The Effect of Intraocular Haloperidol on Motor Function in Models of Two Neuropsychiatric Disorders: Implications for the Origin and Treatment of Parkinson’s Disease, Psychosis and Drug Addiction
Abstract
1. Introduction
2. Materials and Methods
2.1. Animals
2.2. Study 1
2.2.1. Design of Study 1
2.2.2. Drugs and Solutions for Intraperitoneal (I.P.) and IVIT Injections
2.2.3. I.P. and IVIT Injections
2.2.4. Behavioural Measures
2.3. Study 2
2.3.1. Design of Study 2
2.3.2. Surgery
2.3.3. Drugs and Solutions for Intracerebral and IVIT Injections
2.3.4. Intracerebral and IVIT Injections of ML-23 and L-Dopa
2.3.5. Behavioural Measures
2.4. Statistical Analysis
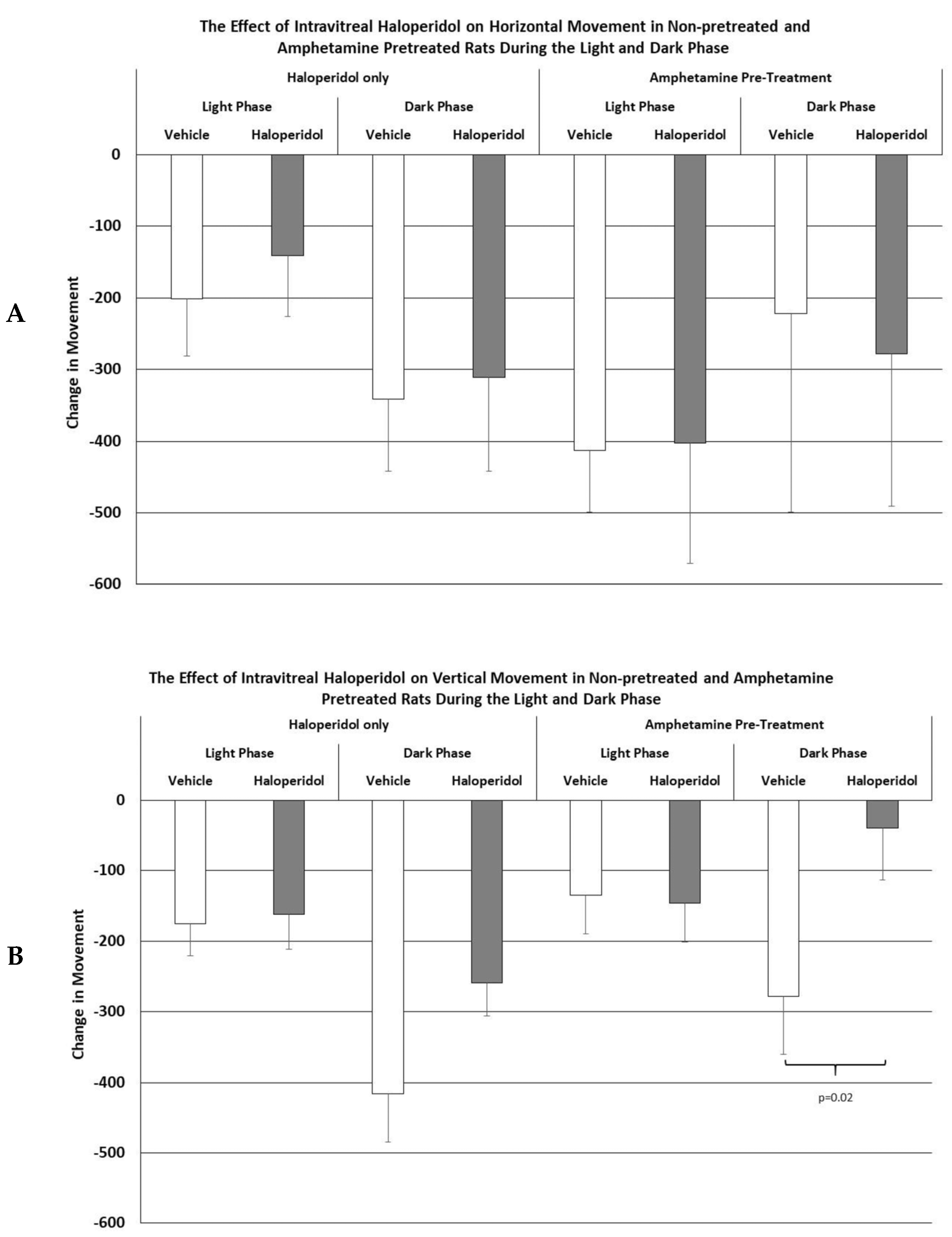
3. Results
3.1. Study 1
3.2. Study 2
4. Discussion
4.1. IVIT Haloperidol and L-Dopa and Amphetamine Pretreatment
4.2. IVIT Haloperidol and the Rotation Model
5. Conclusions
Funding
Institutional Review Board Statement
Informed Consent Statement
Data Availability Statement
Acknowledgments
Conflicts of Interest
References
- Willis, G.L. Intraocular microinjections repair experimental Parkinson’s disease. Brain Res. 2008, 1217, 119–131. [Google Scholar] [CrossRef] [PubMed]
- Willis, G.; Endo, T.; Waldman, M. Circadian intervention improves Parkinson’s disease and may slow disease progression: A 10 year retrospective study. Brain Sci. 2024, 14, 1218. [Google Scholar] [CrossRef] [PubMed]
- Bodis-Wollner, I. Visual deficits related to dopamine deficiency in experimental animals and Parkinson’s disease patients. Trends Neurosci. 1990, 13, 296–302. [Google Scholar] [CrossRef] [PubMed]
- Bodis-Wollner, I. The visual system in Parkinson’s disease. Res. Publ. Assoc. Res. Nerv. Ment. Dis. 1990, 67, 297–316. [Google Scholar]
- Harnois, C.; Di Paolo, T. Decreased dopamine in the retinas of patients with Parkinson’s disease. Investig. Ophthalmol. Vis. Sci. 1990, 31, 2473–2475. [Google Scholar]
- Biehlmaier, O.; Alam, M.; Schmidt, W.J. A rat model of Parkinsonism shows depletion of dopamine in the retina. Neurochem. Int. 2007, 50, 189–195. [Google Scholar] [CrossRef]
- Artemenko, A.R.; Levin, L. The phototherapy for Parkinson’s patients. Zhurnal Nevrol. I Psikhiatrii Im. SS Korsakova 1996, 96, 63–66. [Google Scholar]
- Paus, S.; Schmitz-Hübsch, T.; Wüllner, U.; Vogel, A.; Klockgether, T.; Abele, M. Bright light therapy in Parkinson’s disease: A Pilot Study. Mov. Disord. 2007, 22, 1495–1498. [Google Scholar] [CrossRef]
- Videnovic, A.; Klerman, E.B.; Wang, W.; Marconi, A.; Kuhta, T.; Zee, P.C. Timed Light therapy for sleep and daytime sleepiness associated with Parkinson’s disease: A randomised clinical trial. JAMA Neurol. 2017, 74, 411–418. [Google Scholar] [CrossRef]
