent Statement
Data Availability Statement
Acknowledgments
Conflicts of Interest
References
- Miller, N. Communication changes in Parkinson’s disease. Pract. Neurol. 2017, 17, 266–274. [Google Scholar]
- Smith, K.M.; Caplan, D.N. Communication impairment in Parkinson’s disease: Impact of motor and cognitive symptoms on speech and language. Brain Lang. 2018, 185, 38–46. [Google Scholar] [CrossRef]
- Andrade, E.I.N.; Manxhari, C.; Smith, K.M. Pausing before verb production is associated with mild cognitive impairment in Parkinson’s disease. Front. Hum. Neurosci. 2023, 17, 1102024. [Google Scholar] [CrossRef]
- Ash, S.; Xie, S.X.; Gross, R.G.; Dreyfuss, M.; Boller, A.; Camp, E.; Morgan, B.; O’SHea, J.; Grossman, M. The Organization and Anatomy of Narrative Comprehension and Expression in Lewy Body Spectrum Disorders. Neuropsychology 2012, 26, 368–384. [Google Scholar] [CrossRef] [PubMed]
- Lee, J.; Huber, J.; Jenkins, J.; Fredrick, J. Language planning and pauses in story retell: Evidence from aging and Parkinson’s disease. J. Commun. Disord. 2019, 79, 1–10. [Google Scholar] [CrossRef] [PubMed]
- Murray, L.L. Spoken language production in Huntington’s and Parkinson’s diseases. J. Speech Lang. Hear. Res. 2000, 43, 1350–1366. [Google Scholar]
- Roberts, A. Characterizing Spoken Discourse in Individuals with Parkinson Disease Without Dementia. Electronic Thesis and Repository Dissertation, The University of Western Ontario (Canada), London, ON, Canada, 2014. [Google Scholar]
- Roberts, A.; Post, D. Information content and efficiency in the spoken discourse of individuals with parkinson’s disease. J. Speech Lang. Hear. Res. 2018, 61, 2259–2274. [Google Scholar] [CrossRef]
- D’Ascanio, S.; Piras, F.; Banaj, N.; Assogna, F.; Pellicano, C.; Bassi, A.; Spalletta, G.; Piras, F. Narrative discourse production in Parkinson’s disease: Decoupling the role of cognitive-linguistic and motor speech changes. Heliyon 2023, 9, e18633. [Google Scholar] [CrossRef]
- Skodda, S. Aspects of speech rate and regularity in Parkinson’s disease. J. Neurol. Sci. 2011, 310, 231–236. [Google Scholar] [CrossRef] [PubMed]
- Weismer, G. Articulatory characteristics of Parkinsonian dysarthria: Segmental and phrase-level timing, spirantization, and glottal–supraglottal coordination. In The Dysarthrias: Physiology, Acoustics, Perception, Management; McNeil, M.R., Rosenbek, J.C., Aronson, A.E., Eds.; College-Hill Press: San Diego, CA, USA, 1984; pp. 101–130. [Google Scholar]
- MacGregor, L.J.; Corley, M.; Donaldson, D.I. Listening to the sound of silence: Disfluent silent pauses in speech have consequences for listeners. Neuropsychologia 2010, 48, 3982–3992. [Google Scholar] [CrossRef]
- Alvar, A.M.; Lee, J.; Huber, J.E. Filled pauses as a special case of automatic speech behaviors and the effect of parkinson’s disease. Am. J. Speech-Language Pathol. 2019, 28, 835–843. [Google Scholar] [CrossRef]
- Rohl, A.; Gutierrez, S.; Johari, K.; Greenlee, J.; Tjaden, K.; Roberts, A. Speech dysfunction, cognition, and Parkinson’s disease. Prog. Brain Res. 2022, 269, 153–173. [Google Scholar]
- Smith, K.M.; Ash, S.; Xie, S.X.; Grossman, M. Evaluation of linguistic markers of word-finding difficulty and cognition in parkinson’s disease. J. Speech Lang. Hear. Res. 2018, 61, 1691–1699. [Google Scholar] [CrossRef]