- Fang, J.Y.; Tolleson, C. The role of deep brain stimulation in Parkinson’s disease: An overview and update on new developments. Neuropsychiatr. Dis. Treat. 2017, 13, 723–732. [Google Scholar] [CrossRef]
- Hu, K.; Moses, Z.B.; Hutter, M.M.; Williams, Z. Short-Term Adverse Outcomes After Deep Brain Stimulation Treatment in Patients with Parkinson Disease. World Neurosurg. 2017, 98, 365–374. [Google Scholar] [CrossRef]
- Willis, G.L. Parkinson’s disease as a neuroendocrine disorder of circadian function: Dopamine-melatonin imbalance and the visual system in the genesis and progression of the degenerative process. Prog. Neurobiol. 2008, 19, 245–316. [Google Scholar] [CrossRef]
- Büttner, T.; Kuhn, W.; Patzold, T.; Przuntek, H. L-dopa improves colour vision in Parkinson’s disease. J. Neural. Transm. Park. Dis. Dement. Sect. 1994, 7, 13–19. [Google Scholar] [CrossRef]
- Heffner, T.G.; Zigmond, M.J.; Stricker, E.M. Effects of dopaminergic agonists and antagonists of feeding in intact and 6-hydroxydopamine-treated rats. J. Pharmacol. Exp. Ther. 1977, 201, 386–399. [Google Scholar] [CrossRef]
- Filipová, M.; Balík, J.; Filip, V.; Rodný, J.; Krejcová, H. Electroretinographic changes in patients with parkinsonism treated with various classes of antiparkinsonian drugs. Activ. Nerv. Sup. 1979, 21, 136–138. [Google Scholar]
- Bartel, P.; Bloom, M.; Robnson, E.; van der Meyden, C.; Sommers, D.K.; Becker, P. The effects of levodopa and haloperidol on flash and pattern ERGs and VEPs in normal humans. Doc. Ophthalmol. 1990, 76, 55–64. [Google Scholar] [CrossRef] [PubMed]
- Sato, T.; Yoneyama, T.; Kim, H.K.; Suzuki, T.A. Effect of dopamine and haloperidol on the c-wave and light peak of light-induced retinal responses in chick eye. Doc. Ophthalmol. 1987, 65, 87–95. [Google Scholar] [CrossRef] [PubMed]
- Bodis-Wollner, I.; Tzelepi, A. The push-pull action of dopmine on spacial tuning of the monkey retina: The effects of dopaminergic deficiency and selective D1 and D2 receptor ligands on the pattern electroretinogram. Vision Res. 1998, 38, 1470–1487. [Google Scholar] [CrossRef]
- Qu, Z.X.; Fertel, R.; Neff, N.H.; Hadjiconstantinou, M. Pharmacological characterization of rat retinal dopamine receptors. J. Pharmacol. Exp. Ther. 1989, 248, 621–625. [Google Scholar] [CrossRef] [PubMed]
- Rudolf, G.; Wioland, N. Acute blockade of dopamine receptors with haloperidol: A retinal model to study impairments of dopaminergic transmission. Eur. J. Pharmacol. 1993, 230, 259–262. [Google Scholar] [CrossRef]
- Willis, G.L.; Kelly, A.M.; Kennedy, G.A. Compromised circadian function in Parkinson’s disease: Enucleation augments disease severity in the unilateral model. Behav. Brain Res. 2008, 193, 37–47. [Google Scholar] [CrossRef]
- Politis, A.M.; Kokras, N.; Papa, D.; Siarkos, C.; Katirtzoglou, E.; Papadimitriou, G.N.; Kahn, D.A. A severe and irreversible case of tardive rigid-akinetic parkinsonian syndrome: The role of the DaTscan. J. Psychiatr. Pract. 2013, 19, 413–418. [Google Scholar] [CrossRef]
- Leelahanaj, T.; Kongsakon, R.; Netrakom, P. A 4-week, double-blind comparison of olanzapine with haloperidol in the treatment of amphetamine psychosis. J. Med. Assoc. Thai. 2005, 88, S43–S52. [Google Scholar] [PubMed]
- Chou, K.L.; Borek, L.L.; Friedman, J.H. The management of psychosis in movement disorder patients. Expert Opin. Pharmacother. 2007, 8, 935–943. [Google Scholar] [CrossRef] [PubMed]
- Matthew, B.J. Drug-induced parkinsoniam following chronic methylamphetamine use by a patient on haloperidol deconate. Int. J. Psychiatry Med. 2015, 50, 405–411. [Google Scholar] [CrossRef] [PubMed]
- Costall, B.; Naylor, R.J.; Pycock, C. The 6-hydroxydopamine rotational model for the detection of dopamine agonist activity: Reliability of effect from different locations of 6-hydroxydopamine. J. Pharm. Pharmacol. 1975, 27, 943–946. [Google Scholar] [CrossRef]
- Matsuda, H.; Akechi, Y.; Shimada, Y.; Terasawa, K.; Watanabe, H. Relationship of the ipsilateral rotation in night period and striatal dopamine content reduction in unilateral nigrostriatal 6-OHDA lesioned rats. Brain Res. 1995, 686, 111–114. [Google Scholar] [CrossRef]
- Willis, G.L.; Robertson, A.D. Recovery from experimental Parkinson’s disease in the 1-methyl-4-phenyl-1,2,3,6-tetrahydropyridine hydrochloride treated marmoset with the melatonin analogue ML-23. Pharmacol. Biochem. Behav. 2005, 80, 9–26. [Google Scholar] [CrossRef]
- Sirinathsinghji, D. Behavioural effects in the rat after acute unilateral intranigral infusions of N-methyl-4-phenyl-1,2,3,6-tetrahydropyridine. Brain Res. 1985, 339, 366–370. [Google Scholar] [CrossRef]
- Willis, G.L.; Freelance, C.B. Neurochemical Systems of the Retina Involved in the Control of Movement. Front. Neurol. 2017, 8, 324. [Google Scholar] [CrossRef]
- Willis, G.L.; Freelance, C.B. The effect of intravitreal cholinergic drugs on motor control. Behav. Brain Res. 2018, 339, 232–238. [Google Scholar] [CrossRef]