- Alster, P.; Madetko-Alster, N.; Migda, A.; Migda, B.; Kutyłowski, M.; Królicki, L.; Friedman, A. Sleep disturbances in progressive supranuclear palsy syndrome (PSPS) and corticobasal syndrome (CBS). Neurol. I Neurochir. Pol. 2023, 57, 229–234. [Google Scholar] [CrossRef]
- Whitfield, J.A.; Gravelin, A.C. Characterizing the distribution of silent intervals in the connected speech of individuals with Parkinson disease. J. Commun. Disord. 2019, 78, 18–32. [Google Scholar] [CrossRef] [PubMed]
- Altmann, L.J.P.; Troche, M.S. High-level language production in parkinson’s disease: A review. Park. Dis. 2011, 2011, 238956. [Google Scholar] [CrossRef]
- Illes, J.; Metter, E.; Hanson, W.; Iritani, S. Language production in Parkinson’s disease: Acoustic and linguistic considerations. Brain Lang. 1988, 33, 146–160. [Google Scholar] [CrossRef] [PubMed]
- Troche, M.S.; Altmann, L.J.P. Sentence production in Parkinson disease: Effects of conceptual and task complexity. Appl. Psycholinguist. 2012, 33, 225–251. [Google Scholar] [CrossRef]
- Gósy, M. Occurrences and Durations of Filled Pauses in Relation to Words and Silent Pauses in Spontaneous Speech. Languages 2023, 8, 79. [Google Scholar] [CrossRef]
- Ahn, J.S.; Van, D.; Sidtis, L.; Sidtis, J.J. Effects of Deep Brain Stimulation on Pausing During Spontaneous Speech in Parkinson’s Disease. J. Med. Speech-Lang. Pathol. 2014, 21, 179. [Google Scholar]
- Huber, J.E.; Darling, M. Effect of parkinson’s disease on the production of structured and unstructured speaking tasks: Respiratory physiologic and linguistic considerations. J. Speech Lang. Hear. Res. 2011, 54, 33–46. [Google Scholar] [CrossRef] [PubMed]
- Skodda, S.; Flasskamp, A.; Schlegel, U. Instability of syllable repetition as a model for impaired motor processing: Is Parkinson’s disease a “rhythm disorder”? J. Neural. Transm. 2010, 117, 605–612. [Google Scholar] [CrossRef] [PubMed]
- Levelt, W. Monitoring and self-repair in speech. Cognition 1983, 14, 41–104. [Google Scholar] [CrossRef]
- Oomen, C.C.E.; Postma, A. Effects of divided attention on the production of filled pauses and repetitions. J. Speech Lang. Hear. Res. 2001, 44, 997–1004. [Google Scholar] [CrossRef]
- Folstein, M.F.; Folstein, S.E.; McHugh, P.R. “Mini-mental state”. A practical method for grading the cognitive state of patients for the clinician. J. Psychiatr. Res. 1975, 12, 189–198. [Google Scholar] [CrossRef]
- Litvan, I.; Goldman, J.G.; Tröster, A.I.; Schmand, B.A.; Weintraub, D.; Petersen, R.C.; Mollenhauer, B.; Adler, C.H.; Marder, K.; Williams-Gray, C.H.; et al. Diagnostic criteria for mild cognitive impairment in Parkinson’s disease: Movement Disorder Society Task Force guidelines. Mov. Disord. 2012, 27, 349–356. [Google Scholar] [CrossRef]
- First, M.B.; Williams, J.B.W.; Karg, R.S.; Spitzer, R.L. SCID-5-CV: Structured Clinical Interview for DSM-5 Disorders, Clinician Version; American Psychiatric Association: Washington, DC, USA, 2016. [Google Scholar]
- Marin, R.S. Differential diagnosis and classification of apathy. Am. J. Psychiatry 1990, 147, 22–30. [Google Scholar] [CrossRef]
- Goodglass, H.; Kaplan, E.; Weintraub, S. Boston Diagnostic Aphasia Examination; Lea & Febige: Philadelphia, PA, USA, 1983. [Google Scholar]
- Nicholas, L.E.; Brookshire, R.H. A System for Quantifying the Informativeness and Efficiency of the Connected Speech of Adults With Aphasia. J. Speech Lang. Hear. Res. 1993, 36, 338–350. [Google Scholar] [CrossRef] [PubMed]
- Ash, S.; Evans, E.; O’Shea, J.; Powers, J.; Boller, A.; Weinberg, D.; Haley, J.; McMillan, C.; Irwin, D.J.; Rascovsky, K.; et al. Differentiating primary progressive aphasias in a brief sample of connected speech. Neurology 2013, 81, 329–336. [Google Scholar] [CrossRef]
- Boersma, P.; Van Heuven, V. PRAAT, a system for doing phonetics by computer. Glot. Int. 2001, 5, 341–347. [Google Scholar]
- Marini, A.; Andreetta, S.; del Tin, S.; Carlomagno, S. A multi-level approach to the analysis of narrative language in aphasia. Aphasiology 2011, 25, 1372–1392. [Google Scholar] [CrossRef]
- Rochester, S.R. The significance of pauses in spontaneous speech. J. Psycholinguist. Res. 1973, 2, 51–81. [Google Scholar] [CrossRef]
- Huber, J.E.; Darling, M.; Francis, E.J.; Zhang, D. Impact of Typical Aging and Parkinson’s Disease on the Relationship Among Breath Pausing, Syntax, and Punctuation. Am. J. Speech-Lang. Pathol. 2012, 21, 368–379. [Google Scholar] [CrossRef]
- Nicholas, L.E.; Brookshire, R.H. Presence, completeness, and accuracy of main concepts in the connected speech of non-brain-damaged adults and adults with aphasia. J. Speech Lang. Hear. Res. 1995, 38, 145–156. [Google Scholar] [CrossRef] [PubMed]
- Marini, A.; Carlomagno, S.; Caltagirone, C.; Nocentini, U. The role played by the right hemisphere in the organization of complex textual structures. Brain Lang. 2005, 93, 46–54. [Google Scholar] [CrossRef]
- Crescentini, C.; Mondolo, F.; Biasutti, E.; Shallice, T. Supervisory and Routine Processes in Noun and Verb Generation in Nondemented Patients with Parkinson’s Disease. Neuropsychologia 2008, 46, 434–447. [Google Scholar] [CrossRef]
- Péran, P.; Cardebat, D.; Cherubini, A.; Piras, F.; Luccichenti, G.; Peppe, A.; Caltagirone, C.; Rascol, O.; Démonet, J.-F.; Sabatini, U. Object naming and action-verb generation in Parkinson’s disease: A fMRI study. Cortex 2009, 45, 960–971. [Google Scholar] [CrossRef]
- Bocanegra, Y.; García, A.M.; Lopera, F.; Pineda, D.; Baena, A.; Ospina, P.; Alzate, D.; Buriticá, O.; Moreno, L.; Ibáñez, A.; et al. Unspeakable motion: Selective action-verb impairments in Parkinson’s disease patients without mild cognitive impairment. Brain Lang. 2017, 168, 37–46. [Google Scholar] [CrossRef]
- Aresta, S.; Battista, P.; Palmirotta, C.; Tagliente, S.; Lagravinese, G.; Santacesaria, P.; Benzini, A.; Mongelli, D.; Minafra, B.; Lunetta, C.; et al. Digital phenotyping of Parkinson’s disease via natural language processing. npj Park. Dis. 2025, 11, 1–12. [Google Scholar] [CrossRef]
- Angelopoulou, G.; Kasselimis, D.; Varkanitsa, M.; Tsolakopoulos, D.; Papageorgiou, G.; Velonakis, G.; Meier, E.; Karavassilis, E.; Pantoleon, V.; Laskaris, N.; et al. Investigating silent pauses in connected speech: Integrating linguistic, neuropsychological, and neuroanatomical perspectives across narrative tasks in post-stroke aphasia. Front. Neurol. 2024, 15, 1347514. [Google Scholar] [CrossRef]
- Redgrave, P.; Rodriguez, M.; Smith, Y.; Rodriguez-Oroz, M.C.; Lehericy, S.; Bergman, H.; Agid, Y.; DeLong, M.R.; Obeso, J.A. Goal-directed and habitual control in the basal ganglia: Implications for Parkinson’s disease. Nat. Rev. Neurosci. 2010, 11, 760–772. [Google Scholar] [CrossRef]
- Cao, F.; Vogel, A.P.; Gharahkhani, P.; Renteria, M.E. Speech and language biomarkers for Parkinson’s disease prediction, early diagnosis and progression. NPJ Park. Dis. 2025, 11, 57. [Google Scholar] [CrossRef]