- Willis, G.L.; Armstrong, S.M. A therapeutic role for melatonin antagonism in experimental models of parkinson’s disease. Physiol. Behav. 1999, 66, 785–795. [Google Scholar] [CrossRef]
- Pellegrino, L.J.; Pellegrino, A.S.; Cushman, A.J. A Stereotaxic Atlas of the Rat Brain, 2nd ed.; Plenum Press: New York, NY, USA, 1979. [Google Scholar]
- Hudson, C.J.; Seeman, P.; Seeman, M.V. Parkinson’s disease: Low-dose haloperidol increases dopamine receptor sensitivity and clinical response. Park. Dis. 2014, 2014, 684973. [Google Scholar] [CrossRef]
- Chiueh, C.C.; E Moore, K. D-amphetamine-induced release of “newly synthesized” and “stored” dopamine from the caudate nucleus in vivo. J. Pharmacol. Exp. Ther. 1975, 192, 642–653. [Google Scholar] [CrossRef] [PubMed]
- Feltenstein, M.W.; E See, R. The neurocircuitry of addiction: An overview. Br. J. Pharmacol. 2008, 154, 261–274. [Google Scholar] [CrossRef] [PubMed]
- Beauvallet, M.; Fugazza, J.; Godefroy, F.; Solier, M. Hyperactivity induced by amphetamine in mice during forced exercise and noradrenaline and 3,4-hydroxytyramine (dopamine) content of brain and heart. J. Physiol. 1965, 57, 551–552. [Google Scholar]
- Schlechter, J.M.; Butcher, L.L. Blockade by pimozide of (+)-amphetamine-induced hyperkinesia in mice. J. Pharm. Pharmacol. 1972, 24, 408–409. [Google Scholar] [CrossRef] [PubMed]
- Hynes, M.D.; Lal, H.; Anderson, C.D. Facilitation of recovery from lateral hypothalamic syndrome by blockade of central dopaminergic receptor sites. In Proceedings of the 81st Annual Convention of the American Psychological Association, Montreal, QC, Canada, 27–31 August 1973; p. 1047. [Google Scholar]
- Willis, G.L.; Smith, G.; Kinchington, P. Peripheral DA receptor blockade facilitates behavioural recovery from nigrostriatal damage. Brain Res. Bull. 1983, 11, 15–19. [Google Scholar] [CrossRef]
- Webb, I.C.; Baltazar, R.M.; Lehman, M.N.; Coolen, L.M. Bidirectional interactions between the circadian and reward systems: Is restricted food access a unique zeitgeber? Eur. J. Neurosci. 2009, 30, 1739–1748. [Google Scholar] [CrossRef]
- Chen, W.; Nong, Z.; Li, Y.; Huang, J.; Chen, C.; Huang, L. Role of Dopamine Signaling in Drug Addiction. Curr. Top. Med. Chem. 2017, 17, 2440–2455. [Google Scholar] [CrossRef]
- Madsen, B.K.; Hilscher, M.; Zetner, D.; Rosenberg, J. Adverse reactions of dimethyl sulfoxide in humans: A systematic review. F1000Research 2019, 7, 1746. [Google Scholar] [CrossRef]
- Huang, X.; Wang, S.; Chen, Z.; Qu, W.; Song, L.; Hu, Z.; Xi, Y.; Yang, Y.; Hong, W.-H.; Lin, S.; et al. Bright-light treatment ameliorates motor and non-motor deficits through distinct visual circuits in a mouse model of Parkinson’s disease. Cell Rep. 2025, 44, 115865. [Google Scholar] [CrossRef]