- Postma, A. Detection of errors during speech production: A review of speech monitoring models. Cognition 2000, 77, 97–132. [Google Scholar] [CrossRef]
- Vercruysse, S.; Gilat, M.; Shine, J.; Heremans, E.; Lewis, S.; Nieuwboer, A. Freezing beyond gait in Parkinson’s disease: A review of current neurobehavioral evidence. Neurosci. Biobehav. Rev. 2014, 43, 213–227. [Google Scholar] [CrossRef]
- Ramage, A.E.; Greenslade, K.J.; Cote, K.; Lee, J.N.; Fox, C.M.; Halpern, A.; Ramig, L.O. Narrative analysis in individuals with Parkinson’s disease following intensive voice treatment: Secondary outcome variables from a randomized controlled trial. Front. Hum. Neurosci. 2024, 18, 1394948. [Google Scholar] [CrossRef]
- Altmann, L.J.; Stegemöller, E.; Hazamy, A.A.; Wilson, J.P.; Bowers, D.; Okun, M.S.; Hass, C.J. Aerobic Exercise Improves Mood, Cognition, and Language Function in Parkinson’s Disease: Results of a Controlled Study. J. Int. Neuropsychol. Soc. 2016, 22, 878–889. [Google Scholar] [CrossRef] [PubMed]
- Silagi, M.L.; Hirata, F.N.; de Mendonça, L.I.Z. Produção de sentenças na reabilitação de agramatismo: Um estudo de caso. Dement. Neuropsychol. 2014, 8, 297–301. [Google Scholar] [CrossRef] [PubMed]
- Edmonds, L.A.; Mammino, K.; Ojeda, J. Effect of verb network strengthening treatment (VNeST) in persons with aphasia: Extension and replication of previous findings. Am. J. Speech-Lang. Pathol. 2014, 23, S312–S329. [Google Scholar] [CrossRef] [PubMed]
- Rusz, J.; Krupička, R.; Vítečková, S.; Tykalová, T.; Novotný, M.; Novák, J.; Dušek, P.; Růžička, E. Speech and gait abnormalities in motor subtypes of de-novo Parkinson’s disease. CNS Neurosci. Ther. 2023, 29, 2101–2110. [Google Scholar] [CrossRef] [PubMed]
- Šubert, M.; Novotný, M.; Tykalová, T.; Hlavnička, J.; Dušek, P.; Růžička, E.; Škrabal, D.; Pelletier, A.; Postuma, R.B.; Montplaisir, J.; et al. Spoken Language Alterations can Predict Phenoconversion in Isolated Rapid Eye Movement Sleep Behavior Disorder: A Multicenter Study. Ann. Neurol. 2024, 95, 530–543. [Google Scholar] [CrossRef] [PubMed]
- Leaman, M.C.; Archer, B. “If You Just Stay With Me and Wait…You’ll Get an Idea of What I’m Saying”: The Communicative Benefits of Time for Conversational Self-Repair for People With Aphasia. Am. J. Speech-Lang. Pathol. 2022, 31, 1264–1283. [Google Scholar] [CrossRef] [PubMed]



| Characteristics (Standard Deviation) | HC (n = 29) | PD (n = 29) | t or χ2 | d.f. | p |
|---|---|---|---|---|---|
| Age (years/sd) | 62.21 (9.43) | 63.00 (8.46) | −0.34 | 56 | 0.74 |
| Males n (%) | 16 (55) | 18 (62) | 0.28 | 1 | 0.59 |
| Educational level (years/sd) | 13.17 (3.64) | 11.24 (3.85) | 1.96 | 56 | 0.05 § |
| Duration of illness (years/sd) | - | 4.02 (2.61) | - | - | - |
| Modified H&Y score | - | 1.83 (0.54) | - | - | - |
| MDS-UPDRS-III score (sd) | - | 14.28 (8.61) | - | - | - |
| Levodopa equivalents (mg/day-sd) | - | 477.58 (259.41) | - | - | - |
| PPRS (score/sd) | - | 6.72 (1.07) | - | - | - |
| AS tot. (score/sd) | 2.31 (2.22) | 4.38 (4.79) | −2.24 | 39.80 | 0.03 * |
| HAMA tot. (score/sd) | 4.62 (3.76) | 6.31 (4.86) | −1.31 | 56 | 0.19 |
| BDI tot. (score/sd) | 5.10 (4.06) | 7.52 (6.12) | −1.68 | 56 | 0.09 |
| MMSE (raw score/sd) | 29.52 (0.63) | 29.10 (1.08) | 1.78 | 45.22 | 0.08 |
| WCST-PE | 0.31 (0.81) | 1.97 (3.27) | −2.65 | 31.39 | 0.01 * |
| SWCT-IE-T (sec/sd) | 35.86 (9.74) | 41.83 (21.85) | −1.34 | 38.71 | 0.19 |
| RF-C | 32.28 (2.84) | 29.07 (5.71) | 2.71 | 41.07 | 0.01 * |
| SW-T | 43.97 (10.15) | 37.66 (11.81) | 2.18 | 54.76 | 0.03 * |
| Ph-F | 40.48 (10.23) | 34.52 (9.92) | 2.25 | 56 | 0.03 * |
| Sem-F | 24.34 (4.78) | 21.41 (5.99) | 2.06 | 53.38 | 0.04 * |
| Ac-N (27 subjects) | - | 53.74 (5.08) | - | - | - |
| Ob-N (27 subjects) | - | 56.33 (4.27) | - | - | - |
| PRODUCTIVITY | |
|---|---|
| Modified word fluency (WFmod) | Words are divided by narrative time (NT) after subtracting the pausing time |
| Total word count (TWC) | The total number of phonologically well-formed words excluding phonological fillers, phonological errors and nonwords |
| Mean Length of Utterances (MLU) | The total number of phonologically well-formed words divided by the number of utterances produced |
| INFORMATIVENESS | |
| Percentage of thematic selection (% TH-S) | The thematic selection encompassed all the principal concepts recognized by the speaker within the story. This was achieved by calculating the ratio of the total number of main ideas articulated in each picture description to the overall number of possible information components. The anticipated quantity of content units was predetermined through the analysis of the control group’s performance, identifying two fundamental categories of information: target contentive words or thematic units crucial for grasping the essence of the story, and additional relevant content units that relay supplementary, non-essential information |
| Essential action and elements (CA-EssEA) | The total number of main concepts (words and verbs) accurately mentioned |
| Actions and elements details (CA-DetEA) | The total number of details (words and verbs) accurately stated |
Disclaimer/Publisher’s Note: The statements, opinions and data contained in all publications are solely those of the individual author(s) and contributor(s) and not of MDPI and/or the editor(s). MDPI and/or the editor(s) disclaim responsibility for any injury to people or property resulting from any ideas, methods, instructions or products referred to in the content. |
© 2025 by the authors. Licensee MDPI, Basel, Switzerland. This article is an open access article distributed under the terms and conditions of the Creative Commons Attribution (CC BY) license (https://creativecommons.org/licenses/by/4.0/).
Share and Cite
D’Ascanio, S.; Piras, F.; Spada, C.; Pellicano, C.; Piras, F. Pauses as a Quantitative Measure of Linguistic Planning Challenges in Parkinson’s Disease. Brain Sci. 2025, 15, 1131. https://doi.org/10.3390/brainsci15111131
D’Ascanio S, Piras F, Spada C, Pellicano C, Piras F. Pauses as a Quantitative Measure of Linguistic Planning Challenges in Parkinson’s Disease. Brain Sciences. 2025; 15(11):1131. https://doi.org/10.3390/brainsci15111131
Chicago/Turabian StyleD’Ascanio, Sara, Fabrizio Piras, Caterina Spada, Clelia Pellicano, and Federica Piras. 2025. "Pauses as a Quantitative Measure of Linguistic Planning Challenges in Parkinson’s Disease" Brain Sciences 15, no. 11: 1131. https://doi.org/10.3390/brainsci15111131
APA StyleD’Ascanio, S., Piras, F., Spada, C., Pellicano, C., & Piras, F. (2025). Pauses as a Quantitative Measure of Linguistic Planning Challenges in Parkinson’s Disease. Brain Sciences, 15(11), 1131. https://doi.org/10.3390/brainsci15111131