- Koob, G.F. Neurobiology of addiction: Toward development of new therapies. Ann. N. Y. Acad. Sci. 2000, 909, 170–185. [Google Scholar] [CrossRef] [PubMed]
- Riddle, J.L.; Rokosick, S.L.; Napier, T.C. Pramipexole and methyl-amphetamine-induced reward mediated behaviours in a rodent model of Parkinson’s disease and controls. Brain Behav. Res. 2012, 233, 15–23. [Google Scholar] [CrossRef] [PubMed]
- Li, C.-T.; Lai, W.-S.; Liu, C.-M.; Hsu, Y.-F. Inferring reward prediction errors in patients with schizophrenia: A dynamic reward task for reinforcement learning. Front. Psychol. 2014, 5, 1282. [Google Scholar] [CrossRef] [PubMed]






Disclaimer/Publisher’s Note: The statements, opinions and data contained in all publications are solely those of the individual author(s) and contributor(s) and not of MDPI and/or the editor(s). MDPI and/or the editor(s) disclaim responsibility for any injury to people or property resulting from any ideas, methods, instructions or products referred to in the content. |
© 2025 by the author. Licensee MDPI, Basel, Switzerland. This article is an open access article distributed under the terms and conditions of the Creative Commons Attribution (CC BY) license (https://creativecommons.org/licenses/by/4.0/).
Share and Cite
Willis, G.L. The Effect of Intraocular Haloperidol on Motor Function in Models of Two Neuropsychiatric Disorders: Implications for the Origin and Treatment of Parkinson’s Disease, Psychosis and Drug Addiction. Brain Sci. 2025, 15, 1062. https://doi.org/10.3390/brainsci15101062
Willis GL. The Effect of Intraocular Haloperidol on Motor Function in Models of Two Neuropsychiatric Disorders: Implications for the Origin and Treatment of Parkinson’s Disease, Psychosis and Drug Addiction. Brain Sciences. 2025; 15(10):1062. https://doi.org/10.3390/brainsci15101062
Chicago/Turabian StyleWillis, Gregory L. 2025. "The Effect of Intraocular Haloperidol on Motor Function in Models of Two Neuropsychiatric Disorders: Implications for the Origin and Treatment of Parkinson’s Disease, Psychosis and Drug Addiction" Brain Sciences 15, no. 10: 1062. https://doi.org/10.3390/brainsci15101062
APA StyleWillis, G. L. (2025). The Effect of Intraocular Haloperidol on Motor Function in Models of Two Neuropsychiatric Disorders: Implications for the Origin and Treatment of Parkinson’s Disease, Psychosis and Drug Addiction. Brain Sciences, 15(10), 1062. https://doi.org/10.3390/brainsci15101062
